Legibility of Sans-Serif Typeface on Different Paper Grades Made from Invasive Alien Plant Species
Abstract
Featured Application
Abstract
1. Introduction
2. Materials and Methods
2.1. Paper Properties
2.2. Colorimetric and Typographic Properties of Prints
2.3. Legibility
3. Results and Discussion
3.1. Colorimetric Properties of Prints
3.2. Typographic Properties of Prints
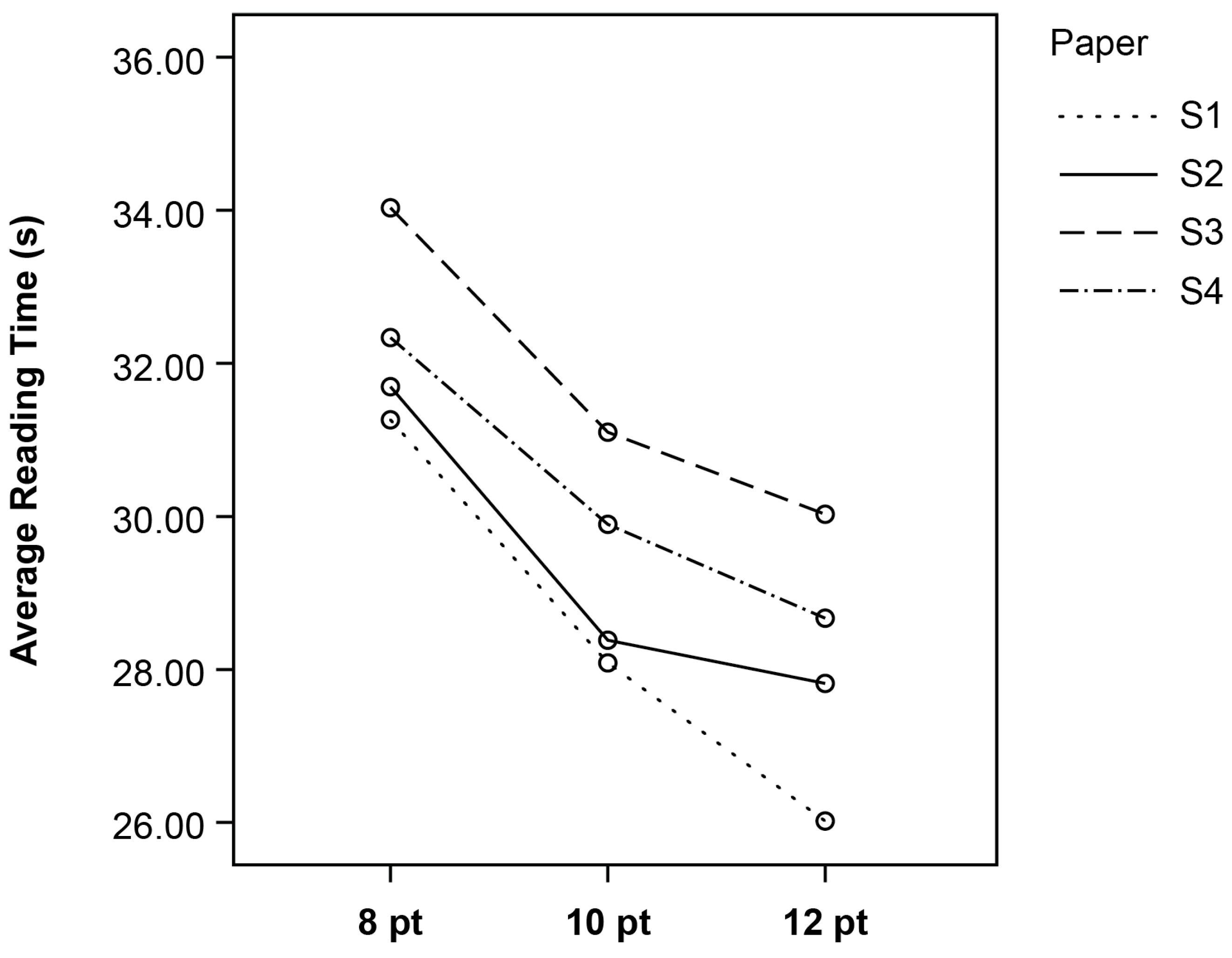
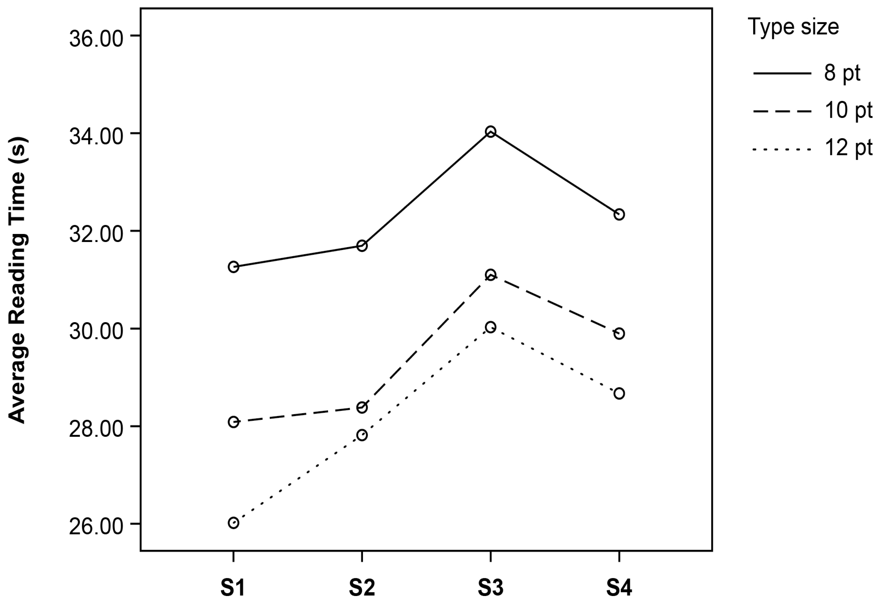
3.3. Legibility of Prints
4. Conclusions
Author Contributions
Funding
Institutional Review Board Statement
Informed Consent Statement
Data Availability Statement
Acknowledgments
Conflicts of Interest
References
- Simberloff, D. Biological Invasions: What’s worth fighting and what can be won? Ecol. Eng. 2014, 65, 112–121. [Google Scholar] [CrossRef]
- Foxcroft, L.C.; Pyšek, P.; Richardson, D.M.; Genovesi, P.; MacFadyen, S. Plant invasion science in protected areas: Progress and priorities. Biol. Invasions 2017, 5, 1353–1378. [Google Scholar] [CrossRef]
- Coutts, S.R.; van Klinken, D.; Yokomizo, H.; Buckley, Y.M. What are the key drivers of spread in invasive plants: Dispersal, demography or landscape: And how can we use this knowledge to aid management? Biol. Invasions 2010, 7, 1649–1661. [Google Scholar] [CrossRef]
- Mattos, K.J.; Orrock, J.L. Behavioral consequences of plant invasion: An invasive plant alerts rodent antipredator behavior. Behav. Ecol. 2010, 3, 556–561. [Google Scholar] [CrossRef]
- César de Sá, N.; Marchante, H.; Marchante, E.; Cabral, J.A.; Honrado, J.P.; Vicente, J.R. Can citizen science data guide the surveillance of invasive plants? A model-based test with Acacia trees in Portugal. Biol. Invasions 2019, 6, 2127–2141. [Google Scholar] [CrossRef]
- Simberloff, D.; Martin, J.-L.; Genovesi, P.; Maris, V.; Wardle, D.A.; Aronson, J.; Courchamp, F.; Galil, B.; Garcia-Berthou, E.; Pascal, M.; et al. Impact of biological invasions: What’s what and the forward. Trends Ecol. Evol. 2013, 1, 58–66. [Google Scholar] [CrossRef]
- Hulme, P.E. Beyond control: Wider implications for the management biological invasions. J. Appl. Ecol. 2006, 43, 835–847. [Google Scholar] [CrossRef]
- Jones, D.; Bruce, G.; Fower, M.S.; Law-Cooper, R.; Graham, I.; Abel, A.; Street-Perrot, F.A.; Eastwood, D. Optimising physiochemical control of invasive Japanese knotweed. Biol. Invasions 2018, 8, 2091–2105. [Google Scholar] [CrossRef]
- European Union, Regulation (EU). No 1143/2014 of the European Parliament and of the Council of 22 October 2014 on the prevention and management of the introduction and spread invasive alien species. Off. J. Eur. Union. 2014, 317, 35–55. [Google Scholar]
- Pagès, M.; Fischer, A.; van der Wal, R.; Lambin, X. Empowered communities or “cheap labour”? Engaging volunteers in the rationalised management of invasive alien species in Great Britain. J. Environ. Manag. 2019, 229, 102–111. [Google Scholar] [CrossRef]
- Vaz, A.S.; Kueffer, C.; Kull, C.A.; Richardson, D.M.; Vicente, J.R.; Kühn, I.; Schröter, M.; Hauck, J.; Bonn, A.; Honrado, J.P. Integrating ecosystem services and disservices: Insights from plant invasions. Ecosyst. Serv. 2017, 23, 94–107. [Google Scholar] [CrossRef]
- McGinlay, J.; Parsons, D.; Morris, J.; Gaves, A.; Hubatova, M.; Bradbury, R.B.; Bullock, J.M. Leisure activities and social factors influence the generation of cultural ecosystem service benefits. Ecosyst. Serv. 2018, 31, 468–480. [Google Scholar] [CrossRef]
- Shackleton, R.S.; Larson, B.M.H.; Novoa, A.; Richardson, D.M.; Kull, C.A. The human and social dimension of invasion science and management. J. Environ. Manag. 2019, 229, 1–9. [Google Scholar] [CrossRef]
- Ficko, T. Ljubljana Circular Economy. Available online: https://www.uia-initiative.eu/en/uia-cities/ljubljana (accessed on 21 October 2023).
- Kapun, T.; Šinkovec, A.; Zule, J.; Skodlar, M.; Lavrič, G. Paper products made of paper from IPAS. In Proceedings of the 1st International Conference on Circular Packaging (CMC 2019), Ljubljana, Slovenia, 26–27 September 2019; pp. 197–204. [Google Scholar]
- Lavoie, C. The impact of invasive knotweed species (Reynoutria spp.) on the environment: Review and research perspectives. Biol. Invasions 2017, 19, 2319–2337. [Google Scholar] [CrossRef]
- Kimber, E. Invasive Non-Native Species (UK)–Japanese Knotweed. Inside Ecology: Online Magazine for Ecologists, Conservationists and Wildlife Professionals. Available online: https://insideecology.com/2017/08/23/invasive-non-native-species-uk-japanese-knotweed/ (accessed on 19 August 2023).
- Weber, E.; Jakobs, G. Biological flora of central Europe: Solidago gigantea Aiton. Flora-Morphol. Distrib. Funct. Ecol. Plants 2005, 200, 109–118. [Google Scholar] [CrossRef]
- De Groot, M.; Kleijn, D.; Jogan, N. Species groups occupying different trophic levels respond differently to the invasion of semi-natural vegetation by Solidago canadensis. Biol. Conserv. 2007, 136, 612–617. [Google Scholar] [CrossRef]
- Abhilasha, D.; Quintana, N.; Vivanco, J.; Joshi, J. Do allelopathic compounds in invasive Solidago canadensis restrain the native European flora? J. Ecol. 2008, 96, 993–1001. [Google Scholar] [CrossRef]
- Veitch, N.C.; Elliott, P.C.; Kite, G.C.; Lewis, G.P. Flavonoid glycosides of the black locust tree, Robinia pseudoacacia (Leguminosae). Phytochemistry 2010, 71, 479–486. [Google Scholar] [CrossRef]
- Vítková, M.; Müllerová, J.; Sádlo, J.; Pergl, J.; Pyšek, P. Black locust (Robinia pseudoacacia) beloved and despised: A story of an invasive tree in Central Europe. For. Ecol. Manag. 2017, 384, 287–302. [Google Scholar] [CrossRef]
- Nicolescu, V.N.; Hernea, C.; Bakti, B.; Keserű, Z.; Antal, B.; Rédei, K. Black locust (Robinia pseudoacacia L.) as a multi-purpose tree species in Hungary and Romania: A review. J. For. Res. 2018, 29, 1449–1463. [Google Scholar] [CrossRef]
- Kleinbauer, I.; Dullinger, S.; Peterseil, J.; Essl, F. Climate change might drive the invasive tree Robinia pseudacacia into nature reserves and endangered habitats. Biol. Conserv. 2010, 143, 382–390. [Google Scholar] [CrossRef]
- Ali, F.; Sarma, T.C.; Saikia, C.N. Pulp and paper from a certain fast-growing plant species. Bioresour. Technol. 1993, 1, 65–67. [Google Scholar] [CrossRef]
- Saikia, C.N.; Goswami, T.; Ali, F. Evaluation of pulp and paper making characterictis of certain fast growing plants. Wood Sci. Technol. 1997, 6, 467–475. [Google Scholar] [CrossRef]
- Iglesias, A.; Cancela, Á.; Soler Baena, A.; Sánches, Á. Characterization of Cellulose Derived from Invasive Alien Species Plant Waste for Application in the Papermaking Industry: Physic-Mechanical, Optical, and Chemical Property Analysis. Appl. Sci. 2023, 13, 11568. [Google Scholar] [CrossRef]
- Lavrič, G.; Pleša, T.; Mendizza, A.; Ropret, M.; Karlovits, I.; Gregor Svetec, D. Printability characteristics of paper made from a Japanese knotweed. In Proceedings of the 9th International Symposium Graphic Engineering and Design (Grid 2018), Novi Sad, Serbia, 8–10 November 2018; pp. 99–102. [Google Scholar] [CrossRef]
- Sarjanović, A.; Možina, K.; Gregor-Svetec, D. Print Quality of Coated paper from Invasive Alien Plant Goldenrod. Coatings 2023, 13, 1754. [Google Scholar] [CrossRef]
- Hudd, A. Inkjet printing technologies. In The Chemistry of Inkjet Inks; Magdassi, S., Ed.; World Scientific Publishing: Hackensack, NJ, USA, 2010; pp. 3–18. [Google Scholar]
- Galle, P.; Kroes, P. Science and design: Identical twins? Design Stud. 2014, 35, 201–231. [Google Scholar] [CrossRef]
- Tai, Y.; Sheedy, J.; Hayes, J. Effect of letter spacing on legibility, eye movements, and reading speed. J. Vis. 2006, 6, 994. [Google Scholar] [CrossRef]
- Sharmin, S.; Špakov, O.; Räihä, K.-J. The effect of different text presentation formats on eye movement metrics in reading. J. Eye Mov. Res. 2012, 5, 1–9. [Google Scholar] [CrossRef]
- Možina, K.; Podlesek, A.; Bračko, S. Preserving typographic cultural heritage using contemporary digital technology. J. Cult. Herit. 2019, 2, 166–173. [Google Scholar] [CrossRef]
- Možina, K.; Bračko, S.; Kovačević, D.; Blaznik, B.; Možina, K. Legibility of Prints on Paper Made from Japanese Knotweed. BioResources 2020, 15, 3999–4015. [Google Scholar] [CrossRef]
- Wang, Y.; Ai, Y. Research on the Influence of Digital Printing Quality. In Proceedings of the 2nd World Conference on Mechanical Engineering and Intelligent Manufacturing (WCMEIM 2019), Shanghai, China, 22–24 November 2019; pp. 392–395. [Google Scholar] [CrossRef]
- Ataeefard, M. Investigating the effect of paper properties on color reproduction of digital printing. Prog. Org. Coat. 2014, 77, 1376–1381. [Google Scholar] [CrossRef]
- Kamandhari, H.H. The Comparability of Typographic and Substrate Characteristics as Independent Variables in Legibility and Readability Studies: An Integrative Review. Inf. Medium Soc. J. Pub. Stud. 2022, 20, 17–43. [Google Scholar] [CrossRef]
- Rat, B.; Možina, K.; Bračko, S.; Podlesek, A. Influence of Temperature and Humidity on Typographic and Colorimetric Properties of Ink Jet Prints. J. Imaging Sci. Technol. 2011, 55, 050607-1–050607-8. [Google Scholar] [CrossRef]
- Keyes, E. Typography, color, and information structure. Tech. Commun. 1993, 4, 638–654. [Google Scholar]
- Bringhurst, R. The Elements of Typographic Style, 4th ed.; Hartley & Marks: Point Roberts, WA, USA, 2002; pp. 119–142. [Google Scholar]
- Tracy, W. Letters of Credit: A View of Type Design, 2nd ed.; David, R. Godine: Boston, MA, USA, 2003; pp. 48–70. [Google Scholar]
- Legge, G.E.; Bigelow, C.A. Does print size matter for reading? A review of findings from vision science and typography. J. Vis. 2011, 5, 1–22. [Google Scholar] [CrossRef]
- ISO 187; Paper, Board and Pulps–Standard Atmosphere for Conditioning and Testing and Procedure for Monitoring the Atmosphere and Conditioning of Samples. ISO: Geneva, Switzerland, 2022; 7p, ICS 85.060.
- ISO 534; Paper and Board–Determination of Thickness, Density and Specific Volume. ISO: Geneva, Switzerland, 2011; 13p, ICS 85.060.
- ISO 535; Paper and Board–Determination of Water absorptiveness–Cobb Method. ISO: Geneva, Switzerland, 2023; 8p, ICS 85.060.
- ISO 536; Paper and Board–Determination of Grammage. ISO: Geneva, Switzerland, 2019; 8p, ICS 85.060.
- ISO 2470-1; Paper, Board and Pulps–Measurement of Diffuse Blue Reflectance Factor. ISO: Geneva, Switzerland, 2016; 11p, ICS 85.060.
- ISO 2471; Paper and Board–Determination of Opacity (Paper Backing)–Diffuse Reflectance Method. ISO: Geneva, Switzerland, 2008; 8p, ICS 85.060.
- ISO 21920-2; Geometrical Product Specification (GPS)–Surface Texture: Profile Method–Terms, Definitions and Surface Texture Parameters. ISO: Geneva, Switzerland, 2021; 25p, ICS 17.040.20.
- ISO 5636-3; Paper and Board–Determination of Air Permeance (Medium Range)–Bendtsen Method. ISO: Geneva, Switzerland, 2019; 14p, ICS 85.060.
- ISO 8791-2; Paper and Board–Determination of Roughness/Smoothness (Air Leak Methods)–Bendtsen Method. ISO: Geneva, Switzerland, 2018; 16p, ICS 85.060.
- ISO 13655; Graphic Technology–Spectral Measurement and Colorimetric Computation for Graphic Arts Images. ISO: Geneva, Switzerland, 2022; 49p, ICS 37.100.01.
- National Institutes of Health. Research Services Branch. Available online: http://rsb.info.nih.gov/ij/ (accessed on 18 October 2023).
- O’Connor, Z. Colour, contrast and Gestalt theories of perception: The impact in contemporary visual communications design. Color Res. Appl. 2013, 40, 85–92. [Google Scholar] [CrossRef]
- Alton Mackey, M.; Metz, M. Ease of reading of mandatory information on Canadian food product labels. Int. J. Consum. Stud. 2009, 33, 369–381. [Google Scholar] [CrossRef]
- Diemand-Yauman, C.; Oppenheimer, D.M.; Vaughan, E.B. Fortune favors the bold (and the Italicized): Effect of disfluency on educational outcomes. Cognition 2011, 118, 111–115. [Google Scholar] [CrossRef]
- Price, J.; McElroy, K.; Martin, N.J. The role of font size and font style in younger and older adults’ predicted and actual recall performance. Aging Neuropsychil. Cogn. 2015, 23, 366–388. [Google Scholar] [CrossRef]






| Properties | Standard ISO | S1 | S2 | S3 | S4 |
|---|---|---|---|---|---|
| Grammage [g/m2] | ISO 536 (2019) | 78.8 ± 1.2 | 76.8 ± 0.9 | 102.6 ± 2.1 | 109.7 ± 3.8 |
| Thickness [mm] | ISO 534 (2011) | 0.103 ± 0.005 | 0.121 ± 0.002 | 0.186 ± 0.003 | 0.207 ± 0.005 |
| Density [kg/m3] | ISO 534 (2011) | 766 ± 27 | 635 ± 10 | 551 ± 8 | 529 ± 17 |
| Specific volume [cm3/g] | ISO 534 (2011) | 1.307 ± 0.046 | 1.576 ± 0.025 | 1.817 ± 0.026 | 1.892 ± 0.062 |
| Roughness [mL/min] | ISO 8791-2 (2013) | 198 ± 14 | 860 ± 48 | 1191 ± 98 | 1786 ± 124 |
| Roughness (Ra)—TR200 [μm] | ISO 21920-2 (2021) | 4.681 ± 0.712 | 5.565 ± 0.688 | 7.082 ± 0.271 | 7.420 ± 1.145 |
| Porosity [mL/min] | ISO 5636-3 (2019) | 1159 ± 42 | 418 ± 44 | 1490 ± 55 | 1507 ± 32 |
| Water absorption—Cobb [g/m2] | ISO 535 (2023) | 20.4 ± 1.6 | 20.4 ± 1.8 | 15.7 ± 0.8 | 21.8 ± 5.5 |
| D65 whiteness with UV [%] | ISO 2470-1 (2016) | 101.91 ± 0.43 | 35.22 ± 0.22 | 28.78 ± 0.15 | 28.08 ± 0.08 |
| D65 whiteness without UV [%] | ISO 2470-1 (2016) | 85.74 ± 0.11 | 35.29 ± 0.32 | 28.75 ± 0.15 | 28.05 ± 0.08 |
| Opacity [%] | ISO 2471 (2008) | 94.47 ± 0.20 | 96.58 ± 0.33 | 99.77 ± 0.25 | 99.90 ± 0.15 |
| Specimen | 0% (Paper) | 20% | Intensity 40% | 60% | 80% | 100% | |
|---|---|---|---|---|---|---|---|
| S1 | L* | 91.81 ± 0.22 | 79.49 ± 0.18 | 64.33 ± 0.27 | 48.08 ± 0.38 | 35.08 ± 1.33 | 30.87 ± 0.40 |
| a* | 1.52 ± 0.06 | 1.45 ± 0.07 | 1.38 ± 0.06 | 1.25 ± 0.07 | 1.02 ± 0.08 | 0.96 ± 0.08 | |
| b* | −9.23 ± 0.22 | –6.20 ± 0.20 | −2.81 ± 0.13 | −0.08 ± 0.15 | 1.33 ± 0.17 | 1.80 ± 0.19 | |
| S2 | L* | 77.64 ± 0.21 | 68.13 ± 0.30 | 56.88 ± 0.34 | 44.60 ± 0.33 | 34.63 ± 0.42 | 30.42 ± 0.52 |
| a* | 3.51 ± 0.15 | 3.09 ± 0.14 | 2.69 ± 0.12 | 2.35 ± 0.06 | 1.67 ± 0.06 | 1.33 ± 0.07 | |
| b* | 18.21 ± 0.30 | 15.29 ± 0.30 | 12.28 ± 0.28 | 9.24 ± 0.15 | 5.98 ± 0.17 | 4.56 ± 0.20 | |
| S3 | L* | 71.59 ± 0.60 | 64.13 ± 0.44 | 54.52 ± 0.59 | 43.88 ± 0.37 | 34.70 ± 0.38 | 30.59 ± 0.48 |
| a* | 6.49 ± 0.14 | 5.31 ± 0.14 | 4.19 ± 0.15 | 2.96 ± 0.08 | 1.81 ± 0.08 | 1.37 ± 0.06 | |
| b* | 18.19 ± 0.20 | 15.25 ± 0.30 | 12.07 ± 0.24 | 8.54 ± 0.20 | 5.40 ± 0.19 | 4.24 ± 0.17 | |
| S4 | L* | 71.18 ± 0.58 | 63.19 ± 0.41 | 53.36 ± 0.50 | 42.62 ± 0.39 | 33.81 ± 0.32 | 30.29 ± 0.38 |
| a* | 6.63 ± 0.16 | 5.40 ± 0.12 | 4.32 ± 0.13 | 3.15 ± 0.09 | 1.90 ± 0.06 | 1.42 ± 0.07 | |
| b* | 18.31 ± 0.30 | 15.24 ± 0.25 | 12.14 ± 0.24 | 8.80 ± 0.23 | 5.52 ± 0.16 | 4.31 ± 0.17 | |
| Sample | 8 pt | TTD [%] 10 pt | 12 pt | Average |
|---|---|---|---|---|
| S1 | 19.65 ± 0.44 | 19.31 ± 0.40 | 19.20 ± 0.31 | 19.39 ± 0.38 |
| S2 | 25.38 ± 0.52 | 24.30 ± 0.46 | 23.58 ± 0.42 | 24.42 ± 0.47 |
| S3 | 27.64 ± 0.50 | 24.99 ± 0.47 | 24.32 ± 0.43 | 25.65 ± 0.47 |
| S4 | 29.42 ± 0.59 | 27.13 ± 0.44 | 25.65 ± 0.47 | 27.32 ± 0.50 |
Disclaimer/Publisher’s Note: The statements, opinions and data contained in all publications are solely those of the individual author(s) and contributor(s) and not of MDPI and/or the editor(s). MDPI and/or the editor(s) disclaim responsibility for any injury to people or property resulting from any ideas, methods, instructions or products referred to in the content. |
© 2024 by the authors. Licensee MDPI, Basel, Switzerland. This article is an open access article distributed under the terms and conditions of the Creative Commons Attribution (CC BY) license (https://creativecommons.org/licenses/by/4.0/).
Share and Cite
Možina, K.; Kovačević, D.; Možina, K. Legibility of Sans-Serif Typeface on Different Paper Grades Made from Invasive Alien Plant Species. Appl. Sci. 2024, 14, 1281. https://doi.org/10.3390/app14031281
Možina K, Kovačević D, Možina K. Legibility of Sans-Serif Typeface on Different Paper Grades Made from Invasive Alien Plant Species. Applied Sciences. 2024; 14(3):1281. https://doi.org/10.3390/app14031281
Chicago/Turabian StyleMožina, Klementina, Dorotea Kovačević, and Klemen Možina. 2024. "Legibility of Sans-Serif Typeface on Different Paper Grades Made from Invasive Alien Plant Species" Applied Sciences 14, no. 3: 1281. https://doi.org/10.3390/app14031281
APA StyleMožina, K., Kovačević, D., & Možina, K. (2024). Legibility of Sans-Serif Typeface on Different Paper Grades Made from Invasive Alien Plant Species. Applied Sciences, 14(3), 1281. https://doi.org/10.3390/app14031281

