What Factors Influence the Injuries of Canoeists and Kayakers over the Years?
Abstract
1. Introduction
2. Methods
2.1. Study Design
2.2. Participants
2.3. Procedure
2.4. Instruments and Variables
2.5. Statistical Analysis
3. Results
4. Discussion
5. Conclusions
- The frequency of injuries is higher in the canoe modality across all age groups.
- The number of mild and moderate injuries decreases with age in the canoe modality; however, the likelihood of sustaining a severe injury increases with age in both modalities.
- As our data and those of other researchers suggest, it is crucial to prevent the occurrence of various types of injuries, particularly mild ones, which are most observed in women engaged in canoeing. In this context, additional information is necessary to adapt training programs to meet the specific needs of canoeists and kayakers. This includes a focus on symmetrical compensation work, particularly for female canoeists. Coaches and athletes should be thoroughly informed about the insights provided by this study to implement targeted injury prevention strategies, especially as athletes age.
Author Contributions
Funding
Institutional Review Board Statement
Informed Consent Statement
Data Availability Statement
Conflicts of Interest
References
- Abraham, D.; Stepkovitch, N. The Hawkesbury Canoe Classic: Musculoskeletal injury surveillance and risk factors associated with marathon paddling. Wilderness Environ. Med. 2012, 23, 133–139. [Google Scholar] [CrossRef]
- Buzzacott, P.; Mease, A. Pediatric and adolescent injury in aquatic adventure sports. Res. Sports Med. 2018, 26 (Suppl. S1), 20–37. [Google Scholar] [CrossRef] [PubMed]
- Gomes, B.; Machado, L.; Ramos, N.; Conceiçao, F.; Sanders, R.; Vaz, M.; Vilas-Boas, J.; Pendergast, D. Effect of wetted surface area on friction, pressure, wave, and total drag of a kayak. Sports Biomech. 2018, 17, 453–461. [Google Scholar] [CrossRef] [PubMed]
- Dobos, J. Orthopaedic injuries in canoeing, Chapter 8. In Handbook of Sports Medicine and Science: Canoeing; Wiley-Blackwell: Hoboken, NJ, USA, 2019; pp. 97–105. [Google Scholar]
- Paquette, M.; Bieuzen, F.; Billaut, F. Sustained muscle deoxygenation vs. sustained high vo2 during high-intensity interval training in sprint canoe-kayak. Front. Sports Act. Living 2019, 1, 6. [Google Scholar] [CrossRef] [PubMed]
- López-Plaza, D.; Alacid, F.; Muyor, J.; López-Miñarro, P. Sprint kayaking and canoeing performance prediction based on the relationship between maturity status, anthropometry, and physical fitness in young elite paddlers. J. Sports Sci. 2016, 35, 1083–1090. [Google Scholar] [CrossRef] [PubMed]
- Bušta, J.; Coufalová, K.; Cochrane, D. Strength, and strength-related anthropometric parameters of the international level canoe slalom male paddlers. Int. J. Morphol. 2022, 40, 579–583. [Google Scholar] [CrossRef]
- Saal, C.; Chaabene, H.; Helm, N.; Warnke, T.; Prieske, O. Network analysis of associations between anthropometry, physical fitness, and sport-specific performance in young canoe sprint athletes: The role of age and sex. Front. Sports Act. Living 2022, 4, 1038350. [Google Scholar] [CrossRef] [PubMed]
- Fernandes, R.; López-Plaza, D.; Correas-Gómez, L.; Gomes, B.; Alacid, F. The importance of biological maturation and years of practice in kayaking performance. Int. J. Environ. Res. Public Health 2021, 18, 8322. [Google Scholar] [CrossRef]
- Lucaci, P.; Neculaes, M.; Constantinescu, A.; Haba, D. The Medical Education and Rehabilitation of Patients with Ischaemic Stroke. Rev. Cercet. Si Interv. Soc. 2019, 65, 97–110. [Google Scholar] [CrossRef]
- Rosdahl, H.; Calbet, J.; Sheel, A.; Boushel, R. Physiology of canoeing, Chapter 4. In Handbook of Sports Medicine and Science: Canoeing; Wiley-Blackwell: Hoboken, NJ, USA, 2019; pp. 47–61. [Google Scholar]
- Messias, L.; Ferrari, H.; Sousa, F.; Reis, I.; Serra, C.; Gobatto, C.; Manchado-Gobatto, F. All-out test in tethered canoe system can determine anaerobic parameters of elite kayakers. Int. J. Sports Med. 2015, 36, 803–808. [Google Scholar] [CrossRef]
- Zakaria, J.; Yasim, M.; Taff, A.; Dasril, B.; Mustafa, M. White water kayaking risk. Malays. Perspect. 2017, 4, e3168. [Google Scholar] [CrossRef]
- Lucaci, P.; Neculaes, M.; Haba, D. The Contribution of Imaging and Functional Diagnosis to the Rehabilitation of Patients with Stroke. Rev. Chim. 2019, 70, 2847–2850. [Google Scholar] [CrossRef]
- Spittler, J.; Gillum, R.; DeSanto, K. Common injuries in whitewater rafting, kayaking, canoeing, and stand-up paddle boarding. Curr. Sports Med. Rep. 2020, 19, 422–429. [Google Scholar] [CrossRef] [PubMed]
- Hamano, S.; Ochi, E.; Tsuchiya, Y.; Muramatsu, E.; Suzukawa, K.; Igawa, S. Relationship between performance test and body composition/physical strength characteristic in sprint canoe and kayak paddlers. J. Sports Med. 2015, 2015, 191–199. [Google Scholar] [CrossRef]
- Olmedilla, A.; Ortega, E.; Abenza, L. Perception of youth soccer players and influence of psychological work on the relationship between psychological variables and injuries. Cuad. Psicol. Deporte 2007, 7, 75–88. [Google Scholar]
- Díaz, P.; Buceta, J.; Bueno, A. Stressful situations, and vulnerability to sports injuries: A study with team athletes. J. Sport Psychol. 2004, 13, 7–24. [Google Scholar]
- Bahr, R.; Krosshaug, T. Understanding injury mechanisms: A key component of preventing injuries in sport. Br. J. Sports Med. 2005, 39, 324–329. [Google Scholar] [CrossRef]
- Fiore, D.; Houston, J. Injuries in Whitewater kayaking. Br. J. Sports Med. 2001, 35, 235–241. [Google Scholar] [CrossRef]
- Dalton, S. Overuse injuries in adolescent athletes. Sports Med. 1992, 13, 58–70. [Google Scholar] [CrossRef]
- Haley, A.; Nichols, A. A survey of injuries and medical conditions affecting competitive adult outrigger canoe paddlers on O’ahu. Hawaii Med. J. 2009, 68, 162–165. [Google Scholar]
- Pelham, T.; Robinson, M.; Holt, L. Injuries in sprint canoeists and kayakers: Etiology, mechanisms of injury, treatment options, and practical applications. Strength Cond. J. 2020, 42, 22–29. [Google Scholar] [CrossRef]
- Treus, S.; Isorna-Folgar, M.; de Oliveira, A.; García-Soidán, J.L. Epidemiology and etiology of injuries in high-level kayakers. J. Phys. Educ. 2015, 26, 425–434. [Google Scholar]
- Korpalski, T.; de Azevedo Guimarães, A.C.; Pazin, J. Prevalência de lesões e fatores associados em atletas da seleção brasileira de remo. Rev. Bras. Prescrição Fisiol. Exerc. 2019, 13, 1340–1347. [Google Scholar]
- Bell, T. Sports injury profile of competitive Waka Ama (outrigger canoe) paddlers in New Zealand. N. Z. J. Physiother. 2013, 41, 30–39. [Google Scholar]
- Thornton, J.; Vinther, A.; Wilson, F.; Lebrun, C.; Wilkinson, M.; Di Ciacca, S. Rowing injuries: An updated review. Sports Med. 2017, 47, 641–661. [Google Scholar] [CrossRef] [PubMed]
- Holland, P.; Torrance, E.; Funk, L. Shoulder injuries in canoeing and kayaking. Clin. J. Sport Med. 2018, 28, 524–529. [Google Scholar] [CrossRef] [PubMed]
- Chalmers, D.; Morrison, L. Epidemiology of non-submersion injuries in aquatic sporting and recreational activities. Sports Med. 2003, 10, 745–770. [Google Scholar] [CrossRef] [PubMed]
- Diafas, V. Year 2008 Whitewater injury survey. Biol. Exerc. 2010, 6, 49–60. [Google Scholar] [CrossRef]
- Canyon, D.; Sealey, R. A Systematic Review of Research on Outrigger Canoe Paddling and Racing. Ann. Sports Med. Res. 2016, 3, 1076. [Google Scholar]
- Gabbett, T. The training—Injury prevention paradox: Should athletes be training smarter and harder? Br. J. Sports Med. 2016, 50, 273–280. [Google Scholar] [CrossRef]
- Berglund, B. Physiology of canoeing, Chapter 7. In Handbook of Sports Medicine and Science: Canoeing; Wiley-Blackwell: Hoboken, NJ, USA, 2019; pp. 91–96. [Google Scholar]
- Stanton, R. Injury patterns and strength training habits of Australian outrigger canoe paddlers. Strength Cond Coach. 1998, 6, 7–11. [Google Scholar]
- Leadbetter, W.; Wayne, B. Soft tissue athletic injury. In Sports Injuries: Mechanisms, Prevention, and Treatment, 2nd ed.; Stone, D., Fu, F., Eds.; Lippincott Williams & Wilkins: Philadelphia, PA, USA, 2001; pp. 733–780. [Google Scholar]
- Faude, O. Injuries in female sport: A prospective study in the German National League. Am. J. Sport Med. 2005, 33, 1694–1700. [Google Scholar] [CrossRef] [PubMed]




| CANOE | ||||
|---|---|---|---|---|
| Age | Men | Women | ||
| n | Mean ± SD | n | Mean ± SD | |
| 14–16 | 14 | 15.8 ± 0.36 | 6 | 15.8 ± 0.41 |
| 17–18 | 20 | 17.4 ± 0.50 | 9 | 17.55 ± 0.52 |
| 19–25 | 30 | 21.0 ± 1.85 | 5 | 20.4 ± 1.34 |
| 26–31 | 15 | 28.3 ± 1.04 | 2 | 26.0 |
| 32–40 | 15 | 36.1 ± 2.55 | -- | -- |
| +40 | 5 | 45.4 ± 3.20 | 1 | 42.0 |
| KAYAK | ||||
| Age | Men | Women | ||
| n | Mean ± SD | n | Mean ± SD | |
| 14–16 | 122 | 15.4 ± 0.70 | 80 | 15.2 ± 0.65 |
| 17–18 | 42 | 17.3 ± 0.48 | 34 | 17.3 ± 0.49 |
| 19–25 | 26 | 21.8 ± 2.38 | 10 | 22.0 ± 1.76 |
| 26–31 | 8 | 28.0 ± 1.51 | 4 | 27.5 ± 1.73 |
| 32–40 | 10 | 35.0 ± 2.75 | 4 | 25.5 ± 0.58 |
| +40 | 18 | 48.0 ± 4.95 | 4 | 46.4 ± 0.59 |
| CANOE | KAYAK | |||||
|---|---|---|---|---|---|---|
| Age | Mean | SE | CI 95% | Mean | SE | CI 95% |
| 14–16 | 2.93 * | 0.17 | (2.59–3.27) | 1.43 | 0.11 | (1.22–1.64) |
| 17–19 | 2.90 * | 0.14 | (2.62–3.19) | 1.43 | 0.09 | (1.25–1.62) |
| 20–22 | 2.88 * | 0.12 | (2.64–3.12) | 1.44 | 0.09 | (1.26–1.61) |
| 23–25 | 2.85 * | 0.12 | (2.62–3.08) | 1.44 | 0.09 | (1.26–1.62) |
| 26–28 | 2.83 * | 0.13 | (2.58–3.07) | 1.45 | 0.10 | (1.25–1.65) |
| 29–31 | 2.80 * | 0.15 | (2.51–3.09) | 1.45 | 0.12 | (1.22–1.69) |
| 32–34 | 2.78 * | 0.18 | (2.42–3.13) | 1.46 | 0.14 | (1.18–1.74) |
| 35–37 | 2.75 * | 0.21 | (2.33–3.17) | 1.46 | 0.16 | (1.14–1.79) |
| 38–40 | 2.72 * | 0.25 | (2.23–3.22) | 1.47 | 0.19 | (1.10–1.84) |
| 41–43 | 2.70 * | 0.29 | (2.13–3.27) | 1.47 | 0.21 | (1.05–1.90) |
| 44–46 | 2.67 | 0.33 | (2.02–3.32) | 1.48 | 0.24 | (1.00–1.95) |
| 47–49 | 2.65 | 0.37 | (1.91–3.38) | 1.48 | 0.27 | (0.96–2.01) |
| 50–52 | 2.62 | 0.41 | (1.81–3.43) | 1.49 | 0.29 | (0.91–2.07) |
| 53–55 | 2.60 | 0.45 | (1.70–3.49) | 1.49 | 0.32 | (0.86–2.13) |
| 56 | 2.57 | 0.50 | (1.50–3.55) | 1.50 | 0.35 | (0.81–2.19) |
| CANOE | KAYAK | |||||
|---|---|---|---|---|---|---|
| Age | Mean | SE | CI 95% | Mean | SE | CI 95% |
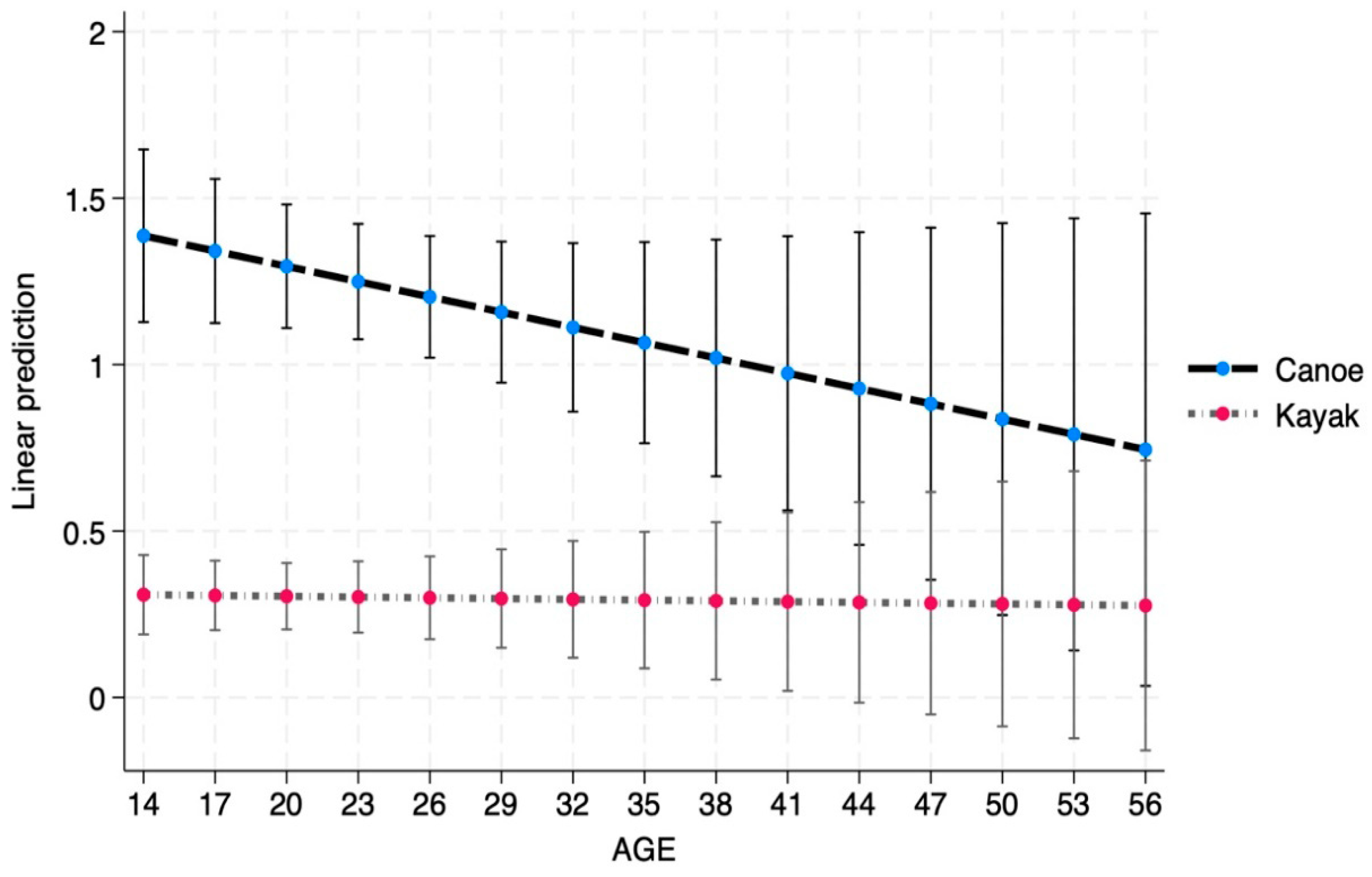
| 14–16 | 1.39 * | 0.13 | (1.13–1.65) | 0.31 | 0.06 | (0.19–0.43) |
| 17–19 | 1.34 * | 0.11 | (1.12–1.56) | 0.31 | 0.05 | (0.20–0.41) |
| 20–22 | 1.30 * | 0.09 | (1.11–1.48) | 0.30 | 0.05 | (0.20–0.40) |
| 23–25 | 1.25 * | 0.09 | (1.08–1.42) | 0.30 | 0.05 | (0.19–0.41) |
| 26–28 | 1.20 * | 0.09 | (1.02–1.39) | 0.30 | 0.06 | (0.17–0.42) |
| 29–31 | 1.16 * | 0.11 | (0.95–1.37) | 0.30 | 0.08 | (0.15–0.44) |
| 32–34 | 1.11 * | 0.13 | (0.86–1.36) | 0.29 | 0.09 | (0.12–0.47) |
| 35–37 | 1.07 * | 0.15 | (0.76–1.37) | 0.29 | 0.10 | (0.09–0.50) |
| 38–40 | 1.02 * | 0.18 | (0.66–1.38) | 0.29 | 0.12 | (0.05–0.53) |
| 41–43 | 0.97 | 0.21 | (0.56–1.39) | 0.29 | 0.14 | (0.02–0.56) |
| 44–46 | 0.93 | 0.24 | (0.45–1.39) | 0.29 | 0.15 | (−0.02–0.59) |
| 47–49 | 0.88 | 0.27 | (0.35–1.41) | 0.28 | 0.17 | (−0.05–0.62) |
| 50–52 | 0.84 | 0.30 | (0.24–1.42) | 0.28 | 0.19 | (−0.09–0.65) |
| 53–55 | 0.79 | 0.33 | (0.14–1.43) | 0.28 | 0.20 | (−0.12–0.68) |
| 56 | 0.74 | 0.36 | (0.03–1.45) | 0.28 | 0.22 | (−0.16–0.71) |
| CANOE | KAYAK | |||||
|---|---|---|---|---|---|---|
| Age | Mean | SE | CI 95% | Mean | SE | CI 95% |
| 14–16 | 0.89 * | 0.09 | (0.72–1.05) | 0.12 | 0.04 | (0.04–0.20) |
| 17–19 | 0.83 * | 0.07 | (0.69–0.97) | 0.13 | 0.03 | (0.06–0.20) |
| 20–22 | 0.77 * | 0.06 | (0.65–0.89) | 0.14 | 0.03 | (0.08–0.20) |
| 23–25 | 0.72 * | 0.06 | (0.61–0.83) | 0.15 | 0.04 | (0.08–0.22) |
| 26–28 | 0.66 * | 0.06 | (0.54–0.78) | 0.16 | 0.04 | (0.08–0.24) |
| 29–31 | 0.61 * | 0.07 | (0.47–0.74) | 0.17 | 0.05 | (0.07–0.26) |
| 32–34 | 0.55 * | 0.08 | (0.39–0.72) | 0.18 | 0.06 | (0.06–0.29) |
| 35–37 | 0.50 | 0.10 | (0.30–0.69) | 0.19 | 0.07 | (0.05–0.32) |
| 38–40 | 0.44 | 0.12 | (0.21–0.67) | 0.20 | 0.08 | (0.04–0.35) |
| 41–43 | 0.38 | 0.14 | (0.12–0.65) | 0.20 | 0.09 | (0.03–0.38) |
| 44–46 | 0.33 | 0.15 | (0.02–0.63) | 0.21 | 0.10 | (0.02–0.41) |
| 47–49 | 0.27 | 0.17 | (–0.07–0.61) | 0.22 | 0.11 | (0.01–0.44) |
| 50–52 | 0.22 | 0.19 | (–0.16–0.60) | 0.23 | 0.12 | (–0.01–0.47) |
| 53–55 | 0.16 | 0.21 | (–0.26–0.58) | 0.24 | 0.13 | (–0.02–0.50) |
| 56 | 0.11 | 0.23 | (–0.35–0.56) | 0.25 | 0.14 | (–0.03–0.53) |
| CANOE | KAYAK | |||||
|---|---|---|---|---|---|---|
| Age | Mean | SE | CI 95% | Mean | SE | CI 95% |
| 14–16 | 0.12 | 0.05 | (0.01–0.23) | 0.07 | 0.02 | (0.02–0.12) |
| 17–19 | 0.15 | 0.05 | (0.06–0.24) | 0.09 | 0.02 | (0.05–0.14) |
| 20–22 | 0.17 | 0.04 | (0.10–0.25) | 0.11 | 0.02 | (0.07–0.15) |
| 23–25 | 0.20 | 0.04 | (0.13–0.27) | 0.13 | 0.02 | (0.09–0.17) |
| 26–28 | 0.23 | 0.04 | (0.15–0.30) | 0.15 | 0.03 | (0.10–0.20) |
| 29–31 | 0.25 | 0.04 | (0.17–0.34) | 0.17 | 0.03 | (0.11–0.23) |
| 32–34 | 0.28 | 0.05 | (0.18–0.38) | 0.19 | 0.04 | (0.11–0.26) |
| 35–37 | 0.31 | 0.04 | (0.18–0.43) | 0.20 | 0.04 | (0.12–0.29) |
| 38–40 | 0.33 | 0.07 | (0.19–0.48) | 0.22 | 0.05 | (0.13–0.32) |
| 41–43 | 0.36 | 0.09 | (0.19–0.53) | 0.24 | 0.06 | (0.13–0.35) |
| 44–46 | 0.39 | 0.10 | (0.19–0.58) | 0.26 | 0.06 | (0.14–0.38) |
| 47–49 | 0.41 | 0.11 | (0.20–0.63) | 0.28 | 0.07 | (0.14–0.42) |
| 50–52 | 0.44 | 0.12 | (0.20–0.68) | 0.30 | 0.08 | (0.15–0.45) |
| 53–55 | 0.47 | 0.08 | (0.20–0.74) | 0.32 | 0.08 | (0.15–0.48) |
| 56 | 0.50 | 0.15 | (0.20–0.79) | 0.07 | 0.02 | (0.15–0.51) |
| CANOE | KAYAK | |||||||
|---|---|---|---|---|---|---|---|---|
| Men | Women | Men | Women | |||||
| INJURY | No | Yes | No | Yes | No | Yes | No | Yes |
| 9.2 ± 3.1 | 9.1 ± 3.3 | 8.7 ± 2.5 | 9.1 ± 3.4 | 8.7 ± 2.8 | 9.8 ± 2.5 | 8.6 ± 3.2 | 8.8 + 3.7 | |
| MILD | 8.9 ± 3.2 | --- | 8.6 ± 3.10 | 8.8 ± 2.8 | --- | 8.5 ± 3.3 | ||
| 1 | --- | 9.6 ± 3.4 | --- | 7.0 ± 3.6 | --- | 9.8 ± 2.0 | --- | 9.1 ± 3.8 |
| 2 | --- | 9.2 ± 3.3 | --- | 11.5 ± 1.7 | --- | 9.1 ± 2.5 | --- | 8.5 ± 4.3 |
| 3 | --- | 7.7 ± 2.3 | --- | 11.5 ± 3.5 | --- | 13.5 | --- | --- |
| 4 | --- | 9.9 ± 3.5 | --- | 8.8 ± 2.5 | --- | --- | --- | --- |
| 5 | --- | 9.0 ± 4.2 | --- | 10.3 ± 4.6 | --- | --- | --- | --- |
| MOD | 9.1 ± 3.1 | --- | 8.0 ± 3.5 | --- | 9.2 ± 2.8 | --- | 8.7 ± 3.3 | --- |
| 1 | --- | 9.1 ± 3.8 | --- | 9.7 ± 3.4 | --- | 8.6 ± 1.7 | --- | 9.7 ± 3.3 |
| 2 | --- | 9.1 ± 3.2 | --- | 8.8 ± 2.5 | --- | 7.5 ± 2.5 | --- | 3.3 ± 0.9 |
| 3 | --- | 8.8 ± 5.7 | --- | 10.5 | --- | --- | --- | --- |
| 4 | --- | 9.3 ± 2.0 | --- | 13.5 | --- | --- | --- | --- |
| SEVERE | 9.3 ± 3.3 | --- | 8.6 ± 3.2 | --- | 9.0 ± 2.7 | --- | 8.6 ± 3.5 | --- |
| 1 | --- | 7.9 ± 2.9 | --- | 11.3 ± 3.8 | --- | 9.8 ± 3.2 | --- | 8.7 ± 3.6 |
| 2 | --- | 7.6 ± 1.9 | --- | 10.3 ± 4.6 | --- | --- | --- | 10.5 |
| 3 | --- | 2.5 | --- | --- | --- | --- | --- | --- |
Disclaimer/Publisher’s Note: The statements, opinions and data contained in all publications are solely those of the individual author(s) and contributor(s) and not of MDPI and/or the editor(s). MDPI and/or the editor(s) disclaim responsibility for any injury to people or property resulting from any ideas, methods, instructions or products referred to in the content. |
© 2024 by the authors. Licensee MDPI, Basel, Switzerland. This article is an open access article distributed under the terms and conditions of the Creative Commons Attribution (CC BY) license (https://creativecommons.org/licenses/by/4.0/).
Share and Cite
Garcia-Soidan, J.L.; Leiros-Rodriguez, R.; Isorna-Folgar, M.; Romo-Perez, V. What Factors Influence the Injuries of Canoeists and Kayakers over the Years? Appl. Sci. 2024, 14, 2637. https://doi.org/10.3390/app14062637
Garcia-Soidan JL, Leiros-Rodriguez R, Isorna-Folgar M, Romo-Perez V. What Factors Influence the Injuries of Canoeists and Kayakers over the Years? Applied Sciences. 2024; 14(6):2637. https://doi.org/10.3390/app14062637
Chicago/Turabian StyleGarcia-Soidan, Jose Luis, Raquel Leiros-Rodriguez, Manuel Isorna-Folgar, and Vicente Romo-Perez. 2024. "What Factors Influence the Injuries of Canoeists and Kayakers over the Years?" Applied Sciences 14, no. 6: 2637. https://doi.org/10.3390/app14062637
APA StyleGarcia-Soidan, J. L., Leiros-Rodriguez, R., Isorna-Folgar, M., & Romo-Perez, V. (2024). What Factors Influence the Injuries of Canoeists and Kayakers over the Years? Applied Sciences, 14(6), 2637. https://doi.org/10.3390/app14062637

