An Experimental Study on the Seismic Performance of a Replaceable Steel Link System Acting as a Structural Fuse
Abstract
1. Introduction
2. Concept of the Replaceable Steel Link (RSL)
- (1)
- stage 1: In cases where the lateral displacement of the column falls within the sliding slot’s length, remaining within the allowable range of displacement.
- (2)
- stage 2: When the lateral displacement of the column surpasses the acceptable range.
3. Experimental Program
3.1. Specimen Details
- (1)
- Surface treatment of the retrofitting location for the RSL system.
- (2)
- Drilling into the reinforced concrete column and beam.
- (3)
- Joining the steel plate to the reinforced concrete column and beam using chemical anchors.
- (4)
- Securing the steel link to the steel plate with high-tensile strength bolts.
3.2. Test Setup
- (1)
- The initial drift ratio should fall within the range of linear elastic behavior.
- (2)
- Subsequent drift ratios should not exceed 0.25% and then should not surpass 0.5%.
- (3)
- The steps between subsequent drift ratios should be judiciously chosen, ensuring the experiment progresses up to a drift ratio of 3.5%.
- (4)
- Each drift ratio should be repeated for three cycles of cyclic loading.
4. Experimental Results and Analysis
4.1. Crack Propagation and Failure Modes
4.2. Load-Displaement Relationship
4.3. Torsional Moment versus Twist Response
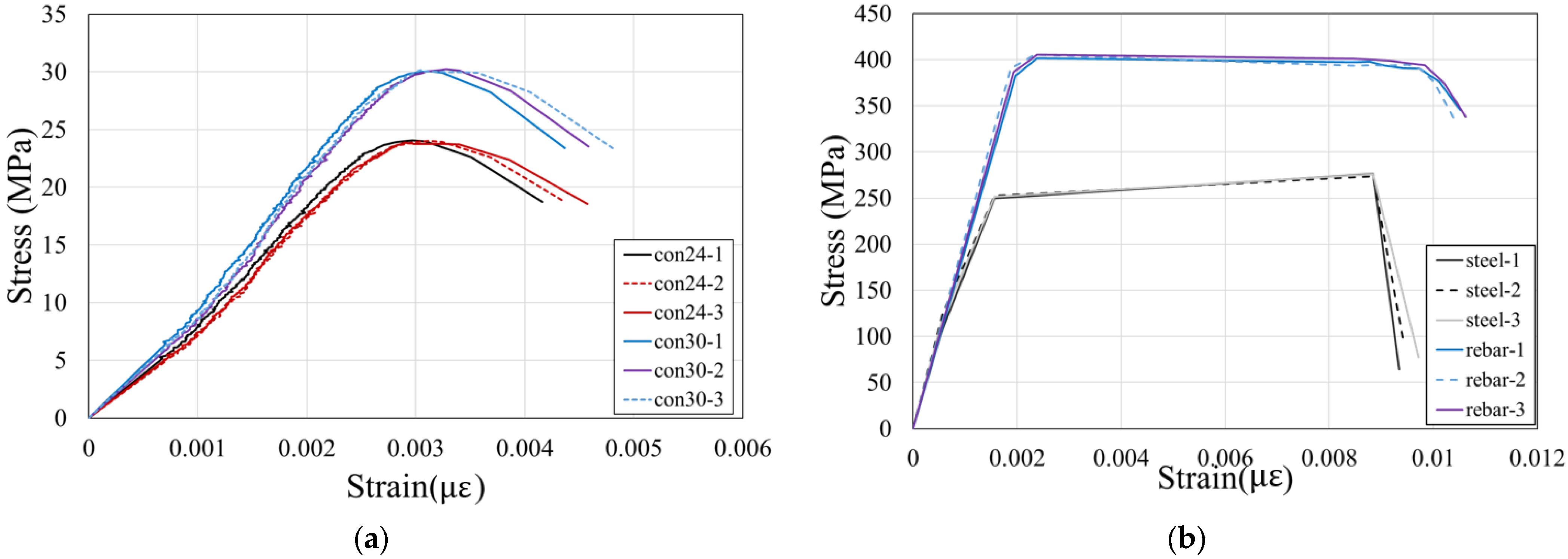
4.4. Strain
4.5. Energy Dissipation
5. Conclusions
- (1)
- The RSL system exhibited significant control over crack propagation in reinforced concrete columns. Initial flexural cracks were observed at a drift ratio of 0.75% in all specimens. Under eccentric loading, specimens with a 5 mm sliding slot length showed shear cracks at a drift ratio of 1.75%. In comparison, specimens with a 10 mm sliding slot length exhibited shear cracks at a drift ratio of 1%. These findings indicate that the sliding slot length plays a crucial role in crack propagation. After the experiment concluded, the damaged steel link could be easily replaced, thus confirming the feasibility of using the RSL system as a structural fuse.
- (2)
- The maximum load capacities exhibited variations based on sliding slot length and eccentric distance. An increase in eccentric distance resulted in a 70 to 80% change in maximum load capacity, while the variation in maximum load due to sliding slot length at the same drift ratio was around 10%. This finding underscores the RSL system’s capability to effectively resist torsion. Specimens with a 5 mm slot reached their yield strain earlier and showed a higher strain compared to those with a 10 mm slot. This result was in line with the initial design expectations, demonstrating that adjustment of the sliding slot length can be an effective method to regulate the yielding behavior of a steel link.
- (3)
- The study analyzed torsional moments and twist angles at various drift ratios, notably at the onset of major cracks. In all specimens, there was only a minimal difference in torsional moment and twist angle at the conclusion of the experiment compared to the measurements just before reaching the final drift ratio. This outcome suggests that retrofitting reinforced concrete columns with the RSL system can effectively prevent brittle failure due to torsion.
- (4)
- The difference in cumulative energy dissipation due to variations in sliding slot length was marginal, ranging from 1 to 4%. However, with an increase in sliding slot length, the difference in cumulative energy dissipation attributable to augmented eccentric distances reached approximately 50%. This indicates a notable impact of sliding slot length on the system’s ability to resist torsion. Consequently, it is recommended that the length of the sliding slot be based on the specific seismic design objectives when employing the RSL system as a structural fuse.
- (5)
- This study investigated the behavior of reinforced concrete columns retrofitted with the RSL system under torsional loads, highlighting the system’s potential as a structural fuse. Despite this, the complexity inherent in analyzing structural fuse systems like the RSL is well recognized. Therefore, further research should be conducted to develop analysis methods for RSL systems. Such research should incorporate a range of variables, including sliding slot length, column dimensions, and material properties, to facilitate the effective application of RSLs as structural fuses.
Author Contributions
Funding
Institutional Review Board Statement
Informed Consent Statement
Data Availability Statement
Conflicts of Interest
References
- Attari, N.; Youcef, Y.S.; Amziane, S. Seismic performance of reinforced concrete beam–column joint strengthening by frp sheets. Structures 2019, 20, 353–364. [Google Scholar] [CrossRef]
- Li, Y.; Yin, S.; Chen, W. Seismic behavior of corrosion-damaged RC columns strengthened with TRC under a chloride environment. Constr. Build. Mat. 2019, 201, 736–745. [Google Scholar]
- Nasab, M.S.E.; Javidan, M.M.; Chun, S.; Kim, J. Experimental study on seismic retrofit of a RC frame using viscoelastic dampers. Structures 2021, 34, 771–786. [Google Scholar] [CrossRef]
- Cheng, S.G.; Zhu, Y.X.; Zhang, W.P.; Shi, T.H. Study on the seismic performance of retrofitted RC frames with RC infill wall mega braces. Eng. Struct. 2021, 233, 111911. [Google Scholar] [CrossRef]
- Ferraioli, M.; Lavino, A.; De Matteis, G. A design method for seismic retrofit of reinforced concrete frame buildings using aluminum shear panels. Arch. Civ. Mech. Eng. 2023, 23, 106. [Google Scholar] [CrossRef]
- Vargas, R.; Bruneau, M. Analytical response and design of buildings with metallic structural fuses. J. Struct. Eng. 2009, 135, 386–393. [Google Scholar] [CrossRef]
- El-Bahey, S.; Bruneau, M. Structural fuse concept for bridges. Transp. Res. Rec. 2010, 2202, 167–172. [Google Scholar] [CrossRef]
- Nikoukalam, M.T.; Dolatshahi, K.M. Development of structural shear fuse in moment resisting frames. J. Constr. Steel Res. 2015, 114, 349–361. [Google Scholar] [CrossRef]
- Irvani, M.; Ezati, H.; Khafajeh, R.; Jaari, V.R.K. Numerically study on the seismic response of partially restrained moment connection with structural fuse T-stub for European sections. Structures 2022, 35, 82–105. [Google Scholar] [CrossRef]
- Farzampour, A. Innovative structural fuse systems for various prototype applications. Materials 2022, 15, 805. [Google Scholar] [CrossRef]
- Ghadami, A.; Pourmoosavi, G.; Ghamari, A. Seismic design of elements outside of the short low-yield-point steel shear links. J. Constr. Steel Res. 2021, 178, 106489. [Google Scholar] [CrossRef]
- Zhuang, L.; Wang, J.; Nie, X.; Wu, Z. Experimental study on seismic behaviour of eccentrically braced composite frame with vertical LYP steel shear link. Eng. Struct. 2022, 255, 113957. [Google Scholar] [CrossRef]
- Qu, B.; Liu, X.; Hou, H.; Qiu, C.; Hu, D. Testing of buckling-restrained braces with replaceable steel angle fuses. J. Struct. Eng. 2018, 144, 04018001. [Google Scholar] [CrossRef]
- Saravanan, M.; Goswami, R.; Palani, G.S. Replaceable fuses in earthquake resistant steel structures: A review. Int. J. Steel Struct. 2018, 18, 868–879. [Google Scholar] [CrossRef]
- Al-Sadoon, Z.A.; Karzad, A.S.; Sagheer, A.; AlHamaydeh, M. Replaceable fuse buckling-restrained brace (BRB): Experimental cyclic qualification testing and NLFEA modeling. Structures 2022, 39, 997–1015. [Google Scholar] [CrossRef]
- Pratap, M.; Vesmawala, G.R. The State-of-the-art review on development of replaceable fuse components in resilient moment resisting frame. Structures 2023, 56, 104888. [Google Scholar] [CrossRef]
- Ullah, R.; Vafaei, M.; Alih, S.C.; Waheed, A. A replaceable sandwiched metallic fuse damper for seismic protection of braced frames. Eng. Struct. 2024, 298, 117072. [Google Scholar] [CrossRef]
- Kim, M.S.; Lee, Y.H. Seismic Behavior of Concrete Columns Retrofitted with a Brace-Type Replaceable Steel Link. Materials 2023, 16, 1182. [Google Scholar] [CrossRef]
- Xu, C.; Jin, L.; Ding, Z.; Li, D.; Du, X. Size effect tests of high-strength RC columns under eccentric loading. Eng. Struct. 2016, 126, 78–91. [Google Scholar] [CrossRef]
- Huang, H.; Huang, M.; Zhang, W.; Pospisil, S.; Wu, T. Experimental investigation on rehabilitation of corroded RC columns with BSP and HPFL under combined loadings. J. Struct. Eng. 2020, 146, 04020157. [Google Scholar] [CrossRef]
- ACI 318-19; Building Code Requirements for Reinforced Concrete and Commentary. American Concrete Institute: Farmington Hills, MI, USA, 2019.
- Paulay, T.; Priestley, M.J.N. Seismic Design of Reinforced Concrete and Masonry Buildings; John Wiley & Sons, Inc.: Hoboken, NJ, USA, 1992. [Google Scholar]
- ACI 374.1-05; Acceptance Criteria for Moment Frames Based on Structural Testing and Commentary. American Concrete Institute: Farmington Hills, MI, USA, 2005.
- Al-Osta, M.A.; Khan, U.; Baluch, M.H.; Rahman, M.K. Effects of variation of axial load on seismic performance of shear deficient RC exterior BCJs. Int. J. Concr. Struct. Mater. 2018, 12, 46. [Google Scholar] [CrossRef]
- Vu, N.S.; Li, B.; Tran, C.T.N. Seismic Behavior of Reinforced Concrete Short Columns Subjected to Varying Axial Load. ACI Struct. J. 2022, 119, 6. [Google Scholar]
- Huang, H.; Hao, R.; Zhang, W.; Huang, M. Experimental study on seismic performance of square RC columns subjected to combined loadings. Eng. Struct. 2019, 184, 194–204. [Google Scholar] [CrossRef]

















| No. | Specimen | Retrofitting Method | Eccentric Distance (mm) | Sliding Slot Length (mm) | Point at Which the Steel Link Begins to Resist Load |
|---|---|---|---|---|---|
| 1 | NE-10 | RSL | 0 | 10 | Shear crack initiation |
| 2 | E130-10 | 130 | |||
| 3 | NE-5 | 0 | 5 | Flexural crack initiation | |
| 4 | E65-5 | 65 | |||
| 5 | E130-5 | 130 |
| Specimen | Drift Ratio (%) | ||||
|---|---|---|---|---|---|
| Initial Crack | Shear Crack | Steel Link Buckled | Concrete Spalling | Terminate Experiment | |
| NE-10 | 0.75 | 2.2 | 2.75 | 4.5 | 4.5 |
| E130-10 | 0.75 | 1 | 2.75 | 3.5 | 4.5 |
| NE-5 | 0.75 | 2.2 | 2.2 | 4.5 | 4.5 |
| E65-5 | 0.75 | 2.2 | 2.2 | 4.5 | 4.5 |
| E130-5 | 0.75 | 1.75 | 2.2 | 3.5 | 4.5 |
| Variables | Crack Propagation at the Bottom of the Column | Observed Damage | |
|---|---|---|---|
| Sliding slot length | E130-10 | E130-5 |
|
![]() | ![]() | ||
| Eccentric distance | NE-5 | E65-5 |
|
![]() | ![]() | ||
| Point | Results | E130-10 | E65-5 | E130-5 | |||
|---|---|---|---|---|---|---|---|
| (+) | (−) | (+) | (−) | (+) | (−) | ||
| Initial crack | (kN·m) | 3.03 | 3.04 | 2.19 | 2.01 | 3.70 | 3.20 |
| (degree) | 0.35 | −0.40 | 0.15 | −0.24 | 0.30 | −0.36 | |
| Shear crack | (kN·m) | 3.81 | 3.37 | 3.61 | 3.57 | 5.57 | 5.14 |
| (degree) | 0.50 | −0.46 | 0.37 | −0.31 | 0.38 | −0.39 | |
| Maximum | (kN·m) | 5.66 | 5.46 | 3.70 | 3.76 | 6.19 | 5.99 |
| (degree) | 0.62 | −0.56 | 0.41 | −0.34 | 0.51 | −0.47 | |
| Termination | (kN·m) | 4.73 | 4.00 | 2.83 | 3.25 | 4.82 | 4.78 |
| (degree) | 0.68 | −0.84 | 0.51 | −0.43 | 0.60 | −0.54 | |
| Drift Ratio (%) | Cumulative Energy Dissipation Capacity (kN·mm) | ||||
|---|---|---|---|---|---|
| NE-10 | E130-10 | NE-5 | E65-5 | E130-5 | |
| 0.2 | 10.8 | 10.9 | 9.0 | 14.6 | 13.4 |
| 0.25 | 23.8 | 26.5 | 22.2 | 33.1 | 33.9 |
| 0.35 | 51.1 | 50.9 | 49.9 | 66.2 | 62.6 |
| 0.5 | 107.4 | 95.8 | 101.3 | 127.4 | 128.1 |
| 0.75 | 222.0 | 209.5 | 214.2 | 262.0 | 255.7 |
| 1 | 404.1 | 377.1 | 379.4 | 436.5 | 441.1 |
| 1.4 | 740.0 | 684.4 | 701.7 | 775.6 | 788.1 |
| 1.75 | 1180.1 | 1038.6 | 1109.0 | 1201.8 | 1201.7 |
| 2.2 | 1893.6 | 1591.7 | 1728.6 | 1885.7 | 1821.8 |
| 2.75 | 3153.3 | 2537.4 | 3078.5 | 3019.3 | 2924.8 |
| 3.5 | 5723.4 | 4611.2 | 5520.4 | 5306.6 | 5105.5 |
| 4.5 | 9236.1 | 8092.6 | 9143.1 | 8754.0 | 8456.6 |
Disclaimer/Publisher’s Note: The statements, opinions and data contained in all publications are solely those of the individual author(s) and contributor(s) and not of MDPI and/or the editor(s). MDPI and/or the editor(s) disclaim responsibility for any injury to people or property resulting from any ideas, methods, instructions or products referred to in the content. |
© 2024 by the authors. Licensee MDPI, Basel, Switzerland. This article is an open access article distributed under the terms and conditions of the Creative Commons Attribution (CC BY) license (https://creativecommons.org/licenses/by/4.0/).
Share and Cite
Ro, K.M.; Kim, M.S.; Lee, Y.H. An Experimental Study on the Seismic Performance of a Replaceable Steel Link System Acting as a Structural Fuse. Appl. Sci. 2024, 14, 2358. https://doi.org/10.3390/app14062358
Ro KM, Kim MS, Lee YH. An Experimental Study on the Seismic Performance of a Replaceable Steel Link System Acting as a Structural Fuse. Applied Sciences. 2024; 14(6):2358. https://doi.org/10.3390/app14062358
Chicago/Turabian StyleRo, Kyong Min, Min Sook Kim, and Young Hak Lee. 2024. "An Experimental Study on the Seismic Performance of a Replaceable Steel Link System Acting as a Structural Fuse" Applied Sciences 14, no. 6: 2358. https://doi.org/10.3390/app14062358
APA StyleRo, K. M., Kim, M. S., & Lee, Y. H. (2024). An Experimental Study on the Seismic Performance of a Replaceable Steel Link System Acting as a Structural Fuse. Applied Sciences, 14(6), 2358. https://doi.org/10.3390/app14062358





