Next Article in Journal
Tunable Ultralow-Frequency Bandgaps Based on Locally Resonant Plate with Quasi-Zero-Stiffness Resonators
Next Article in Special Issue
Graphite Content Identification with Laboratory and Field Spectral Induced Polarization Measurements
Previous Article in Journal
A Multi-Agent Driving-Simulation Approach for Characterizing Hazardous Vehicle Interactions between Autonomous Vehicles and Manual Vehicles
Previous Article in Special Issue
Lunar Cold Microtraps as Future Source of Raw Materials—Business and Technological Perspective
 
 
Font Type:
Arial Georgia Verdana
Font Size:
Aa Aa Aa
Line Spacing:
Column Width:
Background:
Article

Advancing Quantitative Seismic Characterization of Physical and Anisotropic Properties in Shale Gas Reservoirs with an FCNN Framework Based on Dynamic Adaptive Rock Physics Modeling

1
Changchun Institute of Technology, Changchun 130021, China
2
College of Geoexploration Science and Technology, Jilin University, Changchun 130021, China
3
China National Logging Corporation, Xi’an 710005, China
4
Transportation Engineering College, Nanjing Tech University, Nanjing 211800, China
5
Institute of Disaster Prevention, Yanjiao 065201, China
*
Author to whom correspondence should be addressed.
Appl. Sci. 2024, 14(4), 1469; https://doi.org/10.3390/app14041469
Submission received: 1 January 2024 / Revised: 2 February 2024 / Accepted: 5 February 2024 / Published: 11 February 2024
(This article belongs to the Special Issue Recent Advances in Exploration Geophysics)

Abstract

Quantitative seismic methods are crucial for understanding shale gas reservoirs. This study introduces a dynamic adaptive rock physics model (DARPM) designed to systematically quantify the relationship between physical parameters and elastic parameters within shale formations. The DARPM uniquely adapts to changes in formation dip angle, allowing adaptive reservoir property assessment. An innovative adaptive rock physics inversion methodology is subsequently proposed to compute values for reservoir physical and seismic anisotropy parameters. This is achieved using well log data and building upon the foundation laid by the established DARPM. We introduce the RPM-FCNN (rock physics model—fully connected neural network) framework, seamlessly integrating the DARPM with the corresponding inversion results into a comprehensive model. This framework facilitates a quantitative analysis of the nonlinear relationship between elastic and reservoir physical parameters. Utilizing the trained RPM-FCNN framework, the spatial distribution of reservoir and seismic anisotropic characteristics can be precisely characterized. Within this framework, the organic matter mixture aspect ratio indicates the continuity of organic matter, while the organic matter porosity reveals the maturity of organic matter. Simultaneously, seismic anisotropy characteristics signify the degree of stratification within the reservoirs. This method, therefore, establishes a robust foundation for identifying favorable areas within shale gas reservoirs.

1. Introduction

With the increasing attention and demand for shale gas, there is a growing need for sophisticated quantitative geophysical exploration techniques dedicated to shale gas resources [1,2,3]. The identification and characterization of reservoirs through seismic rock physics stand as paramount elements in the current understanding of shale gas reservoirs. Given the intricate physical properties and microstructural features inherent in shale gas reservoirs, which significantly influence their elastic characteristics, optimizing the rock physics modeling process becomes essential for achieving precise characterization. The integration of rock physics methods with artificial intelligence technology, particularly deep-learning algorithms, holds the promise of enhancing the accuracy of quantitative seismic characterization methods. This amalgamation offers a pathway to more refined and effective approaches for addressing the complexities inherent in shale gas reservoirs.
The objective of constructing a rock physics model (RPM) for shale gas reservoirs is to establish quantitative correlations between the physical parameters of the reservoir (including permeability, porosity, pore morphology, clay content, mineral composition, and fracture density) and elastic parameters (such as longitudinal wave velocity, shear wave velocity, and density) [4,5]. The evolution of RPMs for shale reservoirs has advanced from initial empirical and single theoretical models [6] to the collaborative development of equivalent medium models using diverse methodologies [7,8,9,10,11,12,13,14]. This developmental trajectory signifies the transition of medium properties from simplicity to complexity, from elasticity to viscoelasticity, from isotropy to anisotropy, and from a singular scale to multiple scales [15,16,17,18,19].
When geological strata undergo tilting due to folding and thrusting, the axis of symmetry in transversely isotropic (TI) media tilts, leading to the transition into tilted transversely isotropic (TTI) media [20,21]. Presently, research on rock physics modeling for TTI media falls short of meeting exploration requirements. In the modeling process, it is crucial to incorporate adaptive modeling to address variations in the macroscopic anisotropic characteristics of shale gas reservoirs. However, research on dynamic adaptive rock physics modeling, catering to changes in reservoir characteristics, remains limited.
Developing rock physics inversion methods based on rock physics modeling and utilizing conventional well log data to compute reservoir physical parameters can yield diverse information for reservoir evaluation [22]. Processing pre-stack seismic inversion data can provide seismic anisotropy information for reservoir prediction. Therefore, to integrate both types of data and methods for maximum reservoir feature information, it is imperative to apply artificial intelligence algorithms that amalgamate well log data, RPMs, and seismic data. This approach will facilitate the acquisition of spatial distributions of regional reservoir physical parameters and seismic anisotropy parameters within the artificial intelligence framework.
With the continuous advancement of artificial intelligence technology, intelligent algorithms based on neural networks are extensively employed across various scenarios in shale oil and gas exploration and development, significantly impacting the field. In 2006, Hindon et al. formally introduced the concept of deep learning, distinguishing it from machine learning [23]. The essence of deep learning lies in feature extraction, employing a data-driven approach to extract features representing real-world objects or data, thereby enabling machines to possess analytical and learning capabilities akin to humans [24,25,26]. Fu et al. implemented oil and gas reservoir prediction using convolutional neural networks, demonstrating excellent agreement with actual conditions [27]. Deng et al. conducted quantitative seismic interpretation of shale gas reservoirs using back propagation neural networks (BPNN) and rock physics inversion of reservoir parameters, showcasing the robustness of neural networks in reservoir prediction [14].
In this study, through the analysis of the geological characteristics of shale gas reservoirs and consideration of variations in dip angles, we construct a dynamic adaptive rock physics model (DARPM). Focused on describing changes in reservoir properties and seismic anisotropy features resulting from dip angle variations in shale gas reservoirs, the model aims to adapt to geological characteristic changes. Utilizing DARPM for rock physics inversion, it computes reservoir properties and seismic anisotropy parameters. Subsequently, integrating the inversion results into deep-learning algorithms, we establish the RPM-FCNN framework to capture the nonlinear quantitative relationship between elastic parameters and reservoir characteristics. Finally, leveraging the fitted nonlinear quantitative relationship, we quantitatively characterize regional pre-stack seismic inversion data and calculate the spatial distribution of reservoir properties and seismic anisotropy parameters. The computed results offer valuable insights for enhancing the prediction and characterization of shale gas reservoirs.
In this paper, firstly, the geological characteristics and microscopic physical parameters of shale gas reservoirs in the study area are analyzed. Subsequently, based on the analysis results and incorporating the variations in stratigraphic dip angles, a DARPM is constructed. Furthermore, using the DARPM, an adaptive rock physics inversion is conducted. By analyzing and comparing the inversion results between the DARPM and the static rock physics model, the accuracy of the DARPM is demonstrated. Finally, integrating the inversion results into a deep-learning algorithm, the RPM-FCNN framework is established to capture the nonlinear quantitative relationship between elastic parameters and reservoir features, providing a quantitative description of the reservoir.

2. Analysis of Micro-Structure Features of the Shale Gas Reservoir

The study area encompasses the Longmaxi Formation in the Fuling region, focusing on the shale gas reservoir within this exploration interval. This reservoir consists of black organic-rich shale formed under prolonged exposure to reducing conditions. The sedimentary environment is characterized by deep- to shallow-water shelf deposition. The structural features of surrounding faults in the Fuling area create favorable conditions for shale gas preservation. However, the shale gas reservoirs in this region exhibit intricate microstructural characteristics and mineral compositions, presenting challenges for geophysical exploration and quantitative characterization. Therefore, conducting geological studies and employing effective RPMs for accurate reservoir simulation are imperative. Subsequently, quantitative seismic rock physics studies are necessary for a comprehensive understanding.
Through the analysis of mineral composition, scanning electron microscope (SEM) figures, and structural figures of the shale gas reservoir, a high-precision seismic RPM can be developed. This model will serve as the foundation for subsequent quantitative seismic characterization using pre-stack seismic inversion data.
The lithology of the target interval is primarily characterized by black carbonaceous shale, displaying low velocity, low density, and low porosity features. As illustrated in Figure 1, well log mineral composition data from the study area reveal quartz and clay as the predominant minerals in the target interval. Additionally, minor amounts of calcite and dolomite are present. The rock physics modeling process must account for these complex mineral compositions.
Figure 2 presents SEM images of shale gas reservoirs [28]. In Figure 2a, a well-defined horizontal bedding structure with distinct alternating patterns is evident in the reservoir. Figure 2b unveils the inorganic pore structure, featuring intergranular pores formed by irregular debris particles, exhibiting pore shapes ranging from slit-like to wedge-shaped. Figure 2c showcases the organic pore structure, indicating substantial organic matter development in the shale gas reservoir. The organic matter presents numerous pores with a honeycomb or banded shape, demonstrating varying sizes and a certain degree of connectivity.
Figure 3 displays structural figures of the target well in the study area. In Figure 3a, a rose diagram reveals a relatively stable orientation, predominantly trending towards the southwest. The histogram analysis depicted in Figure 3b indicates that the dip angles of the strata primarily fall within the range of 0° to 30°.
The pores within shale reservoirs play a pivotal role as primary storage spaces and migration pathways for oil and gas. However, the inherent limitations of well log tools, with high vertical but limited lateral resolution, hinder the direct measurement of microphysical characteristics, structural intricacies of reservoirs, and seismic anisotropy parameters. Hence, establishing a rock physics model (RPM) for the target reservoir becomes imperative. This RPM aids in calculating the impact of complex mineral composition, pore shapes, pore connectivity, and other microstructures on the seismic anisotropy of the reservoir. Additionally, there is a need to explore quantitative characterization methods for both reservoir physical parameters and anisotropy parameters.

3. Dynamic Adaptive Rock Physics Model (DARPM)

Drawing from the geological and well log characteristics of the study area, SEM images of shale reservoirs, and structural figures, we can delineate the following key features of the target layer in the shale gas reservoirs: (a) Shale gas reservoirs display a macroscopic layered distribution, showcasing a stratified structure. The background matrix can be effectively considered as VTI (vertical transverse isotropic) anisotropic media. (b) Clay constitutes a significant proportion and is distributed within the rock matrix, exhibiting oriented arrangements correlated with the stratified nature of the reservoir. (c) The reservoir encompasses various pore types, including inorganic pores dispersed in the rock matrix and organic pores within the organic matter (kerogen). (d) The formation dip angle exhibits irregular changes with depth. Introducing the formation dip angle into a VTI anisotropic medium allows for its equivalent representation as a macroscopic TTI (tilted transverse isotropic) anisotropic medium.
Based on this analysis, we present a schematic diagram illustrating the microstructure of shale gas reservoirs in Figure 4.
Given the irregular variations in the dip angles of the strata in the study area, establishing a dynamic adaptive model becomes imperative. Initially, a comprehensive rock physics model (RPM) is devised by amalgamating various theories of rock physics for equivalent media. Subsequently, accounting for the irregular dip angle variations, a fixed sampling step size is employed. Sampling is conducted by moving a window from shallow to deep layers. When the window sampling reaches a layer with dip angles, a TTI (tilted transversely isotropic) rock physics model is applied. Conversely, if the window sampling reaches a layer without dip angles, a VTI (vertically transversely isotropic) rock physics model is utilized. Through the integration of VTI and TTI rock physics models using a moving window, an adaptive rock physics model dynamically takes shape.
The construction of the rock physics model in this paper adheres to the following constraints: (1) The macroscopic horizontal bedding of shale reservoirs results from the oriented arrangement of clay. (2) Both the inorganic pores within the rock matrix and the contained fluids are considered isotropic media. (3) The organic mixture comprises kerogen and fluid within organic pores. (4) Kerogen, the fluid within organic pores, and the composite organic mixture are all treated as isotropic media.
The consideration of dip angles leads to the dynamic adaptive rock physics model (DARPM) construction process, as illustrated in Figure 5 and Figure 6.
First, construct an organic matter mixture model.
Step 1: Consider the organic matter pore fluids in the reservoir, which include shale gas and water. The acoustic velocity V of the gas and water mixture can be estimated with the Wood formula [29]:
V = K R ρ
where KR is the equivalent stress average of the mixture, and ρ is the average density of the equivalent medium.
Step 2: Use the Kuster–Toksȍz theory to mix kerogen and organic pore fluids.
The stiffness coefficients of the kerogen and fluid mixture (referred to as organic matter mixture) can be calculated using fluid saturation. Therefore, Kuster and Toksöz [30] rewrote the theory in the form of fluid saturation and elastic stiffness coefficient matrices as follows:
c 13 i f + 2 3 c 55 i f K k = 1 + [ 4 μ k ( K f K k ) / ( 3 K f + 4 μ k ) K k ] S 1 [ 3 ( K f K k ) / ( 3 K f + 4 μ k ) ] S
c 55 i f μ k = ( 1 S ) ( 9 K f + 8 μ k ) 9 K k + 8 μ k + S ( 6 K k + 12 μ k )
where
S = Φ f / ( Φ f + Φ k )
ρ i f = ( Φ k ρ k + Φ f ρ f ) / ( Φ k + Φ f )
where K represents the bulk modulus, μ represents the shear modulus. S represents fluid saturation in the organic matter mixture; ρif represents the density of the organic matter mixture; Φ represents the volume fraction; cifij is the elastic stiffness coefficient matrix of the organic matter mixture; the subscript k refers to kerogen, and subscript f refers to fluid.
Next, we begin constructing the rock matrix with VTI anisotropic characteristics. The isotropic matrix is composed of various minerals, and the oriented arrangement of clay within the matrix induces VTI anisotropy.
Step 3: Apply the HSB (Hashin–Shtrikman boundary) theory to mix various minerals like calcite, dolomite, and quartz to construct a rock matrix with isotropic characteristics [31].
When different components of rocks are mixed without information of geometric details, the allowable narrow range of values is calculated as follows:
K HS ± = K 1 + f 2 ( K 2 K 1 ) 1 + f 1 ( K 1 + 4 3 μ 1 ) 1
μ HS ± = μ 1 + f 2 ( μ 2 μ 1 ) 1 + 2 f 2 ( K 1 + 2 μ 1 ) 5 μ 1 ( K 1 + 4 3 μ 1 )
In these equations, f represents the volume fractions, and the subscripts 1 and 2 refer to different components.
Step 4: Consider the layered distribution of the reservoir due to the oriented arrangement of clay. Anisotropic Backus theory [15] can be used to introduce clay into the isotropic rock matrix to create a layered structure, forming an equivalent VTI anisotropic medium model. For a single thin layer of VTI medium, the elastic stiffness coefficient of the equivalent medium after Backus averaging can be written as Cije:
C 11 e = C 22 e = C 11 + C 13 C 33 2 1 C 33 1 C 13 2 C 33 , C 33 e = 1 C 33 1 , C 44 e = C 55 e = 1 C 44 1 , C 66 e = C 66 , C 12 e = C 12 + C 13 C 33 2 1 C 33 1 C 13 2 C 33 = C 11 e 2 C 66 e , C 13 e = C 23 e = C 13 C 33 1 C 33 1 .
where Cij is the elastic stiffness coefficient of the equivalent medium before Backus averaging.
Step 5: Introduce inorganic pores using the anisotropic Krief formula [32]. The bulk modulus and shear modulus of dry rocks can be calculated with empirical formulas:
K m = K s ( 1 Φ ) A / ( 1 Φ )
μ m = K m μ s / K s
Here, A is a constant related to the rock type; the value of porosity Φ is related to the critical porosity (between 0.4 and 0.6); the subscripts m and s refer to the dry rock skeleton model and the solid matrix.
Step 6: Apply the Brown–Korringa theory to introduce water into inorganic pores [33]. The quantitative relationship between the anisotropic dry rock matrix and its effective modulus after being filled with fluid can be expressed as follows:
S i j k l ( d r y ) S i j k l ( s a t ) = ( S i j α α ( d r y ) S i j α α 0 ) ( S k l α α ( d r y ) S k l α α 0 ) ( S α α β β ( d r y ) S α α β β 0 ) + ( β f l β 0 ) Φ
β f l = 1 / K f l ,       β 0 = 1 / K 0
Here, S i j k l ( d r y ) , S i j k l ( s a t ) , and S i j k l 0 represent the effective elastic compliance tensors of the rock skeleton, the pore fluid-saturated rock, and the constituent minerals. βfl and β0 = S0ααββ are the compressibility coefficients of the pore fluid and minerals, Φ is the porosity, and Kfl and K0 are the bulk moduli of the pore fluid and minerals.
Then, we merge the organic matter mixture model with the equivalent VTI anisotropic medium model.
Step 7: Apply anisotropic equivalent field theory [34] to introduce the organic matter mixture into the rock matrix with VTI anisotropic characteristics, resulting in an equivalent VTI anisotropic RPM of the shale reservoir target layer in the study area.
For a VTI anisotropic media, when the inclusions can be fully filled with a shape and orientation identical to the associated pores, the formula for the equivalent elastic stiffness tensor C i j k l e f f of the VTI anisotropic medium derived by Sevostianov can be written as follows:
C i j k l e f f = C i j k l ( 0 ) + q [ C i j k l ( 1 ) 1 + ( 1 q ) P i j k l ] 1
where Cijkl represents the elastic stiffness tensor, the superscripts 0 and 1 refer to the matrix and the difference between the matrix and the inclusions, q is the volume fraction of the inclusions, and Pijkl represents the tensor representing the VTI anisotropic matrix. Specifically, the equivalent elastic stiffness tensor can be expressed as follows:
C e f f = C 1 e f f U ( 1 ) + C 2 e f f U ( 2 ) + C 3 e f f U ( 3 ) + C 4 e f f U ( 4 ) + C 5 e f f U ( 5 ) + C 6 e f f U ( 6 )
where the subscripts ijkl are simplified for clarity, and the matrix U is related to C(0), C(1), q, and P.
Finally, we introduce the dip angle into the VTI anisotropic model to construct an equivalent TTI anisotropic RPM.
Step 8: With the assistance of the Bond matrix [35], the dip angle can be incorporated into the initial VTI anisotropic RPM, thereby yielding the TTI anisotropic RPM.
In the coordinate system defined by ox1x2x3, the elastic coefficient matrix Cij can be represented as Cij′ after a coordinate transformation, where M is defined as a 6 × 6 transformation matrix.
C i j = M C i j
M = [ a 11 2 a 12 2 a 13 2 2 a 12 a 13 2 a 11 a 13 2 a 11 a 12 a 21 2 a 22 2 a 23 2 2 a 22 a 23 2 a 21 a 23 2 a 21 a 22 a 31 2 a 32 2 a 33 2 2 a 32 a 33 2 a 31 a 33 2 a 31 a 32 a 21 a 31 a 22 a 32 a 23 a 33 a 22 a 33 + a 23 a 32 a 21 a 33 + a 23 a 31 a 21 a 32 + a 22 a 31 a 11 a 31 a 12 a 32 a 12 a 33 a 12 a 33 + a 13 a 32 a 11 a 33 + a 13 a 31 a 11 a 32 + a 12 a 31 a 11 a 21 a 12 a 22 a 13 a 23 a 12 a 23 + a 13 a 22 a 11 a 23 + a 13 a 21 a 11 a 22 + a 12 a 21 ]
The angle defined as the azimuth angle η runs counterclockwise around the x3 axis. The angle defined as the polar angle θ runs counterclockwise around the x2 axis. The azimuth angle and the polar angle have a corresponding relationship with the matrix M as follows:
[ a 11 a 12 a 13 a 21 a 22 a 23 a 31 a 32 a 33 ] = [ cos η sin η 0 sin η cos η 0 0 0 1 ]
[ a 11 a 12 a 13 a 21 a 22 a 23 a 31 a 32 a 33 ] = [ cos θ 0 sin θ 0 1 0 sin θ 0 cos θ ]
In the implementation of this DARPM, it is crucial to evaluate the dip angle of the target horizon. This involves a systematic movement and scanning from shallow to deep, adhering to a fixed step size in a window-like fashion. If the dip angle of the target horizon is 0°, the eighth step is omitted. Conversely, if the dip angle of the target horizon is non-zero, the eighth step is executed.

4. Particle Swarm Optimization (PSO) Adaptive Rock Physics Inversion Method

Utilizing the DARPM established in this paper, rock physics inversion is executed. Within the inversion method, the organic matter mixture aspect ratio (αk) and organic matter porosity (Φk) serve as inversion parameters, while the longitudinal wave velocity (Vp) and shear wave velocity (Vs) act as constraints. The inversion process employs the particle swarm optimization (PSO) algorithm [36] to compute the objective function. In the PSO algorithm’s optimization calculation, a set of random particles is initialized to locate the current optimal particle. Through multiple iterations, these particles update themselves, tracking the position with the highest fitness to find the optimal solution.
The flowchart of the adaptive rock physics inversion method is depicted in Figure 7. Initially, inversion parameters αk and Φk are initialized, and well log data (mineral composition, porosity parameters, etc.) are input. Subsequently, window sampling determines whether the dip angle of the current layer is 0°. If the dip angle is 0°, calculations are performed using the VTI anisotropic RPM. In cases where the dip angle is not 0°, values are input into the TTI anisotropic RPM for calculations. Finally, the corresponding RPM is applied to calculate the shale elastic parameters (Vpc and Vsc). The calculated results are fitted with well log elastic data (Vpm and Vsm) using the objective function. Upon minimizing the misfit in the objective function, the inversion parameters αk and Φk, along with the corresponding Thomsen anisotropy parameters ε and γ [37], are outputted.
The PSO optimization rock physics inversion method is applied to perform calculations in two scenarios: one without considering dip angles in the geological formations and the other considering dip angles. In the first scenario, only the VTI anisotropic RPM is used to implement the inversion method. In the second scenario, the DARPM is used to conduct an adaptive inversion method. By comparing the results obtained in these two scenarios, the accuracy and applicability of the DARPM proposed in this paper are validated. Furthermore, the rock physics inversion results obtained when considering dip angles are integrated into a deep-learning algorithm for fusion and training. This inversion method provides a foundation and basis for research in quantitative seismic characterization methods.
In the case where the dip angle is not considered, rock physics inversion was conducted for the entire interval based on the VTI anisotropic RPM, and the inversion results are shown in Figure 8. In Figure 8a,b, the black curves represent well log data, and the red curves represent the results obtained during the inversion process. Figure 8c–e show the inversion results for the negative logarithm of the organic matter mixture aspect ratio-log10(αk), organic matter porosity Φk, and the anisotropy parameters ε and γ, respectively.
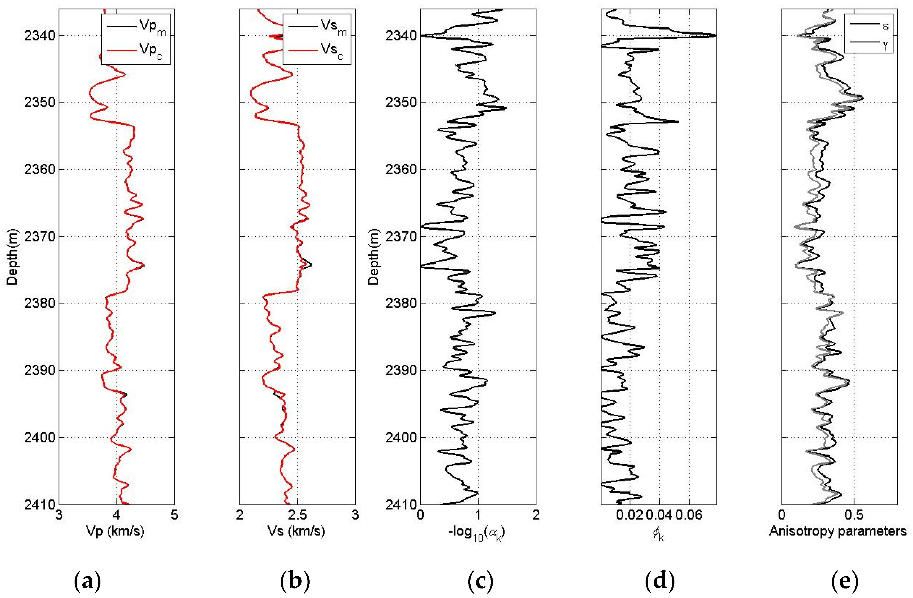
In the scenario where the dip angle is considered, rock physics inversion was conducted for the entire interval based on the DARPM, and the inversion results are shown in Figure 9. In Figure 9a,b, the black curve represents the well log data, and the red curve represents the results obtained during the inversion process. Figure 9c–e show the inversion results for the negative logarithm of the organic matter mixture aspect ratio −log10(αk), organic matter porosity Φk, and the anisotropy parameters ε and γ, respectively.
To assess the accuracy of the RPMs and inversion methods, a comparison was made by calculating the misfit of longitudinal wave velocity and shear wave velocity in both scenarios. Figure 10 and Figure 11 show the inversion results and misfit for the two scenarios. The misfit reveals that the VTI anisotropic RPM established without considering the dip angle still cannot accurately describe the reservoir structure and has significant errors. These errors may be due to the absence of dip angle consideration. In contrast, the DARPM established while considering the dip angle provides a more accurate description of the subsurface structure of shale gas reservoirs with smaller errors. Therefore, the proposed DARPM and the associated adaptive rock physics inversion method in this paper exhibit a high level of accuracy and applicability.

5. Quantitative Seismic Characterization Based on the RPM-FCNN Framework

Adaptive rock physics inversion has been executed on the well log data of shale gas reservoirs using the previously established DARPM. The results vividly portray the nonlinear quantitative relationship between reservoir physical parameters and seismic elastic parameters in the form of data and curves. We propose integrating these inversion results based on RPMs with a fully connected neural network (FCNN), thereby constructing an RPM-FCNN framework. This framework aims to establish a nonlinear quantitative relationship between reservoir physical parameters and seismic elastic parameters, facilitating regional data computation and reservoir characterization.
The FCNN, also known as the multilayer perceptron (MLP), is a deep-learning model where each neuron in one layer is connected to every neuron in the previous layer [38]. This structure is one of the most common configurations in neural networks.
The FCNN comprises interconnected neurons associated with three types of layers: the input layer, hidden layers, and the output layer. Figure 12 illustrates the structure of the FCNN with two hidden layers.
Fundamentally, the FCNN maps inputs from the input layer to the output layer through simple arithmetic operations executed by neurons. Each neuron in the hidden and output layers takes input from the previous layer and performs the following operations:
μ i , k = f ( j = 1 n w i j , k x i b k )
In the equation, f represents the activation function, which introduces nonlinearity into the neural network’s fitting process. μi,k is the output of the i-th neuron in the k-th layer, bk is the bias value for the k-th layer, xi is the i-th input, and wij,k is the weight of the connection between the i-th input in the current layer and the j-th neuron in the next layer.
In FCNN, the weights wij,1 from the input layer to the first hidden layer represent the contribution of the i-th input to the network, indicating the importance of that input in predicting the target values. If the weight associated with an input is positive, it means that the input is positively correlated with the target values, and vice versa for negative weights, indicating a negative correlation. Inputs with larger absolute weight values are typically more important in the prediction process. FCNN exhibits good flexibility and adaptability when dealing with nonlinear problems. Therefore, in this study, by integrating RPMs into FCNN, the RPM-FCNN framework is used to establish a nonlinear quantitative relationship between reservoir physical parameters and seismic elastic parameters, enabling regional quantitative reservoir characterization.
The workflow of quantitative seismic characterization of reservoir physical parameters (organic matter mixture aspect ratio αk and organic matter porosity Φk, anisotropy parameters ε and γ, clay content Vclay, kerogen content Vkerogen, and total porosity Φ) based on rock physics inversion results in the RPM-FCNN framework is as follows:
First, we must integrate the RPMs and the inversion results into the FCNN to establish a nonlinear mapping relationship between elastic parameters and reservoir physical parameters. The FCNN is trained with elastic parameters as input elements and reservoir physical parameters as output elements. The training process aims to minimize the error, leading to the optimal weight values and thresholds for the trained FCNN. Once the FCNN is trained, it can be used for prediction.
Next, the pre-stack seismic inversion elastic parameters are taken as input data, and the trained RPM-FCNN framework is used to predict the corresponding reservoir physical parameters. To avoid underdetermined problems and reduce computational ambiguity, the data are divided into three groups for computation. Three sets of RPM-FCNN frameworks have been established to describe the relationship between three seismic elastic parameters (Vp, Vs, density) and seven reservoir physical parameters.
The first group takes Vp, Vs, and density as input elements and computes the organic matter mixture aspect ratio αk and organic matter porosity Φk as output results.
The second group uses Vp, Vs, and density as input elements and computes the anisotropy parameters ε and γ as output results.
The third group takes Vp, Vs, and density as input elements and computes the clay content Vclay, kerogen content Vkerogen, and total porosity Φ as output results.
The PyTorch deep-learning framework and MATLAB were used for this training. Normalization was applied during the training process. The optimizer used was Adam (adaptive moment estimation) with a learning rate of 0.001. Adam is a gradient-based optimization algorithm designed to progressively adjust learning rates over time. It amalgamates the principles of momentum and RMSProp (root mean square propagation) by adaptively tuning the learning rates for each parameter through the exponential moving average of past gradients. In terms of utilizing Adam, the PyTorch deep-learning library is equipped with the Adam optimization algorithm. Parameters for the optimizer can be directly set using torch.optim.Adam in Pythorch 1.11.0 documentation.
The activation function used in deep learning is the ReLU activation function. The framework structure consists of one input layer, two hidden layers, and one output layer. The first and second groups of input layers each include 3 neurons, the first hidden layer has 128 neurons, the second hidden layer has 64 neurons, and the output layer has 2 neurons. The third group’s input layer includes 3 neurons, the first hidden layer has 128 neurons, the second hidden layer has 64 neurons, and the output layer has 3 neurons.
All three sets of data were iterated 100 times, and as the number of iterations increased, the error decreased, as shown in Figure 13. The error for all three sets was less than 10−2. With the expected error achieved, the trained RPM-FCNN framework can be used for the regional prediction of reservoir physical parameters.
The trained RPM-FCNN framework can be applied for quantitative seismic characterization of the elastic parameters in the pre-stack seismic inversion data in the study area. The spatial distribution of reservoir properties in the shale gas reservoir is obtained. The pre-stack seismic inversion data in the target layer of the study area are the input data shown in Figure 14, including Vp, Vs, and density.
The results obtained by the RPM-FCNN framework are depicted in Figure 15 and include predictions of the organic matter mixture aspect ratio αk, organic matter porosity Φk, and seismic anisotropy parameters ε and γ, and total porosity Φ, clay content Vclay, and kerogen content Vkerogen.
Figure 15a shows the predicted spatial distribution of the organic matter mixture aspect ratio αk, which reflects the shape of the organic matter mixture. We use the negative logarithm of the organic matter mixture aspect ratio to describe the shape. A bigger value indicates a more elongated shape, which represents greater connectivity and facilitating shale gas flow.
Figure 15b presents the predicted spatial distribution of organic matter porosity Φk. Organic matter porosity is related to kerogen maturity, with a higher porosity indicating greater maturity and reflecting a better gas content of shale.
Figure 15c,d illustrate the seismic anisotropy parameters ε and γ, respectively, which reflect the intrinsic anisotropy associated with the structural organization of the shale gas reservoir. The seismic anisotropy parameters also provide knowledge of mechanical properties in shale.
Figure 15e–g represent the spatial distribution of total porosity Φ, clay content Vclay, and kerogen content Vkerogen in the study area. The total porosity is associated with the potential of the shale gas reservoir. The content of clay affects the bedding structure in shale. The content of kerogen reflects the existence of organic matter, which is connected with the production of shale gas. These parameters are essential for the quantitative evaluation of the sweet spots in shale gas reservoirs.

6. Conclusions

In this study, we have developed a dynamic adaptive rock physics model (DARPM) and an adaptive rock physics inversion method leveraging the anisotropic characteristics of shale gas reservoirs. We integrate rock physics information into deep learning to establish the RPM-FCNN (rock physics model—fully connected neural network) framework for the quantitative seismic characterization of shale gas reservoirs, enabling the extraction of the spatial distribution of reservoir properties and seismic anisotropy parameters.
The DARPM is constructed based on the intricate microstructural and macroscopic anisotropic features of shale gas reservoirs. This model serves as the cornerstone of quantitative seismic characterization, accurately describing the physical characteristics and seismic elastic anisotropy features of shale gas reservoirs with varying macroscopic anisotropy. The model facilitates a precise depiction of shale gas reservoir characteristics and the dynamic establishment of nonlinear relationships between reservoir properties and seismic elastic features across different intervals.
An adaptive rock physics inversion method is proposed based on the established DARPM. This method processes well log data and employs differentiated rock physics inversion algorithms for intervals with varying anisotropic features, predicting corresponding reservoir properties and seismic anisotropy parameters.
By incorporating the DARPM and its inversion results into an FCNN, the RPM-FCNN framework is established for quantitative seismic characterization of shale gas reservoirs. In this framework, shale gas reservoir rock physics information is utilized, and the inversion results serve as input and output data for learning and training to obtain nonlinear quantitative relationships between reservoir properties and elastic parameters. The trained RPM-FCNN framework is applied to pre-stack seismic inversion data to calculate reservoir properties and seismic elastic anisotropy parameters.
The predicted organic matter mixture aspect ratio αk reflects the connectivity of organic matter. The predicted organic matter porosity Φk is associated with shale maturity and gas saturation. The seismic anisotropy parameters ε and γ provide insights into the intrinsic anisotropic and layering structure of reservoirs. The total porosity Φ, clay content Vclay, and kerogen content Vkerogen are related to shale brittleness and the potential for the production of shale gas reservoirs.
These results contribute to the quantitative characterization of shale gas reservoirs, providing valuable information for identifying prospective gas zones in the study area. The proposed dynamic adaptive rock physics modeling approach can be extended to other types of oil and gas reservoirs for fine-grained descriptions and quantitative characterizations of hydrocarbon resources. Furthermore, the quantitative seismic characterization RPM-FCNN framework can inspire further research by combining specific RPMs, inversion methods, and other complex artificial intelligence algorithms tailored to different oil and gas resources. Moreover, the RPM-FCNN framework can be applied to other geological surveys, but certain application prerequisites are necessary. Before using this framework, a detailed exploration of the stratigraphic characteristics, microstructure features, and microphysical properties of the study area is required. Additionally, it is essential to construct corresponding rock physics models to describe the subsurface structures.

Author Contributions

Conceptualization, X.D.; data curation, X.D. and X.K.; formal analysis, W.F. and T.L.; funding acquisition, X.D.; investigation, X.D.; methodology, X.D., W.F. and T.L.; project administration, X.D.; resources, X.D. and D.Y.; software, X.D. and X.K.; supervision, X.D.; validation, X.D., D.Y. and W.F.; visualization, X.D.; writing—original draft, X.D.; writing—review and editing, X.D. All authors have read and agreed to the published version of the manuscript.

Funding

This research was funded by Science and Technology Development Plan Project of Jilin Province, China, grant number YDZJ202201ZYTS491, and Scientific Research Project of Education Department of Jilin Province, China, grant number JJKH20230700KJ.

Institutional Review Board Statement

Not applicable.

Informed Consent Statement

Not applicable.

Data Availability Statement

The raw data supporting the conclusions of this article will be made available by the authors on request.

Conflicts of Interest

Author Duo Yang is employed by the China National Logging Corporation. The remaining authors declare that the research was conducted in the absence of any commercial or financial relationships that could be construed as a potential conflict of interest.

References

  1. Dong, D.; Liang, F.; Guan, Q.; Jiang, Y.; Zhou, S.; Yu, R.; Gu, Y.; Zhang, S.; Qi, L.; Liu, Y. Development model and identification of evaluation technology for Wufeng Formation–Longmaxi Formation quality shale gas reservoirs in the Sichuan Basin. Nat. Gas Ind. B 2023, 10, 165–182. [Google Scholar] [CrossRef]
  2. Sun, C.; Nie, H.; Dang, W.; Chen, Q.; Zhang, G.; Li, W.; Lu, Z. Shale Gas Exploration and Development in China: Current Status, Geological Challenges, and Future Directions. Energy Fuels 2021, 35, 6359–6379. [Google Scholar] [CrossRef]
  3. Kablan, O.A.B.K.; Chen, T. Shale Gas Reservoir Pore Pressure Prediction: A Case Study of the Wufeng–Longmaxi Formations in Sichuan Basin, Southwest China. Energies 2023, 16, 7280. [Google Scholar] [CrossRef]
  4. Avseth, P.; Mukerji, T.; Mavko, G. Quantitative Seismic Interpretation; Cambridge University Press: Cambridge, UK, 2005. [Google Scholar]
  5. Mavko, G.; Mukerji, T.; Dvorkin, J. The Rock Physics Handbook: Tools for Seismic Analysis of Porous Media; Cambridge University Press: Cambridge, UK, 2009. [Google Scholar]
  6. Klimentos, T. The Effects of Porosity-Permeability-Clay Content on the Velocity of Compressional Waves. Geophysics 1991, 56, 1930. [Google Scholar] [CrossRef]
  7. Hornby, B.E. Experimental Laboratory Determination of the Dynamic Elastic Properties of Wet, Drained Shales. J. Geophys. Res. Solid Earth 1998, 103, 29945–29964. [Google Scholar] [CrossRef]
  8. Xu, S.; White, R.E. A New Velocity Model for Clay-Sand Mixtures. Geophys. Prospect. 1995, 43, 91–118. [Google Scholar] [CrossRef]
  9. Vernik, L.; Kachanov, M. Modeling Elastic Properties of Siliciclastic Rocks. Geophysics 2010, 75, E171. [Google Scholar] [CrossRef]
  10. Vernik, L.; Milovac, J. Rock Physics of Organic Shales. Lead. Edge 2011, 30, 318–323. [Google Scholar] [CrossRef]
  11. Guo, Z.; Li, X.-Y.; Liu, C.; Feng, X.; Shen, Y. A Shale Rock Physics Model for Analysis of Brittleness Index, Mineralogy, and Porosity in the Barnett Shale. J. Geophys. Eng. 2013, 10, 025006. [Google Scholar] [CrossRef]
  12. Guo, Z.; Li, X.Y.; Liu, C. Anisotropy Parameters Estimate and Rock Physics Analysis for the Barnett Shale. J. Geophys. Eng. 2014, 11, 065006. [Google Scholar] [CrossRef]
  13. Qian, K.R.; Zhang, F.; Chen, S.Q.; Li, X.; Zhang, H. A Rock Physics Model for Analysis of Anisotropic Parameters in a Shale Reservoir in Southwest China. J. Geophys. Eng. 2016, 13, 19–34. [Google Scholar] [CrossRef]
  14. Deng, X.; Liu, C.; Guo, Z.Q.; Liu, X.; Liu, Y. Rock Physical Inversion and Quantitative Seismic Interpretation for the Longmaxi Shale Gas Reservoir. J. Geophys. Eng. 2019, 16, 652–665. [Google Scholar] [CrossRef]
  15. Backus, G.E. Long-Wave Elastic Anisotropy by Horizontal Layering. J. Geophys. Res. 1962, 67, 4427–4440. [Google Scholar] [CrossRef]
  16. Schoenberg, M.; Muir, F. A Calculus for Finely Layered Anisotropic Media. Geophysics 1989, 54, 581–589. [Google Scholar] [CrossRef]
  17. Kumar, D. Applying Backus Averaging for Deriving Seismic Anisotropy of a Long-Wavelength Equivalent Medium from Well-Log Data. J. Geophys. Eng. 2013, 10, 86–95. [Google Scholar] [CrossRef]
  18. Guo, Z.Q.; Li, X.Y. Rock Physics Model-Based Prediction of Shear Wave Velocity in the Barnett Shale Formation. J. Geophys. Eng. 2015, 12, 527–534. [Google Scholar] [CrossRef]
  19. Guo, Z.Q.; Liu, X.W. Seismic Rock Physics Characterization of Anisotropic Shale—A Longmaxi Shale Case Study. J. Geophys. Eng. 2018, 15, 512–526. [Google Scholar] [CrossRef]
  20. Chen, H.Z.; Chen, T.S.; Innanen, K.A. Estimating Tilted Fracture Weaknesses from Azimuthal Differences in Seismic Amplitude Data. Geophysics 2020, 85, R135–R146. [Google Scholar] [CrossRef]
  21. Pan, X.P.; Li, L.; Zhang, G.Z.; Cui, Y. Elastic-Impedance-Based Fluid/Porosity Term and Fracture Weaknesses Inversion in Transversely Isotropic Media with a Tilted Axis of Symmetry. Geofluids 2020, 2020, 7026408. [Google Scholar] [CrossRef]
  22. Guo, Z.Q.; Liu, C.; Liu, X.W.; Dong, N.; Liu, Y.W. Research on Anisotropy of Shale Oil Reservoir Based on Rock Physics Model. Appl. Geophys. 2016, 13, 382–392. [Google Scholar] [CrossRef]
  23. Hinton, G.E.; Osindero, S.; Teh, Y.W. A Fast Learning Algorithm for Deep Belief Nets. Neural Comput. 2006, 18, 1527–1554. [Google Scholar] [CrossRef]
  24. Shetty, D.; Harshavardhan, C.A.; Varma, M.J.; Navi, S.; Ahmed, M.R. Diving Deep into Deep Learning: History, Evolution, Types, and Applications. Int. J. Innov. Technol. Explor. Eng. 2020, 9, 2278–3075. [Google Scholar] [CrossRef]
  25. LeCun, Y.; Bengio, Y.; Hinton, G. Deep Learning. Nature 2015, 521, 436–444. [Google Scholar] [CrossRef] [PubMed]
  26. Harthik Jayakanna, S.; Raju, M. A Study on Deep Learning. Int. J. Res. Appl. Sci. Eng. Technol. 2022, 10, 961–964. [Google Scholar]
  27. Fu, C.; Lin, N.; Zhang, D.; Wen, B.; Wei, Q.; Zhang, K. Prediction of Reservoirs Using Multi-Component Seismic Data and the Deep Learning Method. Chin. J. Geophys. 2018, 61, 293–303. [Google Scholar]
  28. Xu, Z. Quantitative Characterization and Prediction of Total Porosity of Shale under Stratigraphic Conditions: A Case Study of Fuling Area. Ph.D. Thesis, China University of Geosciences, Wuhan, China, 2019. [Google Scholar]
  29. Wood, A.W. A Textbook of Sound; The MacMillan Co.: New York, NY, USA, 1955. [Google Scholar]
  30. Kuster, G.T.; Toksöz, M.N. Velocity and Attenuation of Seismic Waves in Two-Phase Media: Part Theoretical I. Formulations. Geophysics 1974, 39, 587–606. [Google Scholar] [CrossRef]
  31. Hashin, Z.; Shtrikman, S. A Variational Approach to the Theory of the Elastic Behavior of Multiphase Materials. J. Mech. Phys. Solids 1963, 11, 127–140. [Google Scholar] [CrossRef]
  32. Krief, M.; Garat, J.; Stellingwerff, J.; Ventre, J. A Petrophysical Interpretation Using the Velocities of P and S Waves (Full-Waveform Sonic). Log Anal. 1990, 31, 355–369. [Google Scholar]
  33. Brown, R.J.S.; Korringa, J. On the Dependence of the Elastic Properties of a Porous Rock on the Compressibility of the Pore Fluid. Geophysics 1975, 40, 608–616. [Google Scholar] [CrossRef]
  34. Sevostianov, I.; Yilmaz, N.; Kushch, V.; Levin, V. Effective Elastic Properties of Matrix Composites with Transversely-Isotropic Phases. Int. J. Solids Struct. 2005, 42, 455–476. [Google Scholar] [CrossRef]
  35. Liu, C.; Fu, W.; Guo, Z.; Liu, X.; Liu, Y. Rock Physics Inversion for Anisotropic Shale Reservoirs Based on Bayesian Scheme. Chin. J. Geophys. 2018, 61, 2589–2600. [Google Scholar]
  36. Kennedy, J.; Eberhart, R. Particle Swarm Optimization. In Proceedings of the ICNN’95—International Conference on Neural Networks, Perth, WA, Australia, 27 November–1 December 1995; pp. 1942–1948. [Google Scholar]
  37. Thomsen, L. Weak Elastic Anisotropy. Geophysics 1986, 51, 1954–1966. [Google Scholar] [CrossRef]
  38. Liu, S.; Chen, Z.; Pan, M. Magnetic Anomaly Detection Based on Full Connected Neural Network. IEEE Access 2019, 7, 182198–182206. [Google Scholar] [CrossRef]
Figure 1. Well log data of mineral types and contents in shale.
Figure 1. Well log data of mineral types and contents in shale.
Applsci 14 01469 g001
Figure 2. SEM images of the sampled cores showing microstructures of the shale: (a) Horizontal bedding structure; (b) Inorganic pore structure; (c) Organic pore structure.
Figure 2. SEM images of the sampled cores showing microstructures of the shale: (a) Horizontal bedding structure; (b) Inorganic pore structure; (c) Organic pore structure.
Applsci 14 01469 g002
Figure 3. Well structural figures: (a) Rose diagram of azimuths; (b) Histogram of formation dip angles.
Figure 3. Well structural figures: (a) Rose diagram of azimuths; (b) Histogram of formation dip angles.
Applsci 14 01469 g003
Figure 4. The schematic diagram of the microstructure of shale gas reservoirs.
Figure 4. The schematic diagram of the microstructure of shale gas reservoirs.
Applsci 14 01469 g004
Figure 5. Flowchart of DARPM (dynamic adaptive rock physics model). In figure: VTI (vertically transversely isotropic), TTI (tilted transversely isotropic).
Figure 5. Flowchart of DARPM (dynamic adaptive rock physics model). In figure: VTI (vertically transversely isotropic), TTI (tilted transversely isotropic).
Applsci 14 01469 g005
Figure 6. Schematic diagram of DARPM (dynamic adaptive rock physics model). In figure: VTI (vertically transversely isotropic), TTI (tilted transversely isotropic).
Figure 6. Schematic diagram of DARPM (dynamic adaptive rock physics model). In figure: VTI (vertically transversely isotropic), TTI (tilted transversely isotropic).
Applsci 14 01469 g006
Figure 7. The flowchart of the adaptive rock physics inversion method. In figure: αk (organic matter mixture aspect ratio), Φk (organic matter porosity), ε and γ (anisotropy parameters), Φ (total porosity), Vpm (measured longitudinal wave velocity), Vpc (calculated longitudinal wave velocity), Vsm (measured shear wave velocity), Vsc (calculated shear wave velocity), VTI (vertically transversely isotropic), TTI (tilted transversely isotropic).
Figure 7. The flowchart of the adaptive rock physics inversion method. In figure: αk (organic matter mixture aspect ratio), Φk (organic matter porosity), ε and γ (anisotropy parameters), Φ (total porosity), Vpm (measured longitudinal wave velocity), Vpc (calculated longitudinal wave velocity), Vsm (measured shear wave velocity), Vsc (calculated shear wave velocity), VTI (vertically transversely isotropic), TTI (tilted transversely isotropic).
Applsci 14 01469 g007
Figure 8. Inversion results in the first scenario (with VTI anisotropic RPM): (a) Well log measured longitudinal wave velocity Vpm (black) and calculated longitudinal wave velocity Vpc (red); (b) Well log measured shear wave velocity Vsm (black) and calculated shear wave velocity Vsc (red); (c) Organic matter mixture aspect ratio αk; (d) Organic matter porosity Φk; (e) Anisotropy parameters ε and γ.
Figure 8. Inversion results in the first scenario (with VTI anisotropic RPM): (a) Well log measured longitudinal wave velocity Vpm (black) and calculated longitudinal wave velocity Vpc (red); (b) Well log measured shear wave velocity Vsm (black) and calculated shear wave velocity Vsc (red); (c) Organic matter mixture aspect ratio αk; (d) Organic matter porosity Φk; (e) Anisotropy parameters ε and γ.
Applsci 14 01469 g008
Figure 9. Inversion results in the first scenario (with DARPM): (a) Well log measured longitudinal wave velocity Vpm (black) and calculated longitudinal wave velocity Vpc (red); (b) Well log measured shear wave velocity Vsm (black) and calculated shear wave velocity Vsc (red); (c) Organic matter mixture aspect ratio αk; (d) Organic matter porosity Φk; (e) Anisotropy parameters ε and γ.
Figure 9. Inversion results in the first scenario (with DARPM): (a) Well log measured longitudinal wave velocity Vpm (black) and calculated longitudinal wave velocity Vpc (red); (b) Well log measured shear wave velocity Vsm (black) and calculated shear wave velocity Vsc (red); (c) Organic matter mixture aspect ratio αk; (d) Organic matter porosity Φk; (e) Anisotropy parameters ε and γ.
Applsci 14 01469 g009
Figure 10. Misfit of Vp and Vs in the first scenario (with VTI anisotropic RPM): (a) Well log measured longitudinal wave velocity Vpm (black) and calculated longitudinal wave velocity Vpc (red); (b) Well log measured shear wave velocity Vsm (black) and calculated shear wave velocity Vsc (red); (c) Misfit of longitudinal wave velocity Vp; (d) Misfit of shear wave velocity Vs.
Figure 10. Misfit of Vp and Vs in the first scenario (with VTI anisotropic RPM): (a) Well log measured longitudinal wave velocity Vpm (black) and calculated longitudinal wave velocity Vpc (red); (b) Well log measured shear wave velocity Vsm (black) and calculated shear wave velocity Vsc (red); (c) Misfit of longitudinal wave velocity Vp; (d) Misfit of shear wave velocity Vs.
Applsci 14 01469 g010
Figure 11. Misfit of Vp and Vs in the first scenario (with DARPM): (a) Well log measured longitudinal wave velocity Vpm (black) and calculated longitudinal wave velocity Vpc (red); (b) Well log measured shear wave velocity Vsm (black) and calculated shear wave velocity Vsc (red); (c) Misfit of longitudinal wave velocity Vp; (d) Misfit of shear wave velocity Vs.
Figure 11. Misfit of Vp and Vs in the first scenario (with DARPM): (a) Well log measured longitudinal wave velocity Vpm (black) and calculated longitudinal wave velocity Vpc (red); (b) Well log measured shear wave velocity Vsm (black) and calculated shear wave velocity Vsc (red); (c) Misfit of longitudinal wave velocity Vp; (d) Misfit of shear wave velocity Vs.
Applsci 14 01469 g011
Figure 12. The structure of the FCNN with two hidden layers.
Figure 12. The structure of the FCNN with two hidden layers.
Applsci 14 01469 g012
Figure 13. The convergence curves of three groups: (a) The convergence curves of αk and Φk; (b) The convergence curves of ε and γ; (c) The convergence curves of Vclay, Vkerogen, and Φ.
Figure 13. The convergence curves of three groups: (a) The convergence curves of αk and Φk; (b) The convergence curves of ε and γ; (c) The convergence curves of Vclay, Vkerogen, and Φ.
Applsci 14 01469 g013
Figure 14. Pre-stack seismic inversion data of the shale gas reservoir in target interval: (a) Longitudinal wave velocity Vp; (b) Shear wave velocity Vs; (c) Density ρ.
Figure 14. Pre-stack seismic inversion data of the shale gas reservoir in target interval: (a) Longitudinal wave velocity Vp; (b) Shear wave velocity Vs; (c) Density ρ.
Applsci 14 01469 g014
Figure 15. Quantitative seismic characterization results using the RPM-FCNN framework: (a) Organic matter mixture aspect ratio αk; (b) Organic matter porosity Φk; (c) Seismic anisotropy parameters ε; (d) Seismic anisotropy parameters γ; (e) Total porosity Φ; (f) Clay content Vclay; (g) Kerogen content Vkerogen.
Figure 15. Quantitative seismic characterization results using the RPM-FCNN framework: (a) Organic matter mixture aspect ratio αk; (b) Organic matter porosity Φk; (c) Seismic anisotropy parameters ε; (d) Seismic anisotropy parameters γ; (e) Total porosity Φ; (f) Clay content Vclay; (g) Kerogen content Vkerogen.
Applsci 14 01469 g015
Disclaimer/Publisher’s Note: The statements, opinions and data contained in all publications are solely those of the individual author(s) and contributor(s) and not of MDPI and/or the editor(s). MDPI and/or the editor(s) disclaim responsibility for any injury to people or property resulting from any ideas, methods, instructions or products referred to in the content.

Share and Cite

MDPI and ACS Style

Deng, X.; Kang, X.; Yang, D.; Fu, W.; Luo, T. Advancing Quantitative Seismic Characterization of Physical and Anisotropic Properties in Shale Gas Reservoirs with an FCNN Framework Based on Dynamic Adaptive Rock Physics Modeling. Appl. Sci. 2024, 14, 1469. https://doi.org/10.3390/app14041469

AMA Style

Deng X, Kang X, Yang D, Fu W, Luo T. Advancing Quantitative Seismic Characterization of Physical and Anisotropic Properties in Shale Gas Reservoirs with an FCNN Framework Based on Dynamic Adaptive Rock Physics Modeling. Applied Sciences. 2024; 14(4):1469. https://doi.org/10.3390/app14041469

Chicago/Turabian Style

Deng, Xinhui, Xinze Kang, Duo Yang, Wei Fu, and Teng Luo. 2024. "Advancing Quantitative Seismic Characterization of Physical and Anisotropic Properties in Shale Gas Reservoirs with an FCNN Framework Based on Dynamic Adaptive Rock Physics Modeling" Applied Sciences 14, no. 4: 1469. https://doi.org/10.3390/app14041469

APA Style

Deng, X., Kang, X., Yang, D., Fu, W., & Luo, T. (2024). Advancing Quantitative Seismic Characterization of Physical and Anisotropic Properties in Shale Gas Reservoirs with an FCNN Framework Based on Dynamic Adaptive Rock Physics Modeling. Applied Sciences, 14(4), 1469. https://doi.org/10.3390/app14041469

Note that from the first issue of 2016, this journal uses article numbers instead of page numbers. See further details here.

Article Metrics

Back to TopTop