Abstract
In order to suppress the transverse vibration of a plate, a quasi-zero-stiffness (QZS) resonator with tunable ultralow frequency bandgaps was introduced and analyzed. The resonator was designed by introducing the quasi-zero-stiffness systems into mass-in-mass resonators. The plane wave expansion method was employed to derive the bandgap characteristics of the locally resonant (LR) plate with QZS resonators, and corresponding simulations were carried out by finite element method (FEM). The results show that an LR plate with a QZS resonator can provide two bandgaps, and the ranges of the bandgaps agree well with the vibration attenuation bands calculated by FEM. Owing to the introduction of the QZS system, the bandgaps can be easily transferred to a lower frequency or even an ultralow frequency. The damping of the QZS resonators can effectively broaden the vibration attenuation bands. In addition, the differentiated design of the bandgap frequencies can be realized to obtain broadband low-frequency transverse wave suppression performance. Finally, a mechanical structure design scheme was proposed in order to achieve flexible adjustment of the bandgap frequency, which significantly increases the engineering applicability of QZS resonators.
1. Introduction
As one of the fundamental elements of engineering structures, plate-like structures are widely used in various fields of industry. In ship engineering, the deck is usually designed as a steel plate laid on the ship’s beams, dividing the hull into upper, middle, and lower layers, which can serve to reinforce the hull structure and facilitate layered loading. In the aviation industry, the aircraft wing skin also presents the form of a plate-like structure, which is an important load-bearing component that covers the skeleton. In automobiles, these plate-like structures are also used in car frames, doors, windows, and so forth.
Although plate-like structures are widely used, the lightweight panels may suffer from poor vibro-acoustic performance because of their strong radiation ability. The excessive vibration of the plate can not only seriously affect the smooth operation of machinery but also damage one’s health. In addition, due to its high radiation efficiency, the plate’s vibration is also one of the main sources of noise pollution [,]. Therefore, much attention has been paid to the vibration control of plates. At present, methods for the control of medium- and high-frequency vibration have matured; these methods include vibration damping [,] and dynamic vibration absorption [,]. However, due to the limitation of space and additional weight, it is still difficult to control the low-frequency vibration of the plate. The active vibration control (AVC) method [,,] may be an effective method for suppressing the low-frequency vibration of plates. However, the application of the AVC method is still limited by its system complexity and high cost at present. Therefore, it is urgent that we develop a new method that can be widely used to control the low-frequency vibration of the plate.
In recent years, the periodic locally resonant (LR) structures have received extensive attention because of their unique bandgap characteristics, which have provided a new idea for the low-frequency vibration control of plates. Liu [] first clearly proposed the concept of LR structure in 2000 by periodically placing lead blocks wrapped in soft rubber in the polyurethane matrix, which demonstrates that the bandgap frequency is far lower than the Bragg scattering-induced bandgap frequency. Because of its potential for low-frequency vibration control, LR structure has been studied by many scholars since it was proposed [,,,,,,]. At present, the research on LR structures mainly focuses on broadening and lowering the bandgaps. Assouar [] broadened the vibration attenuation band by combining the Bragg bandgap and the LR bandgap. The numerical simulation results showed that, compared to the plate structures without the LR units, combining periodic LR structures can generate low and wide complete acoustic bandgaps. Li [] enlarged the bandgap by constructing the coupling between different modes of the system. The results of the analysis show that a significant enlargement of the relative bandwidth by a factor of three can be obtained through this strategy. Wang [] designed a lateral local resonator with broad bandgaps by enhancing the coupling among oscillators to suppress the transverse vibration of the plate. Fan [] designed a metamaterial plate with low and wide frequency bandgaps by using a complex mass-beam resonator to realize broadband vibration suppression. In addition, increasing the resonator’s damping is also an effective method to broaden the bandgaps [].
Compared with enlarging the bandgap width, it is more challenging to lower the frequencies of the bandgaps. For the traditional LR structure, an ultralow frequency bandgap means ultra-large weight or ultra-small static stiffness, which is not allowed in practical applications. Fortunately, the quasi-zero-stiffness (QZS) system [,,,,] used for vibration isolation has the characteristics of high static stiffness and low dynamic stiffness. If the QZS system is introduced into the design of LR structures, the ultralow frequency bandgaps can be obtained without weakening the static stiffness of the structure, and the contradiction between the bandgap frequency and the static stiffness of the traditional LR structure can be overcome. Based on this idea, Xie [] designed a one-dimensional QZS LR structure with ultralow frequency bandgaps by introducing the QZS system into the mass-in-mass (MIM) resonator proposed by Sun []. Wang [] designed semi-active electromagnetic QZS resonators to suppress the transverse wave of the beam. At present, there is no structure or theory to control the vibration of the plate by using QZS local resonators, which needs further research.
In order to suppress the ultralow frequency vibration of the plate, the method we use in this paper is to first design a QZS resonator with ultralow frequency bandgaps and then expand the widths of the bandgaps by damping and multi-bandgap design to realize the control of the broadband ultralow frequency vibration of the plate. The work is organized as follows. The theoretical derivation is presented in detail in order to investigate the dispersion relation of the LR plate with QZS resonators in Section 2. The effects of QZS resonator parameters on the bandgaps and the simulation calculation of structural vibration response are presented in Section 3. Meanwhile, in order to enhance the engineering applicability of the structure, a QZS LR structure with adjustable bandgaps is designed in Section 3. Finally, conclusions are drawn in Section 4.
2. Model and Formulations
In this work, an LR plate with two-dimensional periodicity is considered, as shown in Figure 1a. The QZS resonators are periodically attached to a thin plate with spatial period and in the xy-plane. The resonator is composed of two masses, a linear spring , and a QZS system, as shown in Figure 1b. It should be noted that, in the static state, the weight of the mass is balanced by the tension force of the spring . In addition, the mass is located at the center of the mass , and the horizontal springs are in a compressed state with a compression of length . Additionally, the horizontal spring is located within limiting sleeves, limiting it to only expand and contract horizontally. The horizontal spring is connected to the mass through a rigid rod, which is hinged at both ends. The terms h, , , and denote the plate’s thickness, Young’s modulus, density, and Poisson’s ratio, respectively.

Figure 1.
The schematic view of (a) the LR plate and (b) the unit cell containing the QZS resonator.
Firstly, the transverse vibration of a unit cell of an infinite periodic LR plate is considered. The governing equations of a unit cell can be written as
and
where , and is the bending stiffness of the host plate. The term is the displacement of the host plate at coordinate . In the expression , the term R is the position vector of the unit cell and is the vector from the center of the unit cell to the resonator. The term is the displacement of the connection point between the resonator and the plate and is the displacement of the mass (). The term is the two-dimensional Dirac delta function. The term is the equivalent stiffness of the QZS system, which can be derived as
where is the relative displacement of mass relative to mass . Based on the assumption of small displacements, Equation (4) can be approximated by
where represents the initial compression ratio of the spring and is the stiffness ratio of the QZS system.
Following the Bloch’s theorem [], the displacement response of the plate can be written as
where is the Bloch wave vector. The term denotes the reciprocal-lattice vector, in which m and n are integers. The terms and are basis vectors of the reciprocal lattice. For the rectangular array considered in Figure 1, we have , . Setting , then the dimension of the reciprocal space is with .
Substituting Equation (6) into Equation (1) gives
Based on Bloch’s theorem, the terms and can be written as
and
Substituting Equations (8) and (9) into Equation (7) gives
It can be given from the properties of the Dirac delta function that
Substituting Equation (11) into Equation (10) yields
where is the area of a unit cell.
Simplifying Equation (12) gives
By substituting and into Equations (1), (3), and (13), it can be obtained that
and
where , , and Equations (14)–(16) can be expressed by a matrix formulation as
where the matrices and and vector are expressed in detail in Appendix A. The dispersion relationship of the infinite LR plate with QZS resonators can finally be obtained by solving Equation (17).
3. Results and Discussions
In this section, the bandgap characteristics of the QZS LR plate based on the theory in Section 2 are studied in detail. Firstly, the theoretical band structure is compared with the vibration transmittance calculated by the FEM to verify the correctness of the bandgap theory. Next, the effects of stiffness ratio and initial compression ratio on bandgap frequency are discussed. Then, the damping characteristics of the resonators and the differentiated design of bandgaps are further considered to broaden the bandgaps. The parameters of the structure are shown in Table 1.

Table 1.
Parameters of the QZS LR plate.
3.1. Band Structure of Infinite Systems
The resonant frequencies of the QZS resonators can be calculated by
According to Equation (18) and the parameter settings in Table 1, the resonant frequencies of the QZS resonators are 45 Hz and 200 Hz. The band structures of the LR plate with QZS resonators can be acquired by calculating the dispersion curves in its irreducible region, surrounded by the edges of , , and . By sweeping the Bloch wave vector in direction (, ), direction (, ), and direction (, ), the dispersion curves between frequency and wave number are obtained, from which the bandgap can then be identified, as shown in Figure 2a. It can be seen that two bandgaps exist around the two resonant frequencies, i.e., 45–49 Hz and 200–217 Hz, where the first bandgap is generated by the resonance of mass and the second bandgap is generated by the resonance of mass .

Figure 2.
Comparison of (a) the band structure of the LR plate with QZS resonators and (b) the vibration transmittance computed by FEM.
To verify the correctness of the bandgap theory, a finite plate periodically attached with QZS resonators was modeled by FEM to obtain its vibration transmittance. The FEM model was established with COMSOL Multiphysics software (Version 5.0). For clamped or simply supported boundary conditions, the forced vibration response at the position near the corner points is usually very small, which is inappropriate for assessing the vibration transmittance characteristics of the periodic plate. Therefore, in the simulation model, the four edges of the plate were all set in free boundary conditions.
The size of the finite plate is with steel material property. QZS resonators are periodically distributed on the baseplate with the parameters given in Table 1. The quadratic element type was used in the model. The maximum mesh size is set as 10 mm, which can provide adequate precision for the upper analytical frequency of 300 Hz. In order to simplify the model, the QZS resonator is equivalent to a 2-DOF resonator based on the theory in Section 2, as shown in Figure 3. A transverse point force with a harmonic form is applied at one corner of the plate, represented by the red arrow in the figure. The label “Response” represents the position on the board where the transverse vibration is of interest. Assuming that the acceleration responses of the force point and response point are, respectively, represented by and , the vibration transmittance can be defined by .

Figure 3.
Finite element model of the finite LR plate.
The vibration transmittance of the finite LR plate is drawn in Figure 2b. It can be seen that the theoretically calculated bandgaps coincide with the attenuation frequency bands of vibration response obtained by numerical simulation, which proves the accuracy of the theoretical derivation of the bandgap. In addition, the vibration transmissibility within the bandgap frequency ranges is much smaller than that outside the bandgap, indicating that the propagation of transverse waves is significantly suppressed in the bandgap.
In order to more intuitively observe the vibration transmittance of the baseplate inside and outside the bandgaps, Figure 4 shows the displacement response of the baseplate at certain frequencies. It can be seen that, at the frequency within the bandgaps, the vibration is trapped in a small area near the excitation point. However, as the distance from the excitation point to the observation point increases, the vibration response rapidly decays, as shown in Figure 4a,c, which indicates that the bandgaps generated by QZS resonators can effectively suppress the propagation of transverse waves on the plate. For comparison, at the frequencies outside the bandgaps, the wave freely propagates on the plate without attenuation, as shown in Figure 4b,d.

Figure 4.
The displacement responses of the finite baseplate with QZS resonators at the frequencies within bandgaps: (a) 46 Hz and (c) 200 Hz; and outside bandgaps: (b) 100 Hz and (d) 300 Hz.
The advantage of the QZS system is that the dynamic stiffness of the system can be adjusted arbitrarily by changing the system parameters without changing the static stiffness of the system. It can be seen from Equation (5) that, when the positive stiffness remains unchanged, the dynamic equivalent stiffness of the system is only determined by the stiffness ratio and the negative stiffness spring’s initial compression ratio . Therefore, the effects of terms and on bandgap characteristics are analyzed in detail in the following.
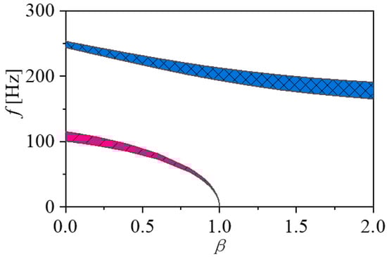
The effects of the stiffness ratio on the bandgaps are shown in Figure 5. It can be seen that both of the two bandgaps move towards a lower frequency range as the term increases. Especially, the first bandgap is quickly transferred to the ultralow frequency range as the term approaches 1, which suggests that the QZS LR structure proposed in this paper can obtain a low-frequency or even ultralow-frequency bandgap by adjusting the stiffness ratio of the QZS system, so as to suppress the ultralow-frequency transverse waves. It should be noticed that the first bandgap disappears as . The reason is that the value of equivalent dynamic stiffness becomes negative as , which results in mass being unable to resonate. Therefore, the stiffness ratio of the QZS LR structure needs to be kept below the critical value in a practical application. As β increases, the frequency of the second bandgap shifts towards lower frequencies, and the bandgap width is increased. The ability of the second bandgap to suppress low-frequency vibrations is enhanced, which is a gratifying phenomenon.

Figure 5.
Effects of the stiffness ratio on the bandgaps.
In order to further assess the structure’s band-gap characteristics, the first bandgap’s relative band-gap width (RBW) is defined as
where is the absolute bandwidth of the first bandgap and is the resonant frequency of the mass . The effect of the stiffness ratio on the first bandgap’s RBW is shown in Figure 6. It can be seen that the RBW decreases slowly with the increase in stiffness ratio , and it still maintains an appreciable width in the ultralow frequency range, which is different from the sharp change of the absolute bandwidth of the first bandgap shown in Figure 5.

Figure 6.
Effect of the stiffness ratio on the RBW of the first bandgap.
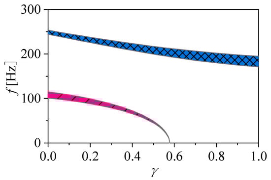
Another important parameter that can adjust the bandgap frequencies is the initial compression ratio of the negative stiffness spring. To more clearly figure out the changes, Figure 7 plots the change of the bandgaps for the various . In the calculation, the parameter remains unchanged, and the initial compression ratio is adjusted by changing the initial compression of the spring . As can be seen in Figure 7, the effect of the parameter on the bandgaps is similar to that of the parameter . This phenomenon can be explained by Equation (5), which shows that parameters x and y have a similar effect on the equivalent stiffness of the QZS system. The reason for the disappearance of the first bandgap is the same as that revealed in Figure 5, which will not be repeated here.

Figure 7.
Effects of the initial compression ratio of the negative stiffness spring on the bandgaps.
The above parametric analysis shows that on the premise of ensuring that the static stiffness of the structure is not weakened and the mass load on the system is not increased, appropriately increasing the stiffness ratio of the QZS system and the initial compression ratio of the negative stiffness spring are effective ways to obtain ultralow-frequency bandgaps.
3.2. Vibration Transmittance of Finite Structures
In order to observe the bandgap boundaries more clearly, the damping is not considered in the calculation of the above band structures. As is known to all, damping exists in almost all practical equipment, which has a great effect on wave propagation. Hence, it is necessary to study the effect of damping in the QZS resonators on bandgap characteristics. The vibration transmittance of the finite LR plate with varying damping loss factors is shown in Figure 8. The parameter settings in the calculation are the same as those in Table 1. The terms and represent the damping loss factors of spring and spring , respectively.

Figure 8.
Effects of damping on vibration transmittance of the finite LR plate.
As can be seen from Figure 8, with kept as zero and varying from 0 (black solid line) to 0.1 (blue short dot line), the range of the attenuation band near the second bandgap becomes broader while the depth becomes shallower, and the first bandgap changes little. The effect of the damping loss factor on the bandgaps is somewhat different from that of the damping loss factor . As increases from 0 (black solid line) to 0.1 (green dash-dot line), the range of the attenuation band near the first bandgap is widened, and the high vibration transmittance near the second bandgap is also effectively suppressed. The reason for this phenomenon is that the effect of is only related to the displacement of mass , while the effect of is related to both displacements of mass and mass . Therefore, changing the damping loss factor can affect both bandgaps at the same time. Of course, a better bandgap widening performance can be obtained by increasing the factors and at the same time.
In Figure 8, there are still two obvious ultralow-frequency vibration transmittance peaks with frequencies of 7 Hz and 21 Hz, which are undesirable in vibration control. For the traditional resonant structure, it is usually difficult to change its resonance frequency after the structure is finalized. In addition, for low-frequency or even ultralow-frequency vibration control, the mass of the corresponding resonator must be ultra-large, or the static stiffness of the spring must be ultra-small, which is often not allowed in practice. Therefore, it is still difficult for traditional resonators to have both flexible bandgap adjustability and low-frequency bandgap performance. It can be seen from Figure 7 that the bandgaps of the QZS resonator proposed in this paper can be flexibly adjusted to the ultralow frequency range by changing the initial compression of the spring without increasing the mass load. Based on this characteristic, two additional ultralow frequency bandgaps can be generated by adjusting the initial compression of part resonators of the periodic array so as to suppress the two ultralow frequency resonance peaks.
In order to adjust parameter conveniently during use, a distance-adjusting device is designed, as shown in Figure 9. Under the premise that the system parameters are unchanged, the initial compression of the negative stiffness spring can be easily changed by rotating the adjusting screw so as to achieve the purpose of adjusting the bandgap frequencies. In order to further obtain two additional low-frequency bandgaps on the basis of Figure 8, the strategy adopted here is to use the structure shown in Figure 9 to differentially design the bandgaps of the QZS LR structure.

Figure 9.
Schematic of the initial compression regulator of spring .
The QZS resonators with different bandgaps are alternately periodically distributed on the baseplate, as shown in Figure 10. In order to suppress the high vibration response at the frequencies of 7 Hz and 21 Hz in Figure 8, we set the parameters , , and according to Equations (5) and (18). The other parameters are consistent with those of the calculation model corresponding to Figure 8.

Figure 10.
Schematic diagram of a finite LR plate with multiple periodic arrays of attached QZS resonators.
The comparison of vibration transmittances with different resonator arrays attached to the plate is shown in Figure 11. In the figure, model-2 represents the calculation model corresponding to Figure 8 with damping loss factors , and model-3 is the system shown in Figure 10 with damping loss factors . For comparison purposes, a plate with the same mass load as the QZS LR plate, named model-1, was also constructed. As can be seen from Figure 11, compared with model-1, the TL of model-2 has two obvious bandgaps around 45 Hz and 200 Hz, while model-3 not only exhibits two vibration transmittance attenuation bands near the above two frequencies but also exhibits two additional vibration attenuation bands around 7 Hz and 21 Hz. The vibration transmittances at 7 Hz and 21 Hz are reduced by 32 dB and 20 dB, respectively. The main vibration modes below 70 Hz are effectively controlled by the differentiated design of the bandgaps without adding additional mass load, which proves that the QZS resonator has broadband ultralow-frequency vibration suppression performance.

Figure 11.
Vibration transmittance comparison of various resonator arrays attached to the plate.
4. Conclusions
A locally resonant (LR) plate with attached quasi-zero-stiffness (QZS) resonators is investigated in this study. The design of the QZS resonator is a unique blend of a mass-in-mass resonator and a QZS system tailored for the attenuation of ultralow-frequency vibrations. The QZS resonator is designed by combining a mass-in-mass resonator and a QZS system to meet the demand for ultralow-frequency vibration attenuation. The plane wave expansion method is employed to derive the band structure of the LR plate. The result shows that the LR plate with QZS resonators exhibits two bandgaps, and the ranges of the bandgaps agree well with the vibration attenuation bands calculated by the finite element method.
The stiffness ratio and initial compression of the negative stiffness spring are taken into consideration to evaluate the effects on the bandgaps by parameter analyses. The parameter variable trends show that increasing the stiffness ratio and the initial compression of negative stiffness spring can lower the frequencies of the bandgaps, thereby obtaining low-frequency or even ultralow-frequency bandgaps. The effect of damping is also studied, and the result shows that the damping from the resonator spring can broaden the vibration attenuation band.
Inspired by the discoveries of varying bandgap trends with changes in the negative stiffness spring’s initial compression, a distance-adjusting device is introduced. This device can provide a versatile solution for tuning bandgap frequencies on demand. This innovation eliminates the need for additional mass loads and can significantly enhance the QZS resonator’s engineering practicality.
The QZS resonators designed in this paper have the application prospect of suppressing broadband low-frequency transverse waves of plate-type structures.
Author Contributions
Conceptualization, Z.G. and B.X.; methodology, Z.G. and B.X.; software, B.X.; validation, Z.G.; formal analysis, B.X.; investigation, Z.G.; resources, M.S.; data curation, H.Z.; writing—original draft preparation, B.X. and Z.G.; writing—review and editing, M.S. and H.Z.; visualization, B.X. and Z.G.; supervision, M.S.; project administration, M.S.; funding acquisition, Z.G. and M.S. All authors have read and agreed to the published version of the manuscript.
Funding
This research was funded by the National Natural Science Foundation of China (grant number 52301388), the Natural Science Foundation of Ningbo City, China (grant number 2021J057), and the Natural Science Foundation of Shaanxi Province, China (grant number 2021JLM-39).
Institutional Review Board Statement
Not applicable.
Informed Consent Statement
Not applicable.
Data Availability Statement
The original contributions presented in the study are included in the article, further inquiries can be directed to the corresponding author.
Conflicts of Interest
The authors declared no potential conflicts of interest with respect to the research, authorship, and/or publication of this article.
Appendix A
The matrix in Equation (17) is expressed as
where , , and is given as
The matrix in Equation (17) is expressed as
The matrix in Equation (17) is expressed as
References
- Putra, A.; Thompson, D.J. Sound radiation from rectangular baffled and unbaffled plates. Appl. Acoust. 2010, 71, 1113–1125. [Google Scholar] [CrossRef]
- Li, B.; Wang, N.; Tian, Y.; Kuang, W.; Wei, L.; Zheng, Z. Analysis of vibration and acoustic radiation characteristics of reinforced laminated cylindrical shell structure. Appl. Sci. 2023, 13, 9617. [Google Scholar] [CrossRef]
- Kerwin, E.M. Comparison of the vibration damping effectiveness of free and constrained viscoelastic layers. J. Acoust. Soc. Am. 2005, 31, 1852–1856. [Google Scholar] [CrossRef]
- Lei, Y.; Adhikari, S.; Friswell, M.I. Vibration of nonlocal Kelvin–Voigt viscoelastic damped Timoshenko beams. Int. J. Eng. Sci. 2013, 66–67, 1–13. [Google Scholar] [CrossRef]
- Wong, W.O.; Tang, S.L.; Cheung, Y.L.; Cheng, L. Design of a dynamic vibration absorber for vibration isolation of beams under point or distributed loading. J. Sound Vib. 2007, 301, 898–908. [Google Scholar] [CrossRef]
- Yang, C.; Li, D.; Cheng, L. Dynamic vibration absorbers for vibration control within a frequency band. J. Sound Vib. 2011, 330, 1582–1598. [Google Scholar] [CrossRef]
- Teo, Y.R.; Fleming, A.J. Optimal integral force feedback for active vibration control. J. Sound Vib. 2015, 356, 20–33. [Google Scholar] [CrossRef]
- Wang, L.; Li, J.; Yang, Y.; Wang, J.; Yuan, J. Active control of low-frequency vibrations in ultra-precision machining with blended infinite and zero stiffness. Int. J. Mach. Tools Manuf. 2019, 139, 64–74. [Google Scholar] [CrossRef]
- Xie, X.; Ren, M.; Zheng, H.; Zhang, Z. Active vibration control of a time-varying shafting system using an adaptive algorithm with online auxiliary filter estimation. J. Sound Vib. 2021, 513, 116430. [Google Scholar] [CrossRef]
- Torrent, D.; Mayou, D.; Sánchez-Dehesa, J. Elastic analog of graphene: Dirac cones and edge states for flexural waves in thin plates. Phys. Rev. B 2013, 87, 269–275. [Google Scholar] [CrossRef]
- Sun, H.; Du, X.; Pai, P.F. Theory of metamaterial beams for broadband vibration absorption. J. Intell. Mater. Syst. Struct. 2010, 21, 1085–1101. [Google Scholar] [CrossRef]
- Pai, P.F.; Peng, H.; Jiang, S. Acoustic metamaterial beams based on multi-frequency vibration absorbers. Int. J. Mech. Sci. 2014, 79, 195–205. [Google Scholar] [CrossRef]
- Peng, H.; Frank Pai, P. Acoustic metamaterial plates for elastic wave absorption and structural vibration suppression. Int. J. Mech. Sci. 2014, 89, 350–361. [Google Scholar] [CrossRef]
- Nouh, M.; Aldraihem, O.; Baz, A. Wave propagation in metamaterial plates with periodic local resonances. J. Sound Vib. 2015, 341, 53–73. [Google Scholar] [CrossRef]
- Gulia, P.; Gupta, A. Sound attenuation in triple panel using locally resonant sonic crystal and porous material. Appl. Acoust. 2019, 156, 113–119. [Google Scholar] [CrossRef]
- Qian, D.; Shi, Z. Bandgap properties in simplified model of composite locally resonant phononic crystal plate. Phys. Lett. A 2017, 381, 3505–3513. [Google Scholar] [CrossRef]
- Liu, H.; Shi, Z.; Wang, Y.; Zhai, H. A band gap optimization scheme for two-dimensional locally resonant phononic crystal with square spiral rings. Phys. Lett. A 2022, 442, 128134. [Google Scholar] [CrossRef]
- Badreddine Assouar, M.; Sun, J.H.; Lin, F.S.; Hsu, J.C. Hybrid phononic crystal plates for lowering and widening acoustic band gaps. Ultrasonics 2014, 54, 2159–2164. [Google Scholar] [CrossRef]
- Li, Y.; Chen, T.; Wang, X.; Xi, Y.; Liang, Q. Enlargement of locally resonant sonic band gap by using composite plate-type acoustic metamaterial. Phys. Lett. A 2015, 379, 412–416. [Google Scholar] [CrossRef]
- Wang, T.; Sheng, M.; Guo, Z.; Qin, Q. Flexural wave suppression by an acoustic metamaterial plate. Appl. Acoust. 2016, 114, 118–124. [Google Scholar] [CrossRef]
- Fan, X.; Li, J.; Zhang, X.; Li, F. Multi-bandgaps metamaterial plate design using complex mass-beam resonator. Int. J. Mech. Sci. 2022, 236, 107742. [Google Scholar] [CrossRef]
- Van Belle, L.; Claeys, C.; Deckers, E.; Desmet, W. The impact of damping on the sound transmission loss of locally resonant metamaterial plates. J. Sound Vib. 2019, 461, 114909. [Google Scholar] [CrossRef]
- Carrella, A.; Brennan, M.J.; Kovacic, I.; Waters, T.P. On the force transmissibility of a vibration isolator with quasi-zero-stiffness. J. Sound Vib. 2009, 322, 707–717. [Google Scholar] [CrossRef]
- Zhao, F.; Ji, J.C.; Ye, K.; Luo, Q. Increase of quasi-zero stiffness region using two pairs of oblique springs. Mech. Syst. Signal Process. 2020, 144, 106975. [Google Scholar] [CrossRef]
- Liu, C.; Zhao, R.; Yu, K.; Liao, B. In-plane quasi-zero-stiffness vibration isolator using magnetic interaction and cables: Theoretical and experimental study. Appl. Math. Model. 2021, 96, 497–522. [Google Scholar] [CrossRef]
- Li, M.; Li, Y.; Liu, X.; Dai, F. A quasi-zero-stiffness vibration isolator using bi-stable hybrid symmetric laminate. Compos. Struct. 2022, 299, 116047. [Google Scholar] [CrossRef]
- Zhang, Y.; Cao, Q. The recent advances for an archetypal smooth and discontinuous oscillator. Int. J. Mech. Sci. 2022, 214, 106904. [Google Scholar] [CrossRef]
- Xie, B.; Sheng, M. Ultralow-frequency band gap in a quasi-zero-stiffness multi-resonator periodic hybrid structure. Wave Motion 2021, 107, 102825. [Google Scholar] [CrossRef]
- Huang, H.H.; Sun, C.T. Wave attenuation mechanism in an acoustic metamaterial with negative effective mass density. New J. Phys. 2009, 11, 013003. [Google Scholar] [CrossRef]
- Wang, K.; Zhou, J.; Ouyang, H.; Cheng, L.; Xu, D. A semi-active metamaterial beam with electromagnetic quasi-zero-stiffness resonators for ultralow-frequency band gap tuning. Int. J. Mech. Sci. 2020, 176, 105548. [Google Scholar] [CrossRef]
- Brillouin, L. Wave Propagation in Periodic Structures; Dover Publication: New York, NY, USA, 1953; pp. 17–18. [Google Scholar]
Disclaimer/Publisher’s Note: The statements, opinions and data contained in all publications are solely those of the individual author(s) and contributor(s) and not of MDPI and/or the editor(s). MDPI and/or the editor(s) disclaim responsibility for any injury to people or property resulting from any ideas, methods, instructions or products referred to in the content. |
© 2024 by the authors. Licensee MDPI, Basel, Switzerland. This article is an open access article distributed under the terms and conditions of the Creative Commons Attribution (CC BY) license (https://creativecommons.org/licenses/by/4.0/).