Performance Evaluation of Asphalt and Asphalt Mixtures Modified by Fuel-Resistant Admixture
Abstract
1. Introduction
2. Experimental Programs
2.1. Raw Materials and Mixture Design
2.1.1. FRM
2.1.2. Asphalt
2.1.3. Aggregates and Fiber
2.1.4. Asphalt Mixture Design
2.2. Laboratory Assessment
2.2.1. Experimental Methods for Asphalt
2.2.2. Experimental Methods for Asphalt Mixtures
3. Results and Discussion
3.1. Performance of FRMA
3.1.1. Penetration, Ductility, and Softening-Point Test
3.1.2. DSR Test
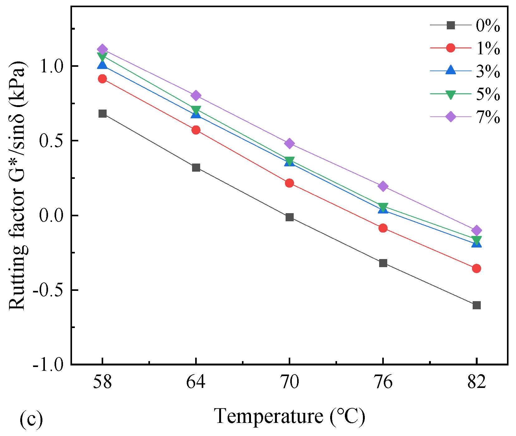
3.1.3. BBR Test
3.2. Performance of SMA-13 Mixture
3.2.1. Mass Loss Test
3.2.2. Cantabro Test
3.2.3. Marshall Stability Test
3.2.4. IDT Test
3.2.5. Uniaxial Penetration Test
3.3. Economic Analysis
4. Conclusions
- FRM has a significant impact on the high and low temperature performance of asphalt. With increased FRM concentration, the penetration, ductility, and phase angle of the asphalt decrease, while the softening point, complex modulus, and rutting factor increase. Adding FRM improves the high-temperature performance of asphalt but has some negative effects on low-temperature performance. Low concentrations of FRM can effectively enhance the low-temperature creep resistance of asphalt.
- The results of the mixture tests indicate that FRMA significantly enhances the performance of asphalt mixtures, effectively improving mass loss due to the oil erosion, scattering loss, Marshall stability, low-temperature IDT strength, and high-temperature shear strength of the specimens.
- Based on the evaluation results of oil erosion, FRM effectively reduces the mass loss due to oil erosion in asphalt mixtures and mitigates the impact of oil erosion on road performance. Specifically, low concentrations of FRM have the highest effectiveness in reducing the sensitivity of road performance to oil erosion.
- The impact of FRM concentration on the road performance of both asphalt and asphalt mixtures is substantial, and the influence on different performance aspects varies. Following the principle of achieving optimal comprehensive performance, it is recommended that the optimal dosage of FRM should be ≤3%, resulting in favorable rheological performance and oil erosion resistance for FRMA. An excess of FRM may potentially result in a degradation of rheological performance and an oversaturation of the modifier in the asphalt.
Author Contributions
Funding
Institutional Review Board Statement
Informed Consent Statement
Data Availability Statement
Acknowledgments
Conflicts of Interest
References
- Khamad, R. Estimation of fuel resistance of asphalt concrete and polymer modified asphalt concrete. East.-Eur. J. Enterp. Technol. 2015, 3, 35–38. [Google Scholar] [CrossRef][Green Version]
- Merusi, F.; Polacco, G.; Nicoletti, A.; Giuliani, F. Kerosene resistance of asphalt binders modified with crumb rubber: Solubility and rheological aspects. Mater. Struct. 2010, 43, 1271–1281. [Google Scholar] [CrossRef]
- Alvarez, A.E.; Martin, A.E.; Estakhri, C. Effects of Densification on Permeable Friction Course Mixtures. J. Test. Eval. 2009, 37, 11–20. [Google Scholar] [CrossRef]
- Cao, L.; Huang, T.; Li, L. Oil Erosion Resistance of Asphalt Mixtures. Shanghai Highw. 2003, S1, 52–55. [Google Scholar]
- Chen, K.; Yuan, J.; Zhang, Y. Effect of oil erosion on the high temperature performance of asphalt mixtures. Shanghai Highw. 2013, 1, 59–60+72+14. [Google Scholar] [CrossRef]
- Zhang, Y.; Huang, X. Analysis of oil corrosion resistance of asphalt and asphalt mixtures. Highway 2006, 51, 173–176. [Google Scholar] [CrossRef]
- Giuliani, F.; Merusi, F.; Filippi, S.; Biondi, D.; Finocchiaro, M.L.; Polacco, G. Effects of polymer modification on the fuel resistance of asphalt binders. Fuel 2009, 88, 1539–1546. [Google Scholar] [CrossRef]
- Li, M.; Niu, X.; Li, H.; Sun, C. Analysis of Capability for Withstanding Oil Corrosion of Asphalt Mixture. Highway 2002, 1, 75–77. [Google Scholar] [CrossRef]
- Li, S.; Li, H. Asphalt Mixture Oil Corrosion Evaluation Method Based on Oil Corrosion Degree. J. Wuhan Univ. Technol. 2015, 37, 32–37. [Google Scholar]
- Irfan, M.; Saeed, M.; Ahmed, S.; Ali, Y. Performance Evaluation of Elvaloy as a Fuel-Resistant Polymer in Asphaltic Concrete Airfield Pavements. J. Mater. Civ. Eng. 2017, 29, 1–9. [Google Scholar] [CrossRef]
- Merusi, F.; Giuliani, F.; Filippi, S.; Moggi, P.; Polacco, G. Kerosene-Resistant Asphalt Binders Based on Nonconventional Modification. J. Transp. Eng. 2011, 137, 874–881. [Google Scholar] [CrossRef]
- Li, P.; Li, X.; Nie, L.; Liu, H.; Zhang, A. Research on the Effect of Anti Oil Modifier on the Performance of Asphalt Mixture. Constr. Technol. 2016, 45, 370–372. [Google Scholar]
- Rizvi, H.R.; Mehta, Y.; Weis, D.; Purdy, C. Bone Glue Modified Fuel Resistant Asphalt Binder. J. Test. Eval. 2019, 47, 1793–1808. [Google Scholar] [CrossRef]
- Li, Q.; Ma, X.; Li, K.; Zhao, K. Experiment on Anti-fuel Oil Corrosion Performance of Stone Mastic Asphalt Mixtures. J. Build. Mater. 2020, 23, 664–670. [Google Scholar]
- Liu, S.; Lv, B.; Lin, S.; Xing, F.; Zhang, F. Study on the Effect of Anti—Oil Modifier on the Performance of High Viscosity Asphalt and Asphalt Mixtures. Etroleum Asph. 2021, 35, 1–5. [Google Scholar]
- Liu, W.; Li, H.; Lin, H.; Du, X.; Sun, M.; Liu, S. Effects of a Fuel-Resistant Modifier on the High-Temperature Characteristics of Asphalt Binders. Sustainability 2021, 13, 7924. [Google Scholar] [CrossRef]
- Yao, H.; Cao, Y.; Zhou, X.; Wang, J.a.; Wang, Q. Improvement on the high-temperature performance and fuel resistance of SBS modified asphalt by hybridizing with polyamide resin. Constr. Build. Mater. 2021, 309, 124987. [Google Scholar] [CrossRef]
- JTG E20-2011; Standard Test Methods of Bitumen and Bituminous Mixtures for Highway Engineering. Ministry of Transport of the People’s Republic of China: Beijing, China, 2011.
- JTG F40-2004; Technical Specifications for Construction of Highway Asphalt Pavements. Ministry of Transport of the People’s Republic of China: Beijing, China, 2004.
- AASHTO T 315; Determining the Rheological Properties of Asphalt Binder Using a Dynamic Shear Rheometer (DSR). AASHTO: Washington, DC, USA, 2012.
- AASHTO T 313; Standard Method of Test for Determining the Flexural Creep Stiffness of Asphalt Binder Using the Bending Beam Rheometer (BBR). AASHTO: Washington, DC, USA, 2022.
- Jiang, Y.; Zhang, Y.; Yi, Y.; Tian, T.; Fan, J.; Xue, J. Study of shear strength and gradation optimization of asphalt mixture based on uniaxial penetration numerical test. Constr. Build. Mater. 2023, 397, 132398. [Google Scholar] [CrossRef]
- JTG D50-2017; Specifications for Design of Highway Asphalt Pavement. Ministry of Transport of the People’s Republic of China: Beijing, China, 2017.
- Xiaotao, Y. Study on the Modification Mechanism and Modification Effect of Resin and Elastomer High Viscosity Modified Asphalt; Southwest Jiaotong University: Chengdu, China, 2022. [Google Scholar]
- Topal, A. Evaluation of the properties and microstructure of plastomeric polymer modified bitumens. Fuel Process. Technol. 2010, 91, 45–51. [Google Scholar] [CrossRef]
- Sun, D.Q.; Lu, W.M. Phase morphology of polymer modified road asphalt. Pet. Sci. Technol. 2006, 24, 839–849. [Google Scholar] [CrossRef]
- Sjogren, M.; Li, H.; Rannug, U.; Westerholm, R. A multivariate statistical-analysis of chemical-composition and physical characteristics of 10 diesel fuels. Fuel 1995, 74, 983–989. [Google Scholar] [CrossRef]















| Index | Test Result |
|---|---|
| Appearance | Powdered particle |
| Particle diameter (mm) | 0.01~2.00 |
| Density (g/cm3) | 0.82~0.85 |
| Melting point (°C) | <150 °C |
| Property | 70# Asphalt |
|---|---|
| Density (15 °C)/(g·cm−3) | 1.018 |
| Penetration (25 °C)/(0.1 mm) | 72.3 |
| Ductility (15 °C)/cm | >100 |
| Softening point/°C | 52.4 |
| Flash point/°C | 304 |
| Solubility/% | 99.84 |
| Dynamic viscosity (60 °C)/(Pa·s) | 210.5 |
| FRM content | 0% | 1% | 3% | 5% | 7% |
| Optimal asphalt content | 5.25 | 5.33 | 5.47 | 5.55 | 5.62 |
| FRM content | 1% | 3% | 5% | 7% |
| Cost of FRM (Rmb) | 297 | 874 | 1429 | 1963 |
Disclaimer/Publisher’s Note: The statements, opinions and data contained in all publications are solely those of the individual author(s) and contributor(s) and not of MDPI and/or the editor(s). MDPI and/or the editor(s) disclaim responsibility for any injury to people or property resulting from any ideas, methods, instructions or products referred to in the content. |
© 2024 by the authors. Licensee MDPI, Basel, Switzerland. This article is an open access article distributed under the terms and conditions of the Creative Commons Attribution (CC BY) license (https://creativecommons.org/licenses/by/4.0/).
Share and Cite
Zhang, S.; Tu, M.; Liu, W.; Du, X.; Zhang, H. Performance Evaluation of Asphalt and Asphalt Mixtures Modified by Fuel-Resistant Admixture. Appl. Sci. 2024, 14, 1981. https://doi.org/10.3390/app14051981
Zhang S, Tu M, Liu W, Du X, Zhang H. Performance Evaluation of Asphalt and Asphalt Mixtures Modified by Fuel-Resistant Admixture. Applied Sciences. 2024; 14(5):1981. https://doi.org/10.3390/app14051981
Chicago/Turabian StyleZhang, Shuguang, Meng Tu, Wenchang Liu, Xiaobo Du, and Hongchao Zhang. 2024. "Performance Evaluation of Asphalt and Asphalt Mixtures Modified by Fuel-Resistant Admixture" Applied Sciences 14, no. 5: 1981. https://doi.org/10.3390/app14051981
APA StyleZhang, S., Tu, M., Liu, W., Du, X., & Zhang, H. (2024). Performance Evaluation of Asphalt and Asphalt Mixtures Modified by Fuel-Resistant Admixture. Applied Sciences, 14(5), 1981. https://doi.org/10.3390/app14051981
