Predicting Co-Occurring Mental Health and Substance Use Disorders in Women: An Automated Machine Learning Approach
Abstract
1. Introduction
2. Materials and Methods
2.1. Dataset
2.2. Statistical Methods
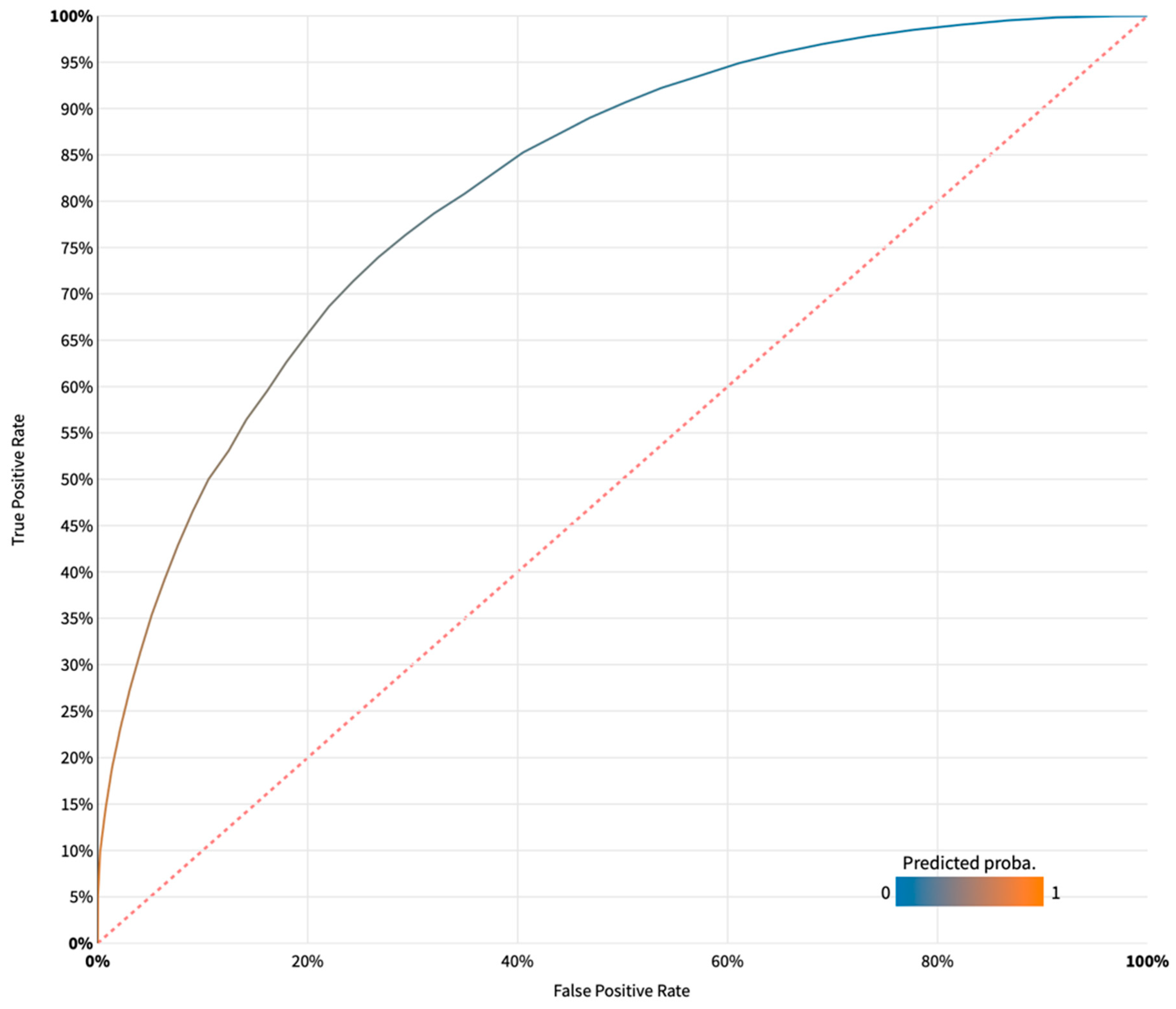
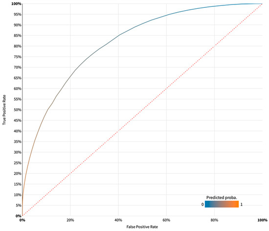
3. Results
4. Discussion
4.1. Application
4.2. Limitations
4.3. Future Prospects
5. Conclusions
Author Contributions
Funding
Institutional Review Board Statement
Informed Consent Statement
Data Availability Statement
Conflicts of Interest
References
- Louison, L.; Green, S.L.; Bunch, S.; Scheyett, A. The problems no one wants to see: Mental illness and substance abuse among women of reproductive age in North Carolina. North Carol. Med. J. 2009, 70, 454–458. [Google Scholar] [CrossRef]
- Stewart, D.; Ashraf, I.; Munce, S. Women’s mental health: A silent cause of mortality and morbidity. Int. J. Gynecol. Obstet. 2006, 94, 343–349. [Google Scholar] [CrossRef] [PubMed]
- Kokane, S.S.; Perrotti, L.I. Sex Differences and the Role of Estradiol in Mesolimbic Reward Circuits and Vulnerability to Cocaine and Opiate Addiction. Front. Behav. Neurosci. 2020, 14, 74. [Google Scholar] [CrossRef] [PubMed]
- McCaul, M.E.; Roach, D.; Hasin, D.S.; Weisner, C.; Chang, G.; Sinha, R. Alcohol and women: A brief overview. Alcohol. Clin. Exp. Res. 2019, 43, 774. [Google Scholar] [CrossRef]
- Fox, H.C.; Sinha, R. Sex differences in drug-related stress-system changes: Implications for treatment in substance-abusing women. Harv. Rev. Psychiatry 2009, 17, 103–119. [Google Scholar] [CrossRef] [PubMed]
- Prieto-Arenas, L.; Díaz, I.; Arenas, M.C. Gender differences in dual diagnoses associated with cannabis use: A review. Brain Sci. 2022, 12, 388. [Google Scholar] [CrossRef]
- Ruiz, M.A.; Douglas, K.S.; Edens, J.F.; Nikolova, N.L.; Lilienfeld, S.O. Co-occurring mental health and substance use problems in offenders: Implications for risk assessment. Psychol. Assess. 2012, 24, 77–87. [Google Scholar] [CrossRef]
- Forster, M.; Rogers, C.J.; Tinoco, S.; Benjamin, S.; Lust, K.; Grigsby, T.J. Adverse childhood experiences and alcohol related negative consequence among college student drinkers. Addict. Behav. 2023, 136, 107484. [Google Scholar] [CrossRef]
- Larsen, J.L.; Johansen, K.S.; Mehlsen, M.Y. What kind of science for dual diagnosis? A pragmatic examination of the enactive approach to psychiatry. Front. Psychol. 2022, 13, 825701. [Google Scholar] [CrossRef]
- Agterberg, S.; Schubert, N.; Overington, L.; Corace, K. Treatment barriers among individuals with co-occurring substance use and mental health problems: Examining gender differences. J. Subst. Abus. Treat. 2020, 112, 29–35. [Google Scholar] [CrossRef]
- Acion, L.; Kelmansky, D.; van der Laan, M.; Sahker, E.; Jones, D.; Arndt, S. Use of a machine learning framework to predict substance use disorder treatment success. PLoS ONE 2017, 12, e0175383. [Google Scholar] [CrossRef]
- Miranda, O.; Fan, P.; Qi, X.; Wang, H.; Brannock, M.D.; Kosten, T.R.; Ryan, N.D.; Kirisci, L.; Wang, L. DeepBiomarker2: Prediction of Alcohol and Substance Use Disorder Risk in Post-Traumatic Stress Disorder Patients Using Electronic Medical Records and Multiple Social Determinants of Health. J. Pers. Med. 2024, 14, 94. [Google Scholar] [CrossRef]
- Adams, R.S.; Jiang, T.; Rosellini, A.J.; Horváth-Puhó, E.; Street, A.E.; Keyes, K.M.; Cerdá, M.; Lash, T.L.; Sørensen, H.T.; Gradus, J.L. Sex-Specific Risk Profiles for Suicide Among Persons with Substance Use Disorders in Denmark. Addiction 2021, 116, 2882–2892. [Google Scholar] [CrossRef]
- Aishwarya, N.; Yathishan, D.; Alageswaran, R.; Manivannan, D. AutoML Based IoT Application for Heart Attack Risk Prediction. In Proceedings of the Decision Intelligence Solutions, Singapore, 2–3 March 2023; 2023; pp. 19–29. [Google Scholar]
- Kundu, A.; Chaiton, M.; Billington, R.; Grace, D.; Fu, R.; Logie, C.; Baskerville, B.; Yager, C.; Mitsakakis, N.; Schwartz, R. Machine Learning Applications in Mental Health and Substance Use Research Among the LGBTQ2S+ Population: Scoping Review. JMIR Med Inf. 2021, 9, e28962. [Google Scholar] [CrossRef] [PubMed]
- Johnstone, S.; Dela Cruz, G.A.; Kalb, N.; Tyagi, S.V.; Potenza, M.N.; George, T.P.; Castle, D.J. A systematic review of gender-responsive and integrated substance use disorder treatment programs for women with co-occurring disorders. Am. J. Drug Alcohol Abus. 2023, 49, 21–42. [Google Scholar] [CrossRef] [PubMed]
- Waring, J.; Lindvall, C.; Umeton, R. Automated machine learning: Review of the state-of-the-art and opportunities for healthcare. Artif. Intell. Med. 2020, 104, 101822. [Google Scholar] [CrossRef] [PubMed]
- Obermeyer, Z.; Powers, B.; Vogeli, C.; Mullainathan, S. Dissecting racial bias in an algorithm used to manage the health of populations. Science 2019, 366, 447–453. [Google Scholar] [CrossRef] [PubMed]
- Mustafa, A.; Rahimi Azghadi, M. Automated Machine Learning for Healthcare and Clinical Notes Analysis. Computers 2021, 10, 24. [Google Scholar] [CrossRef]
- Beam, A.L.; Kohane, I.S. Big Data and Machine Learning in Health Care. JAMA 2018, 319, 1317–1318. [Google Scholar] [CrossRef] [PubMed]
- Rajkomar, A.; Dean, J.; Kohane, I. Machine learning in medicine. N. Engl. J. Med. 2019, 380, 1347–1358. [Google Scholar] [CrossRef]
- Tsamardinos, I.; Charonyktakis, P.; Papoutsoglou, G.; Borboudakis, G.; Lakiotaki, K.; Zenklusen, J.C.; Juhl, H.; Chatzaki, E.; Lagani, V. Just Add Data: Automated predictive modeling for knowledge discovery and feature selection. NPJ Precis. Oncol. 2022, 6, 38. [Google Scholar] [CrossRef] [PubMed]
- Thomaidis, G.V.; Papadimitriou, K.; Michos, S.; Chartampilas, E.; Tsamardinos, I. A characteristic cerebellar biosignature for bipolar disorder, identified with fully automatic machine learning. IBRO Neurosci. Rep. 2023, 15, 77–89. [Google Scholar] [CrossRef] [PubMed]
- Naser, M.Z. Machine learning for all! Benchmarking automated, explainable, and coding-free platforms on civil and environmental engineering problems. J. Infrastruct. Intell. Resil. 2023, 2, 100028. [Google Scholar] [CrossRef]
- Perotte, A.; Pivovarov, R.; Natarajan, K.; Weiskopf, N.; Wood, F.; Elhadad, N. Diagnosis code assignment: Models and evaluation metrics. J. Am. Med. Inf. Assoc. 2014, 21, 231–237. [Google Scholar] [CrossRef] [PubMed]
- Zhuhadar, L.P.; Lytras, M.D. The Application of AutoML Techniques in Diabetes Diagnosis: Current Approaches, Performance, and Future Directions. Sustainability 2023, 15, 13484. [Google Scholar] [CrossRef]
- Barenholtz, E.; Fitzgerald, N.D.; Hahn, W.E. Machine-learning approaches to substance-abuse research: Emerging trends and their implications. Curr. Opin. Psychiatry 2020, 33, 334–342. [Google Scholar] [CrossRef]
- Kabir, M.F.; Ludwig, S.A. Enhancing the Performance of Classification Using Super Learning. Data-Enabled Discov. Appl. 2019, 3, 5. [Google Scholar] [CrossRef]
- Van der Laan, M.J.; Rose, S. Targeted Learning: Causal Inference for Observational and Experimental Data; Springer: Berlin/Heidelberg, Germany, 2011; Volume 4. [Google Scholar]
- Laan, M.J.V.D.; Polley, E.C.; Hubbard, A.E. Super Learner. Stat. Appl. Genet. Mol. Biol. 2007, 6. [Google Scholar] [CrossRef]
- Comartin, E.B.; Burgess-Proctor, A.; Harrison, J.; Kubiak, S. Gender, Geography, and Justice: Behavioral Health Needs and Mental Health Service Use Among Women in Rural Jails. Crim. Justice Behav. 2021, 48, 1229–1242. [Google Scholar] [CrossRef]
- Zhao, Q.; Kong, Y.; Henderson, D.; Parrish, D. Arrest Histories and Co-Occurring Mental Health and Substance Use Disorders Among Women in the USA. Int. J. Ment. Health Addict. 2023. [Google Scholar] [CrossRef]
- SAMHSA. Treatment Episode Data Set Admissions (TEDS-A) 2020; SAMHSA: Rockville, MD, USA, 2023. [Google Scholar]
- Standeven, L.R.; Scialli, A.; Chisolm, M.S.; Terplan, M. Trends in cannabis treatment admissions in adolescents/young adults: Analysis of TEDS-A 1992 to 2016. J. Addict. Med. 2020, 14, e29–e36. [Google Scholar] [CrossRef]
- Baird, A.; Cheng, Y.; Xia, Y. Use of machine learning to examine disparities in completion of substance use disorder treatment. PLoS ONE 2022, 17, e0275054. [Google Scholar] [CrossRef]
- Yang, J.C.; Roman-Urrestarazu, A.; Brayne, C. Differences in receipt of opioid agonist treatment and time to enter treatment for opioid use disorder among specialty addiction programs in the United States, 2014–2017. PLoS ONE 2019, 14, e0226349. [Google Scholar] [CrossRef]
- Pozo-Luyo, C.A.; Cruz-Duarte, J.M.; Amaya, I.; Ortiz-Bayliss, J.C. Forecasting PM2.5 concentration levels using shallow machine learning models on the Monterrey Metropolitan Area in Mexico. Atmos. Pollut. Res. 2023, 14, 101898. [Google Scholar] [CrossRef]
- Egger, R. Software and tools. Applied Data Science in Tourism: Interdisciplinary Approaches, Methodologies, and Applications; Springer: Cham, Switzerland, 2022; pp. 547–588. [Google Scholar]
- Tapeh, A.T.G.; Naser, M.Z. Artificial Intelligence, Machine Learning, and Deep Learning in Structural Engineering: A Scientometrics Review of Trends and Best Practices. Arch. Comput. Methods Eng. 2023, 30, 115–159. [Google Scholar] [CrossRef]
- Sahker, E.; Acion, L.; Arndt, S. National analysis of differences among substance abuse treatment outcomes: College student and nonstudent emerging adults. J. Am. Coll. Health 2015, 63, 118–124. [Google Scholar] [CrossRef]
- Glasheen, C.; Pemberton, M.R.; Lipari, R.; Copello, E.A.; Mattson, M.E. Binge drinking and the risk of suicidal thoughts, plans, and attempts. Addict. Behav. 2015, 43, 42–49. [Google Scholar] [CrossRef]
- Alang, S.M. Sociodemographic disparities associated with perceived causes of unmet need for mental health care. Psychiatr. Rehabil. J. 2015, 38, 293. [Google Scholar] [CrossRef] [PubMed]
- Huang, J.-C.; Tsai, Y.-C.; Wu, P.-Y.; Lien, Y.-H.; Chien, C.-Y.; Kuo, C.-F.; Hung, J.-F.; Chen, S.-C.; Kuo, C.-H. Predictive modeling of blood pressure during hemodialysis: A comparison of linear model, random forest, support vector regression, XGBoost, LASSO regression and ensemble method. Comput. Methods Programs Biomed. 2020, 195, 105536. [Google Scholar] [CrossRef]
- Hong, W.; Zhou, X.; Jin, S.; Lu, Y.; Pan, J.; Lin, Q.; Yang, S.; Xu, T.; Basharat, Z.; Zippi, M. A comparison of XGBoost, random forest, and nomograph for the prediction of disease severity in patients with COVID-19 pneumonia: Implications of cytokine and immune cell profile. Front. Cell. Infect. Microbiol. 2022, 12, 819267. [Google Scholar] [CrossRef]
- Meng, D.; Xu, J.; Zhao, J. Analysis and prediction of hand, foot and mouth disease incidence in China using Random Forest and XGBoost. PLoS ONE 2021, 16, e0261629. [Google Scholar] [CrossRef] [PubMed]
- Fawcett, T. An introduction to ROC analysis. Pattern Recognit. Lett. 2006, 27, 861–874. [Google Scholar] [CrossRef]
- Romero, R.A.A.; Deypalan, M.N.Y.; Mehrotra, S.; Jungao, J.T.; Sheils, N.E.; Manduchi, E.; Moore, J.H. Benchmarking AutoML frameworks for disease prediction using medical claims. BioData Min. 2022, 15, 15. [Google Scholar] [CrossRef] [PubMed]
- Apsley, H.B.; Vest, N.; Knapp, K.S.; Santos-Lozada, A.; Gray, J.; Hard, G.; Jones, A.A. Non-engagement in substance use treatment among women with an unmet need for treatment: A latent class analysis on multidimensional barriers. Drug Alcohol Depend. 2023, 242, 109715. [Google Scholar] [CrossRef] [PubMed]


| Factor | Value | Number (%) |
|---|---|---|
| GENDER | Female | 132,128 (100) |
| State (STFIPS) | New York | 35,662 (27) |
| Colorado | 11,247 (8.5) | |
| Illinois | 9351 (7.1) | |
| Michigan | 9161 (6.9) | |
| North Carolina | 8410 (6.4) | |
| New Jersey | 7520 (5.7) | |
| Indiana | 6806 (5.2) | |
| Connecticut | 5502 (4.2) | |
| Kentucky | 4954 (3.7) | |
| Tennessee | 4052 (3.1) | |
| Missouri | 3593 (2.7) | |
| Pennsylvania | 3236 (2.4) | |
| Ohio | 2771 (2.1) | |
| Other | 19,863 (15) | |
| Previous substance use treatment episodes (NOPRIOR) | No prior treatment episodes | 39,112 (29.6) |
| One prior treatment episode | 28,334 (21.4) | |
| Five or more prior treatment episodes | 24,478 (18.5) | |
| Two prior treatment episodes | 19,212 (14.5) | |
| Three prior treatment episodes | 13,101 (9.9) | |
| Four prior treatment episodes | 7891 (6) | |
| Type of treatment service/setting (SERVICES) | Ambulatory, non-intensive outpatient | 70,284 (53.2) |
| Rehab/residential, short-term (30 days or fewer) | 21,110 (16) | |
| Ambulatory, intensive outpatient | 15,802 (12) | |
| Detox, 24-h, free-standing residential | 13,945 (10.6) | |
| Other | 10,983 (8.4) | |
| Referral source (PSOURCE) | Individual (includes self-referral) | 62,232 (47.1) |
| Court/criminal justice referral/DUI/DWI | 29,059 (22) | |
| Other community referral | 15,135 (11.5) | |
| Alcohol/drug use care provider | 14,176 (10.7) | |
| Other | 11,535 (9.7) | |
| Race (RACE) | Black or African American | 97,677 (73.9) |
| Asian or Pacific Islander | 20,931 (15.8) | |
| White | 8788 (6.7) | |
| Other | 4732 (3.5) | |
| Substance use (secondary) (SUB2) | None | 48,513 (36.7) |
| Cocaine/crack | 19,126 (14.5) | |
| Marijuana/hashish | 18,044 (13.7) | |
| Methamphetamine/speed | 11,659 (8.8) | |
| Alcohol | 10,974 (8.3) | |
| Other opiates and synthetics | 7012 (5.3) | |
| Other | 10,246 (12.7) | |
| Substance use (tertiary) (SUB3) | None | 92,205 (69.8) |
| Marijuana/hashish | 10,689 (8.1) | |
| Alcohol | 6454 (4.9) | |
| Cocaine/crack | 5465 (4.1) | |
| Methamphetamine/speed | 3373 (2.6) | |
| Other | 13,942 (10.5) | |
| Employment (EMPLOY) | Unemployed | 69,048 (52.3) |
| Not in labour force | 51,075 (38.7) | |
| Part-time | 12,005 (9.1) | |
| Diagnostic and Statistical Manual of Mental Disorders diagnosis (DSMCRIT) | Opioid dependence | 44,699 (33.8) |
| Alcohol dependence | 22,077 (16.7) | |
| Other substance dependence | 17,766 (13.4) | |
| Other mental health condition | 14,540 (11) | |
| Cannabis dependence | 6567 (5) | |
| Cocaine dependence | 6196 (4.7) | |
| Other | 20,283 (15.4) | |
| Medication-assisted opioid therapy (METHUSE) | Yes | 34,807 (26.3) |
| No | 97,321 (73.7) |
| Model | AUC | Accuracy | Precision | Recall | F1 Score |
|---|---|---|---|---|---|
| Random Forest | 0.807 | 0.742 | 0.734 | 0.923 | 0.818 |
| Gradient Boosted Trees | 0.799 | 0.733 | 0.726 | 0.921 | 0.812 |
| XGBoost | 0.809 | 0.745 | 0.739 | 0.918 | 0.819 |
| Extra Trees | 0.803 | 0.738 | 0.733 | 0.916 | 0.814 |
| SGD | 0.778 | 0.725 | 0.728 | 0.898 | 0.804 |
| Deep Neural Network | 0.631 | 0.628 | 0.628 | 1 | 0.771 |
| Single Layer Perceptron | 0.776 | 0.721 | 0.718 | 0.916 | 0.805 |
| K Nearest Neighbors (grid) | 0.670 | 0.661 | 0.655 | 0.971 | 0.782 |
| Super Learning | 0.817 | 0.751 | 0.743 | 0.926 | 0.825 |
| Metric | Mean | Standard Deviation (SD) |
|---|---|---|
| AUC | 0.772 | 0.059 |
| Accuracy | 0.713 | 0.037 |
| Precision | 0.711 | 0.037 |
| Recall | 0.935 | 0.032 |
| F1 Score | 0.804 | 0.020 |
Disclaimer/Publisher’s Note: The statements, opinions and data contained in all publications are solely those of the individual author(s) and contributor(s) and not of MDPI and/or the editor(s). MDPI and/or the editor(s) disclaim responsibility for any injury to people or property resulting from any ideas, methods, instructions or products referred to in the content. |
© 2024 by the authors. Licensee MDPI, Basel, Switzerland. This article is an open access article distributed under the terms and conditions of the Creative Commons Attribution (CC BY) license (https://creativecommons.org/licenses/by/4.0/).
Share and Cite
Acharya, N.; Kar, P.; Ally, M.; Soar, J. Predicting Co-Occurring Mental Health and Substance Use Disorders in Women: An Automated Machine Learning Approach. Appl. Sci. 2024, 14, 1630. https://doi.org/10.3390/app14041630
Acharya N, Kar P, Ally M, Soar J. Predicting Co-Occurring Mental Health and Substance Use Disorders in Women: An Automated Machine Learning Approach. Applied Sciences. 2024; 14(4):1630. https://doi.org/10.3390/app14041630
Chicago/Turabian StyleAcharya, Nirmal, Padmaja Kar, Mustafa Ally, and Jeffrey Soar. 2024. "Predicting Co-Occurring Mental Health and Substance Use Disorders in Women: An Automated Machine Learning Approach" Applied Sciences 14, no. 4: 1630. https://doi.org/10.3390/app14041630
APA StyleAcharya, N., Kar, P., Ally, M., & Soar, J. (2024). Predicting Co-Occurring Mental Health and Substance Use Disorders in Women: An Automated Machine Learning Approach. Applied Sciences, 14(4), 1630. https://doi.org/10.3390/app14041630

