Next Article in Journal
The Microchip Laser and Its Drive Control System for Planetary Mass Spectrometry Measurements
Next Article in Special Issue
A Year in the Life of Sea Fennel: Annual Phytochemical Variations of Major Bioactive Secondary Metabolites
Previous Article in Journal
SupCon-MPL-DP: Supervised Contrastive Learning with Meta Pseudo Labels for Deepfake Image Detection
Previous Article in Special Issue
Activity of Methanolic and Hydrolyzed Methanolic Extracts of Ricinus communis (Euphorbiaceae) and Kaempferol against Spodoptera frugiperda (Lepidoptera: Noctuidae)
 
 
Font Type:
Arial Georgia Verdana
Font Size:
Aa Aa Aa
Line Spacing:
Column Width:
Background:
Article

Apple Tree Leaves (Malus domestica Borkh) as a Valuable Source of Polyphenolic Compounds with a High Antioxidant Capacity

by
Andrzej Cendrowski
1,*,
Zuzanna Jakubowska
2 and
Jarosław L. Przybył
2,*
1
Division of Fruit, Vegetable and Cereal Technology, Department of Food Technology and Assessment, Institute of Food Sciences, Warsaw University of Life Sciences-SGGW, Nowoursynowska 159 Str., 02-776 Warsaw, Poland
2
Department of Vegetable and Medicinal Plants, Institute of Horticulture Sciences, Warsaw University of Life Sciences-SGGW, Nowoursynowska 159 Str., 02-776 Warsaw, Poland
*
Authors to whom correspondence should be addressed.
Appl. Sci. 2024, 14(8), 3252; https://doi.org/10.3390/app14083252
Submission received: 20 March 2024 / Revised: 8 April 2024 / Accepted: 10 April 2024 / Published: 12 April 2024

Abstract

The aim of the study was to compare the antioxidant activity and polyphenol content in extracts prepared from freeze-dried leaves of three apple cultivars: Ligol, Gala, and Gloster, using different solvents and extraction methods. The content of total polyphenols was determined using the Folin–Ciocâlteu reagent method, and a qualitative and quantitative analysis of polyphenols was performed using the HPLC method. The antioxidant capacity of the extracts was determined using the DPPH radical method. The colour parameters (in the CIEL*a*b system) of the obtained extracts were also determined. The antioxidant activity of apple leaf extracts increased with increasing polyphenol content. Water–alcoholic extracts from apple leaves were characterised by a significantly higher antioxidant capacity and polyphenol content in comparison with water extracts. The best solvent was a mixture of water and methanol (80%). Among the phenolic compounds identified in the extracts, the most common was phloridzin. The highest content of phloridzin (105.0 mg/1 g of dry weight) was found in water–methanol extracts from the leaves of the Ligol variety obtained with ultrasound-assisted extraction. The extracts with the highest antioxidant activity (131.2 μmol of Trolox/1 g of dry weight) and polyphenol content (81.9 mg GAE/1 g of dry weight) were water–methanol from the leaves of the Ligol cultivar, obtained by shaking them with a solvent.

1. Introduction

Poland is characterised by a rich and high-quality raw material base, which makes it appreciated in the European Union countries. This is an ideal factor that creates the possibility of further development. Fruit production is of great importance to the agricultural economy. Apple trees (Malus domestica Borkh.) are grown widely in different climate zones throughout the world, thus placing apples among the major fruits on the market [1]. Poland produces over 3.6 million tons of apples annually and ranks third in the world and first in Europe in terms of the production of these fruits [2].
All polyphenols have antioxidant properties. They scavenge free radicals and inhibit their production, stimulate the synthesis of antioxidant enzymes, and thus prevent oxidative stress from resulting in damage to the structural molecules of the body [3].
In this way, they help restore and maintain a favourable state of redox balance, whether in a plant cell or a human body [3]. The health effects of these compounds are dependent on their amount of daily intake and their bio-availability [4].
Several reports revealed that the plant material of apple trees is a rich source of phenolic compounds [1,3,5,6,7,8,9,10,11,12,13]. For instance, Adamcová et al. [5] reported high values of phenolic compounds in leaf extracts from thirteen cultivars. In extracts, the content of phenolic compounds was in the range of 54.68–106.81 mg/g of dried weight (DW), while phloridzin was found as a major component and had a concentration range of 46.43–98.51 mg/g DW [5]. Levels of individual phenolic compounds and total phenolics with diverse antioxidant properties vary in different parts of apple trees and also between apple cultivars [1,14,15]. Each plant accumulates polyphenols in all of its organs as protection against pests or UV radiation, but each morphological part of the plant contains a different amount of these compounds. Most of them are usually found in leaves, fruits, bark, flowers, and seeds. Research conducted by Teleszko and Wojdyło [8] showed that leaves contain much more polyphenolic compounds than fruits. Seven plants were analysed, among which quince leaves had the highest polyphenol content, containing over 4.5 times more of these compounds than quince fruit. Apple leaves also had seven times more polyphenols than apples fruit. The fruits contained only more procyanidins and anthocyanins, while the apple leaves contained almost 33 times more quercetin glycosides, 3.5 times more phenolic acids (acids: chlorogenic, neochlorogenic, cryptochlorogenic, and p-coumaric), and over 218 times more dihydrochalcones: phloretin and phloridzin (6331 mg/100 g of dry matter compared to less than 29 mg/100 g of dry matter in apple). The polyphenolic concentration in fruits peaks early in the season and decreases during fruit development [16]. The most favourable time for harvesting apple leaves is determined by the activity of polyphenol oxidase, which increases at the end of September and reaches its maximum after the first frost. This enzyme breaks down the desired polyphenol compounds, and therefore, in order to obtain a raw material with the highest polyphenol content, the leaves should be collected from June to August. Then, apple leaves have the best composition, both in terms of the amount of phenolic compounds and other bioactive substances [17]. The influence of the external environment during plant cultivation also has a significant impact on the content of polyphenols in the plant raw material. Both unfavourable weather conditions and microbial attacks are stress factors for the plant, which, in response to them, increases the production of protective substances, i.e., phenolic compounds. Therefore, for example, excessive exposure to solar radiation or fungal infection increases the total polyphenol content [16,18]. This is confirmed by the research of Mikulic Petkovsek et al. [18], which showed that apple leaves infected with Venturia inaequalis fungi, causing apple scab, had a 6-fold higher concentration of flavonols and chlorogenic acid compared to uninfected leaves. Also, Skłodowska et al. [16] showed that after the inoculation of Erwinia amylovora, the phloretin content increased at a higher rate in resistant cultivars, although the initial concentrations of phloridzin and phloretin in the leaves were similar. The type of crop used is also important. Apple leaves from organic farming have a 10–20% higher total polyphenol content than leaves from trees in an integrated farming system. Apples from organic production also have a higher content of polyphenols, including hydroxycinnamic acid, flavanols, dihydrochalcones, and quercetin, than fruits grown in integrated cultivation [19].
Phloridzin is the dominant component of polyphenols in apple leaves. It constitutes approximately 80% of all identified phenolic compounds in this raw material. Phloridzin has a wide range of biological effects: it inhibits the growth of cancer cells [20], improves memory [21], and helps prevent bone fractures [22]. One of the most important and beneficial properties of phloridzin is the possibility of using it for the prevention and treatment of type 2 diabetes. The activity of phloridzin in this case involves inhibiting the absorption of glucose in the small intestine, which reduces its concentration in the plasma. This process has no effect on the level of insulin in the blood. All this contributes to weight loss, which is one of the most important factors in preventing diabetes [23,24,25]. Phloridzin belongs to the group of dihydrochalcones and is formed from phloretin as a result of the glycosylation reaction caused by the enzyme dihydrochalcone 2-O-glucosyltransferase [26]. The content of phloretin in apple leaves is much lower than that of phloridzin, but compared to its glucoside, it has an antioxidant effect that is up to 18 times stronger. It inhibits inflammatory processes and lipid oxidation to a much greater extent, but to a lesser extent, it inhibits the transport of glucose into cells [27].
In addition to flavonoids, the polyphenol composition of apple leaves also includes phenolic acids. Among them, chlorogenic acid is the most abundant [1,3,10]. Chlorogenic acid has strong antioxidant, anti-inflammatory, anti-atherosclerotic, and choleretic properties, and it also inhibits the growth of fungi and bacteria. Additionally, chlorogenic acid has antiviral activity and prevents the negative effects of UV radiation and is important in the chemoprevention of cancer [28]. Its undoubted advantage is the inhibition of both the initiation and progression of cancer, while, for example, quercetin only prevents the initiation [29]. It is worth paying attention to the possibility of using chlorogenic acid in the treatment of mental illnesses. Studies have been conducted on mice that have shown that chlorogenic acid has a neuroprotective effect. It protects against anxiolytic and depressive processes and also increases communication between neurons, thus preventing neurodegenerative diseases, e.g., Alzheimer’s disease [30].
For each raw material and substance that we want to extract, the extraction method, the appropriate solvent, and the detailed parameters of the entire process must be matched [31]. When extracting polyphenols from plant raw materials, the best results are achieved by using a mixture of solvents, e.g., water with ethanol and an increased extraction temperature. However, it is crucial to limit the access of oxygen as much as possible because polyphenols are easily oxidised [32]. Data collected by Ben-Othman et al. [1] show that the yields of phenolic compounds recovered through extraction are significantly dependent on the extraction procedure, but they also vary between different cultivars. There are various methods for extracting phenolic compounds, such as leaching-out extraction [33]. Generally, extraction is being carried out using conventional technologies, such as solvent extraction (liquid–liquid and solid–liquid extraction) with the assistance of external factors (e.g., mechanical agitation, pressing, or heating systems). In addition, as per the environmental requirements and economic impact, the food industry prefers green extraction and processing to ensure a safe and high-quality extract [34]. Recently, more rapid and automated methods, including ultrasound extraction (UAE) and accelerated solvent extraction (ASE), have been used [35]. The above extraction methods are advantageous compared to conventional methods because they can be carried out in the absence of light and oxygen, cope with the demand for a reduction in organic solvent consumption, and improve the extraction time due to the possibility of working at elevated temperatures or pressures in inert atmospheres. The literature analysis did not bring any references or reports on the comparison of extraction with UAE, ASE, and SSE (shaking solvent extraction) of phenolic compounds from freeze-dried leaves of three apple cultivars (Ligol, Gala, Gloster).
The objective of the present study was to investigate the potential of apple tree leaves of different Poland apple cultivars (Ligol, Gala, Gloster) as an under-utilised source for the recovery of polyphenolic compounds. For the extraction, environmentally friendly water, water–methanol, and water–ethanol solution were used. First, we prepared water and water–alcoholic extracts from the freeze-dried leaves of three apple cultivars using classical shaking solvent extraction (SSE), ultrasound extraction (UAE), and accelerated solvent extraction (ASE). After, we compared extracts from different apple leaf cultivars in terms of antioxidant activity, total phenolic content, and concentration of different individual phenolic compounds. The colour parameters (in the CIEL*a*b system) of the obtained extracts were also determined.

2. Materials and Methods

2.1. Chemicals and Reagents

Acetonitrile (ACN) gradient grade for liquid chromatography LiChrosolv® Reag. Ph Eur and phosphoric acid suitable for HPLC, LiChropur™, 85%, were purchased from Merck (Darmstadt, Germany). Water for HPLC was produced in the laboratory using a water purifier that provides high-purity deionised water for laboratory use: WCA R03 DP ECO from Cobrabid Aqua (Warsaw, Poland). The standards were purchased from Sigma Life Science (Merck, Darmstadt, Germany) and from ChromaDex® (Irvine, CA, USA) and intended for use in accordance with the manufacturer’s recommended procedure [36]. Anhydrous sodium carbonate and Folin–Ciocâlteu reagent were purchased from Chempur (Piekary Śląskie, Poland).
Gallic acid anhydrous (GAE), 2,2-diphenyl-1-picrylhydrazyl (DPPH●), 6-hydroxy-2,5,7,8-tetramethylchromane-2-carboxylic acid (Trolox), ethanol, and methanol were purchased from Sigma-Aldrich (Poznan, Poland). All reagents were of analytical grade.

2.2. Plant Material

The leaves of three popular winter apple cultivars were selected for the study: Ligol, Gala, and Gloster. The leaves along with their petioles were collected at the Experimental Orchard of the Warsaw University of Life Sciences—SGGW in Wilanów on 31 July 2018. The trees were between 8 and 10 years old. Two to three leaves were taken from each of a hundred trees of a given variety, including the short stem and the long stem.
The freshly picked apple tree with petioles were frozen at −18 °C and then dried for 72 h using a Labconco FreeZone 2.5 L freeze-dryer (Kansas City, MO, USA) at a pressure of 31 Pa and a temperature of −47 °C. The resulting freeze-dried product was crushed in a Retsch GM 200 (Haan, Germany) homogeniser for 30 s, and the powder was transferred to jars and sealed. The freeze-dried products were stored in in the dark until analysis.

2.3. Extracts Preparation

2.3.1. Shaking Solvent Extraction (SSE)

700 mg of freeze-dried apple tree leaves were weighed into centrifuge tubes and 50 mL of suitable solvent was added: water, water–ethanol solution (60:40, v/v), or water–methanol solution (20:80, v/v). Extraction was carried out in a thermo shaker LLG-uniTHERMIX 1 (Meckenheim, Germany) at 27 ± 1 °C at a speed of 600 rpm with different time variants: 1 min, 30 min, 60 min, and 90 min. The resulting extracts were then centrifuged at room temperature (25 °C) for 5 min at 5000× g rpm using an MPW-350R laboratory centrifuge (Warsaw, Poland). The resulting extracts were filled up to 50 mL with the appropriate solvent. The extracts were stored in bottles in the dark at −18 °C until analysis.

2.3.2. Ultrasound-Assisted Extraction (UAE)

An amount of 700 mg of freeze-dried apple tree leaves were weighed into centrifuge tubes and 50 mL of suitable solvent was added: water, water–ethanol solution (60:40, v/v), or water–methanol solution (20:80, v/v). The tubes were sealed and placed in an ultrasonic bath at 25 ± 2 °C for 10 min. The extract was further treated in the same way as in Section 2.3.1.

2.3.3. Accelerated Solvent Extraction (ASE)

An amount of 700 mg of freeze-dried apple tree leaves were extracted using water, 40% ethanol solution, or 80% methanol solution in a Thermo Scientific™ Dionex™ ASE™ 350 Accelerated Solvent Extractor (Waltham, MA, USA). The extraction process was conducted in a single cycle lasting 10 min at a temperature of 100 °C and a pressure of 110 bar. Each extraction variant yielded approximately 28 mL of extract, which was then filled up to 50 mL. The extracts were stored in sealed bottles in the dark at −18 °C until analysis.

2.4. Extract Evaluation and Analysis

2.4.1. Total Phenolic Content (TPC)

The total phenolic compounds were determined using the Folin–Ciocâlteu reagent (FCR), as modified by Gao et al. [37]. A volumetric flask was used to make up 10 mL from 2.5 mL of aqueous extract. From this solution, 0.2 mL was taken for measurements. A volumetric flask was used to make up 10 mL from 2.5 mL of 40% ethanol extract or 80% methanol extract. From this solution, 1.0 mL was taken and diluted to 2.0 mL. From this solution, 0.2 mL was taken for measurements.
An amount of 0.4 mL of Folin–Ciocâlteu reagent, 4 mL of distilled water, and 2 mL of 15% sodium carbonate was added to 0.2 mL of diluted apple tree leaf extract. The contents of the test tube were mixed thoroughly, covered with a cap, and set aside in a dark place for one hour. The resulting colour’s intensity was measured using a UV1650PC spectrophotometer (Shimadzu, Kyoto, Japan) at 765 nm against a blank reagent, where distilled water was added instead of the extract solution. The total phenolic content (TPC) was expressed as mg gallic acid (GAE) per 1 g of dry weight (DW) based on the prepared calibration curve. The equation obtained from the calibration curve of gallic acid in the range of 5–20 mg/100 mL was y = 0.0361x + 0.0477 (r = 0.9989).

2.4.2. HPLC-DAD

The work were performed using a Shimadzu Prominence chromatograph equipped with auto sampler SIL-20AC HT, photodiode array detector SPD-M20A, and LCsolution 1.21 SP1 chromatography software (Shimadzu, Kyoto, Japan). A method was developed and validated to determine the metabolites present in apple tree leaf extracts for the purposes of this work (refer to the Supplementary Materials). All obtained extracts underwent filtration using Iso-Disc™ Filters PTFE-25-2 with a diameter of 25 mm and a pore size of 0.20 μm (Supelco Analytical™, Bellefonte, PA, USA) after being subjected to HPLC. Separations were carried out using a 100 mm × 4.60 mm C18 reversed-phase column with 2.6 μm solid cores and porous outer layer (Kinetex™, Phenomenex, Torrance, CA, USA). A binary gradient of mobile phase A (deionised water adjusted to pH 3 with phosphoric acid) and B (ACN) was used for standard mixture and extract separation. The gradient was designed as follows: 0.01 min—12.5% B; 4.00 min—23% B; 6.00 min—50% B; 6.01 min—12.5% B; 8.00 min—stop. The flow rate was set at 1.5 mL/min, the oven temperature was maintained at 40 °C, and the injection volume was 1 μL. Peak identification was carried out by comparing the retention times and UV spectra with standards.

2.4.3. CIE L*a*b

Colour parameters (L*, a*, b*, C*, and h°) were determined using a Konica Minolta CM-3600d Spectrophotometer (Tokyo, Japan) according to CIELAB colour space assumptions. The parameter L* determines the brightness and takes values from 0 for perfect black to 100 for perfect white. The values of a* and b* are the trichromatic coordinates and range from −120 to +120: a value of −a* tends towards green, +a* tends towards red, −b* tends towards blue, and +b* tends towards yellow. The a* and b* values are the basis for the calculation of C* and h°. Saturation (C*) takes values from 0 (at the centre of the coordinate system) and increases as you move away from the centre. The higher the saturation value, the more intense the colour. The colour parameter called hue (h°) represents degrees from 0° (red) through 90° (yellow), 180° (green), 270° (blue), and 360° (red).
Measurements were taken using 2 mm thick glass cuvettes in transmitted light for an observer of 10° and illuminant D65.

2.4.4. Antioxidant Capacity (AC)

The antioxidant capacity was determined using the DPPH● scavenging method, as described by Yen and Chen [38]. To prepare the standard curve, 2 mg of Trolox was dissolved in 50 mL of methanol and refrigerated for one hour at 8 ± 1 °C. Additionally, 12 mg of DPPH● was dissolved in 100 mL of methanol. Trolox solutions of 0.2, 0.3, 0.4, 0.5, 0.6, 0.7, 0.8, and 0.9 mL were sequentially transferred into test tubes and diluted to 1 mL with distilled water. Next, 3 mL of methanol and 1 mL of DPPH● solution were added to each tube, stirred, and kept in the dark. After exactly 30 min, the absorbance was measured at 517 nm against methanol. A standard curve for Trolox was plotted based on the absorbance measurement results, taking into account the dilutions and converting the mass of Trolox (250.259 g/mol) into μmoles. The equation obtained from the calibration curve of Trolox was y = −0.042x + 0.6239 (r = 0.9982).
Similarly, absorbance was measured for a blank by mixing 1 mL of distilled water, 3 mL of methanol, and 1 mL of DPPH● solution. An amount of 0.1 mL of the tested extract was transferred into the test tubes and made up to 1 mL with distilled water, then 3 mL of methanol and 1 mL of the DPPH● solution were added, stirred, and set aside in the dark. After exactly 10 min, the absorbance was measured at 517 nm against methanol. The Trolox concentration was determined by reading the calibration curve. Taking dilutions into account, the final result was expressed in μmol Trolox per 1 g of dry weight (DW).

2.5. Statistical Analysis

Statistical analysis of the results was performed using Statistica 13.1 (TIBCO Software Inc., Carlsbad, CA, USA). The significance of differences in qualitative characteristics between the compared extracts was verified using analysis of variance (ANOVA). In order to examine differences between groups, the Tukey HSD post hoc test was used with an assumed significance level of p < 0.05. The correlation between the studied variables was determined using the Pearson’s test. Results are presented as means and standard deviations.

3. Results and Discussion

The content of total phenolic compounds (using the Folin–Ciocâlteu reagent’s method) was tested in water and water–alcohol extracts from the freeze-dried leaves of three apple cultivars (Ligol, Gala, Gloster), obtained using three different extraction methods. The solvents used for extraction, methanol and ethanol, were characterised by different toxicity. According to the European Pharmacopoeia, ethanol belongs to class 3 solvents and methanol to class 2, and their residue limit in the product cannot be higher than 5000 ppm (ethanol) and 3000 ppm (methanol) [39]. The choice of this composition of extractants was based on our own previous research and the results of other authors [10,31,32,40,41,42]. These researchers showed, among other things, that the use of aqueous mixtures of various solvents is advisable due to the different polar properties of polyphenols. However, the use of methanol allows for a better extraction of polyphenols than the use of ethanol [43]. The polyphenol content was identified and determined using high-performance liquid chromatography, and the antioxidant capacity (using DPPH radical scavenging assay) and colour parameters of the extracts were determined.

3.1. Content of TPC Using the Folin–Ciocâlteu Reagent Method

The Folin–Ciocâlteu reagent’s method is usually used for the determination of the total polyphenol content, but the reagent is nonspecific. This method is based on oxidation–reduction reactions (single electron transfer—SET) and can thus be considered one of the methods for the determination of antioxidant activity [44,45].

3.1.1. Extracts Obtained Using Shaking Solvent Extraction (SSE)

Extracts made by shaking them with a solvent in various time variants were subjected to a preliminary analysis, and the content of total polyphenols was determined using the Folin–Ciocâlteu reagent method in each version of the obtained apple leaf extracts (Table 1). Based on the results obtained, the most favourable time variant was selected, in which the polyphenol content was the highest, and further determinations were made only for extracts shaken at that time.
The amount of polyphenols in water extracts decreased with increasing shaking time. This relationship was observed for all tested leaf cultivars of apple leaves. However, the greatest losses of these compounds were observed in Ligol leaf extract (over 9 mg GAE/1 g of DW) compared to shaking for 1 min and 90 min. For extracts from the leaves of the Gala and Gloster cultivars, these losses amounted to approximately 4 mg GAE/1 g of DW. The decrease in the content of polyphenols in water extracts with increasing extraction time was most likely related to the oxidation of phenolic compounds. The longer time of oxygen exposure to the extract, the lower the polyphenol content. The best solution for this solvent was to use the shortest extraction possible. The content of polyphenols in water–methanol extracts in relation to shaking time differed between different cultivars. In the case of the extract from apple leaves of the Ligol and Gloster cultivars, the content of phenolic compounds increased and reached its maximum after 30 min of shaking; further extraction resulted in a decrease in the amount of polyphenols in the extract. The opposite was the case with the Gala extract, where, from the beginning of extraction, the content of polyphenols decreased with increasing shaking time. This difference could be due to the different polyphenol composition of the leaves of different apple cultivars. Phenolic compounds found in the Gala cultivar may have been more sensitive to conditions such as oxygenation or solar radiation compared to the Ligol and Gloster cultivars.
Water–ethanol extracts were characterised by an increase in the content of phenolic compounds at up to 30 min of extraction by shaking and then, depending on the cultivar of apple leaves, a smaller or greater decrease in the content with an increase in the shaking time. The increase in the content of total polyphenols in water and ethanol extracts between 1 min and 30 min was from approximately 6.5 mg GAE/1 g of DW in the Gala cultivar to 10 mg GAE/1 g of DW in the apple leaf extract of the Ligol cultivar. A statistical analysis showed that the content of total polyphenols in the tested extracts did not differ significantly between the shaking time variants used.
Similarly, Dent et al. [32] compared different extraction times and found that this parameter did not significantly affect the polyphenol content in the extracts. Based on the analysis of the obtained results, extracts shaken for 30 min were selected for further determinations, in which 55.1 mg GAE/1 g of DW of polyphenols was determined. Liaudanskas et al. [46] also showed that the content of flavonoids in apple extracts is the highest after approximately 30 min of extraction (at room temperature). The choice of this time variant was particularly beneficial for most water–alcoholic extracts, and they contained the most phenolic compounds. Water–methanol extracts were characterised by the significantly highest polyphenol content among all extracts prepared using the solvent shaking extraction method (66.8 mg GAE/1 g of DW). However, water–ethanol extracts contained significantly more phenolic compounds (57.3 mg GAE/1 g of DW) than water extracts (35.8 mg GAE/1 g of DW).
Other authors also confirmed in their research that mixtures of methanol or ethanol with water are a more efficient extractant than water or pure ethanol alone [47]. When examining the influence of apple leaf cultivar on the polyphenol content in extracts obtained using the classical method, different results were obtained than for extracts obtained using the UAE method, which means that in the case of extraction by shaking, the leaf cultivar had a significant impact on the content of phenolic compounds (p < 0.05). Extracts prepared from the leaves of the Ligol cultivar were characterised by the significantly highest polyphenol content (61.8 mg GAE/1 g of DW).
The two-factor analysis of variance of the polyphenol content in extracts shaken for 30 min showed that the water and methanol extracts from the Ligol leaf cultivar were characterised by the significantly highest content of total polyphenols among all extracts prepared by this method and amounted to 80.9 mg GAE/1 g of DW. Water–methanol extracts from the leaves of the Gloster cultivar (66.7 mg GAE/1 g of DW) and water–ethanol extracts from the Ligol cultivar (67.4 mg GAE/1 g of DW) did not differ significantly from each other and contained significantly more total polyphenols than other extracts. Also, the water–alcoholic extracts from the leaves of the Gala cultivar did not differ significantly from each other, but the water–methanol extract from the leaves of this cultivar contained significantly more polyphenols (60.6 mg GAE/1 g of DW) than the water–ethanol extract made from the leaves of the cultivar Gloster (55.3 mg GAE/1 g of DW). Water extracts obtained using the classical extraction method were characterised by a significantly lower content of total polyphenols than water–alcoholic extracts. Among water extracts, the most phenolic compounds were those obtained from the leaves of the Ligol cultivar (42.0 mg GAE/1 g of DW), while the significantly lowest polyphenol content was observed in water extracts from the leaves of the Gloster cultivar (29.6 mg GAE/1 g of DW). In the study by Efenberger-Szmechtyk et al. [41], similar results were obtained. Water extracts from apple leaves were characterised by significantly lower polyphenol content (21.7 mg GAE/100 mL) than water–alcohol extracts. In the extract containing 60% ethanol, a significantly higher concentration of phenolic compounds was obtained (127 mg GAE/100 mL) than with 30% ethanol (93.6 mg GAE/100 mL).

3.1.2. Extracts Obtained with Ultrasound-Assisted Extraction (UAE)

Based on the results obtained for individual extracts, differing in the type of solvent used and the cultivars of apple leaves, a chart was prepared showing the content of total polyphenols in these extracts, expressed in mg GAE/1 g of DW (Figure 1).
The one-way analysis of variance showed that the apple leaf cultivar had no significant effect on the content of total polyphenols in extracts prepared using the UAE method. However, the type of solvent used significantly influenced the content of polyphenols in the extracts. Water–alcoholic extracts had a significantly higher content of total phenolic compounds than water extracts.
The two-way analysis of variance showed that the water–methanol and water–ethanol extracts from the leaves of the Ligol cultivar were characterised by the significantly highest polyphenol content of all extracts prepared with ultrasound-assisted extraction and contained, respectively, 75 and 73.3 mg GAE/1 g of DW. The water–methanol extract from the leaves of the Gloster cultivar contained significantly more polyphenols (60.8 mg GAE/1 g of DW) than other water and water–ethanol extracts, but it did not differ significantly in terms of the content of total phenolic compounds from the water–methanol extract from the leaves of the Gala cultivar (58.8 mg GAE/1 g of DW). The latter did not differ significantly from its water–ethanol counterpart (54.8 mg GAE/1 g of DW). However, the water–ethanol extract from the leaves of the Gala cultivar did not differ statistically in the content of polyphenols from the same type of extract made from the leaves of the Gloster cultivar (53.2 mg GAE/1 g of DW). Water extracts from the leaves of the Gala and Gloster cultivars had the significantly lowest content of phenolic compounds in extracts made using the UAE method (approx. 35 mg GAE/1 g of DW). Among the water extracts, the extract from the leaves of the Ligol v cultivar had the significantly highest content of polyphenols (43 mg GAE/1 g of DW).
A two-factor analysis of variance showed that not only did the type of solvent used have a significant impact on the content of total polyphenols in the extracts but also the cultivar of apple leaves, the significant impact of which could only be determined after taking into account both factors and their interaction.
Mikulic Petkovsek et al. [18], examining methanol extracts made using ultrasound-assisted extraction from healthy apple leaves of the Golden Delicious and Jonagold cultivars, collected in the last days of July, obtained very similar results. The content of total polyphenols was 76 mg GAE/1 g of DW in extracts from the Golden Delicious v cultivar and approximately 60 mg GAE/1 g of DW in extracts from the Jonagold cultivar. Teleszko and Wojdyło [8] also obtained similar results in their study. In 30% water–alcohol extracts, they determined from 73.3 (in the Szampion cultivar) to 115.8 mg GAE/1 g of DW (in the Ozark Gold cultivar) of total polyphenols. However, Efenberger-Szmechtyk et al. [41], similarly to the present study, determined significantly less polyphenols in water extracts from apple leaves than in water–ethanol extracts.

3.1.3. Extracts Obtained with Accelerated Solvent Extraction (ASE)

Based on the results obtained for individual extracts obtained with accelerated solvent extraction, a chart was prepared showing the content of total polyphenols in these extracts, expressed in mg GAE/1 g of DW (Figure 2).
In the case of extracts made using the ASE method, the one-way analysis of variance showed that the apple leaf cultivar does not significantly affect the content of total polyphenols, but the influence of the solvent used for extraction is significant. Water–methanol extracts had the significantly highest average content of phenolic compounds (65.6 mg GAE/1 g of DW), and water–ethanol and water extracts did not differ significantly from each other.
As in the case of extracts obtained with the UAE and SSE methods, also among the extracts prepared with the ASE method, the water and methanol extract from the apple leaves of the Ligol cultivar (76.6 mg GAE/1 g of DW) had the significantly highest content of total polyphenols. Water–methanol extracts from the leaves of the Gala and Gloster cultivars did not differ significantly (61.5 and 58.6 mg GAE/1 g of DW); however, they contained significantly more total polyphenols than all water–ethanol and water extracts. The water extract from the apple leaves of the Gloster cultivar had the lowest content of polyphenols (32.6 mg GAE/1 g of DW); however, it did not differ significantly from other water extracts or from its water–ethanol counterpart but contained significantly fewer phenolic compounds than water and ethanol extracts from the leaves of the Ligol and Gala cultivars (42.2 and 40.3 mg GAE/1 g of DW, respectively). The latter did not differ significantly from each other.

3.1.4. Comparison of the Extracts Tested

Based on the results obtained for extracts obtained with extraction by shaking them with a solvent (SSE) for 30 min, using ultrasound-assisted extraction (UAE) and accelerated extraction using a solvent (ASE), we prepared a chart showing the content of polyphenols in these extracts, expressed in mg GAE/1g of DW (Figure 3).
Extracts prepared using the UAE method and the SSE method by shaking them with a solvent did not differ significantly in terms of polyphenol content (approx. 55 mg GAE/1 g of DW); however, they contained significantly more of these compounds compared to extracts obtained using the accelerated extraction method using a solvent (46.8 mg GAE/1 g of DW). There are no literature data on the extraction of polyphenols from apple leaves using the ASE method. The extraction most often used for this purpose is solvent extraction aided by ultrasound [6,8,18,46]. Nayak et al. [35] showed that UAE is a better method of extracting polyphenols from orange peel than ASE. Blicharski et al. [48] also confirmed that extraction using the UAE method is the most effective.
The statistical analysis of all extracts, differing in the extraction method, type of solvent used, and apple leaf cultivar, showed that the solvent had the greatest impact on the polyphenol content in these extracts. The average content of total polyphenols in methanol extracts (80%) was 66.6 mg GAE/1 g of DW and was significantly the highest among all extracts. Ethanol extracts (40%) contained significantly more total polyphenols (53.3 mg GAE/1 g of DW) than water extracts (36.3 mg GAE/1 g of DW). The apple leaf cultivar did not significantly affect the content of total polyphenols in the extracts.
As a result of a three-factor analysis of variance, as many as 13 homogeneous groups were distinguished, which indicates a large diversity of extracts in terms of polyphenol content. Water and methanol extracts from apple leaves of the Ligol cultivar obtained with the SSE method (81.9 mg GAE/1 g of DW) and using ASE (76.6 mg GAE/1 g of DW) had the significantly highest content of phenolic compounds. The latter did not differ significantly from water–alcoholic extracts from Ligol leaves obtained using UAE. The lowest polyphenol content was determined in the water extract from the apple leaves of the Gloster cultivar, obtained using the SSE method (29.2 mg GAE/1 g of DW). However, the same homogeneous group also included the following extracts: water and water–ethanol extracts from the leaves of the Gloster cultivar obtained using ASE method, aqueous extracts from the leaves of the Gala cultivar obtained using the SSE method, and aqueous extracts from the leaves of the Gala and Gloster cultivars obtained using UAE method. The type of solvent used to extract polyphenols is one of the most important factors affecting the efficiency of this process. According to Azwanida [42], in many cases, depending on the plant raw material used, the best extractant is a 70% or 40% solution of ethanol in water. Dent et al. [32] and Efenberger-Szmechtyk et al. [41] also confirmed that at least two-component mixtures are the best extractants due to the different polar properties of polyphenols. Jakopic et al. [43] showed that extraction with methanol allows for a better extraction of polyphenols than extraction with ethanol. The content of total polyphenols in apple leaf extracts turned out to be much higher than in blackcurrant leaf extracts (22.2 mg GAE/1 g of DW). Apple leaf extracts had a similar polyphenol content compared to blueberry fruit (55.1 mg GAE/1 g of DW) and black tea leaves (depending on origin from 26.3 to 92.1 mg GAE/1 g of DW) [49,50].

3.2. Identification and Determination of Polyphenol Content Using High-Performance Liquid Chromatography (HPLC-DAD)

Identification and determination of the content of phenolic compounds was carried out using the HPLC method. Based on the available standards, the following were identified and quantified: epicatechin, rutin, hyperoside, isoquercitrin, phloridzin, and phloretin (Figure 4). Additionally, 4 other quercetin glycosides were identified, including quercitrin as well as phloretin xyloglucoside and naringenin. According to Liaudanskas et al. [46], among quercetin glycosides, in addition to rutin, hyperoside, isoquercitrin, and quercitrin, avicularin may also be present in apple leaves. Adamcová et al. [5] determined phloridzin, phloretin, chlorogenic acid, rutin, and quercetin in methanol extracts of 13 cultivars of apple leaves. Táborský et al. [51] observed the phenolic composition (phloridzin, phloretin, chlorogenic acid, and rutin) of the individual parts of apple trees during the vegetation period.
Sowa et al. [6] determined the following in apple leaf extracts: quercitrin, isoquercitrin, rutin, hyperoside, phloridzin, p-hydroxybenzoic acid, and chlorogenic acid. Liaudanskas et al. [46], in addition to quercetin, phloretin, phloridzin, and epicatechin glycosides, detected catechin, chlorogenic acid, and caffeic acid. Additionally, Efenberger-Szmechtyk et al. [41] identified neochlorogenic and dicaffeic acid, flavan-3-ols (gallocatechin-glucoside and epigallocatechin), and chalcone, 3-hydroxyphloridzine, in apple leaves. Bonarska-Kujawa et al. [52] also determined another derivative of phloretin among apple leaf chalcones, i.e., phloretin xyloglucoside, which was found in the highest concentration right after quercetin-3-rhamnoside. However, in all other works, as well as in Mikulic Petkovsek et al. [19] and in this study, phloridzin was by far the most abundant among all identified polyphenolic compounds in apple leaves. All previously mentioned authors also determined quercetin glycosides, which, after phloridzin, were the most abundant in apple leaves.
Among the phenolic compounds identified on the basis of the standard and quantitatively determined, phloridzin was the most abundant in apple leaf extracts, approximately 91.8% (Table 2). Next was quercetin glycoside, isoquercitrin (approx. 4.3%), phloretin (approx. 2.4%), and then epicatechin (approx. 0.7%) and hyperoside (approx. 0.6%). Rutin was the least abundant among the compounds determined (approx. 0.2%). The content of these compounds in the extracts was significantly influenced by the extraction method used, the cultivar of apple leaves, and the type of extract (Table 2, Table 3 and Table 4).
The content of all phenolic compounds, quantitatively determined using HPLC, was the highest in extracts obtained using ASE. The reason for this was probably the special conditions of this extraction, i.e., high pressure, increasing the extraction efficiency, and the nitrogen atmosphere, which could prevent the oxidation of polyphenols. Indeed, the least discussed phenolic compounds were extracted using the SSE method, by shaking with a solvent. The exception was hyperoside, which was significantly least determined in the extracts obtained using UAE. The longer exposure time of oxygen to the extracted samples (greater exposure to polyphenol oxidation) in the SSE method compared to ultrasound-assisted extraction (UAE) could have resulted in obtaining such results.
Differences were observed in the quantitative and qualitative composition of individual polyphenolic extracts obtained from different cultivars of apple leaves. This is partly due to genetic conditions and the differences that usually occur between cultivars. Also, such small variables as the degree of sunlight on the tree, soil, or exposure to pests could significantly influence the quantitative composition of phenolic compounds in apple leaves from different v cultivars [53].
Ligol leaf extracts were characterised by the significantly highest content of epicatechin, isoquercitrin, phloridzin, and phloretin. Compared to the extracts from Gloster leaves, those from the leaves of the Ligol cultivar contained approximately 20 mg/1 g of DW more phloridzin. Extracts from the leaves of the Gloster cultivar significantly contained the least polyphenols determined with HPLC; however, they contained significantly more phloretin (1.008 mg/1 g of DW) than extracts from the leaves of the Gala cultivar (0.622 mg/1 g of DW). In the latter, the most rutin and hyperoside were determined. Other authors also noted significant differences in the polyphenol composition in extracts obtained from different cultivars of apple leaves [1,3,5,6,7,8,10,12,46].
Water–methanol extracts from apple leaves significantly contained the highest number of phenolic compounds identified with HPLC. Using this solvent, 1.8 times more epicatechin was extracted than using a mixture of water and ethanol and almost 4 times more than using water alone. The water–methanol extracts contained almost 2.3 times more phloridzin and 1.8 times more phloretin than the water–ethanol extracts. The difference resulted not only from the type of solvent used but also its concentration (methanol—80%, ethanol—40%). According to Jakopic et al. [43], methanol allows for more efficient extraction than ethanol. However, research by Efenberger-Szmechtyk et al. [41] confirms that the content of extracted phenolic compounds increases with the increase in the concentration of the alcohol solvent.
The least amount of phenolic compounds was significantly determined in water extracts. In several water extracts, phloridzin and phloretin were not identified at all, and in the remaining ones, minimal amounts of these substances were determined compared to water and alcohol extracts (Table 5, Table 6 and Table 7). It can be concluded that epicatechin, isoquercitrin, phloridzin, and phloretin are much less soluble in water than in more polar solvents, such as ethanol and methanol. Therefore, to extract phenolic compounds from apple leaves, it is more appropriate to use mixtures of water and alcohol, preferably methanol.
For each of the phenolic compounds identified on the basis of the pattern, a three-way analysis of variance was performed. Significantly, the most epicatechin was extracted from Ligol leaves using the SSE method using a water–methanol mixture (0.698 mg/1 g of DW). The water–ethanol extract from the leaves of the Gala cultivar obtained using ASE had a very similar content of epicatechin (0.692 mg/1 g of DW). Water–methanol extracts from the leaves of the Gala cultivar obtained using ASE significantly contained the highest amounts of all quercetin glycosides, i.e., rutin (0.105 mg/1 g of DW), hyperoside (0.340 mg/1 g of DW), and isoquercitrin (3.006 mg/1 g of DW). The highest content of phloridzin and phloretin was found in water–methanol extracts from the leaves of the Ligol cultivar, with the extract obtained using UAE having the significantly highest amount of phloridzin (105.00 mg/1 g of DW) and the extract obtained using ASE having the significantly highest amount of phloretin (3.371 mg/1 g of DW).

3.3. Colour Parameters of Extracts in the CIEL*a*b* System

Both the extraction method, the cultivar of apple leaves and the type of solvent used had a significant impact on the values of the colour parameters (L*, a*, b*, C*, h°) of extracts prepared from freeze-dried apple leaves.
The L* parameter in the tested extracts had high values, from 91 to 94.5, so the extracts were definitely light. The brightest were the extracts obtained using the accelerated extraction method using a solvent (ASE), while the extracts obtained using the SSE method, by shaking them with a solvent, had the significantly lowest brightness (Figure 5). The colour parameter a*, in the case of all extraction methods, had negative values, so the colour of the extracts tended to be green. Extracts obtained using the ASE method were significantly the greenest (−5), while extracts obtained using ultrasound-assisted extraction (UAE) were significantly the least green (−0.9). The b* parameter had positive values, so the colour of all extracts tended to be yellow. Extracts obtained using the SSE method were significantly the yellowest (66.3), and extracts obtained using the UAE method (56.2) were significantly less yellow, but much more yellow than extracts were obtained using the ASE method (22.3). The colour parameter C* had almost the same values as the b* parameter and was almost one hundred percent correlated with it (r = 0.9999), so the yellow colour had the greatest influence on the colour saturation of the tested extracts. Indeed, the extracts prepared using the SSE method had the most intense colour, and the extracts prepared using the ASE method had the least intense colour. The ho parameter for the latter had the highest value (102.2°), which indicates that their colour was visibly yellow-green, while the extracts made using the UAE and SSE methods were yellow.
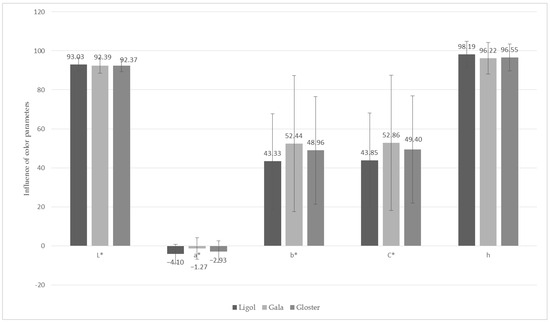
Also, in the case of extracts obtained from different cultivars of apple leaves, the extracts were characterised by high brightness. The values of the L* colour parameter were significantly the highest (93) in extracts obtained from the leaves of the Ligol cultivar (Figure 6). The colour parameter a*, in the case of all cultivars of apple leaves, had negative values, so the colour of the extracts tended to be green. Extracts obtained from the leaves of the Ligol cultivar were significantly the greenest (−4.1), while extracts obtained from the leaves of the Gala cultivar were significantly the least green (−1.3). The b* parameter had positive values, so the colour of all extracts tended to be yellow. The extracts obtained from the Gala cultivar were significantly yellowest (52.4) and were characterised by the significantly highest colour intensity. Extracts obtained from leaves of the Gloster cultivar (49) were significantly less yellow but much more yellow than extracts made from the leaves of the Ligol cultivar (43.3). Also, the colour intensity of extracts from the leaves of the Gloster cultivar was significantly higher than that of the extracts from the leaves of the Ligol cultivar. The significantly highest value of the ho parameter was recorded for extracts from the leaves of the Ligol cultivar (98.2°). Extracts from all leaf cultivars were described by this parameter as yellow, but there were significant differences between them, and leaf extracts from the Ligol cultivar tended to be yellow-green.
Also, in the case of extracts made using various solvents, high values of the L* colour parameter were obtained. Water extracts had the significantly highest brightness (93.5), while water–ethanol extracts had the significantly lowest brightness (90.9) (Figure 7). The colour parameter a*, in the case of water and water–methanol extracts, had negative values, so their colour tended to be green. In fact, the extracts were the greenest water–methanol extracts (−8.7), while water extracts were significantly less green (−1.3). The value of the a* parameter for water–ethanol extracts was 1.7, which means that the colour of these extracts tends to be red. Also, the values of the colour parameters b* and C* in water–ethanol extracts had the significantly highest values (61.5 and 61.6), so they were characterised by the highest yellow intensity. Significantly, the lowest intensity of yellow colour was recorded in water and methanol extracts. The values of the ho parameter differed significantly between extracts made using different solvents. All extracts can be described as yellow; however, the water–methanol extracts are definitely more yellow-green and the water–ethanol extracts yellow-red.
The differences in the colour of extracts obtained using different solvents were probably mainly influenced by coloured compounds soluble in a given extractant. The yellow-green colour of leaf extracts is directly influenced by chlorophylls (blue-green chlorophyll a and green-yellow chlorophyll b); carotenoids, specifically their oxygen derivatives; xanthophylls, which are highly soluble in alcohol; and the polyphenols themselves [54]. Chlorophylls could have the greatest impact on the colour of water and methanol extracts, which were significantly the greenest among apple leaf extracts. Indeed, the highest intensity of green colour in these extracts as well as in extracts from the leaves of the Ligol cultivar and extracts obtained using the ASE method indicates that they contain the most chlorophylls. Both xanthophylls and chlorophylls are strong antioxidant compounds [55,56]. Based on the values of colour parameters for the tested extracts, it can be concluded that the content of chlorophylls and xanthophylls could significantly influence the antioxidant activity of apple leaf extracts, although not to the same extent as the content of polyphenols. The values of parameters a* and b* were significantly and negatively correlated with the antioxidant capacity of the extracts, which means that the more green or blue (less yellow) the colour of the extract was, the greater its antioxidant activity.
A three-factor analysis of variance for the L* parameter allowed for the identification of as many as 25 homogeneous groups, which indicates a huge diversity of extracts in terms of colour brightness. The brightest was the water extract from the apple leaves of the Ligol cultivar, obtained using ASE (97.16) and the water–ethanol extract from the leaves of the Gala cultivar and obtained using the SSE method, and it had the significantly lowest brightness (87.37). After performing the same analysis for colour parameter a*, 21 homogeneous groups were distinguished. All water–ethanol extracts, except those obtained using ASE, tended to turn red (the a* parameter assumed positive values). In fact, the reddest of all was the water–ethanol extract from the leaves of the Gala cultivar, obtained using the SSE method (6.37). The lowest value of the a* parameter was recorded for the water and methanol extract from the leaves of the Ligol cultivar, obtained using the classical method (−12.46). Also, in all water–methanol extracts and those made using ASE, the a* parameter had negative values, so their colour tended to green. A three-factor analysis of variance for the colour parameter b* in the extracts identified 25 homogeneous groups. In fact, the yellowest was the water–ethanol extract from the leaves of the Gala cultivar, obtained using the SSE method (95.98). However, the lowest values of the b* parameter were observed in water and water–ethanol extracts obtained using ASE. The least yellow was the water extract from apple leaves of the Ligol cultivar, obtained with accelerated extraction with a solvent (10.29).

3.4. Antioxidant Capacity of Extracts

Based on the results obtained for individual extracts and those obtained using different extraction methods (SSE, UAE and ASE), differing in the type of solvent used and the cultivar of apple leaves, a chart was prepared showing the antioxidant activity of these extracts, expressed in μmol of Trolox/1 g of DW (Figure 8, Figure 9 and Figure 10).

3.4.1. Extracts Obtained with Shaking Solvent Extraction (SSE)

The two-way analysis of variance showed that water and methanol extracts from apple leaves of the Ligol cultivar had the highest antioxidant capacity, amounting to 131.2 μmol of Trolox/1 g of DW, and were characterised by significantly higher antioxidant activity than water extracts; however, they did not differ significantly from the other extracts. Water–methanol extracts from the leaves of the Gala and Gloster cultivars had significantly higher antioxidant capacity than their aqueous counterparts. However, all water–ethanol extracts (average 117.4 μmol of Trolox/1 g of DW) differed significantly only from water extracts from the leaves of the Gala cultivar (90.2 μmol of Trolox/1 g of DW). The latter were characterised by the significantly lowest antioxidant activity among extracts prepared using the SSE method; they did not differ significantly from water extracts from the leaves of the Gloster cultivar only. Also, the one-way analysis of variance confirmed that the antioxidant capacity of extracts made using the SSE extraction method is significantly influenced by both the type of solvent and the apple leaf cultivar, and in the case of apple leaf cultivars, a significant difference occurs only between the Ligol cultivar (average 120.1 μmol Trolox/1 g of DW) and Gala (average 111.8 μmol of Trolox/1 g of DW). In the study by Liaudanskas et al. [46], the antioxidant activity of water–alcohol extracts ranged from 120 in the Lithuanian Auksis cultivar to 142 μmol of Trolox/1 g of DW in the Aldas cultivar. Therefore, very similar results were obtained.

3.4.2. Extracts Obtained with Ultrasound-Assisted Extraction (UAE)

The two-way analysis of variance showed that the water–methanol and water–ethanol extracts did not differ significantly in antioxidant capacity (average 123 μmol of Trolox/1 g of DW); however, all water–alcoholic extracts were characterised by higher antioxidant activity than water extracts. Among the water extracts obtained using the UAE method, the extract from apple leaves of the Ligol cultivar had the significantly highest antioxidant capacity (106.3 μmol of Trolox/1 g of DW). The water extract from apple leaves of the Gloster cultivar had a significantly higher antioxidant capacity than the extract from the Gala cultivar, which was characterised by the significantly lowest antioxidant activity among all extracts prepared using the ultrasound-assisted extraction method (74.6 μmol of Trolox/1 g of DW).
The one-way analysis of variance confirmed that both the cultivars of apple leaves and the type of solvent used had a significant impact on the antioxidant capacity of the extracts. Significant differences among the average antioxidant activity were observed for extracts from different cultivars of apple leaves, respectively, Ligol > Gloster > Gala, as well as for different types of extracts, water–methanol > water–ethanol > water. In the 70% ethanol extract from apple leaves of the Ligol cultivar, obtained using UAE, Liaudanskas et al. [46] obtained a similar antioxidant capacity, amounting to approximately 130 μmol of Trolox/1 g of DW. However, in the study by Teleszko and Wojdyło [8], the antioxidant activity apple leaf extracts ranged, depending on the cultivar, from 105.7 to 200.2 μmol Trolox/1 g of DW. These authors investigated the antioxidant activity of leaf extracts from different fruit trees and bushes, including apple, quince, chokeberry, cranberry, etc. Their results showed that apple leaf extract exhibited the third-highest content of total polyphenols, whereas it had one of the lowest antioxidant activities, which was explained by the differences in the polyphenol profiles of different plant species.

3.4.3. Extracts Obtained with Accelerated Solvent Extraction (ASE)

For apple leaf extracts obtained with accelerated extraction using a solvent, a two-way analysis of variance showed that these extracts did not differ significantly in terms of antioxidant activity, and only the water extract prepared from apple leaves of the Ligol cultivar had the significantly lowest antioxidant capacity among all those prepared using this method (109 μmol of Trolox/1 g of DW). The highest average antioxidant activity was in the water–ethanol and water–methanol extracts from the leaves of the Ligol cultivar, respectively, 127.3 and 127 μmol of Trolox/1 g of DW. The one-way analysis of variance showed that extracts prepared from different cultivars of apple leaves did not differ significantly from each other, and in the case of the type of solvent used, it was observed that water–alcohol extracts had significantly greater antioxidant activity than water extracts.

3.4.4. Comparison of the Tested Extracts

Extracts made using the accelerated solvent extraction method, compared to extracts made using the UAE and SSE methods, were characterised by the significantly highest antioxidant capacity, which amounted to an average of 121.7 μmol of Trolox/1 g of DW (Figure 11). Also, extracts prepared by shaking them with a solvent had significantly higher antioxidant activity (116.8 μmol of Trolox/1 g of DW) than extracts prepared with ultrasound-assisted extraction (111.5 μmol of Trolox/1 g of DW). Studies by Nayak et al. [35] and Cai et al. [57] also showed that polyphenol extracts obtained with accelerated solvent extraction are characterised by the significantly highest antioxidant activity.
The one-way analysis of variance performed for all types of extracts showed that in addition to the extraction method, the type of solvent used and the cultivar of apple leaves from which the extracts were prepared had a significant impact on the antioxidant activity of the extracts. Water–methanol extracts had the significantly highest antioxidant capacity (average 125.9 μmol of Trolox/1 g of DW), extracts containing 40% ethanol were second in this respect, while water extracts had the significantly lowest antioxidant activity (average 102.9 μmoles of Trolox/1 g of DW). Among the extracts made from various cultivars of apple leaves, those made from the Ligol cultivar had the highest antioxidant activity (average 119.8 μmol of Trolox/1 g of DW) and had a significantly higher antioxidant capacity than extracts from the Gala and Gloster cultivars. However, extracts from the leaves of the Gloster cultivar had a significantly higher antioxidant capacity (116.9 μmol of Trolox/1 g of DW) than extracts from the leaves of the Gala cultivar (an average of 113.3 μmol of Trolox/1 g of DW). Similarly to the content of polyphenols, Efenberger-Szmechtyk et al. [41] found that the antioxidant activity of apple leaf extracts is significantly influenced by the type of solvent used, although to a much lesser extent than the concentration of total phenolic compounds. The results for the antioxidant capacity of the extracts ranged from 58.1 to 65.6 μmol of Trolox/100 mL, and the increase in ethanol concentration resulted in an increase in the antioxidant activity of the apple leaf extract. Compared with the present study (from 86.8 μmol of Trolox/100 mL in the water extract obtained with the UAE method, to 121.3 μmol of Trolox/100 mL in the water–methanol extract) antioxidant activity assumed higher values, which usually increased with increasing alcohol concentration in the extractant. However, when comparing both studies, differences in extract concentration and extraction parameters should be taken into account. Liaudanskas et al. [46], Teleszko and Wojdyło [8], and Sowa et al. [6] confirm in their studies that the cultivar of apple leaves has a significant impact on the antioxidant activity of extracts.
After conducting a three-factor analysis of variance, eight homogeneous groups were distinguished. Water and methanol extracts from apple leaves of the Ligol and Gala cultivars, obtained using the classical method, had the significantly highest antioxidant capacity (131.2 and 130.4 μmol of Trolox/1 g of DW, respectively). However, the same homogeneous group included all other water–alcoholic extracts (except the water–ethanol extract from the leaves of the Gala cultivar obtained using the SSE method) and water extracts from apple leaves of the Gala and Gloster cultivars obtained using ASE method. Water extracts from apple leaves of the Gala and Gloster cultivars obtained using UAE method had the significantly lowest antioxidant activity (74.6 and 85.7 μmol of Trolox/1 g of DW, respectively). Additionally, the latter did not differ statistically from the water extract from Gala leaves obtained using the SSE method.
The antioxidant activity of the apple leaf extracts obtained in this study is comparable to that of blackcurrant leaf extracts (130.2 μmol of Trolox/1 g of DW) as well as of highbush blueberries (128.4 μmol of Trolox/1 g of DW) or strawberries (121.6 μmol of Trolox/1 g of DW) [49,50]. However, the antioxidant capacity of water–alcohol extracts from apple leaves is much higher than infusions from fruit teas (40.6 μmol of Trolox/100 g of DW), red currants, cranberries, and most vegetables, e.g., onions (approx. 45 μmol of Trolox/1 g of DW) or broccoli (approx. 89 μmol of Trolox/1 g of DW) [49].

3.5. The Relationship between the Content of Polyphenols and the Antioxidant Activity of Apple Leaf Extracts

For extracts prepared using the SSE and UAE methods, a significant, positive correlation was obtained between the antioxidant capacity and the polyphenol content. In the UAE method, the correlation coefficient was characterised by a very high value (0.85), which indicates a very high relationship between the examined parameters. In the SSE method, the correlation coefficient was also characterised by a high value (0.76), which indicates a significant relationship between the examined parameters. With the increase in the content of polyphenolic compounds, the antioxidant activity of apple leaf extracts tends to increase. With the ASE method, the correlation coefficient was low (0.30), which indicates a clear dependence of the antioxidant activity on the polyphenol content in the extracts. However, in the case of this method, other factors must have had a significant impact on the antioxidant activity of the extracts. It is possible that the accelerated extraction parameters used allowed for the extraction to a greater extent than with other extraction methods of other antioxidants (e.g., chlorophyll), which have a stronger impact on the antioxidant capacity of the extracts than the polyphenolic compounds themselves.
Studies by Ben-Othman et al. [1], Sowa et al. [6], Teleszko and Wojdyło [8], and Liaudanskas et al. [46] confirm a significant, positive correlation between the content of polyphenols and the antioxidant capacity in apple leaf extracts.

4. Conclusions

Apple leaves are not routinely used in the industry, but their easy availability in Poland and the presence of desirable compounds with antioxidant and health-promoting properties indicate that they are an excellent raw material for use in the food, cosmetics, and pharmaceutical industries. Extracts obtained from apple leaves can be used as antioxidants, protecting food against undesirable oxidative changes. The results obtained in this study clearly indicate that apple leaf extracts are characterised by a high content of polyphenols, comparable to, among others, black tea. Water–alcoholic extracts from apple leaves were characterised by a higher antioxidant capacity and polyphenol content than water extracts. The best solvent was a mixture of water and methanol (80%). The type of solvent and the extraction method used had a significant impact on the content of total polyphenols in apple leaf extracts, while the apple cultivar also had a significant impact on the content of specific phenolic compounds in the extracts. In apple leaf extracts, the dominant phenolic compound was phloridzin. The highest content of phloridzin was found in water–methanol extracts from the leaves of the Ligol cultivar obtained with ultrasound-assisted solvent extraction (UAE). Phloridzin, which is the compound found in the largest amounts in apple leaves, had a positive effect on glucose uptake. Thus, apple leaf extracts have an interesting potential use for the enrichment of food products with phloridzin. They can also be successfully used as an ingredient of dietary supplements, including ones that support weight loss.

Supplementary Materials

The following supporting information can be downloaded at: https://www.mdpi.com/article/10.3390/app14083252/s1, Table S1: Validation parameters of the HPLC-DAD analysis.

Author Contributions

Conceptualization, A.C. and J.L.P.; methodology, A.C. and J.L.P.; software, A.C. and J.L.P.; validation, A.C. and J.L.P.; formal analysis, A.C. and J.L.P.; investigation, A.C., Z.J., and J.L.P.; resources, A.C.; data curation, J.L.P.; writing—original draft preparation, A.C.; writing—review and editing, A.C. and J.L.P.; visualization, J.L.P.; supervision, A.C.; project administration, A.C.; funding acquisition, A.C. All authors have read and agreed to the published version of the manuscript.

Funding

This study received no external funding.

Institutional Review Board Statement

Not applicable.

Informed Consent Statement

Not applicable.

Data Availability Statement

The data presented in this study are available on request from the corresponding authors.

Conflicts of Interest

The authors declare no conflicts of interest.

References

  1. Ben-Othman, S.; Kaldmäe, H.; Rätsep, R.; Bleive, U.; Aluvee, A.; Rinken, T. Optimization of Ultrasound-Assisted Extraction of Phloretin and Other Phenolic Compounds from Apple Tree Leaves (Malus domestica Borkh.) and Comparison of Different Cultivars from Estonia. Antioxidants 2021, 10, 189. [Google Scholar] [CrossRef] [PubMed]
  2. Apple Production by Country. 2023. Available online: https://worldpopulationreview.com/country-rankings/apple-production-by-country (accessed on 10 December 2023).
  3. Liaudanskas, M.; Viškelis, P.; Kviklys, D.; Raudonis, R.; Janulis, V. A comparative study of phenolic content in apple fruits. Int. J. Food Prop. 2015, 18, 945–953. [Google Scholar] [CrossRef]
  4. Marranzano, M.; Rosa, R.L.; Malaguarnera, M.; Palmeri, R.; Tessitori, M.; Barbera, A.C. Polyphenols: Plant Sources and Food Industry Applications. Curr. Pharm. Des. 2018, 24, 4125–4130. [Google Scholar] [CrossRef] [PubMed]
  5. Adamcová, A.; Horna, A.; Šatínský, D. Determination of Phloridzin and Other Phenolic Compounds in Apple Tree Leaves, Bark, and Buds Using Liquid Chromatography with Multilayered Column Technology and Evaluation of the Total Antioxidant Activity. Pharmaceuticals 2022, 15, 244. [Google Scholar] [CrossRef] [PubMed]
  6. Sowa, A.; Zgórka, G.; Szykuła, A.; Franiczek, R.; Zbikowska, B.; Gamian, A.; Sroka, Z. Analysis of Polyphenolic Compounds in Extracts from Leaves of Some Malus domestica Cultivars: Antiradical and Antimicrobial Analysis of These Extracts. BioMed Res. Int. 2016, 5, 6705431. [Google Scholar] [CrossRef]
  7. Rana, S.; Kumar, S.; Rana, A.; Sharma, V.; Katoch, P.; Padwad, Y.; Bhushan, S. Phenolic constituents from apple tree leaves and their in vitro biological activity. Ind. Crops Prod. 2016, 90, 118–125. [Google Scholar] [CrossRef]
  8. Teleszko, M.; Wojdyło, A. Comparison of phenolic compounds and antioxidant potential between selected edible fruits and their leaves. J. Funct. Foods 2015, 14, 736–746. [Google Scholar] [CrossRef]
  9. Lu, Y.; Du, Y.; Qin, X.; Wu, H.; Huang, Y.; Cheng, Y.; Wei, Y. Comprehensive evaluation of effective polyphenols in apple leaves and their combinatory antioxidant and neuroprotective activities. Ind. Crops Prod. 2019, 129, 242–252. [Google Scholar] [CrossRef]
  10. Wojdyło, A.; Oszmiański, J. Antioxidant activity modulated by polyphenol contents in apple and leaves during fruit development and ripening. Antioxidants 2020, 9, 567. [Google Scholar] [CrossRef]
  11. Moreira, M.M.; Barroso, M.F.; Boeykens, A.; Withouck, H.; Morais, S.; Delerue-Matos, C. Valorization of apple tree wood residues by polyphenols extraction: Comparison between conventional and microwave-assisted extraction. Ind. Crops Prod. 2017, 104, 210–220. [Google Scholar] [CrossRef]
  12. Walia, M.; Kumar, S.; Agnihotri, V.K. UPLC-PDA quantification of chemical constituents of two different varieties (golden and royal) of apple leaves and their antioxidant activity. J. Sci. Food Agric. 2016, 96, 1440–1450. [Google Scholar] [CrossRef]
  13. Rana, S.; Bhushan, S. Apple phenolics as nutraceuticals: Assessment, analysis and application. J. Food Sci. Technol. 2016, 53, 1727–1738. [Google Scholar] [CrossRef]
  14. Lee, K.W.; Kim, Y.J.; Kim, D.O.; Lee, H.J.; Lee, C.Y. Major Phenolics in Apple and Their Contribution to the Total Antioxidant Capacity. J. Agric. Food Chem. 2003, 51, 6516–6520. [Google Scholar] [CrossRef]
  15. Heinmaa, L.; Moor, U.; Põldma, P.; Raudsepp, P.; Kidmose, U.; Lo Scalzo, R. Content of health-beneficial compounds and sensory properties of organic apple juice as affected by processing technology. LWT Food Sci. Technol. 2017, 85, 372–379. [Google Scholar] [CrossRef]
  16. Skłodowska, M.; Mikiciński, A.; Wielanek, M.; Kuźniak, E.; Sobiczewski, P. Phenolic profiles in apple leaves and the efficacy of selected phenols against fire blight (Erwinia amylovora). Eur. J. Plant Pathol. 2018, 151, 213–228. [Google Scholar] [CrossRef]
  17. Spencer, P.W.; Titus, J.S. Biochemical and Enzymatic Changes in Apple Leaf Tissue during Autumnal Senescence. Plant Physiol. 1972, 49, 746–750. [Google Scholar] [CrossRef]
  18. Mikulic Petkovšek, M.; Stampar, F.; Veberic, R. Increased phenolic content in apple leaves infected with the apple scab pathogen. J. Plant Pathol. 2008, 90, 49–55. Available online: https://www.jstor.org/stable/41998458 (accessed on 10 February 2024).
  19. Mikulic Petkovsek, M.; Slatnar, A.; Stampar, F.; Veberic, R. The influence of organic/integrated production on the content of phenolic compounds in apple leaves and fruits in four different varieties over a 2-year period. J. Sci. Food Agric. 2010, 90, 2366–2378. [Google Scholar] [CrossRef] [PubMed]
  20. Veeriah, S.; Kautenburger, T.; Habermann, N. Apple flavonoids inhibit growth of HT29 human colon cancer cells and modulate expression of genes involved in the biotransformation of xenobiotics. Mol. Carcinogen. 2006, 45, 164–174. [Google Scholar] [CrossRef]
  21. Boccia, M.M.; Kopf, S.R.; Baratti, C.M. Phlorizin, a competitive inhibitor of glucose transport, facilitates memory storage in mice. Neurobiol. Learn. Mem. 1999, 71, 104–112. [Google Scholar] [CrossRef]
  22. Puel, C.; Quintin, A.; Mathey, J. Prevention of bone loss by phloridzin, an apple polyphenol, in ovariectomized rats under inflammation conditions. Calcif. Tissue Int. 2005, 77, 311–318. [Google Scholar] [CrossRef] [PubMed]
  23. Zhao, H.; Yakar, S.; Gavrilova, O. Phloridzin improves hyperglycemia but not hepatic insulin resistance in a transgenic mouse model of type 2 diabetes. Diabetes 2004, 53, 2901–2909. [Google Scholar] [CrossRef] [PubMed]
  24. Najafan, M.; Jahromi, M.Z.; Nowroznejhad, M.J. Phloridzin reduces blood glucose levels and improves lipids metabolism in streptozotocin-induced diabetic rats. Mol. Biol. Rep. 2012, 39, 5299–5306. [Google Scholar] [CrossRef] [PubMed]
  25. Niederberger, K.E.; Tennant, D.R.; Bellion, P. Dietary intake of phloridzin from natural occurrence in foods. Br. J. Nutr. 2020, 123, 942–950. [Google Scholar] [CrossRef] [PubMed]
  26. Gosch, C.; Halbwirth, H.; Kuhn, J.; Miosic, S.; Stich, K. Biosynthesis of phloridzin in apple (Malus domestica Borkh.). Plant Sci. 2009, 176, 223–231. [Google Scholar] [CrossRef]
  27. Chan, S.S.; Lotspeich, W.D. Comparative effects of phlorizin and phloretin on glucose transport in the cat kidney. Am. J. Physiol. 1962, 203, 975–979. [Google Scholar] [CrossRef] [PubMed]
  28. Parus, A. Przeciwutleniające i farmakologiczne właściwości kwasów fenolowych. Postępy Fitoter. 2013, 1, 48–53. [Google Scholar]
  29. Glade, M.J. Dietary phytochemicals in cancer prevention and treatment. Book Rev. Nutr. 1997, 13, 394–397. [Google Scholar]
  30. Nabavi, S.F.; Tejada, S.; Setzer, W.N.; Gortzi, O.; Sureda, A.; Braidy, N.; Daglia, M.; Manayi, A.; Nabavi, S.M. Chlorogenic Acid and Mental Diseases: From Chemistry to Medicine. Curr. Neuropharmacol. 2017, 15, 471–478. [Google Scholar] [CrossRef]
  31. Cendrowski, A.; Studnicki, M.; Kalisz, S. Impact of different solvents and temperatures on the extraction of bioactive compounds from rose fruits (Rosa rugosa) pomace. Appl. Sci. 2024, 14, 691. [Google Scholar] [CrossRef]
  32. Dent, M.; Dragovic-Uzelac, V.; Penic, M.; Brncic, M.; Bosiljkov, T.; Levaj, B. The Effect of Extraction Solvents, Temperature and Time on the Composition and Mass Fraction of Polyphenols in Dalmatian Wild Sage (Salvia officinalis L.) Extracts. Food Technol. Biotechnol. 2013, 51, 84–91. [Google Scholar]
  33. Zhang, S.; Bi, H.; Liu, C. Extraction of bio-active components from Rhodiola sachalinensis under ultrahigh hydrostatic pressure. Sep. Purif. Technol. 2007, 57, 277–282. [Google Scholar] [CrossRef]
  34. Chemat, F.; Vian, M.A.; Cravotto, G. Green extraction of natural products: Concept and principles. Int. J. Mol. Sci. 2012, 13, 8615–8627. [Google Scholar] [CrossRef] [PubMed]
  35. Nayak, B.; Dahmoune, F.; Moussi, K.; Remini, H.; Dairi, S.; Aoun, O.; Khodir, M. Comparison of microwave, ultrasound and accelerated-assisted solvent extraction for recovery of polyphenols from Citrus sinensis peels. Food Chem. 2015, 187, 507–516. [Google Scholar] [CrossRef] [PubMed]
  36. ChromaDex Standards. Available online: https://standards.chromadex.com/Documents/Tech%20Tips/techtip0003-recoverydilutionprocedures_nl_pw.pdf (accessed on 4 March 2024).
  37. Gao, X.; Ohlander, M.; Jeppson, N.; Bjork, L.; Trajkovski, V. Changes in antioxidant effect and their relationship to phytonutrients in fruit of sea buckthorn (Hippophae rhamnoides L.) during maturation. J. Agric. Food Chem. 2000, 48, 1485–1490. [Google Scholar] [CrossRef] [PubMed]
  38. Yen, G.C.; Chen, H.Y. Antioxidant Activity of Various Tea Extracts in Relation to Their Antimutagenicity. J. Agric. Food Chem. 1995, 43, 27–32. [Google Scholar] [CrossRef]
  39. Monograph 04/2022:50400; European Pharmacopoeia 11.4. EDQM: Strasbourg, France, 2022; pp. 5525–5532.
  40. Cendrowski, A.; Kraśniewska, K.; Przybył, J.L.; Zielińska, A.; Kalisz, S. Antibacterial and Antioxidant Activity of Extracts from Rose Fruits (Rosa rugosa). Molecules 2020, 25, 1365. [Google Scholar] [CrossRef]
  41. Efenberger-Szmechtyk, M.; Nowak, A.; Czyżowska, A. Antibacterial activity of polyphenol extracts obtained from apple leaves. In The Role of Technological Processes in Shaping Food Quality; Polish Society of Food Technologists: Kraków, Poland, 2016; pp. 68–77. [Google Scholar]
  42. Azwanida, N.N. A Review on the Extraction Methods Use in Medicinal Plants, Principle, Strength and Limitation. Med. Aromat. Plants 2015, 4, 1–6. [Google Scholar] [CrossRef]
  43. Jakopic, J.; Veberic, R.; Stampar, F. Extraction of phenolic compounds from green walnut fruits in different solvents. Acta Agric. Slov. 2009, 5, 11–15. [Google Scholar] [CrossRef]
  44. Prior, R.L.; Wu, X.; Schaich, K. Standardized methods for the determination of antioxidant capacity and phenolics in foods and dietary supplements. J. Agric. Food Chem. 2005, 53, 4290–4302. [Google Scholar] [CrossRef]
  45. Huang, D.; Ou, B.; Prior, R.L. The chemistry behind antioxidant capacity assays. J. Agric. Food Chem. 2005, 53, 1841–1856. [Google Scholar] [CrossRef]
  46. Liaudanskas, M.; Viškelis, P.; Raudonis, R.; Kviklys, M.; Uselis, N.; Janulis, V. Phenolic Composition and Antioxidant Activity of Malus domestica Leaves. Sci. World J. 2014, 2014, 306217. [Google Scholar] [CrossRef]
  47. Turkmen, N.; Sari, F.; Velioglu, Y.S. Effects of extraction solvents on concentration and antioxidant activity of black and black mate tea polyphenols determined by ferrous tartrate and Folin–Ciocalteu methods. Food Chem. 2006, 99, 835–841. [Google Scholar] [CrossRef]
  48. Blicharski, T.; Oniszczuk, A.; Olech, M.; Oniszczuk, T.; Wójtowicz, A.; Krawczyk, W.; Nowak, R. Puffed cereals with added chamomile—Quantitative analysis of polyphenols and optimization of their extraction method. Ann. Agric. Environ. Med. 2017, 24, 222–228. [Google Scholar] [CrossRef]
  49. Szajdek, A.; Borowska, J. Antioxidant properties of plant foods. Food Sci. Technol. Qual. 2004, 4, 5–28. [Google Scholar]
  50. Nour, V.; Trandafir, I.; Cosmulescu, S. Antioxidant capacity, phenolic compounds and minerals content of blackcurrant (Ribes nigrum L.) leaves as influenced by harvesting date and extraction method. Ind. Crops Prod. 2014, 53, 133–139. [Google Scholar] [CrossRef]
  51. Táborský, J.; Sus, J.; Lachman, J.; Šebková, B.; Adamcová, A.; Šatínský, D. Dynamics of Phloridzin and Related Compounds in Four Cultivars of Apple Trees during the Vegetation Period. Molecules 2021, 26, 3816. [Google Scholar] [CrossRef] [PubMed]
  52. Bonarska-Kujawa, D.; Cyboran, S.; Oszmiański, J.; Kleszczyńska, H. Extracts from apple leaves and fruits as effective antioxidants. J. Med. Plant. Res 2011, 5, 2339–2347. [Google Scholar]
  53. Podyma, W.; Bączek, K.; Angielczyk, M.; Przybył, J.L.; Węglarz, Z. The influence of shading on the yield and quality of southern sweet-grass (Hierochloë australis (Schrad.) Roem. & Schult.) raw material. Herba Pol. 2010, 56, 14–18. [Google Scholar]
  54. Rotkiewicz, D.; Konopka, I.; Tańska, M. Carotenoid and chlorophyll pigments of vegetable oils and their functions. Oil Crops 2002, XXIII, 563–579. [Google Scholar]
  55. Ferruzzi, M.G.; Böhm, V.; Courtney, P.D.; Schwartz, S.J. Antioxidant and Antimutagenic Activity of Dietary Chlorophyll Derivatives Determined by Radical Scavenging and Bacterial Reverse Mutagenesis Assays. J. Food Sci. 2006, 67, 2589–2595. [Google Scholar] [CrossRef]
  56. Igielska-Kalwat, J.; Gościańska, J.; Nowak, I. Carotenoids as natural antioxidants. Postepy Hig. Med. Dosw. 2015, 69, 418–428. [Google Scholar] [CrossRef] [PubMed]
  57. Cai, Y.; Qu, Z.; Lan, Y.; Zhao, S.; Ma, X.; Wan, Q.; Jing, P.; Li, P. Conventional, ultrasound-assisted, and accelerated-solvent extractions of anthocyanins from purple sweet potatoes. Food Chem. 2016, 197, 266–272. [Google Scholar] [CrossRef] [PubMed]
Figure 1. Content of total polyphenols in apple leaf extracts obtained with ultrasound-assisted extraction.
Figure 1. Content of total polyphenols in apple leaf extracts obtained with ultrasound-assisted extraction.
Applsci 14 03252 g001
Figure 2. Content of total polyphenols in apple leaf extracts obtained with accelerated solvent extraction.
Figure 2. Content of total polyphenols in apple leaf extracts obtained with accelerated solvent extraction.
Applsci 14 03252 g002
Figure 3. Content of total polyphenols in apple leaf extracts obtained using various extraction methods. Abbreviations: SSE—Shaking Solvent Extraction; UAE—Ultrasound-Assisted Extraction; ASE—Accelerated Solvent Extraction.
Figure 3. Content of total polyphenols in apple leaf extracts obtained using various extraction methods. Abbreviations: SSE—Shaking Solvent Extraction; UAE—Ultrasound-Assisted Extraction; ASE—Accelerated Solvent Extraction.
Applsci 14 03252 g003
Figure 4. Sample chromatogram of apple leaf extract (at 254 nm). Peaks: 1—(-) epicatechin, 2—rutin, 3—hyperoside, 4—isoquercitrin, 5, 7, 8—quercetin glycosides, 6—phloretin xyloglucoside, 9—quercitrin, 10—phloridzin, 11—naringenin, 12—phloretin.
Figure 4. Sample chromatogram of apple leaf extract (at 254 nm). Peaks: 1—(-) epicatechin, 2—rutin, 3—hyperoside, 4—isoquercitrin, 5, 7, 8—quercetin glycosides, 6—phloretin xyloglucoside, 9—quercitrin, 10—phloridzin, 11—naringenin, 12—phloretin.
Applsci 14 03252 g004
Figure 5. Values of colour parameters in extracts made using various extraction methods.
Figure 5. Values of colour parameters in extracts made using various extraction methods.
Applsci 14 03252 g005
Figure 6. Values of colour parameters in extracts made from different cultivars of apple leaves.
Figure 6. Values of colour parameters in extracts made from different cultivars of apple leaves.
Applsci 14 03252 g006
Figure 7. Values of colour parameters in extracts made using various solvents.
Figure 7. Values of colour parameters in extracts made using various solvents.
Applsci 14 03252 g007
Figure 8. Antioxidant capacity in apple leaf extracts prepared with shaking solvent extraction (SSE).
Figure 8. Antioxidant capacity in apple leaf extracts prepared with shaking solvent extraction (SSE).
Applsci 14 03252 g008
Figure 9. Antioxidant capacity in apple leaf extracts prepared using the UAE method.
Figure 9. Antioxidant capacity in apple leaf extracts prepared using the UAE method.
Applsci 14 03252 g009
Figure 10. Antioxidant capacity in apple leaf extracts prepared using the ASE method.
Figure 10. Antioxidant capacity in apple leaf extracts prepared using the ASE method.
Applsci 14 03252 g010
Figure 11. Antioxidant capacity of apple leaf extracts obtained using different extraction methods.
Figure 11. Antioxidant capacity of apple leaf extracts obtained using different extraction methods.
Applsci 14 03252 g011
Table 1. The content of total polyphenols (TPC) in extracts obtained with shaking solvent extraction (SSE).
Table 1. The content of total polyphenols (TPC) in extracts obtained with shaking solvent extraction (SSE).
Type of SolventApple CultivarShaking Time [min]TPC
Water Ligol147.9 ± 1.8
3042.0 ± 0.5
6039.5 ± 1.3
9039.4 ± 1.2
Gala137.6 ± 0.9
3034.4 ± 0.4
6034.2 ± 0.6
9033.9 ± 1.7
Gloster132.9 ± 0.8
3029.6 ± 1.2
6029.0 ± 1.1
9028.6 ± 1.2
Water–methanol
(20:80, v/v)
Ligol178.5 ± 1.7
3080.9 ± 2.6
6078.5 ± 3.8
9076.0 ± 2.3
Gala165.6 ± 3.6
3060.6 ± 0.4
6058.8 ± 3.2
9058.8 ± 2.3
Gloster158.5 ± 1.6
3066.7 ± 1.2
6061.5 ± 2.4
9057.7 ± 2.2
Water–ethanol
(60:40, v/v)
Ligol158.5 ± 2.0
3067.4 ± 1.8
6067.3 ± 3.1
9065.8 ± 1.9
Gala152.8 ± 3.0
3059.0 ± 2.0
6058.5 ± 1.3
9058.4 ± 1.2
Gloster147.9 ± 1.1
3055.4 ± 2.0
6049.1 ± 1.6
9047.9 ± 3.3
Mean values for triplicates ± SD. Abbreviations: TPC—Total phenolic content in extracts (mg GAE/1 g of DW); GAE: gallic acid equivalent; DW: dry weight.
Table 2. Content of phenolic compounds in apple leaf extracts obtained using various extraction methods.
Table 2. Content of phenolic compounds in apple leaf extracts obtained using various extraction methods.
Extraction MethodContent of Phenolic Compounds in Extracts (mg/1 g of DW)
EpicatechinRutinHyperosideIsoquercitrinPhloridzinPhloretin
SSE0.289 ± 0.202 c0.074 ± 0.007 c0.258 ± 0.041 b2.005 ± 0.950 c39.859 ± 37.497 c1.324 ± 1.031 c
UAE0.308 ± 0.208 b0.078 ± 0.004 b0.253 ± 0.046 c2.028 ± 0.922 b41.480 ± 39.745 b1.104 ± 1.093 b
ASE0.382 ± 0.222 a0.079 ± 0.010 a0.274 ± 0.051 a2.076 ± 0.840 a49.072 ± 33.470 a1.228 ± 1.176 a
Mean values ± SD. Letters (a–c) indicate significant differences in the content of phenolic compounds between different extraction methods (p < 0.05). Abbreviations: DW: dry weight; SSE—Shaking Solvent Extraction; UAE—Ultrasound-Assisted Extraction; ASE—Accelerated Solvent Extraction.
Table 3. Content of phenolic compounds in extracts obtained from different cultivars of apple leaves.
Table 3. Content of phenolic compounds in extracts obtained from different cultivars of apple leaves.
Apple Cultivar Content of Phenolic Compounds in Extracts (mg/1 g of DW)
EpicatechinRutinHyperosideIsoquercitrinPhloridzinPhloretin
Ligol0.373 ± 0.244 a0.077 ± 0.004 b0.263 ± 0.044 b2.080 ± 0.790 a54.941 ± 41.991 a1.732 ± 1.401 a
Gala0.358 ± 0.210 b0.078 ± 0.012 a0.266 ± 0.052 a2.070 ± 0.981 b41.313 ± 35.477 b0.622 ± 0.581 c
Gloster0.249 ± 0.158 c0.076 ± 0.005 c0.256 ± 0.044 c1.960 ± 0.930 c34.156 ± 29.794 c1.008 ± 0.852 b
Mean values ± SD. Letters (a–c) indicate significant differences in the content of phenolic compounds between different cultivars of apple leaves (p < 0.05). Abbreviations: DW: dry weight.
Table 4. Content of phenolic compounds in extracts obtained using various solvents.
Table 4. Content of phenolic compounds in extracts obtained using various solvents.
Type of
Solvent
Content of Phenolic Compounds in Extracts (mg/1 g of DW)
EpicatechinRutinHyperosideIsoquercitrinPhloridzinPhloretin
Water0.137 ± 0.036 c0.078 ± 0.003 b0.203 ± 0.013 c0.868 ± 0.196 c5.880 ± 7.922 c0.012 ± 0.014 c
Water–methanol
(20:80, v/v)
0.543 ± 0.116 a0.081 ± 0.009 a0.297 ± 0.022 a2.724 ± 0.158 a86.601 ± 14.936 a2.165 ± 0.847 a
Water–ethanol
(60:40, v/v)
0.299 ± 0.173 b0.072 ± 0.006 c0.285 ± 0.011 b2.518 ± 0.263 b37.930 ± 12.554 b1.185 ± 0.639 b
Mean values ± SD. Letters (a–c) indicate significant differences in the content of phenolic compounds between different types of solvents (p < 0.05). Abbreviations: DW: dry weight.
Table 5. Content of polyphenolic compounds identified with HPLC in apple leaf extracts obtained by shaking them with a solvent (SSE).
Table 5. Content of polyphenolic compounds identified with HPLC in apple leaf extracts obtained by shaking them with a solvent (SSE).
Type of SolventApple
Cultivar
Content of Phenolic Compounds in Extracts (mg/1 g of DW)
EpicatechinRutinHyperosideIsoquercitrinPhloridzinPhloretin
WaterLigol0.132 ± 0.0700.080 ± 0.0500.220 ± 0.0060.931 ± 0.0203.391 ± 0.5500.021 ± 0.006
Gala0.076 ± 0.0050.083 ± 0.0040.204 ± 0.2900.647 ± 0.010NDND
Gloster0.140 ± 0.0060.079 ± 0.0060.196 ± 0.0700.672 ± 0.020NDND
Water–methanol
(20:80, v/v)
Ligol0.698 ± 0.0400.078 ± 0.0040.288 ± 0.0602.587 ± 0.090103.08 ± 2.9403.134 ± 0.060
Gala0.429 ± 0.0070.077 ± 0.0030.282 ± 0.0052.827 ± 0.06079.527 ± 1.5101.252 ± 0.040
Gloster0.380 ± 0.1500.074 ± 0.0200.280 ± 0.0072.563 ± 0.12065.471 ± 0.8901.915 ± 0.060
Water–ethanol
(60:40, v/v)
Ligol0.258 ± 0.0900.069 ± 0.0050.287 ± 0.0042.552 ± 0.09053.337 ± 0.3801.614 ± 0.070
Gala 0.376 ± 0.0700.063 ± 0.0200.303 ± 0.0202.763 ± 0.04027.325 ± 0.5000.439 ± 0.090
Gloster0.114 ± 0.0900.065 ± 0.0070.270 ± 0.0062.504 ± 0.14026.601 ± 0.1100.895 ± 0.050
Mean values for triplicates ± SD. Abbreviations: DW: dry weight; ND: Not Detected.
Table 6. Content of polyphenolic compounds identified with HPLC in apple leaf extracts obtained using UAE.
Table 6. Content of polyphenolic compounds identified with HPLC in apple leaf extracts obtained using UAE.
Type of SolventApple
Cultivar
Content of Phenolic Compounds in Extracts (mg/1 g of DW)
EpicatechinRutinHyperosideIsoquercitrinPhloridzinPhloretin
WaterLigol0.129 ± 0.0300.077 ± 0.0900.205 ± 0.0090.971 ± 0.0301.636 ± 0.0400.030 ± 0.010
Gala0.100 ± 0.0090.075 ± 0.0700.180 ± 0.0900.806 ± 0.020NDND
Gloster0.122 ± 0.0090.080 ± 0.0090.195 ± 0.0800.665 ± 0.0400.320 ± 0.0450.005 ± 0.000
Water–methanol
(20:80, v/v)
Ligol0.680 ± 0.0090.082 ± 0.0090.271 ± 0.0902.588 ± 0.080105.00 ± 2.5003.149 ± 0.090
Gala0.511 ± 0.0090.085 ± 0.0070.305 ± 0.0092.886 ± 0.09087.867± 0.9001.167 ± 0.090
Gloster0.480 ± 0.2000.077 ± 0.0100.286 ± 0.0902.596 ± 0.15072.002 ± 0.7001.939 ± 0.070
Water–ethanol
(60:40, v/v)
Ligol0.275 ± 0.1100.079 ± 0.0090.280 ± 0.0902.493 ± 0.12051.979 ± 0.5001.995 ± 0.090
Gala 0.332 ± 0.0900.069 ± 0.0400.272 ± 0.0102.745 ± 0.09026.222 ± 0.3000.550 ± 0.110
Gloster0.145 ± 0.1200.078 ± 0.0090.284 ± 0.0092.505 ± 0.20028.290 ± 0.2501.104 ± 0.070
Mean values for triplicates ± SD. Abbreviations: DW: dry weight; ND: Not Detected.
Table 7. Content of polyphenolic compounds identified with HPLC in apple leaf extracts obtained using ASE.
Table 7. Content of polyphenolic compounds identified with HPLC in apple leaf extracts obtained using ASE.
Type of SolventApple
Cultivar
Content of Phenolic Compounds in Extracts (mg/1 g of DW)
EpicatechinRutinHyperosideIsoquercitrinPhloridzinPhloretin
WaterLigol0.177 ± 0.1100.074 ± 0.0700.198 ± 0.0071.207 ± 0.15019.444 ± 1.2500.035 ± 0.090
Gala0.169 ± 0.0150.074 ± 0.0900.224 ± 0.1001.078 ± 0.01517.616 ± 2.8700.002 ± 0.000
Gloster0.188 ± 0.0200.079 ± 0.0100.206 ± 0.0700.835 ± 0.09010.513 ± 0.5800.015 ± 0.000
Water–methanol
(20:80, v/v)
Ligol0.679 ± 0.0080.075 ± 0.0100.318 ± 0.0802.767 ± 0.070104.958 ± 1.8903.371 ± 0.050
Gala0.534 ± 0.0100.105 ± 0.0090.340 ± 0.0103.006 ± 0.01086.137 ± 2.8501.522 ± 0.110
Gloster0.498 ± 0.1500.080 ± 0.0150.307 ± 0.0502.693 ± 0.09075.367 ± 0.9502.038 ± 0.090
Water–ethanol
(60:40, v/v)
Ligol0.326 ± 0.1500.077 ± 0.0090.300 ± 0.1002.627 ± 0.15051.646 ± 0.8502.239 ± 0.110
Gala 0.692 ± 0.2000.073 ± 0.0900.284 ± 0.0151.868 ± 0.12047.126 ± 0.5000.671 ± 0.150
Gloster0.171 ± 0.1500.074 ± 0.0080.285 ± 0.0072.603 ± 0.15028.844 ± 0.0901.159 ± 0.090
Mean values for triplicates ± SD. Abbreviations: DW: dry weight.
Disclaimer/Publisher’s Note: The statements, opinions and data contained in all publications are solely those of the individual author(s) and contributor(s) and not of MDPI and/or the editor(s). MDPI and/or the editor(s) disclaim responsibility for any injury to people or property resulting from any ideas, methods, instructions or products referred to in the content.

Share and Cite

MDPI and ACS Style

Cendrowski, A.; Jakubowska, Z.; Przybył, J.L. Apple Tree Leaves (Malus domestica Borkh) as a Valuable Source of Polyphenolic Compounds with a High Antioxidant Capacity. Appl. Sci. 2024, 14, 3252. https://doi.org/10.3390/app14083252

AMA Style

Cendrowski A, Jakubowska Z, Przybył JL. Apple Tree Leaves (Malus domestica Borkh) as a Valuable Source of Polyphenolic Compounds with a High Antioxidant Capacity. Applied Sciences. 2024; 14(8):3252. https://doi.org/10.3390/app14083252

Chicago/Turabian Style

Cendrowski, Andrzej, Zuzanna Jakubowska, and Jarosław L. Przybył. 2024. "Apple Tree Leaves (Malus domestica Borkh) as a Valuable Source of Polyphenolic Compounds with a High Antioxidant Capacity" Applied Sciences 14, no. 8: 3252. https://doi.org/10.3390/app14083252

APA Style

Cendrowski, A., Jakubowska, Z., & Przybył, J. L. (2024). Apple Tree Leaves (Malus domestica Borkh) as a Valuable Source of Polyphenolic Compounds with a High Antioxidant Capacity. Applied Sciences, 14(8), 3252. https://doi.org/10.3390/app14083252

Note that from the first issue of 2016, this journal uses article numbers instead of page numbers. See further details here.

Article Metrics

Back to TopTop