A Numerical Bio-Geotechnical Model of Pressure-Responsive Microbially Induced Calcium Carbonate Precipitation
Abstract
1. Introduction
2. Background
2.1. MICP through Ureolytic Hydrolysis
2.2. Synthetic Biology
2.3. Investigation of Genetic Response to Pressure in B. subtilis through RNAseq Technique
3. Materials and Methods
3.1. Biological Data Collection
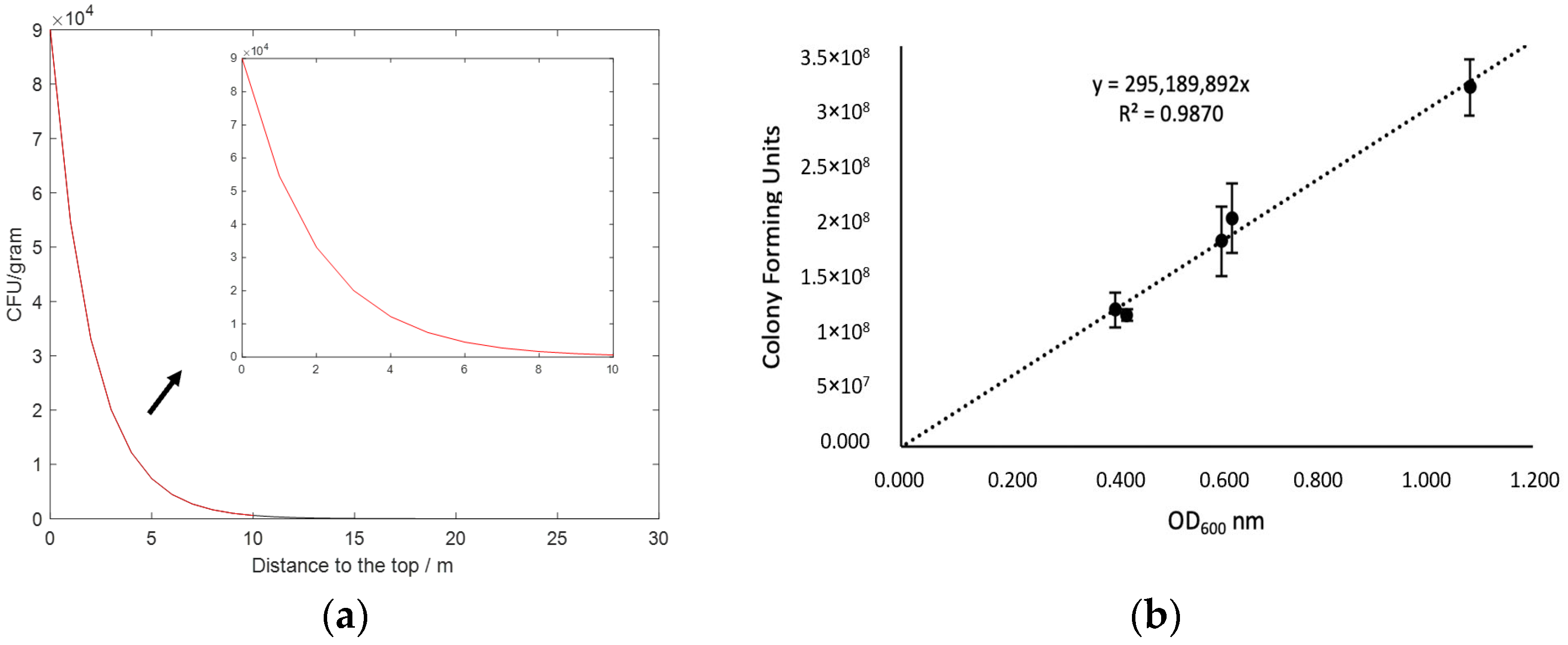
3.1.1. Bacteria Distribution
3.1.2. Urease Activity at a Cellular Level
3.2. Model of the Study
3.2.1. Model Domain
3.2.2. Geotechnical Theory
3.2.3. Calculation Process
3.2.4. Gene Expression Value and Urea Hydrolysis Rate
3.2.5. Calcium Carbonate Production and Influence on Permeability
3.2.6. Further Assumptions
- (1)
- Calcium carbonate is only present in the solid phase and not transported.
- (2)
- The urea and calcium solution does not influence the permeability of the soil.
- (3)
- Bacteria are immobile and do not influence the porosity of the soil and the uniformity of precipitation.
- (4)
- Each layer of soil is homogenous and fully saturated.
- (5)
- Urea and calcium are at the same concentration, and both react at the same rate.
- (6)
- All boundaries of the model are fully permeable and pore pressures at these boundaries are always zero.
3.3. Material Properties
4. Results
4.1. Experimental Genes
4.2. Hypothetical Genes
5. Conclusions
- (1)
- Genes with different expression profiles have a significant influence on the precipitation patterns and relevance to different geotechnical contexts, in both soil profiles. For example, Gene A shows a quicker transcriptional response in the area under the applied stress, which might be the weakest part of the application, and finishes with a better stabilisation effect in this area. Gene C shows the best effect in reinforcing the edge area and has the greatest influenced depth. It can be used in stabilising foundations with existing surrounding structures or in the deeper underground area, e.g., the pile foundation.
- (2)
- The soil profile, therefore, also influences precipitation results. Homogeneous clay soil tends to maintain high pore water pressure levels and benefits genes with increasing trend expression (e.g., Gene A). In multi-layer soil conditions, three genes have similar stabilisation results in the top layer and tend to benefit different areas in the lower layers. For any gene, the soil in higher layers tends to have a quicker precipitation rate than in lower layers due to a greater bacteria cell number count.
- (3)
- For a given working condition, the stabilisation area can be adjusted by selecting different genes and the stabilisation effect can be enhanced through the development of biological logic gates as in the ‘latched gate’ circuit proposed here in which genes are switched on at a threshold pressure value and remain on even after pressure drops. Developing more detailed gene expression data will lead to the possibility of modelling different experimental and synthetic genes under different working conditions and building a gene library to give guidance for gene selection could further research purposes.
Author Contributions
Funding
Institutional Review Board Statement
Informed Consent Statement
Data Availability Statement
Acknowledgments
Conflicts of Interest
References
- Daraei, A.; Herki, B.M.; Sherwani, A.F.H.; Zare, S. Rehabilitation of portal subsidence of heybat sultan twin tunnels: Selection of shotcrete or geogrid alternatives. Int. J. Geosynth. Ground Eng. 2018, 4, 15. [Google Scholar] [CrossRef]
- Gul, N.; Mir, B.A. Performance evaluation of silty soil reinforced with glass fiber and cement kiln dust for subgrade applications. Constr. Build. Mater. 2023, 392, 131943. [Google Scholar] [CrossRef]
- Baldovino, J.A.; Moreira, E.B. Empirical relationships with unconfined compressive strength and split tensile strength for the long term of a lime-treated silty soil. J. Mater. Civ. Eng. 2018, 30, 06018008. [Google Scholar] [CrossRef]
- DeJong, J.T.; Mortensen, B.M. Bio-mediated soil improvement. Ecol. Eng. 2010, 36, 197–210. [Google Scholar] [CrossRef]
- Soon, N.W.; Lee, L.M. Factors affecting improvement in engineering properties of residual soil through microbial-induced calcite precipitation. J. Geotech. Geoenviron. Eng. 2014, 140, 04014006. [Google Scholar] [CrossRef]
- Xu, X.; Guo, H. Bio-cementation improvement via CaCO3 cementation pattern and crystal polymorph: A review. Constr. Build. Mater. 2021, 297, 123478. [Google Scholar] [CrossRef]
- Omoregie, A.I.; Ngu, L.H. Low-cost cultivation of Sporosarcina pasteurii strain in food-grade yeast extract medium for microbially induced carbonate precipitation (MICP) application. Biocatal. Agric. Biotechnol. 2019, 17, 247–255. [Google Scholar] [CrossRef]
- Zamani, A.; Montoya, B.M. Permeability reduction due to microbial induced calcite precipitation in sand. In Proceedings of the Geo-Chicago 2016: Sustainability and Resiliency in Geotechnical Engineering, Chicago, IL, USA, 14–18 August 2016; pp. 94–103. [Google Scholar] [CrossRef]
- Tiwari, N.; Satyam, N. Micro-mechanical performance evaluation of expansive soil biotreated with indigenous bacteria using MICP method. Sci. Rep. 2021, 11, 10324. [Google Scholar] [CrossRef] [PubMed]
- Lv, C.; Li, W.Q. Characterization and quantification of calcite distribution in MICP-treated sand using μ-XRF image processing technique. Acta Geotech. 2024, 19, 115–129. [Google Scholar] [CrossRef]
- Montoya, B.M.; DeJong, J.T. Stress-strain behavior of sands cemented by microbially induced calcite precipitation. J. Geotech. Geoenviron. Eng. 2015, 141, 04015019. [Google Scholar] [CrossRef]
- Liu, B.; Zhu, C. Bio-remediation of desiccation cracking in clayey soils through microbially induced calcite precipitation (MICP). Eng. Geol. 2020, 264, 105389. [Google Scholar] [CrossRef]
- Fang, X.; Yang, Y. Influence of fiber content and length on engineering properties of MICP-treated coral sand. Geomicrobiol. J. 2020, 37, 582–594. [Google Scholar] [CrossRef]
- Hataf, N.; Baharifard, A. Reducing soil permeability using microbial induced carbonate precipitation (MICP) method: A case study of shiraz landfill soil. Geomicrobiol. J. 2020, 37, 147–158. [Google Scholar] [CrossRef]
- Fu, T.; Saracho, A.C. Microbially induced carbonate precipitation (MICP) for soil strengthening: A comprehensive review. Biogeotechnics 2023, 1, 100002. [Google Scholar] [CrossRef]
- Golovkina, D.A.; Zhurishkina, E.V. Integration of Organic Waste for Soil Stabilization through MICP. Appl. Sci. 2023, 14, 62. [Google Scholar] [CrossRef]
- Tian, Y.; Li, Z. Application of MICP in water stability and hydraulic erosion control of phosphogypsum material in slope. Appl. Sci. 2022, 12, 1783. [Google Scholar] [CrossRef]
- Gomez, M.G.; Martinez, B.C. Field-scale bio-cementation tests to improve sands. Proc. Inst. Civ. Eng. Ground Improv. 2015, 168, 206–216. [Google Scholar] [CrossRef]
- Meng, H.; Gao, Y. Microbially induced carbonate precipitation for wind erosion control of desert soil: Field-scale tests. Geoderma 2021, 383, 114723. [Google Scholar] [CrossRef]
- Van Wijngaarden, W.K.; Vermolen, F.J. Modelling biogrout: A new ground improvement method based on microbial-induced carbonate precipitation. Transp. Porous Media 2011, 87, 397–420. [Google Scholar] [CrossRef]
- Van Wijngaarden, W.K.; Van Paassen, L.A. A reactive transport model for biogrout compared to experimental data. Transp. Porous Media 2016, 111, 627–648. [Google Scholar] [CrossRef]
- Martinez, B.C.; DeJong, J.T. Bio-geochemical reactive transport modeling of microbial induced calcite precipitation to predict the treatment of sand in one-dimensional flow. Comput. Geotech. 2014, 58, 1–13. [Google Scholar] [CrossRef]
- Wang, X.; Nackenhorst, U. A coupled bio-chemo-hydraulic model to predict porosity and permeability reduction during microbially induced calcite precipitation. Adv. Water Resour. 2020, 140, 103563. [Google Scholar] [CrossRef]
- Wang, J.; Long, Y. Numerical Simulation of Forming MICP Horizontal Seepage Reducing Body in Confined Aquifer for Deep Excavation. Appl. Sci. 2023, 13, 601. [Google Scholar] [CrossRef]
- DeJong, J.T.; Soga, K. Biogeochemical processes and geotechnical applications: Progress, opportunities and challenges. Géotechnique 2013, 63, 287–301. [Google Scholar] [CrossRef]
- Liu, K.W.; Jiang, N.J. An experimental study of mitigating coastal sand dune erosion by microbial-and enzymatic-induced carbonate precipitation. Acta Geotech. 2021, 16, 467–480. [Google Scholar] [CrossRef]
- Duraisamy, Y.; Airey, D.W. Performance of biocemented Sydney sand using ex situ mixing technique. DFI J. J. Deep Found. Inst. 2015, 9, 48–56. [Google Scholar] [CrossRef]
- Bu, C.; Lu, X. Soil improvement by microbially induced calcite precipitation (MICP): A review about mineralization mechanism, factors, and soil properties. Arab. J. Geosci. 2022, 15, 863. [Google Scholar] [CrossRef]
- Mitchell, J.K.; Santamarina, J.C. Biological considerations in geotechnical engineering. J. Geotech. Geoenviron. Eng. 2005, 131, 1222–1233. [Google Scholar] [CrossRef]
- Dade-Robertson, M.; Mitrani, H. Design and modelling of an engineered bacteria-based, pressure-sensitive soil. Bioinspir. Biomim. 2018, 13, 046004. [Google Scholar] [CrossRef] [PubMed]
- Guyet, A.; Dade-Robertson, M. Mild hydrostatic pressure triggers oxidative responses in Escherichia coli. PLoS ONE 2018, 13, e0200660. [Google Scholar] [CrossRef]
- Endy, D. Foundations for engineering biology. Nature 2005, 438, 449–453. [Google Scholar] [CrossRef] [PubMed]
- Crick, F. Central dogma of molecular biology. Nature 1970, 227, 561–563. [Google Scholar] [CrossRef] [PubMed]
- Renning, M.S. Synthetic Biology Approaches for Protein Production Optimization in Bacterial Cell Factories. Ph.D. Thesis, Technical University of Denmark, Copenhagen, Denmark, 2017. [Google Scholar]
- Lauchnor, E.G.; Topp, D.M. Whole cell kinetics of ureolysis by Sporosarcina pasteurii. J. Appl. Microbiol. 2015, 118, 1321–1332. [Google Scholar] [CrossRef] [PubMed]
- Terzaghi, K. Theoretical Soil Mechanics; Wiley: New York, NY, USA, 1943; pp. 265–296. [Google Scholar] [CrossRef]
- Lin, H.; Suleiman, M.T. Investigation of pore-scale CaCO3 distributions and their effects on stiffness and permeability of sands treated by microbially induced carbonate precipitation (MICP). Soils Found. 2020, 60, 944–961. [Google Scholar] [CrossRef]
- Barkouki, T.H.; Martinez, B.C. Forward and inverse bio-geochemical modeling of microbially induced calcite precipitation in half-meter column experiments. Transp. Porous Media 2011, 90, 23–39. [Google Scholar] [CrossRef]
- Cunningham, A.B.; Class, H. Field-scale modeling of microbially induced calcite precipitation. Comput. Geosci. 2019, 23, 399–414. [Google Scholar] [CrossRef]
- Carter, M.; Bentley, S.P. Soil Properties and Their Correlations; John Wiley & Sons: Hoboken, NJ, USA, 2016. [Google Scholar]
- BSI. Methods of Test for Soils for Civil Engineering Purposes, Part 2: Classification Tests; BSI Standards Publication: London, UK, 1990. [Google Scholar]
- Haystead, J.; Dade-Robertson, M. The investigation of microbial induced calcium carbonate precipitation for soil improvement. Access Microbiol. 2020, 2, 216. [Google Scholar] [CrossRef]
- Mu, Z.; Kong, K. Pressure-driven fusion of amorphous particles into integrated monoliths. Science 2021, 372, 1466–1470. [Google Scholar] [CrossRef]
- Cheng, L.; Cord-Ruwisch, R. Cementation of sand soil by microbially induced calcite precipitation at various degrees of saturation. Can. Geotech. J. 2013, 50, 81–90. [Google Scholar] [CrossRef]
- Qabany, A.A.; Soga, K. Effect of chemical treatment used in MICP on engineering properties of cemented soils. In Bio-and Chemo-Mechanical Processes in Geotechnical Engineering: Géotechnique Symposium in Print; ICE Publishing: London, UK, 2014. [Google Scholar] [CrossRef]
- Martinez, B.C.; DeJong, J.T. Experimental optimization of microbial-induced carbonate precipitation for soil improvement. J. Geotech. Geoenviron. Eng. 2013, 139, 587–598. [Google Scholar] [CrossRef]
- Yasuhara, H.; Hayashi, K.; Okamura, M. Evolution in mechanical and hydraulic properties of calcite-cemented sand mediated by biocatalyst. In Proceedings of the Geo-Frontiers 2011: Advances in Geotechnical Engineering, Dallas, TX, USA, 13–16 March 2011. [Google Scholar] [CrossRef]
- Chai, J.; Ong, C.Y. Lateral displacement under combined vacuum pressure and embankment loading. Géotechnique 2013, 63, 842–856. [Google Scholar] [CrossRef]
- Yamashita, K.; Hamada, J. Seismic behavior of piled raft with ground improvement supporting a base-isolated building on soft ground in Tokyo. Soils Found. 2012, 52, 1000–1015. [Google Scholar] [CrossRef]
- Parsa-Pajouh, A.; Fatahi, B.; Vincent, P.; Khabbaz, H. Trial embankment analysis to predict smear zone characteristics induced by prefabricated vertical drain installation. Geotech. Geol. Eng. 2014, 32, 1187–1210. [Google Scholar] [CrossRef]
- Bradley, R.W.; Buck, M. Recognizing and engineering digital-like logic gates and switches in gene regulatory networks. Curr. Opin. Microbiol. 2016, 33, 74–82. [Google Scholar] [CrossRef] [PubMed]
- Singh, V. Recent advances and opportunities in synthetic logic gates engineering in living cells. Syst. Synth. Biol. 2014, 8, 271–282. [Google Scholar] [CrossRef] [PubMed]















| Property | Soil 1 | Soil 2 | Soil 3 |
|---|---|---|---|
| Initial permeability in x direction (m/s) *1 | 2.25 × 10−4 | 7.5 × 10−6 | 6 × 10−8 |
| Initial permeability in z direction (m/s) *1 | 1.5 × 10−4 | 5 × 10−6 | 4 × 10−8 |
| Average coefficient of volume change (kPa−1) *1 | 3 × 10−4 | 4.5 × 10−4 | 6 × 10−4 |
| Bulk density (g/cm3) *1 | 1.76 | 1.60 | 1.50 |
| Initial porosity *1 | 0.34 | 0.4 | 0.50 |
| British Standard Classification *2 | SM | Silt | CL |
| Maximum mass of calcium carbonate per element (g) | 115,175 | 135,500 | 169,375 |
| Bacteria concentration at the top of soil (CFU/g) *3 | 8.64 × 104 | ||
| CaCO3 precipitation rate (mM/CFU/hour) *3 | 1.03 × 10−6 | ||
| Density of the calcium carbonate (g/cm3) *4 | 2.71 | ||
Disclaimer/Publisher’s Note: The statements, opinions and data contained in all publications are solely those of the individual author(s) and contributor(s) and not of MDPI and/or the editor(s). MDPI and/or the editor(s) disclaim responsibility for any injury to people or property resulting from any ideas, methods, instructions or products referred to in the content. |
© 2024 by the authors. Licensee MDPI, Basel, Switzerland. This article is an open access article distributed under the terms and conditions of the Creative Commons Attribution (CC BY) license (https://creativecommons.org/licenses/by/4.0/).
Share and Cite
Wang, J.; Mitrani, H.; Wipat, A.; Moreland, P.; Haystead, J.; Zhang, M.; Robertson, M.D. A Numerical Bio-Geotechnical Model of Pressure-Responsive Microbially Induced Calcium Carbonate Precipitation. Appl. Sci. 2024, 14, 2854. https://doi.org/10.3390/app14072854
Wang J, Mitrani H, Wipat A, Moreland P, Haystead J, Zhang M, Robertson MD. A Numerical Bio-Geotechnical Model of Pressure-Responsive Microbially Induced Calcium Carbonate Precipitation. Applied Sciences. 2024; 14(7):2854. https://doi.org/10.3390/app14072854
Chicago/Turabian StyleWang, Jianye, Helen Mitrani, Anil Wipat, Polly Moreland, Jamie Haystead, Meng Zhang, and Martyn Dade Robertson. 2024. "A Numerical Bio-Geotechnical Model of Pressure-Responsive Microbially Induced Calcium Carbonate Precipitation" Applied Sciences 14, no. 7: 2854. https://doi.org/10.3390/app14072854
APA StyleWang, J., Mitrani, H., Wipat, A., Moreland, P., Haystead, J., Zhang, M., & Robertson, M. D. (2024). A Numerical Bio-Geotechnical Model of Pressure-Responsive Microbially Induced Calcium Carbonate Precipitation. Applied Sciences, 14(7), 2854. https://doi.org/10.3390/app14072854

