The Influence of Quartz Powder on the Mechanical–Thermal–Chemical–Durability Properties of Cement-Based Materials
Abstract
1. Introduction
2. Materials and Methods
2.1. Material Characterization
2.2. Sample Mix Ratio
2.3. Test Methods
3. Experimental Results
3.1. Heat of Hydration
3.2. Compressive Strength
3.3. Ultrasonic Pulse Velocity
3.4. Surface Resistivity
3.5. XRD
3.6. TG
4. Hydration Model for Cement–Quartz Binary Blends
4.1. Calibration of Hydration Model Parameters
4.2. Evaluating Strength Development Using the Hydration Model
5. Conclusions
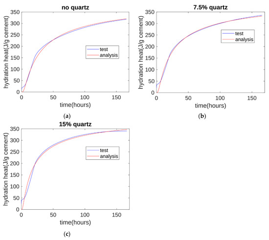
- In the early stage of the hydration reaction (the first three days), as the amount of quartz powder substitution increased, the cumulative hydration heat also increased. This is mainly because the nucleation effect of quartz powder accelerated the hydration reaction of cement. In the later stage of the hydration reaction (about seven days), as the amount of quartz powder substitution increased, the cumulative hydration heat decreased. This is mainly due to the diluting effect of quartz powder.
- For Qu0, Qu7.5, and Qu15, the 1-day compressive strength values were 13.6, 11.84, and 10.81 MPa, respectively, and the reduction in compressive strength was not obvious. The compressive strengths at 28 days were 54.82, 46.11, and 41.55 MPa, respectively. Compared with that at Day 1, the compressive strength at 28 days decreased more obviously.
- Overall, there was an exponential relationship between the measurement results for UPV and compressive strength at 1, 3, 7, and 28 days. There was also an exponential relationship between the measurement results for resistivity and compressive strength at 1, 3, 7, and 28 days.
- The XRD test results showed that the main products of the reaction were AFt, CH, Hc, and Mc. From Day 1 to Day 28, the AFt content became insignificant because of the transition from AFt to AFm. In addition, from 1 day to 28 days, the Mc content became obvious because, compared with Hc, Mc has a better chemical stability.
- The TG test results showed that the mass loss decreased as the amount of quartz powder substitution increased. From 1 day to 28 days, the amount of mass loss increased. This is because the increase in hydration products resulted in the generation of more chemically bound water. As the amount of quartz powder substitution increased, the hydration product content decreased.
- For different specimens (Qu0, Qu7.5, and Qu15) at different test times (3 and 28 days), there was an exponential function relationship between chemically bound water and strength. The correlation coefficient between the test and regression results was 0.98.
- A numerical hydration model was proposed for cement–quartz binary blends. The parameters of the hydration model were determined based on hydration heat normalized by cement mass. Moreover, the hydration heat at 28 days was calculated using the proposed model. The strength development of all specimens and all test periods can be expressed as an exponential function of the hydration heat. The coefficient of determination of the regression was 0.9163.
Author Contributions
Funding
Institutional Review Board Statement
Informed Consent Statement
Data Availability Statement
Conflicts of Interest
References
- Supriya; Chaudhury, R.; Sharma, U.; Thapliyal, P.C.; Singh, L.P. Low-CO2 emission strategies to achieve net zero target in cement sector. J. Clean. Prod. 2023, 417, 137466. [Google Scholar] [CrossRef]
- Li, P.; Gao, X.; Wang, K.; Tam, I.W.Y.; Li, W. Hydration mechanism and early frost resistance of calcium sulfoaluminate cement concrete. Constr. Build. Mater. 2020, 239, 117862. [Google Scholar] [CrossRef]
- Chen, X.; Gruyaert, E.; Li, J. Modelling the effect of coarse recycled concrete aggregate on compressive strength of Portland cement concrete using volume fraction-based approach. Constr. Build. Mater. 2021, 309, 125159. [Google Scholar] [CrossRef]
- Zhang, D.; Zhang, S.; Huang, B.; Yang, Q.; Li, J. Comparison of mechanical, chemical, and thermal activation methods on the utilisation of recycled concrete powder from construction and demolition waste. J. Build. Eng. 2022, 61, 105295. [Google Scholar] [CrossRef]
- Gartner, E.; Hirao, H. A review of alternative approaches to the reduction of CO2 emissions associated with the manufacture of the binder phase in concrete. Cem. Concr. Res. 2015, 78, 126–142. [Google Scholar] [CrossRef]
- Bilal, H.; Chen, T.; Ren, M.; Gao, X.; Su, A. Influence of silica fume, metakaolin & SBR latex on strength and durability performance of pervious concrete. Constr. Build. Mater. 2021, 275, 122124. [Google Scholar]
- Hong, W.Y. A techno-economic review on carbon capture, utilisation and storage systems for achieving a net-zero CO2 emissions future. Carbon Capture Sci. Technol. 2022, 3, 100044. [Google Scholar] [CrossRef]
- Yang, K.-H.; Song, J.-K.; Song, K.-I. Assessment of CO2 reduction of alkali-activated concrete. J. Clean. Prod. 2013, 39, 265–272. [Google Scholar] [CrossRef]
- Giergiczny, Z.; Król, A.; Tałaj, M.; Wandoch, K. Performance of Concrete with Low CO2 Emission. Energies 2020, 13, 4328. [Google Scholar] [CrossRef]
- Wang, Y.; Lu, B.; Hu, X.; Liu, J.; Zhang, Z.; Pan, X.; Xie, Z.; Chang, J.; Zhang, T.; Nehdi, M.L.; et al. Effect of CO2 surface treatment on penetrability and microstructure of cement-fly ash–slag ternary concrete. Cem. Concr. Compos. 2021, 123, 104194. [Google Scholar] [CrossRef]
- Krithika, J.; Ramesh Kumar, G.B. Influence of fly ash on concrete—A systematic review. Mater. Today Proc. 2020, 33, 906–911. [Google Scholar] [CrossRef]
- Mena, J.; González, M.; Remesar, J.C.; Lopez, M. Developing a very high-strength low-CO2 cementitious matrix based on a multi-binder approach for structural lightweight aggregate concrete. Constr. Build. Mater. 2020, 234, 117830. [Google Scholar] [CrossRef]
- Zhao, Y.; Qiu, J.; Xing, J.; Sun, X. Chemical activation of binary slag cement with low carbon footprint. J. Clean. Prod. 2020, 267, 121455. [Google Scholar] [CrossRef]
- Amran, M.; Murali, G.; Khalid, N.H.A.; Fediuk, R.; Ozbakkaloglu, T.; Lee, Y.H.; Haruna, S.; Lee, Y.Y. Slag uses in making an ecofriendly and sustainable concrete: A review. Constr. Build. Mater. 2021, 272, 121942. [Google Scholar] [CrossRef]
- Yi, Z.; Wang, T.; Guo, R. Sustainable building material from CO2 mineralization slag: Aggregate for concretes and effect of CO2 curing. J. CO2 Util. 2020, 40, 101196. [Google Scholar] [CrossRef]
- Lothenbach, B.; Gruskovnjak, A. Hydration of alkali-activated slag: Thermodynamic modelling. Adv. Cem. Res. 2007, 19, 81–92. [Google Scholar] [CrossRef]
- Matos, P.R.d.; Foiato, M.; Prudêncio, L.R. Ecological, fresh state and long-term mechanical properties of high-volume fly ash high-performance self-compacting concrete. Constr. Build. Mater. 2019, 203, 282–293. [Google Scholar] [CrossRef]
- Luan, C.; Zhou, A.; Li, Y.; Zou, D.; Gao, P.; Liu, T. CO2 avoidance cost of fly ash geopolymer concrete. Constr. Build. Mater. 2024, 416, 135193. [Google Scholar] [CrossRef]
- Wang, X.-Y. Simulation for optimal mixture design of low-CO2 high-volume fly ash concrete considering climate change and CO2 uptake. Cem. Concr. Compos. 2019, 104, 103408. [Google Scholar] [CrossRef]
- Wang, X.-Y. Design of low-cost and low-CO2 air-entrained fly ash-blended concrete considering carbonation and frost durability. J. Clean. Prod. 2020, 272, 122675. [Google Scholar] [CrossRef]
- Glosser, D.; Suraneni, P.; Isgor, O.B.; Weiss, W.J. Using glass content to determine the reactivity of fly ash for thermodynamic calculations. Cem. Concr. Compos. 2021, 115, 103849. [Google Scholar] [CrossRef]
- Zunino, F.; Martirena, F.; Scrivener, K. Limestone Calcined Clay Cements (LC3). ACI Mater. J. 2021, 118, 49–60. [Google Scholar]
- Mayhoub, O.A.; Nasr, E.S.A.; Ali, Y.A.; Kohail, M. The influence of ingredients on the properties of reactive powder concrete: A review. Ain Shams Eng. J. 2021, 12, 145–158. [Google Scholar] [CrossRef]
- Krishnan, A.; Nighojkar, A.; Kandasubramanian, B. Emerging towards zero carbon footprint via carbon dioxide capturing and sequestration. Carbon Capture Sci. Technol. 2023, 9, 100137. [Google Scholar] [CrossRef]
- Tavares, L.R.C.; Junior, J.F.T.; Costa, L.M.; da Silva Bezerra, A.C.; Cetlin, P.R.; Aguilar, M.T.P. Influence of quartz powder and silica fume on the performance of Portland cement. Sci. Rep. 2020, 10, 21461. [Google Scholar] [CrossRef] [PubMed]
- Huang, L.; Tang, L.; Löfgren, I.; Olsson, N.; Babaahmadi, A.; Esping, O.; Li, Y.; Yang, Z. Non-destructive test system to monitor hydration and strength development of low CO2 concrete. Constr. Build. Mater. 2023, 408, 133774. [Google Scholar] [CrossRef]
- Hornbostel, K.; Larsen, C.K.; Geiker, M.R. Relationship between concrete resistivity and corrosion rate—A literature review. Cem. Concr. Compos. 2013, 39, 60–72. [Google Scholar] [CrossRef]
- Li, T.; Chen, H.; Zhang, T.; Liu, L.; Zheng, Y. Thermodynamic study on phase composition of hardened Portland cement paste exposed to CaCl2 solution: Effects of temperature, CaCl2 concentration, and type and dosage of supplementary cementitious materials. Cem. Concr. Res. 2024, 178, 107437. [Google Scholar] [CrossRef]
- Liu, C.; Li, Z.; Nie, S.; Skibsted, J.; Ye, G. Structural evolution of calcium sodium aluminosilicate hydrate (C-(N-)A-S-H) gels induced by water exposure: The impact of Na leaching. Cem. Concr. Res. 2024, 178, 107432. [Google Scholar] [CrossRef]
- Kumar Mehta, P.; Monteiro, P.J.M. Concrete: Microstructure, Properties, and Materials, 4th ed.; McGraw-Hill: London, UK, 2014; p. 675. [Google Scholar]
- Sabireen; Butt, F.; Ahmad, A.; Ullah, K.; Zaid, O.; Shah, H.A.; Kamal, T. Mechanical performance of fiber-reinforced concrete and functionally graded concrete with natural and recycled aggregates. Ain Shams Eng. J. 2023, 14, 102121. [Google Scholar] [CrossRef]
- Azarsa, P.; Gupta, R. Electrical Resistivity of Concrete for Durability Evaluation: A Review. Adv. Mater. Sci. Eng. 2017, 2017, 8453095. [Google Scholar] [CrossRef]
- Scrivener, K.; Snellings, R.; Lothenbach, B. A Practical Guide to Microstructural Analysis of Cementitious Materials; CRC Press: Boca Raton, FL, USA, 2016. [Google Scholar]
- Kim, S.Y.; Eum, D.; Lee, H.; Park, K.; Terada, K.; Han, T.S. Evaluating tensile strength of cement paste using multiscale modeling and in-situ splitting tests with micro-CT. Constr. Build. Mater. 2024, 411, 134642. [Google Scholar] [CrossRef]
- Shi, J.; Liu, B.; He, Z.; Liu, Y.; Jiang, J.; Xiong, T.; Shi, J. A green ultra-lightweight chemically foamed concrete for building exterior: A feasibility study. J. Clean. Prod. 2021, 288, 125085. [Google Scholar] [CrossRef]
- Scrivener, K.; Martirena, F.; Bishnoi, S.; Maity, S. Calcined clay limestone cements (LC3). Cem. Concr. Res. 2018, 114, 49–56. [Google Scholar] [CrossRef]
- Zhang, G.-Y.; Ahn, Y.-H.; Lin, R.-S.; Wang, X.-Y. Effect of Waste Ceramic Powder on Properties of Alkali-Activated Blast Furnace Slag Paste and Mortar. Polymers 2021, 13, 2817. [Google Scholar] [CrossRef] [PubMed]
- Sharma, M.; Bishnoi, S.; Martirena, F.; Scrivener, K. Limestone calcined clay cement and concrete: A state-of-the-art review. Cem. Concr. Res. 2021, 149, 106564. [Google Scholar] [CrossRef]
- De Weerdt, K.; Haha, M.B.; Le Saout, G.; Kjellsen, K.O.; Justnes, H.; Lothenbach, B. Hydration mechanisms of ternary Portland cements containing limestone powder and fly ash. Cem. Concr. Res. 2011, 41, 279–291. [Google Scholar] [CrossRef]
- Sargam, Y.; Wang, K. Hydration kinetics and activation energy of cement pastes containing various nanoparticles. Compos. Part B Eng. 2021, 216, 108836. [Google Scholar] [CrossRef]












| Identification | SiO2 | Al2O3 | CaO | Fe2O3 | MgO | Na2O | K2O | ZnO | TiO2 | SO3 | LOI x |
|---|---|---|---|---|---|---|---|---|---|---|---|
| OPC | 19.40 | 4.46 | 64.20 | 3.00 | 2.29 | 0.12 | 0.98 | 0.06 | 0.23 | 3.83 | 1.43 |
| Quartz | 99.0 | 0.25 | - | - | - | - | - | - | 0.11 | - | 0.62 |
| Group | OPC | Quartz | Sand | Water | Water/(Cement + Quartz) | |
|---|---|---|---|---|---|---|
| Qu0 | 100 | 0 | - | 50 | 0.5 | |
| Paste | Qu7.5 | 92.5 | 7.5 | - | 50 | 0.5 |
| Qu15 | 85 | 15 | - | 50 | 0.5 | |
| Qu0 | 100 | 0 | 200 | 50 | 0.5 | |
| Mortar | Qu7.5 | 92.5 | 7.5 | 200 | 50 | 0.5 |
| Qu15 | 85 | 15 | 200 | 50 | 0.5 |
| Qu0 | Qu7.5 | Qu15 | |
|---|---|---|---|
| Combined water (wt%) | 13.15 | 12.23 | 11.46 |
| Portlandite (wt%) | 14.80 | 14.12 | 13.51 |
| Qu0 | Qu7.5 | Qu15 | |
|---|---|---|---|
| Combined water (wt%) | 19.55 | 18.24 | 16.88 |
| Portlandite (wt%) | 18.48 | 17.30 | 15.55 |
| Q0 | b0 | b7.5 | b15 | c |
|---|---|---|---|---|
| 417.11 | 9.06 | 7.87 | 6.29 | −0.69 |
Disclaimer/Publisher’s Note: The statements, opinions and data contained in all publications are solely those of the individual author(s) and contributor(s) and not of MDPI and/or the editor(s). MDPI and/or the editor(s) disclaim responsibility for any injury to people or property resulting from any ideas, methods, instructions or products referred to in the content. |
© 2024 by the authors. Licensee MDPI, Basel, Switzerland. This article is an open access article distributed under the terms and conditions of the Creative Commons Attribution (CC BY) license (https://creativecommons.org/licenses/by/4.0/).
Share and Cite
Zhang, G.-Y.; Oh, S.; Lu, C.; Han, Y.; Lin, R.-S.; Wang, X.-Y. The Influence of Quartz Powder on the Mechanical–Thermal–Chemical–Durability Properties of Cement-Based Materials. Appl. Sci. 2024, 14, 3296. https://doi.org/10.3390/app14083296
Zhang G-Y, Oh S, Lu C, Han Y, Lin R-S, Wang X-Y. The Influence of Quartz Powder on the Mechanical–Thermal–Chemical–Durability Properties of Cement-Based Materials. Applied Sciences. 2024; 14(8):3296. https://doi.org/10.3390/app14083296
Chicago/Turabian StyleZhang, Gui-Yu, Seokhoon Oh, Chunhua Lu, Yi Han, Run-Sheng Lin, and Xiao-Yong Wang. 2024. "The Influence of Quartz Powder on the Mechanical–Thermal–Chemical–Durability Properties of Cement-Based Materials" Applied Sciences 14, no. 8: 3296. https://doi.org/10.3390/app14083296
APA StyleZhang, G.-Y., Oh, S., Lu, C., Han, Y., Lin, R.-S., & Wang, X.-Y. (2024). The Influence of Quartz Powder on the Mechanical–Thermal–Chemical–Durability Properties of Cement-Based Materials. Applied Sciences, 14(8), 3296. https://doi.org/10.3390/app14083296

