On the Variation of Cup Anemometer Performance Due to Changes in the Air Density
Abstract
1. Introduction
- The dynamic pressure, 0.5ρV2, which depends on both the air density, ρ, and the air velocity with respect to the cup anemometer, V;
- The ratio Rc/Rrc, between the radius of the cups, Rc, and the radius of rotation of the center of the cup, Rrc;
- The cup’s normal force coefficient, cN, [12].
2. Effect of Air Density Variations on Cup Anemometers Performance—Research Carried Out in 1937 and 2018
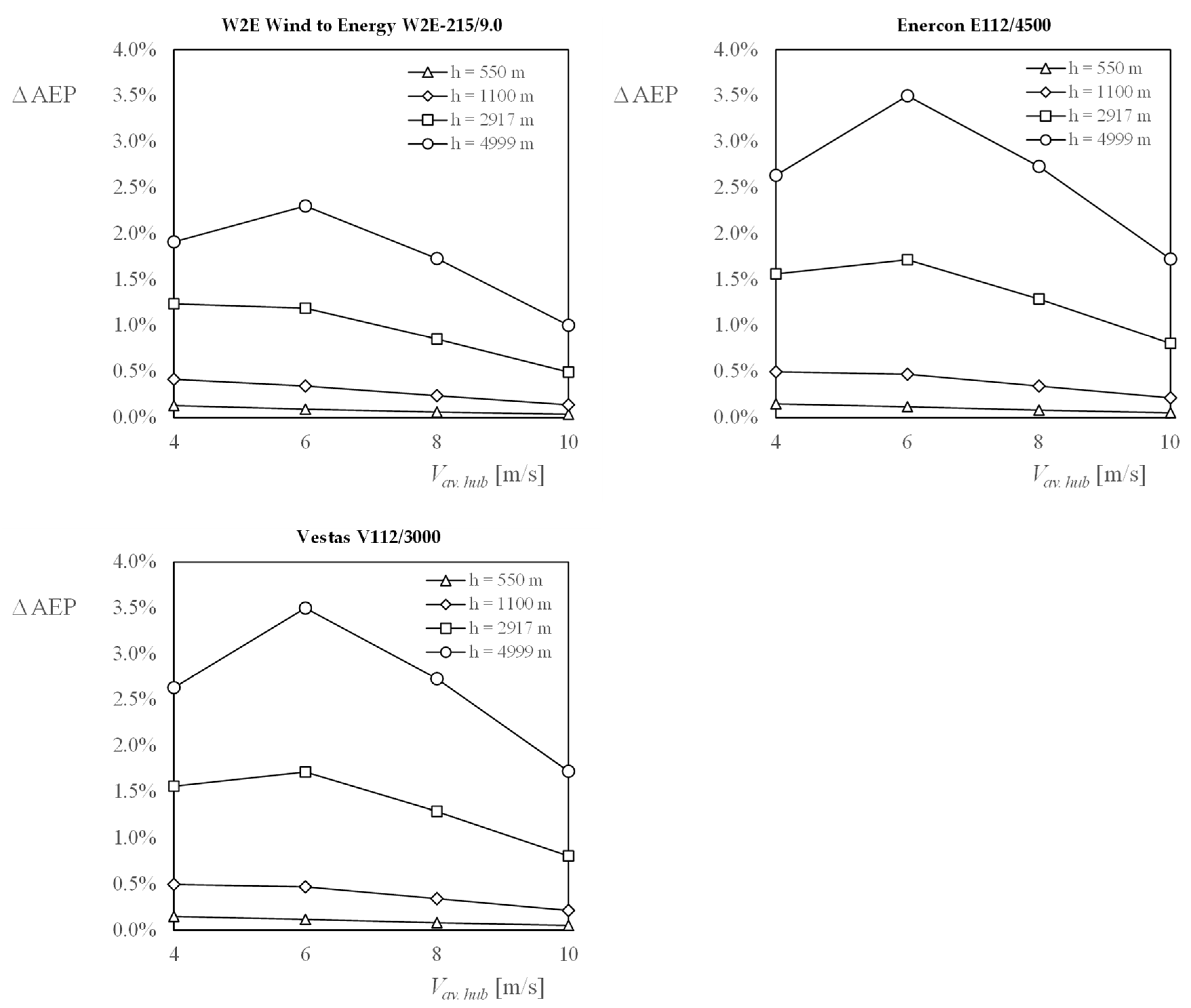
3. Estimation of Wind Turbine Annual Energy Production (AEP) Variations Caused by Errors in the Measured Wind Speed Due to Changes in the Air Density
- W2E Wind to Energy W2E-215/9.0 (Rostock, Germany). Rated Power 9000 kW.
- Enercon E112/4500 (Aurich, Germany). Rated Power 4500 kW.
- Vestas V112/3000 (Aarhus, Denmark). Rated Power 3000 kW.
4. Conclusions
- The effect of air density changes on the cup anemometer measurements (this effect being uncoupled with the cup anemometer’s temperature, which affects the friction torque on the rotor’s shaft) has been studied by analyzing data available from open sources. The results indicate a change in the performance of the cup anemometer at air densities of around 0.65 kg·m−3. This change can be attributed to the ratio between aerodynamic and friction forces, as when the last ones are of the same order as the first ones; the classic aerodynamic theory that is applied to this instrument (the average dynamic torque is zero in one turn of the anemometer’s rotor), is no longer valid.
- Additionally, the effect of the wind speed measurement bias on the Annual Energy Production of three wind generators due to air density variation with respect to the one from the instrument calibration has been estimated. The maximum impact is reached at wind speeds around 6 m·s−1, the consequences being a 1.5% AEP decrease at air densities corresponding to 2917 m above sea level. For higher altitudes, the effect is much more severe (3.5% decrease at around 5000 m above sea level). Larger wind generators (9000 kW instead of 3000–4500 kW) are less affected by the discrepancy between measured and true wind speed due to the difference in the air density between where the anemometer is operated and where it was calibrated.
- More research is required to properly model the cup anemometer performance at air densities below 0.7 kg·m−3. This could help to extend the use of the cup anemometer to stratospheric balloons, bearing in mind the errors of sonic anemometers in these conditions due to the problems related to the sonic transmittance in low-density air.
Author Contributions
Funding
Data Availability Statement
Acknowledgments
Conflicts of Interest
Appendix A
References
- Robinson, T.R. II. On the Determination of the Constants of the Cup Anemometer by Experiments with a Whirling Machine. Proc. R Soc. Lond. 1878, 27, 286–289. [Google Scholar] [CrossRef]
- Robinson, T.R. XXIII. On the Determination of the Constants of the Cup Anemometer by Experiments with a Whirling Machine. Philos. Trans. R Soc. Lond. 1878, 169, 777–822. [Google Scholar] [CrossRef]
- Robinson, T.R. On the Constants of the Cup Anemometer. Proc. R. Soc. Lond. 1880, 30, 572–574. [Google Scholar]
- Pedersen, T.F.; Dahlberg, J.-Å. Modelling of cup anemometry and dynamic overspeeding in average wind speed measurements. Egusph 2023. preprint. [Google Scholar] [CrossRef]
- Sanz-Andrés, A.; Pindado, S.; Sorribes, F. Mathematical analysis of the effect of the rotor geometry on cup anemometer response. Sci. World J. 2014, 2014, 537813. [Google Scholar] [CrossRef]
- Li, R.; Kikumoto, H. Journal of Wind Engineering & Industrial Aerodynamics Data-driven calibration of cup anemometer based on field measurements and artificial neural network for wind measurement around buildings. J. Wind Eng. Ind. Aerodyn. 2022, 231, 105239. [Google Scholar] [CrossRef]
- Dai, S.; Sweetman, B. Physics-based recalibration method of cup anemometers. Flow Meas. Instrum. 2023, 91, 102343. [Google Scholar] [CrossRef]
- Azorin-molina, C.; Pirooz, A.A.S.; Bedoya-Valestt, S.; Utrabo-Carazo, E.; Andres-Martin, M.; Shen, C.; Minola, L.; Guijarro, J.A.; Aguilar, E.; Brunet, M.; et al. Biases in wind speed measurements due to anemometer changes. Atmos. Res. 2023, 289, 106771. [Google Scholar] [CrossRef]
- Ligęza, P. Dynamic Error Correction Method in Tachometric. Energies 2022, 15, 4132. [Google Scholar] [CrossRef]
- Wolken-m, G.; Bischoff, O.; Gottschall, J. Analysis of wind speed deviations between floating lidars, fixed lidar and cup anemometry based on experimental data Analysis of wind speed deviations between floating lidars, fixed lidar and cup anemometry based on experimental data. J. Phys. Conf. Ser. 2022, 2362, 012042. [Google Scholar] [CrossRef]
- Alfonso-Corcuera, D.; Pindado, S.; Ogueta-Guitiérrez, M.; Sanz-Andrés, Á. Bearing friction effect on cup anemometer performance modelling. J. Phys. Conf. Ser. 2021, 2090, 012101. [Google Scholar] [CrossRef]
- Roibas-Millan, E.; Cubas, J.; Pindado, S. Studies on cup anemometer performances carried out at IDR/UPM Institute. Past and present research. Energies 2017, 10, 1860. [Google Scholar] [CrossRef]
- Ramachandran, S. A theoretical study of cup and vane anemometers. Q. J. R. Meteorol. Soc. 1969, 95, 163–180. [Google Scholar] [CrossRef]
- Ramachandran, S. A theoretical study of cup and vane anemometers—Part II. Q. J. R. Meteorol. Soc. 1969, 96, 115–123. [Google Scholar] [CrossRef]
- Wyngaard, J.C. Cup, propeller, vane, and sonic anemometers in turbulence research. Annu. Rev. Fluid Mech. 1981, 13, 399–423. [Google Scholar] [CrossRef]
- Brevoort, M.J.; Joyner, U.T. Experimental Investigation of the Robinson-Type Cup Anemometer; No. NACA-TR-513; NASA Technical Reports Server: Washington, DC, USA, 1936. [Google Scholar]
- IEC 61400-50-1:2022; Wind Energy Generation Systems—Part 50-1: Wind Measurement—Application of Meteorological Mast, Nacelle and Spinner Mounted Instruments. International Electrotechnical Commission: Geneva, Switzerland, 2022.
- Fabian, O. Fly-Wheel Calibration of Cup-Anemometers. Risø-R-797(EN): Contributions from the Department of Meteorology and Wind Energy to the EWEC’94 Conference in Thessaloniki, Greece; Risø National Laboratory: Roskilde, Denmark, 1995. [Google Scholar]
- IEC 61400-12-1:2022; Wind Turbines. Part 12-1: Power Performance Measurements of Electricity Producing Wind Turbines. International Electrotechnical Commission: Geneva, Switzerland, 2005.
- Tammelin, B.; Cavaliere, M.; Kimura, S.; Morgan, C.; Peltomaa, A. Ice Free Anemometers. In Proceedings of the BOREAS IV, Proceeding of an International Meeting; Finnish Meteorological Institute: Helsinki, Finland, 1998; pp. 239–252. [Google Scholar]
- Kimura, S.; Abe, K.; Tsuboi, K.; Tammelin, B.; Suzuki, K. Aerodynamic characteristics of an iced cup-shaped body. Cold Reg. Sci. Technol. 2001, 33, 45–58. [Google Scholar] [CrossRef]
- Makkonen, L.; Lehtonen, P.; Helle, L. Anemometry in icing conditions. J. Atmos. Ocean. Technol. 2001, 18, 1457–1469. [Google Scholar] [CrossRef]
- Fortin, G.; Perron, J.; Ilinca, A. Behaviour and Modeling of Cup Anemometers under Icing Conditions. In Proceedings of the 11th International Workshop on Atmospheric Icing of Structures, Montréal, QC, Canada, 12–16 June 2005. [Google Scholar]
- Bégin-Drolet, A.; Ruel, J.; Lemay, J. Off-axis characterization of ice-free anemometers. J. Wind Eng. Ind. Aerodyn. 2011, 99, 825–832. [Google Scholar] [CrossRef]
- Bégin-Drolet, A.; Ruel, J.; Lemay, J.; Giroux, G. Commissioning of a new ice-free anemometer: 2011 Field tests at WEICan. Measurement 2012, 45, 2029–2040. [Google Scholar] [CrossRef]
- Bégin-Drolet, A.; Lemay, J.; Ruel, J. Time domain modeling of cup anemometers using artificial neural networks. Flow Meas. Instrum. 2013, 33, 10–27. [Google Scholar] [CrossRef]
- Schubauer, G.B.; Mason, M.A. Performance characteristics of a water current meter in water and in air. J. Res. Natl. Bur. Stand. 1937, 18, 351–360. [Google Scholar] [CrossRef]
- Busche, P.; May, C.; Roß, A.; Suhr, J.; Westermann, H. Anemometer Calibration at Different Air Temperatures and Air Pressures. Project No.: VT180259. Report No.: VT180259_01_Rev0. Report Date: 2018-03-02.
- Roß, A.; Balaresque, N.; Fischer, A. Temperature and pressure effects on the response behavior of anemometers. Tech. Mess. 2023, 90, 604–612. [Google Scholar] [CrossRef]
- Liang, Y.; Ji, X.; Wu, C.; He, J.; Qin, Z. Estimation of the influences of air density on wind energy assessment: A case study from China. Energy Convers. Manag. 2020, 224, 113371. [Google Scholar] [CrossRef]
- Wellman, J.B. A Folding Rotating Cup Anemometer. In Space Programs Summary 37-53, Vol. III. Supporting Research and Advanced Development For the Period August 1 to September 30, 1968; NASA, Jet Propulsion Laboratory, California Institute of Technology: Pasadena, CA, USA, 1968; pp. 133–143. [Google Scholar]
- Lorenz, R.D. Surface winds on Venus: Probability distribution from in-situ measurements. Icarus 2016, 264, 311–315. [Google Scholar] [CrossRef]
- González-Bárcena, D.; Peinado-Pérez, L.; Fernández-Soler, A.; Pérez-Muñoz, Á.G.; Álvarez-Romero, J.M.; Ayape, F.; Martín, J.; Bermejo-Ballesteros, J.; Porras-Hermoso, Á.L.; Alfonso-Corcuera, D.; et al. TASEC-Lab: A COTS-based CubeSat-like university experiment for characterizing the convective heat transfer in stratospheric balloon missions. Acta Astronaut. 2022, 196, 244–258. [Google Scholar] [CrossRef]
- Alfonso-Corcuera, D.; Ogueta-Guitiérrez, M.; Fernández-Soler, A.; González-Bárcena, D.; Pindado, S. Measuring Relative Wind Speeds in Stratospheric Balloons with Cup Anemometers: The TASEC-Lab Mission. Sensors 2022, 22, 5575. [Google Scholar] [CrossRef]
- Pindado, S. Elementos de Transporte Aéreo; Meseguer, J., Sanz-Andrés, A., Eds.; Instituto Universitario de Microgravedad “Ignacio Da Riva”: Madrid, Spain, 2006; ISBN 84-921113-9-9. [Google Scholar]
- IEC 61400-12-1:2017; Wind Energy Generation Systems. Power Performance Measurements of Electricity Producing Wind Turbines. International Electrotechnical Commission: Geneva, Switzerland, 2017.
- Kusiak, A.; Zheng, H.; Song, Z. On-line monitoring of power curves. Renew. Energy 2009, 34, 1487–1493. [Google Scholar] [CrossRef]
- Carrillo, C.; Obando Montaño, A.F.; Cidrás, J.; Díaz-Dorado, E. Review of power curve modelling for windturbines. Renew. Sustain. Energy Rev. 2013, 21, 572–581. [Google Scholar] [CrossRef]











| ρ [kg·m−3] | V [m·s−1] | ||||||
|---|---|---|---|---|---|---|---|
| 15.5 | 14 | 12 | 10 | 8 | 6 | 4 | |
| 0.855 | 0.98058 | 0.98643 | 0.98923 | 0.9909 | 0.99207 | 0.99286 | 0.99336 |
| 0.916 | 0.98641 | 0.99009 | 0.99188 | 0.99305 | 0.99372 | 0.99422 | 0.99452 |
| 0.976 | 0.98903 | 0.99224 | 0.99379 | 0.99479 | 0.9955 | 0.99596 | 0.99617 |
| 1.038 | 0.99198 | 0.99436 | 0.99536 | 0.99607 | 0.99661 | 0.99674 | 0.99691 |
| 1.100 | 0.99689 | 0.99748 | 0.99777 | 0.9981 | 0.99814 | 0.99831 | 0.99823 |
| 1.161 | 0.99938 | 0.99942 | 0.99959 | 0.99955 | 0.99946 | 0.99951 | 0.99938 |
| 1.227 | 1.00033 | 1.00017 | 1.00012 | 1.00021 | 1.00025 | 1.00021 | 1.00021 |
| 1.294 | 1.00354 | 1.00228 | 1.00182 | 1.00161 | 1.00115 | 1.00116 | 1.00107 |
| 1.352 | 1.00323 | 1.00252 | 1.00206 | 1.00168 | 1.00147 | 1.00139 | 1.00122 |
| ρ [kg·m−3] | V [m·s−1] | ||||||
|---|---|---|---|---|---|---|---|
| 15.5 | 14 | 12 | 10 | 8 | 6 | 4 | |
| 0.855 | 310.61 | 281.57 | 241.23 | 200.45 | 159.52 | 118.44 | 77.30 |
| 0.916 | 312.46 | 282.61 | 241.88 | 200.88 | 159.79 | 118.60 | 77.39 |
| 0.976 | 313.29 | 283.23 | 242.34 | 201.23 | 160.07 | 118.81 | 77.52 |
| 1.038 | 314.22 | 283.83 | 242.73 | 201.49 | 160.25 | 118.90 | 77.58 |
| 1.100 | 315.78 | 284.72 | 243.31 | 201.90 | 160.50 | 119.09 | 77.68 |
| 1.161 | 316.57 | 285.28 | 243.76 | 202.20 | 160.71 | 119.23 | 77.77 |
| 1.227 | 316.76 | 285.44 | 243.86 | 202.29 | 160.79 | 119.29 | 77.82 |
| 1.294 | 317.88 | 286.09 | 244.30 | 202.61 | 160.98 | 119.43 | 77.90 |
| 1.352 | 317.78 | 286.16 | 244.36 | 202.63 | 161.03 | 119.46 | 77.91 |
| h [m] | A [m] | B [m·s−1] |
|---|---|---|
| 0 | 0.0481 | 0.2579 |
| 550 | 0.0482 | 0.2574 |
| 1100 | 0.0483 | 0.2480 |
| 1686 | 0.0486 | 0.2238 |
| 2295 | 0.0487 | 0.2083 |
| 2917 | 0.0489 | 0.2017 |
| 3586 | 0.0492 | 0.1696 |
| 4999 | 0.0499 | 0.0986 |
Disclaimer/Publisher’s Note: The statements, opinions and data contained in all publications are solely those of the individual author(s) and contributor(s) and not of MDPI and/or the editor(s). MDPI and/or the editor(s) disclaim responsibility for any injury to people or property resulting from any ideas, methods, instructions or products referred to in the content. |
© 2024 by the authors. Licensee MDPI, Basel, Switzerland. This article is an open access article distributed under the terms and conditions of the Creative Commons Attribution (CC BY) license (https://creativecommons.org/licenses/by/4.0/).
Share and Cite
Alfonso-Corcuera, D.; Meseguer-Garrido, F.; Torralbo-Gimeno, I.; Pindado, S. On the Variation of Cup Anemometer Performance Due to Changes in the Air Density. Appl. Sci. 2024, 14, 1843. https://doi.org/10.3390/app14051843
Alfonso-Corcuera D, Meseguer-Garrido F, Torralbo-Gimeno I, Pindado S. On the Variation of Cup Anemometer Performance Due to Changes in the Air Density. Applied Sciences. 2024; 14(5):1843. https://doi.org/10.3390/app14051843
Chicago/Turabian StyleAlfonso-Corcuera, Daniel, Fernando Meseguer-Garrido, Ignacio Torralbo-Gimeno, and Santiago Pindado. 2024. "On the Variation of Cup Anemometer Performance Due to Changes in the Air Density" Applied Sciences 14, no. 5: 1843. https://doi.org/10.3390/app14051843
APA StyleAlfonso-Corcuera, D., Meseguer-Garrido, F., Torralbo-Gimeno, I., & Pindado, S. (2024). On the Variation of Cup Anemometer Performance Due to Changes in the Air Density. Applied Sciences, 14(5), 1843. https://doi.org/10.3390/app14051843

