Abstract
Agro-climatic indicators (AgcIs) provide a suitable tool to evaluate the implications of climate change on agriculture by simplifying plant–climate interactions. However, developing reliable AgcIs requires high-quality historical climate datasets. Consequently, reanalysis products (RPs) are frequently used as a potential reference dataset for observed climate in agricultural studies. This study aims to compare five RPs (ERA5, ERA5-Land, SCOPE Climate, FYRE Climate, and RFHR) at reproducing observed AgcIs over France. The RPs are evaluated against the SYNOP meteorological data over the 1996–2012 period, focusing on six AgcIs specific to apple, maize, and vine crops. The findings show that RPs perform well in reproducing temperature-based AgcIs, with some slight discrepancies in areas with complex topography. However, all RPs tend to overestimate precipitation amounts and to underestimate dry days, leading to a poor performance in reproducing precipitation-based AgcIs. This study emphasizes the need for a thorough evaluation of the RPs in developing both temperature-based and precipitation-based AgcIs, especially if findings are intended to support operational agricultural decision-making.
1. Introduction
The agricultural sector is extremely vulnerable to climate change due to its sensitivity to meteorological parameters and its direct dependence on natural resources [1]. The altered precipitation patterns, warmer temperatures, and the increasing frequency of extreme weather events, including heatwaves, droughts, and floods, are already impacting crops worldwide. This not only affects yields and farming practices but also disrupts phenological events and compromises the overall quality of crops [2,3,4,5]. With a growing population, this raises urgent food security concerns at both local and global scales [6].
The assessment of how the current (and future) climate is suitable for agriculture is essential for many users in the agricultural community (planners, land managers, farmers, plant breeders, etc.). For this purpose, Agro-climatic Indicators (AgcIs) have been developed [7,8,9,10,11,12]. Derived from climate variables, AgcIs characterize plant–climate interactions, such as the impact of temperature on plant growth and productivity, and the response of plants to water stress and drought conditions. They provide synthetic information regarding climate influence on crop functioning. Over the last years, AgcIs were extensively used to better understand and manage climate-related risks in agriculture [7,8,9,10]. In addition to being understandable to the agricultural users, AgcIs are effective in encouraging stakeholders to consider the potential impacts of climate change on their land-use systems and in adapting to this issue [13].
High-quality historical weather datasets are a crucial component for developing reliable AgcIs. This implies having access to long observational meteorological variables with appropriate spatiotemporal resolution to describe local climate variability [14]. However, access to such high-quality historical weather datasets is often challenging due to the issues of missing data, temporal coverage, and spatial extent. Therefore, climate reanalysis products (RPs) are particularly attractive as they provide a comprehensive description of the observed climate as it has evolved during recent decades [15]. They combine past observations with forecast models to generate consistent time series of climate variables. Climate RPs are used in a wide range of applications including climate research, environmental monitoring and sectoral impacts assessments [16,17,18,19,20].
Even though the climate RPs provide the most complete numerical description of the climate, they inevitably contain some systematic biases (errors) from observations and imperfect forecast models, thus affecting their temporal and spatial consistency [21]. In addition, the data assimilation schemes used to adjust the weather model integration to actual observations is an additional source of uncertainty in the climate RPs. Many studies have evaluated and compared different climate RPs with observations in different parts of the world, at the global [22,23], continental [24,25,26,27], and regional [28,29,30,31] scale. Such studies have been conducted for traditional climate parameters, such as temperature and precipitation [28,29,30,31] and for extreme weather events [22,23,24,26] from a single or a few climate RPs for climate and hydrological applications. The findings of these studies are mixed, as differences in study regions, variables, and time scales result in inconsistency in the evaluation of the climate RPs performance, thus implying that a site-specific analysis is required. To date, few studies have evaluated the suitability of climate RPs for agricultural applications [32,33,34], including for the development of specific crops-related AgcIs [11,12]. However, to our knowledge, there is a notable gap in the literature associated with the evaluation of the accuracy of multiple climate RPs in the development of specific AgcIs for French crops.
The aim of this study is to evaluate five climate RPs with respect to observations, and to assess their reliability for constructing specific AgcIs to French crops. For this, five RPs (ERA5, ERA5-Land, SCOPE Climate, FYRE Climate, and the gridded dataset RFHR) are compared to multiple synoptic meteorological stations over the 1996–2012 period. The evaluation is made for six AgcIs, which encompasses both precipitation- and temperature-related indicators for three leading crops grown in France (apple, maize, and vine). Some implications for the agro-climatic studies are brought regarding the reliability of climate RPs at providing robust local AgcIs, which is a critical aspect that needs to be considered in the agriculture sector.
This paper is organized as follows. Section 2, presents the experimental design, including the study crops, the datasets, the AgcIs and the method used for the evaluation. Section 3 presents the relevant results of the evaluation of different climate RPs-AgcIs. The reliability of the climate RPs in constructing the AgcIs and the implications for agro-climatic studies are discussed in Section 4. Section 5 provides the concluding remarks.
2. Materials and Methods
2.1. Study Area
With around 812,000 hectares devoted to vines, France is the world’s second-largest wine producer and third-largest exporter in 2022 [35]. The main threats to vine include increasing temperatures and repeated droughts, resulting in premature grape ripening and altering the balance of sugars and acids. Extreme weather events, such as frost and hail, are also becoming major concerns, often leading to significant harvest damage or complete loss.
France is the leading producer of grain maize and the second largest producer of silage maize in Europe [36]. Maize is a summer crop; its growth and development are primarily influenced by temperature. In France, maize is the main irrigated crop, representing around one third of irrigated areas [37]. This is due to maize’s high sensitivity to drought and water deficit, particularly during the stages of reproductive development.
France is Europe’s third largest producer of apples [38]. Apple cultivation covers approximately 40,000 hectares, making it the dominant fruit species ( of orchard surfaces) [37]. Typically cultivated in temperate climates, apple trees adapt to different temperature ranges, requiring a sufficient cold period and well-distributed rainfall throughout the growing season for optimum growth.
In this study, a total of 22 sites (10 for each crop, where 1 site can represent up to 2 crops) were selected, providing broad coverage, including varying climates and representing the main agricultural regions for each crop (Figure 1, Table A1).
Figure 1.
Location map of the weather stations used in the study.
2.2. Data Sources
2.2.1. Observational Data
The observational meteorological data comes from the SYNOP network, provided by Météo France [39]. This consists of temperature and precipitation time series, recorded at 3-h intervals from January 1996 to present. The SYNOP data is considered as the reference dataset for the purpose of this study.
2.2.2. Reanalysis Datasets
The following section provides an overview of the five climate RPs used in this study, which are summarized in Table 1.
Table 1.
Details of the climate reanalysis products (RPs) datasets used in this study.
ERA5 is the fifth generation of the ECMWF’s atmospheric reanalysis dataset [40]. It provides a comprehensive record of the global atmosphere, land surface, and ocean waves since 1950. ERA5-Land is an improved extension of the land component of ERA5 with an enhanced spatial resolution of around 9 km [41].
SCOPE Climate is a 25-member ensemble of 142-year daily high-resolution reconstructions of precipitation, mean temperature, and evapotranspiration over France. It results from the statistical downscaling of the global extended reanalysis 20CR [42], by the SCOPE method [43]. FYRE Climate results from the hybridization of the reanalysis FYRE Daily and FYRE Yearly, which results from assimilating historical station observations of temperature and precipitation into SCOPE Climate reconstructions [44].
RFHR (Reanalysis France High Resolution) is a high resolution (daily and 1 km) advanced climate reanalysis over France. It is built upon the ERA5-Land dataset to provide more accurate climate estimates available from 1979 to 2021. It results from a statistical downscaling followed by a bias correction according to the CDF-t method [45] using the ERA5-Land dataset and observed data available since 2012 on a 1 km grid covering all of France. The observed data are obtained from Météo-France’s radar network PANTHERE [46] for precipitation and Météo-France’s numerical weather forecast model AROME [47] for temperature. They are then reconstructed to achieve a spatial resolution of 0.01° and an hourly temporal resolution.
2.3. Agro-Climatic Indicators
To represent the potential effects of weather conditions on crop productivity and management, a set of six AgcIs were chosen based on the two common climate variables among the datasets: daily mean temperature and daily total precipitation. The AgcIs, summarized in Table 2, were selected to cover various aspects of climate impact on agriculture.
Table 2.
Details of the agro-climatic indicators (AgcIs) used in this study.
The concept of growing degree days (GDD) is first introduced before briefly describing the AgcIs below. GDD measures heat accumulation, assuming that plant and insect development largely depends on heat exposure during the growing season, rather than calendar days. It is calculated as the accumulated sum of the difference between daily mean temperature and a species-specific base temperature, below which growth is limited.
- Winkler Index (WI), also known as the Winkler Scale or Winkler Regions, is commonly applied to classify the climate of wine growing regions based on daily temperature converted to GDD during the growing season (1 April to 31 October in the Northern Hemisphere) [48]. The regions are classified into five climate regions, characterized by increasing temperature levels: from Region I (<1390 °C, for example Champagne) to Region V (>2220 °C, for example Palermo);
- Hydrothermic index of Branas, Bernon, and Levadoux (HyI) developed by [49] considers both precipitation and temperature regimes to estimate the risk of downy mildew for grapevines. An HyI value below 2500 °C mm represents a low risk of infection, whereas a value above 5100 °C mm is considered as a high risk of infection;
- Flowering date (FD) for maize, also known as R1 or silking stage, begins when female flowers (i.e., silks), first appear outside the husk leaves [50]. It is reached when at least of a field’s plants show visible silks. This stage initiates the reproductive phase and is crucial to monitor as it determines the harvest date and therefore its quality and yield. It can be estimated using a modified GDD method, using a 6 °C base temperature, with an upper temperature threshold of 30 °C, starting from the date of planting;
- Dry days (DDs) Maize is a water-demanding crop and its water requirements vary by growth stage [51]. Peak demand occurs in early reproductive stages; around the pre- and post-flowering stage (June to August). During this period, water stress should be avoided as the drought negatively impacts plant and grain development, ultimately reducing yield [52]. One way to measure dry conditions is by counting dry days;
- Dormancy breaking (DB) To break dormancy and initiate flowering, most fruit trees need to accumulate a certain amount of cold [53], referred to as chilling requirement (CR) and measured in chilling units (CU). For apple trees, cold needs are satisfied by daily mean temperatures between °C and °C, with temperatures close 0 °C being the most effective. To estimate CU, various models are available. Here, a triangular function inspired by the F1GOLD1 model is used, which has been previously applied to the “Golden Delicious” apple [54]. CR is then satisfied when the cumulative CU, starting from 30 October, reaches a specific threshold;
- Water requirements (WR) Apple trees have a high-water content and require more water during the fruit production season, approximately June through August. Finding a balance between rainfall and crop water demand during this time is necessary, not only to help conserve water but also to avoid yield losses and to produce high-quality fruits [55].
2.4. Comparison Approach
To ensure a consistent comparison, the spatial coverage of climate RPs is matched to that of the reference data by extracting grid values at the coordinates of the selected SYNOP stations. For each station location, climate RP and, if necessary, ensemble members, daily time series of precipitation and mean temperature is calculated using bilinear interpolation of the four nearest neighbors (grid cells). In cases where bilinear interpolation is not suitable within the gridded land dataset, nearest neighbor interpolation is used. The AgcIs were then calculated for each year using the interpolated data. The period of comparison is 1 January 1996 to 29 December 2012; this 17-year period is common among all the datasets.
In the following, will represent RP-derived values and will represent the observed values from the reference dataset. The performance of the climate RPs was evaluated based on three metrics:
- Lin’s concordance correlation coefficient (LCCC), first introduced by [56], quantifies the agreement between two continuous measures made by different observers/methods of the same variable by measuring the variation of their linear relationship from the line through the origin. The degree of concordance between and is estimated using:where and .will represent the degree of agreement between the climate RP and the reference dataset, with values ranging from to 1. A value of 1 indicates perfect agreement, 0 indicates no agreement, and −1 indicates perfect disagreement.
- Percent Bias (PBias) quantifies the average tendency of the RP-derived values to be larger or smaller compared to the observed values.A value close to zero indicates that the AgcI have similar average values, a positive value means that the evaluated product tends to overestimate the reference values, and a negative bias shows an underestimation against the reference values.
- The integrated quadratic distance (IQD), introduced by [57], is defined as the integral over the squared difference between the corresponding cumulative distribution functions (CDFs).Specifically, d is a distance that compares the corresponding empirical cumulative distributions and and returns a positive numeric value summarizing their differences with if . More generally, a lower value indicates a smaller difference between and .
3. Results
The AgcIs derived from the climate RPs are compared to those calculated with the reference dataset over the 1996–2012 period using the three metrics (PBias, IQD and LCCC). This assessment was conducted by considering all stations together (Table 3, referred to as the ’global scale evaluation’) and by taking each station individually (referred to as the ’local scale evaluation’). For FYRE Climate and SCOPE Climate, which are both a 25-member ensemble, the metrics are calculated for each member independently and the performance is evaluated on the ensemble mean.
Table 3.
Metrics between the reference dataset and RPs over the 1996–2012 period across all study sites for each AgcI.
3.1. Evaluating the RPs for Vine Crop Indicators
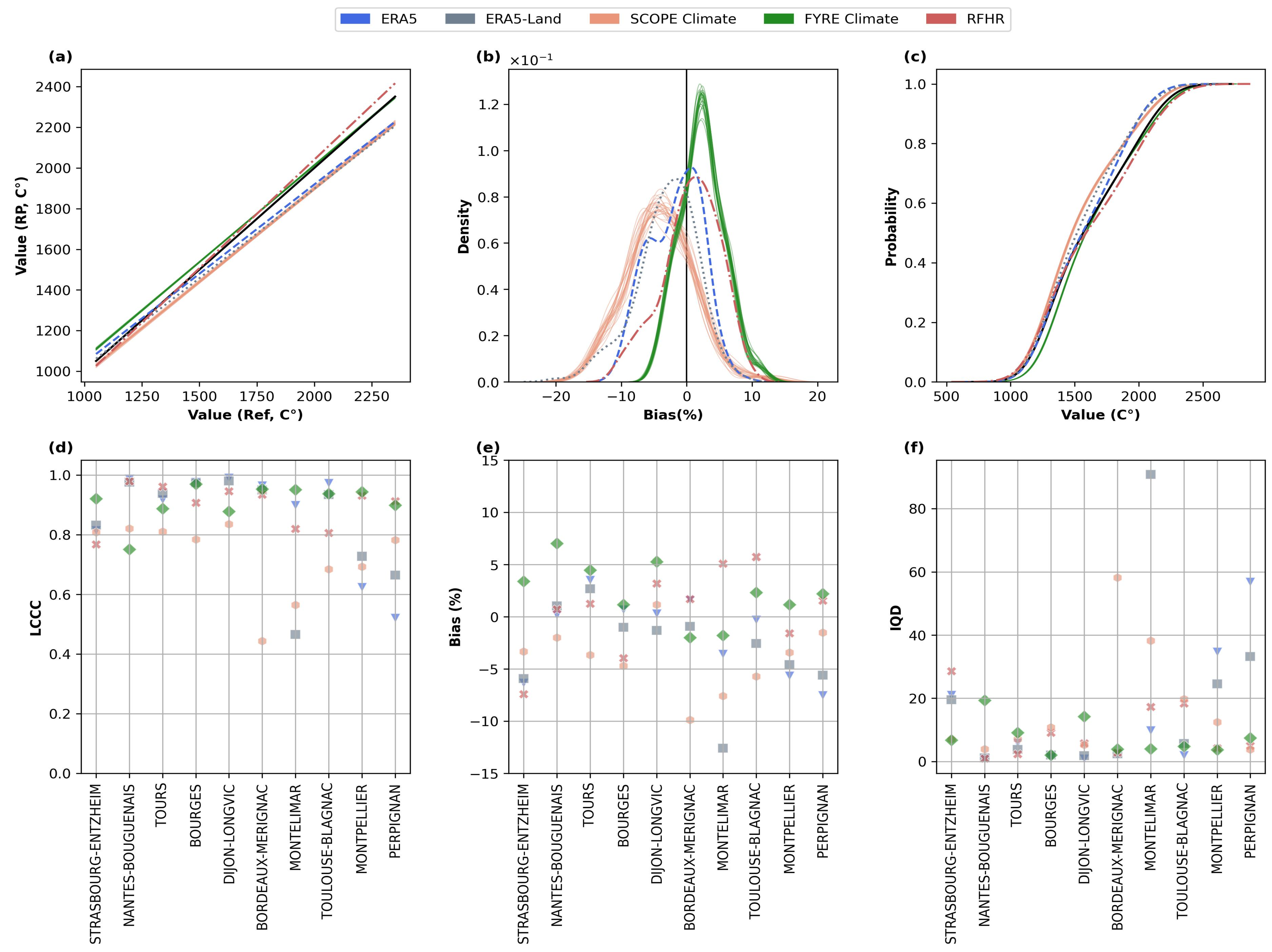
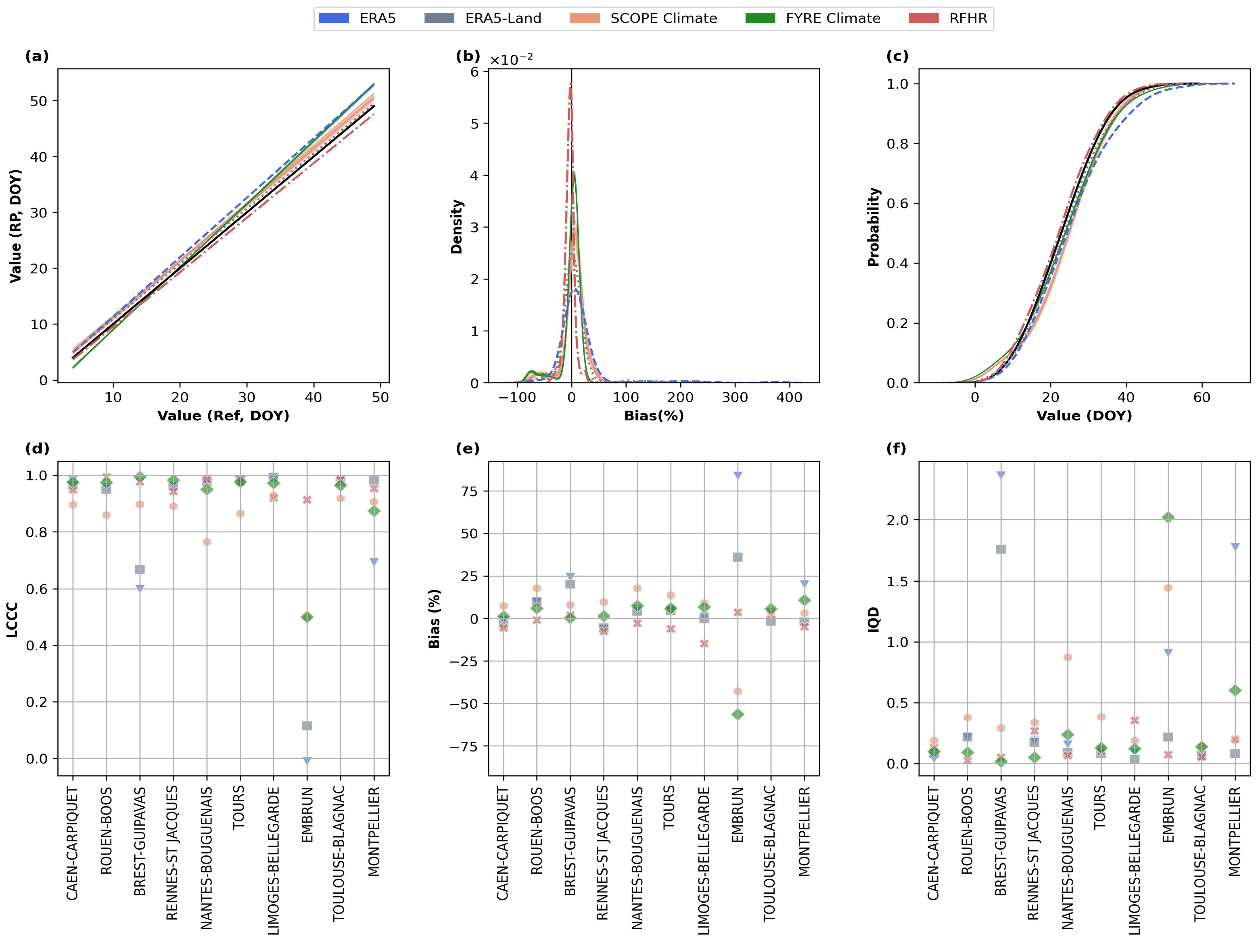
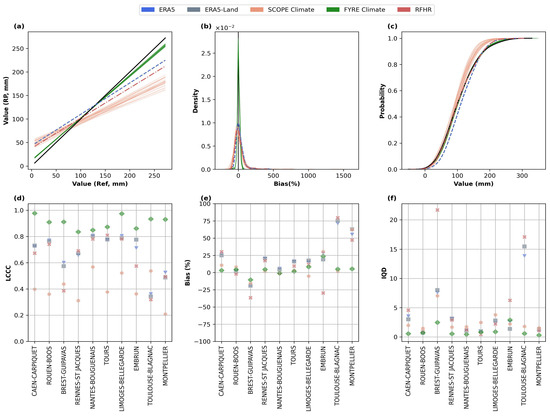
On a global scale, all RPs show a high agreement with the reference dataset in reproducing WI, with LCCC values greater than (Table 3). For most of the stations (, , , , and for SCOPE Climate, ERA5-Land, ERA5, FYRE Climate, and RFHR, respectively), RPs exhibit high correlations (LCCC values ), showing their reliability at reproducing WI (Figure 2d). RFHR has the lowest IQD value, indicating a closer match with the reference dataset, followed by FYRE Climate and ERA5, which exhibit similar levels of agreement. Meanwhile ERA5-Land and SCOPE Climate show relatively higher dissimilarity (Table 3). The spatial distribution of IQD values reveals varying levels of agreement with the reference dataset across the study sites (Figure 2f). Furthermore, as shown in Table 3 and Figure 2b, FYRE Climate and RFHR slightly overestimate WI values (the kernel density estimation (KDE) curve is right-shifted), while the other RPs tend to underestimate WI values. Figure 2e further confirms that the performance of the RPs varies across the study sites.
Figure 2.
Results for the WI indicator over the 1996–2012 period between the reference dataset and each reanalysis product (RP): (a) Lin’s Concordance Correlation Coefficient (LCCC) plots, with the black line representing the 45-degree line (perfect agreement). (b) Kernel density estimation (KDE) of percent bias values. (c) Cumulative Distribution Function (CDF) of the reference dataset (in black) and each RP. For (a–c) the results concern all the studied sites collectively and the linestyles distinguish the RPs. (d) LCCC values separately for each study site. Idem for (e,f) with percent bias and integrated quadratic distance (IQD) values, respectively. For (e,f) the shapes distinguish the RPs.
Overall, RPs are able to reproduce the observed WI values. However, some discrepancies are seen at the Bordeaux-Mérignac station, where SCOPE Climate shows poor performances, and at Montelimar, where a significant dissimilarity compared to the reference dataset is seen for ERA5-Land.
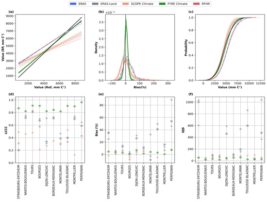
According to Table 3 and Figure 3d, FYRE Climate shows strong similarity with the reference dataset when reproducing HyI values; FYRE Climate consistently shows the highest level of agreement, when considering all study sites collectively (with LCCC = ) and for each individual location (LCCCs ). ERA5, ERA5-Land, RFHR, and SCOPE Climate, however, have weaker correlations with the reference dataset, with SCOPE Climate displaying the lowest agreement with the observations. IQD values affirm the earlier finding (Table 3 and Figure 3f); FYRE Climate consistently displays superior agreement with the reference dataset for when reproducing HyI values. However, SCOPE Climate demonstrates a closer match with the reference dataset, in terms of IQD, compared to ERA5, ERA5-Land, and RFHR. The three latter exhibit similar results, suggesting a comparable level of agreement with the reference dataset. All RPs tend to overestimate the HyI values (Table 3 and Figure 3e), with FYRE Climate and SCOPE Climate showing a low degree of overestimation compared to the other RPs. However, a significant variability in the bias values is seen which suggests a different level of agreement between the RPs and the reference dataset across the study period and sites.
Figure 3.
Same as Figure 2, with the indicator HyI.
Overall, the results highlight the consistent outperformance of FYRE Climate compared to other RPs; a similar performance between ERA5 and ERA5-Land is seen. RFHR shows an overall similar performance compared to ERA5-Land, with an improvement in reproducing HyI values for of the stations.
3.2. Evaluating the RPs for Maize Crop Indicators
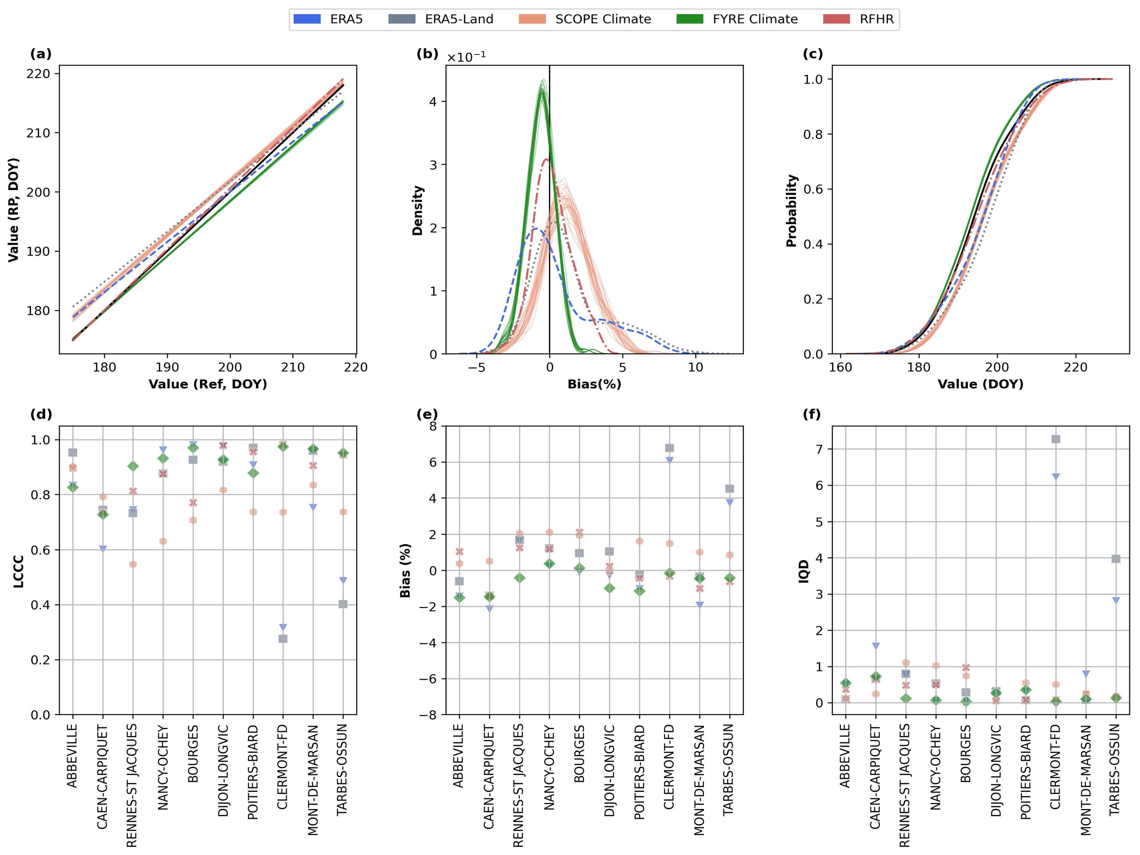
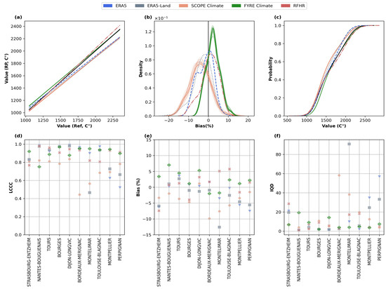
The correlations between observed and RP-derived values of FD are relatively strong for all products, with RFHR and FYRE Climate showing the highest correlations with the reference dataset (Table 3). Good agreement between RPs and the reference dataset is also seen for the study sites, with LCCCs greater than for of cases (considering all stations and all RPs) (Figure 4d). IQD values further confirm the previous results. A comparable agreement between the RPs and the reference dataset is seen on both global and local scales (Table 3 and Figure 4c,f). Overall, RPs display minimal biases (Figure 4b). Figure 4e illustrates that, on a local scale, the bias values remain insignificant, with values ranging between and , in most cases (considering all stations and RPs).
Figure 4.
Same as Figure 2, with the indicator FD.
Overall, the results show a good level of precision in reproducing the FD values by the RPs, with no significant overestimation or underestimation. None of the RPs stands out as best for all stations; the most notable differences are seen for the Clermont-FD and Tarbes-Ossun stations, where ERA5 and ERA5-Land perform rather poorly at reproducing the FD values compared to the other RPs.
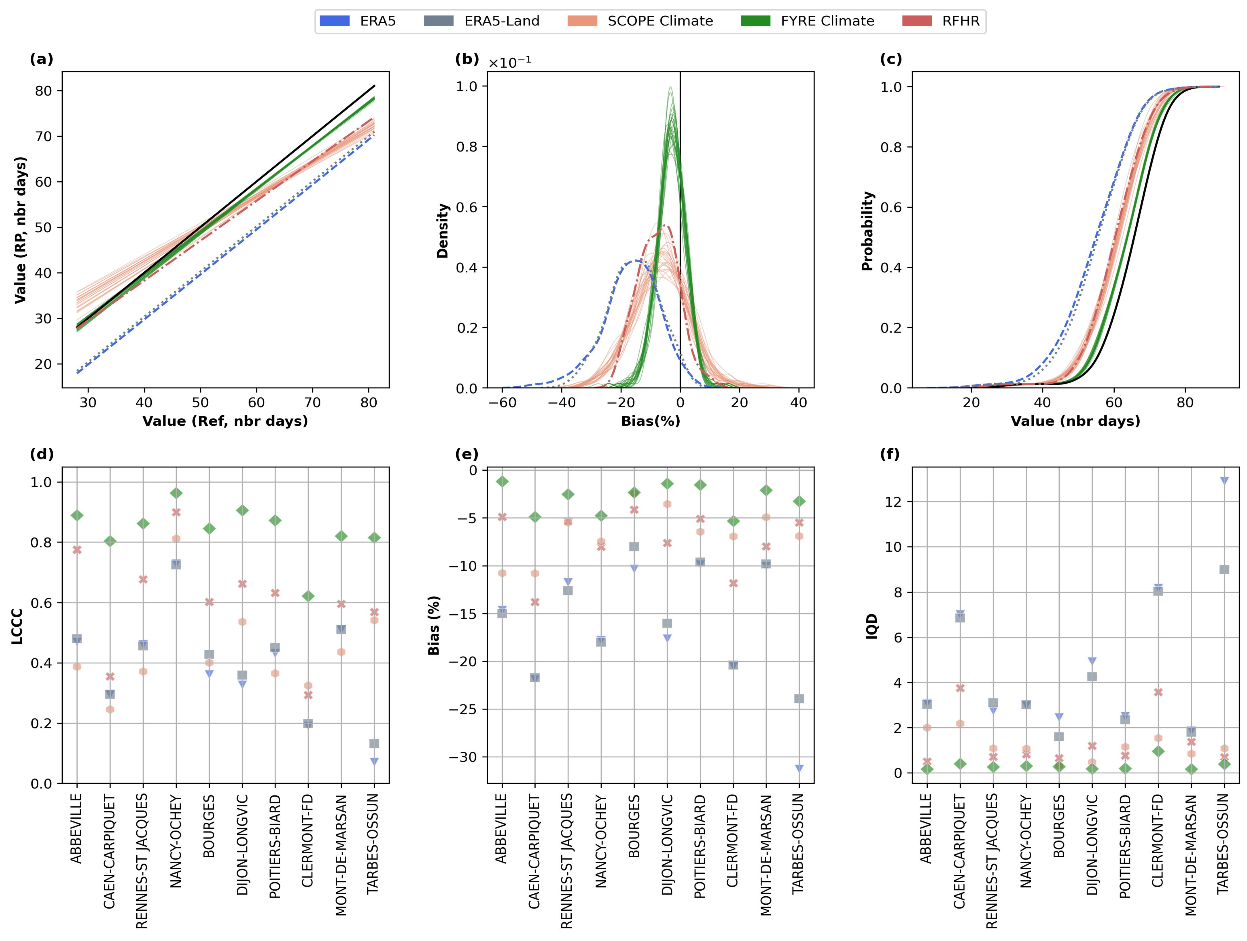
Regarding the DDs indicator, FYRE Climate displays the highest correlation with the reference dataset with a global coefficient of 0.9 and coefficients greater than for of stations (Table 3 and Figure 5d). The rest of the RPs exhibit relatively weaker correlations, with RFHR performing slightly better in reproducing DDs values. LCCC values for RFHR remain quite acceptable, with a global value of and correlations greater than for of the stations—a notable improvement compared to ERA5, ERA5-Land, and SCOPE Climate, where only of stations exhibit similar correlations. The same findings are shown by IQD values (Figure 5c,f). FYRE Climate is the closest to the reference dataset, with a global IQD of , followed by RFHR and SCOPE Climate. ERA5 and ERA5-Land show poor performances with an IQD greater than 3 in most cases.
Figure 5.
Same as Figure 2, with the indicator DDs.
For each RP, the CDF curve is consistently and systematically shifted downward (i.e., towards the lower values) of the reference line, indicating an underestimation of DDs values (Figure 5c). Results in (Table 3, Figure 5b,e) further confirm this assumption, where bias values are always negative. Although RFHR still underestimates the DDs indicator, a slight improvement is seen compared to ERA5-Land at reproducing the DDs values; the KDE curve is shifted toward the right (zero) and the average bias is reduced by approximately half.
3.3. Evaluating the RPs for Apple Crop Indicators
For DB indicator, strong correlations between all RPs and the reference dataset are observed (LCCC values , Table 3). For most stations, the LCCC values between the RPs and the reference dataset are high. The ratio of stations with LCCC values greater than is , , , , and for SCOPE Climate, ERA5, FYRE Climate, ERA5-Land, and, RFHR respectively (Figure 6d). Regarding the PBias, RPs exhibit, on average across all sites, values ranging between and (Table 3). Compared to RFHR, the KDE curves of the other RPs show a large spread, suggesting a higher variability (Figure 6b). For example, ERA5 overestimates the DB date by more than . Figure 6c shows good agreement between the cumulative probability distributions of RPs and the reference dataset. The IQD values also suggest a similarity between the RPs and the reference dataset, with values below in most cases (considering all stations and RPs) (Figure 6f).
Figure 6.
Same as Figure 2, with the indicator DB.
While RPs lead to satisfactory and similar results for most of the stations, the Embrun site presents an exception. All RPs perform rather poorly for this station except for RFHR, which returns satisfactory results (LCCC = , PBias = , and IQD = ).
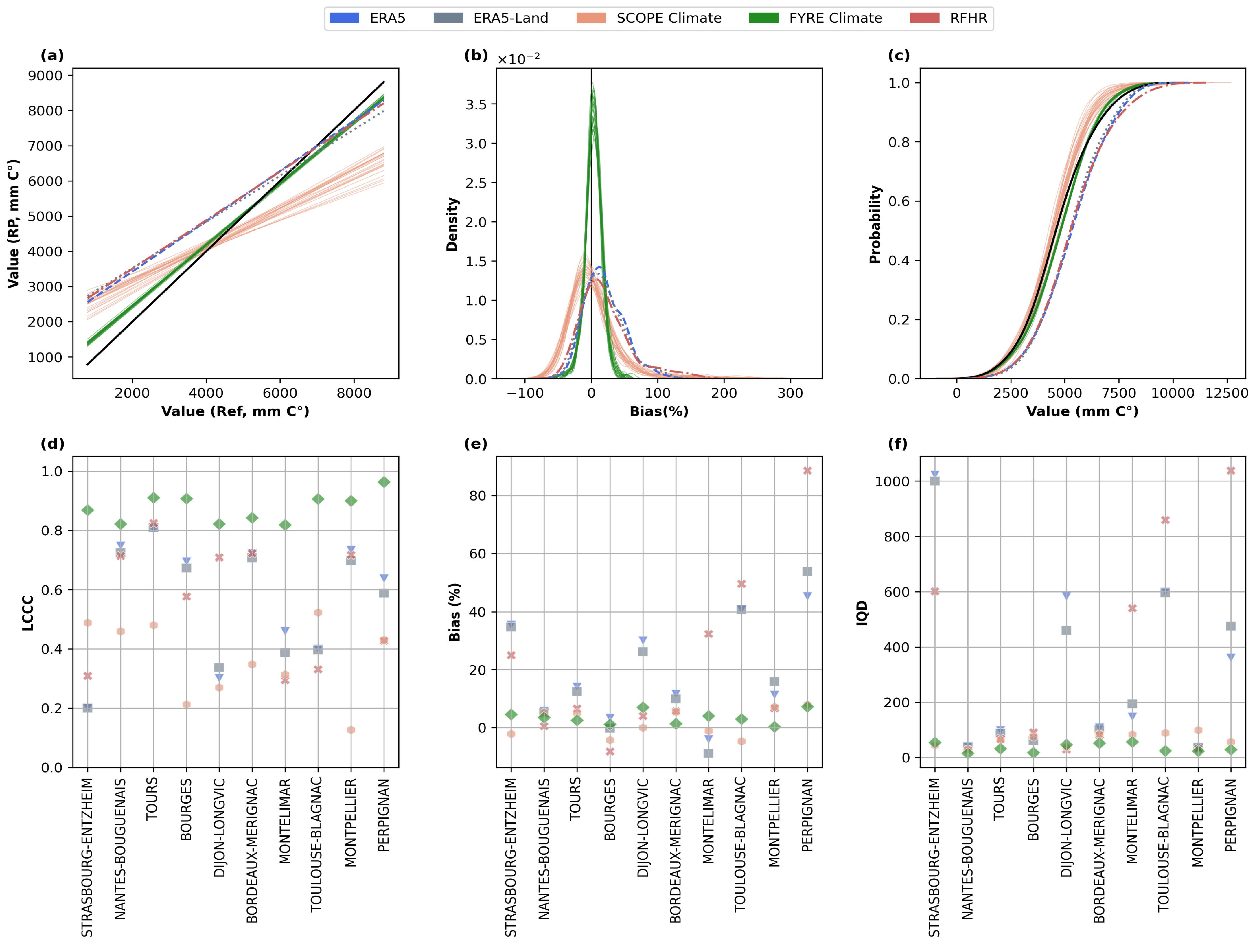
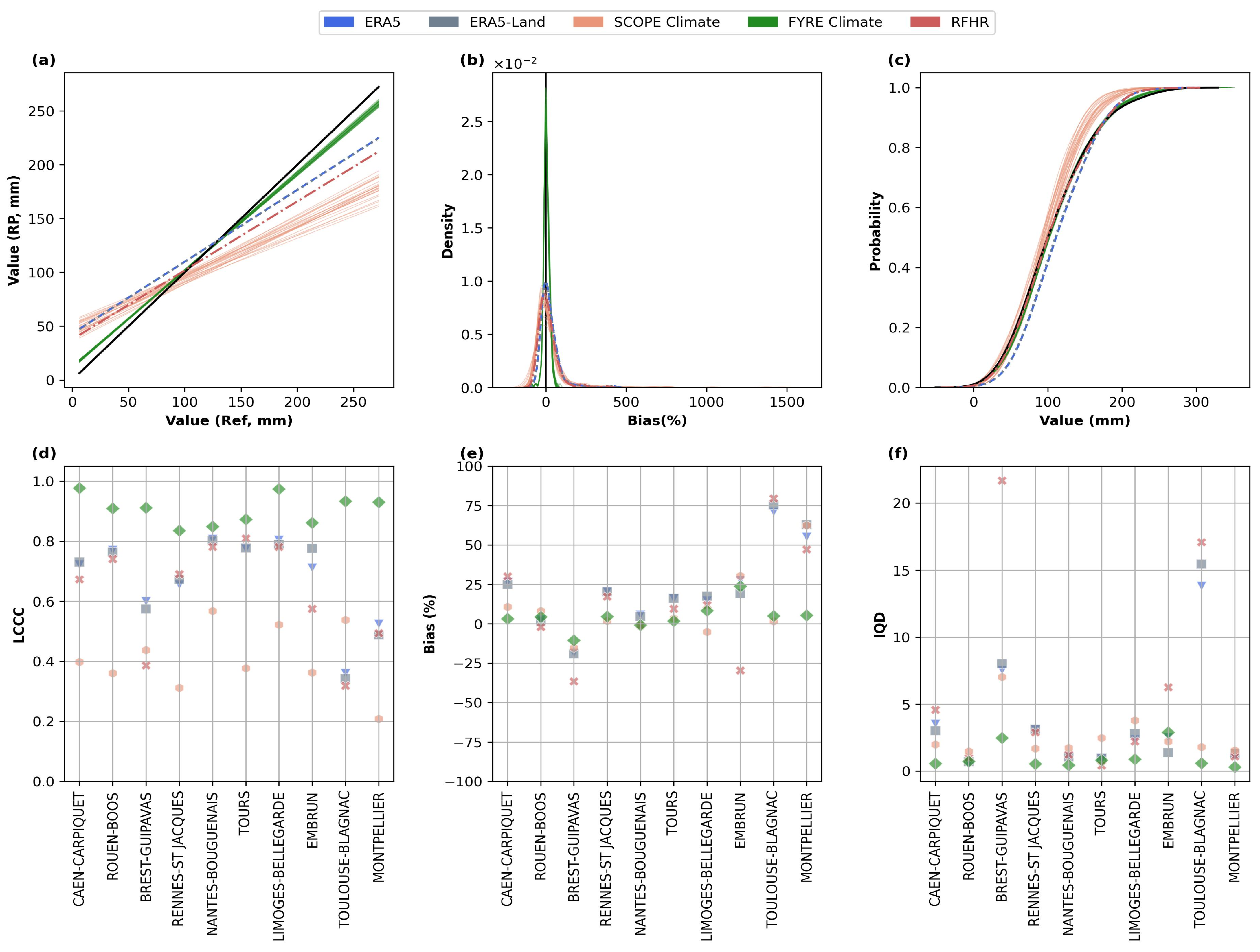
As illustrated in Table 3 and Figure 7d, FYRE Climate displays the best agreement with the reference dataset for the WR indicator. Despite the lower LCCCs, the agreement between ERA5, ERA5-Land, RFHR, and the reference dataset can be considered as acceptable. In contrast, SCOPE Climate consistently shows a lower agreement with the observations (on a global scale and for of stations), with LCCCs below . Regarding the IQD, FYRE Climate gives the lowest values (Table 3 and Figure 7c), indicating a closer similarity to the reference dataset compared to the other RPs. ERA5 and ERA5-Land have relatively close values, indicating comparable performance. Despite the lower IQD value, RFHR still displays higher values compared to ERA5 and ERA5-Land for of the stations (Figure 7f). This discrepancy between RFHR and the reference dataset is particularly notable at the Brest-Guipavas station, where the IQD value is three times higher compared to ERA5 and ERA5-Land. In addition, all RPs exhibit positive biases on average, suggesting a tendency towards an overestimation of WR (Table 3). Except for the Brest-Guipavas station, for which all the RPs show an underestimation of WR compared to the reference dataset, the overestimation of WR is still noticeable in most cases (considering all the stations and RPs) (Figure 7e).
Figure 7.
Same as Figure 2, with the indicator WR.
4. Discussion
Crop modeling studies rely on various input factors, such as soil characteristics, crop management practices, and climate data to simulate crop growth, development, and yield. However, one of the major limitations to the application of such studies is the absence of accurate observational climate data with high temporal and spatial resolutions. Even in data-rich countries like France, limitations persist due to issues such as the heterogeneity of observation station networks, incomplete spatial coverage, and uncertainties in measurements. One way to overcome these challenges is by using climate reanalysis datasets [3,16,17]. However, it is important to note that climate RPs have some limitations. These include errors in numerical models, uncertainties introduced during data assimilation, and homogeneity issues due to changes in observing systems.
The ability of RPs to reproduce observed AgcIs has been investigated here. Five RPs were compared based on a set of six AgcIs specific to vine, maize and apple. The study focuses on 22 synoptic meteorological stations in France over the 1996–2012 period.
4.1. Reliability of the Climate RPs for Developing AgcIs
The findings reveal a satisfactory degree of agreement among the climate RPs in reproducing temperature-based indicators. The five RPs considered in this study exhibit a satisfactory level of consistency with the observations with significant correlations (LCCC) and low differences (PBias). Overall, FYRE Climate and RFHR show the best performances at reproducing all temperature-based indicators, while SCOPE Climate consistently exhibits the lowest performance. Nonetheless, it is worth noting that some discrepancies among the RPs become evident when reproducing temperature-based indicators in sites with challenging topography (e.g., high altitudes or complex terrain), such as for the Embrun or Clermont-FD stations. High-resolution RPs, such as RFHR, provide the best results for the temperature-based indicators for specific mountainous stations, highlighting their advantage for a more detailed representation of complex terrain and microclimates. Similarly, various studies reported the difficulties of accurately representing temperature within coarse spatial resolution RPs in areas under a complex topography [25,31,58].
For precipitation-based indicators, the results show poorer performances compared to temperature-based indicators. RPs exhibit a lower level of agreement with the reference dataset and more pronounced discrepancies among themselves. Several studies have reported similar findings [22,28], highlighting the RPs’ challenges in accurately representing precipitation-based indices, regardless of their temporal scale. Additionally, the results consistently demonstrate RPs’ tendency to overestimate the indicator linked to precipitation amount WR while simultaneously underestimating the one associated with precipitation occurrence DDs. This dual effect within the RPs can be primarily attributed to the presence of a wet bias coupled with a tendency to underestimate the frequency of dry days. This behavior is supported by multiple studies conducted in various regions of Europe [27,29,30].
Regarding the mixed indicator (HyI), the findings reveal similar behaviors among the RPs to that observed when reproducing precipitation-based indicators. All the scores are lower compared to those of the temperature-based indicators. Additionally, a consistent pattern of overestimating HyI values by the RPs, resembling the case of WR, is also seen. While the importance of temperature is unquestionable here, it appears that precipitation has a more dominant influence on the performance of RPs in reproducing HyI.
Overall, FYRE Climate provides the best reproduction of the precipitation-based indicators. RFHR, ERA5, and ERA5-Land display similar performances in reproducing AgcIs based on precipitation amount, and a slight improvement is observed with RFHR’s for the representation of precipitation occurrence. Despite the well-marked accuracy of FYRE Climate in representing AgcIs, some limitations are noteworthy. One key constraint is the data’s temporal extent until 2012, which constrain the climate simulations beyond 2012. Additionally, only temperature and precipitation data are provided. Even though these two variables are important, they do not capture the full complexities of agro-climatic interactions.
Considering these findings, further studies should extend their investigation to the RPs reliability in reproducing AgcIs, considering a larger set of climatic variables beyond temperature and precipitation. While these two variables are fundamental, they do not fully capture the complexities of agro-climatic conditions. This expansion is essential since various climatic factors, such as humidity, wind, and solar radiation, significantly influence agricultural outcomes.
4.2. Implications for Agro-Climatic Studies
Accurate reproduction of temperature-based AgcIs through RPs provides valuable insights into the complex interactions between temperature and crop. This enhances the ability of assessing the effects of temperature on crops, soil conditions, and overall agricultural productivity. This is crucial for providing informed decision-making, such as planting schedules, crop selection, irrigation, and other agricultural practices. In addition, this will improve the modeling and forecasting of plant growth, disease development, and pest dynamics, and will ultimately lead to improved efficiency and yields of crops.
An accurate reproduction of AgcIs based, solely or partly, on RPs precipitation is challenging due to the dynamic and stochastic nature of precipitation, varying in intensity and frequency. The uncertainties in such precipitation-related AgcIs can influence the assessments of agricultural productivity, water management, and decision-making. For instance, underestimating the frequency of dry days could compromise the accurate characterization of dry/wet spell lengths and drought periods [11,26]. Additionally, overestimating precipitation amounts can result in an inaccurate evaluation of water availability, underestimation of irrigation requirements, or exaggeration of potential crop yields. This challenge extends to disease management decisions, as seen in the case of HyI, where such mismanagement can lead to unnecessary or excessive control measures, with potential costs and environmental consequences. All these outcomes can lead to ineffective irrigation scheduling and practices, inadequate drought preparedness, and, ultimately, negative impacts on crop yield and quality.
In this study the need for critical evaluation in agro-climatic assessments is highlighted. Understanding both the strengths and limitations of RPs holds significant implications for agro-climatic studies. In a changing climate, where the increase in temperatures and shifts in precipitation patterns are anticipated, precision in agriculture assessments is crucial. Relying on inaccuracies could not only amplify uncertainties in climate change assessments but also limit the ability to make the distinction between climate change impacts and data errors. Therefore, a comprehensive understanding of RPs and their limitations is crucial, along with validation against local observations, and cautious interpretation and application. All these elements are essential for informed decision-making in agriculture and climate change adaptation.
5. Conclusions
Climate RPs serve as valuable tools for climate research. Their ability to reproduce observed AgcIs has been investigated here. Five RPs were compared based on a set of six AgcIs specific to vine, maize, and apple. The study focuses on 22 synoptic meteorological stations in France over the 1996–2012 period. This study offers a comprehensive assessment of the reliability of climate RPs in reproducing some AgcIs. The results reveal significant variations among the different RPs when reproducing such indicators, with their performance exhibiting distinct patterns linked to the underlying climatic variables. RPs have proven their robustness in accurately replicating temperature-based indicators, despite some disparities in challenging terrains, especially for coarse-resolution products. However, the complexities surrounding the accurate representation of precipitation based AgcIs remain. These findings underscore the ongoing challenges in achieving precise representations of this crucial aspect in agro-climatic assessments. The study provides valuable insights into the strengths and limitations of climate reanalysis products (RPs), encouraging a more careful and context-sensitive application in agricultural research and planning.
Author Contributions
Conceptualization, M.E.-R., M.T., S.C., E.B., L.S. and N.A.; Data curation, M.E.-R.; Formal analysis, M.E.-R.; Funding acquisition, M.T., S.C., E.B., L.S. and N.A.; Investigation, M.E.-R., M.T., S.C. and E.B.; Methodology, M.E.-R., M.T. and S.C.; Project administration, M.T., S.C., E.B., L.S. and N.A.; Resources, M.E.-R., M.T., S.C. and E.B.; Software, M.E.-R.; Supervision, M.T., S.C., E.B., L.S. and N.A.; Validation, M.E.-R., M.T., S.C., E.B., L.S. and N.A.; Visualization, M.E.-R.; Writing—original draft, M.E.-R.; Writing—review and editing, M.E.-R., M.T., S.C., E.B., L.S. and N.A. All authors have read and agreed to the published version of the manuscript.
Funding
This work is part of Mariam Er-Rondi’s PhD thesis, funded by the company Weather-Measures and the National Association for Research and Technology ANRT under the CIFRE program (grant number CIFRE N° 2021/1202).
Data Availability Statement
ERA5 and ERA5-Land datasets are publicly available and can be downloaded from the Copernicus Climate data store https://cds.climate.copernicus.eu/cdsapp#!/dataset (last accessed on 20 September 2022). ERA5 data are available online at https://doi.org/10.24381/cds.adbb2d47 (Last accessed on 16 September 2022). ERA5-Land data are available online at https://doi.org/10.24381/cds.e2161bac (last accessed on 20 September 2022). SCOPE Climate and FYRE Climate are available and can be downloaded as netcdf files on the Zenodo platform https://zenodo.org/ (last accessed on 9 September 2022). For SCOPE Climate, data are available at https://doi.org/10.5281/zenodo.1299760 for precipitation (last accessed on 6 September 2022) and at https://doi.org/10.5281/zenodo.1299712 for temperature (Last accessed on 6 September 2022). For FYRE Climate, data are available at https://doi.org/10.5281/zenodo.4005573 for precipitation (last accessed on 9 September 2022) and at https://doi.org/10.5281/zenodo.4006472 for temperature (last accessed on 9 September 2022). The observational station data were obtained from Météo France and are available online at https://donneespubliques.meteofrance.fr/?fond=produit&id_produit=90&id_rubrique=32 (Last accessed on 10 October 2022). RFHR is a collaborative effort between the companies Hydroclimat and Weather Measures. The dataset is currently unavailable due to privacy. Further inquiries can be directed to the corresponding author.
Conflicts of Interest
Mariam Er-Rondi’s PhD thesis is co-funded by the company Weather Measures. Magali Troin co-founded Hydroclimat and is currently the Director of research and development for the company. Sylvain Coly is employed by Weather Measures. Emmanuel Buisson co-founded Weather Measures and is currently the Director of Product and Innovation for the company. The remaining authors declare that the research was conducted in the absence of any commercial or financial relationships that could be construed as a potential conflict of interest.
Appendix A
Table A1.
Station name, coordinate and elevation of the weather stations used in this study.
Table A1.
Station name, coordinate and elevation of the weather stations used in this study.
| Location Name | Longitude | Latitude | Elevation (m) |
|---|---|---|---|
| Abbeville | 50.136 | 1.834 | 69 |
| Caen-Carpiquet | 49.18 | 67 | |
| Rouen-Boos | 49.383 | 1.181667 | 151 |
| Brest-Guipavas | 48.444167 | 94 | |
| Rennes-ST Jacques | 48.068833 | 36 | |
| Strasbourg-Entzheim | 48.5495 | 7.640333 | 150 |
| Nantess-Bouguenais | 47.15 | 26 | |
| Tours | 47.4445 | 0.727333 | 108 |
| Bourges | 47.059167 | 2.359833 | 161 |
| Dijon-Longvic | 47.267833 | 5.088333 | 219 |
| Poitiers-Biard | 46.593833 | 0.314333 | 123 |
| Limoges-Bellegarde | 45.861167 | 1.175 | 402 |
| Clermont-FD | 45.786833 | 3.149333 | 331 |
| Bordeaux-Merignac | 44.830667 | 47 | |
| Montelimar | 44.581167 | 4.733 | 73 |
| Embrun | 44.565667 | 6.502333 | 871 |
| Mont-De-Marsan | 43.909833 | 59 | |
| Tarbes-Ossun | 43.188 | 0 | 360 |
| Toulouse-Blagnac | 43.621 | 1.378833 | 151 |
| Montpellier | 43.577 | 3.963167 | 2 |
| Perpignan | 42.737167 | 2.872833 | 42 |
References
- Vining, C.K. Effects of weather on agricultural crops and livestock: An overview. Int. J. Environ. Stud. 1990, 36, 27–39. [Google Scholar] [CrossRef]
- Ortiz-Bobea, A.; Ault, T.; Carrillo, C.; Chambers, R.; Lobell, D. Anthropogenic climate change has slowed global agricultural productivity growth. Nat. Clim. Chang. 2021, 11, 306–312. [Google Scholar] [CrossRef]
- Beillouin, D.; Schauberger, B.; Bastos, A.; Ciais, P.; Makowski, D. Impact of extreme weather conditions on European crop production in 2018. Philos. Trans. R. Soc. Biol. Sci. 2020, 375, 20190510. [Google Scholar] [CrossRef] [PubMed]
- Tao, F.; Yokozawa, M.; Xu, Y.; Hayashi, Y.; Zhang, Z. Climate changes and trends in phenology and yields of field crops in China, 1981–2000. Agric. For. Meteorol. 2006, 138, 82–92. [Google Scholar] [CrossRef]
- Zhang, X.; Friedl, M.A.; Schaaf, C.B.; Strahler, A.H. Climate controls on vegetation phenological patterns in northern mid- and high latitudes inferred from MODIS data. Glob. Chang. Biol. 2004, 10, 1133–1145. [Google Scholar] [CrossRef]
- Bezner Kerr, R.; Hasegawa, T.; Lasco, R.; Bhatt, I.; Deryng, D.; Farrell, A.; Gurney-Smith, H.; Ju, H.; Lluch-Cota, S.; Meza, F.; et al. Food, Fibre, and Other Ecosystem Products. In Climate Change 2022: Impacts, Adaptation and Vulnerability. Contribution of Working Group II to the Sixth Assessment Report of the Intergovernmental Panel on Climate Change; Pörtner, H.O., Roberts, D.C., Tignor, M., Poloczanska, E.S., Mintenbeck, K., Alegría, A., Craig, M., Langsdorf, S., Löschke, S., Möller, V., et al., Eds.; Cambridge University Press: Cambridge, UK; New York, NY, USA, 2022. [Google Scholar]
- Bootsma, A.; Gameda, S.; McKenney, D. Potential impacts of climate change on corn, soybeans and barley yields in Atlantic Canada. Can. J. Soil Sci. 2005, 85, 345–357. [Google Scholar] [CrossRef]
- Thorsen, S.M.; Höglind, M. Assessing winter survival of forage grasses in Norway under future climate scenarios by simulating potential frost tolerance in combination with simple agroclimatic indices. Agric. For. Meteorol. 2010, 150, 1272–1282. [Google Scholar] [CrossRef]
- Neethling, E.; Barbeau, G.; Quénol, H.; Bonnefoy, C. Change in climate and berry composition for grapevine varieties cultivated in the Loire Valley. Clim. Res. 2012, 53, 89–101. [Google Scholar] [CrossRef]
- Kamyar, A.; Yazdanpanah, H.; Movahedi, S.; Morimoto, D. Assessment of the impacts of climate change on agro-climatic indices in Iran. Theor. Appl. Climatol. 2020, 142, 1359–1367. [Google Scholar] [CrossRef]
- Grusson, Y.; Barron, J. Challenges in reanalysis products to assess extreme weather impacts on agriculture: Study case in southern Sweden. PLoS Clim. 2022, 1, e0000063. [Google Scholar] [CrossRef]
- Santamaría-Artigas, A.E.; Franch, B.; Guillevic, P.; Roger, J.C.; Vermote, E.F.; Skakun, S. Evaluation of Near-Surface Air Temperature from Reanalysis over the United States and Ukraine: Application to Winter Wheat Yield Forecasting. IEEE J. Sel. Top. Appl. Earth Obs. Remote Sens. 2019, 12, 2260–2269. [Google Scholar] [CrossRef]
- Matthews, K.B.; Rivington, M.; Buchan, K.; Miller, D.; Bellocchi, G. Characterising the agro-meteorological implications of climate change scenarios for land management stakeholders. Clim. Res. 2008, 37, 59–75. [Google Scholar] [CrossRef]
- WMO. World Meteorological Organization—Guidelines on the Calculation of Climate Normals. 2017. Available online: https://library.wmo.int/doc_num.php?explnum_id=4166 (accessed on 21 June 2023).
- Kalnay, E.; Kanamitsu, M.; Kistler, R.; Collins, W.G.; Deaven, D.; Gandin, L.; Iredell, M.; Saha, S.; White, G.; Woollen, J.; et al. The NCEP/NCAR 40-Year Reanalysis Project. Bull. Am. Meteorol. Soc. 1996, 77, 437–471. [Google Scholar] [CrossRef]
- Iizumi, T.; Sakuma, H.; Yokozawa, M.; Luo, J.J.; Challinor, A.J.; Brown, M.E.; Sakurai, G.; Yamagata, T. Prediction of seasonal climate-induced variations in global food production. Nat. Clim. Chang. 2013, 3, 904–908. [Google Scholar] [CrossRef]
- Bebber, D.P.; Castillo, Á.D.; Gurr, S.J. Modelling coffee leaf rust risk in Colombia with climate reanalysis data. Philos. Trans. R. Soc. Biol. Sci. 2016, 371, 20150458. [Google Scholar] [CrossRef] [PubMed]
- Bett, P.E.; Thornton, H.E.; Clark, R.T. Using the Twentieth Century Reanalysis to assess climate variability for the European wind industry. Theor. Appl. Climatol. 2017, 127, 61–80. [Google Scholar] [CrossRef]
- De Cian, E.; Pavanello, F.; Randazzo, T.; Mistry, M.N.; Davide, M. Households’ adaptation in a warming climate. Air conditioning and thermal insulation choices. Environ. Sci. Policy 2019, 100, 136–157. [Google Scholar] [CrossRef]
- Varlas, G.; Stefanidis, K.; Papaioannou, G.; Panagopoulos, Y.; Pytharoulis, I.; Katsafados, P.; Papadopoulos, A.; Dimitriou, E. Unravelling Precipitation Trends in Greece since 1950s Using ERA5 Climate Reanalysis Data. Climate 2022, 10, 12. [Google Scholar] [CrossRef]
- Bosilovich, M.G.; Chen, J.; Robertson, F.R.; Adler, R.F. Evaluation of Global Precipitation in Reanalyses. J. Appl. Meteorol. Climatol. 2008, 47, 2279–2299. [Google Scholar] [CrossRef]
- Dunn, R.J.H.; Donat, M.G.; Alexander, L.V. Comparing extremes indices in recent observational and reanalysis products. Front. Clim. 2022, 4, 989505. [Google Scholar] [CrossRef]
- Donat, M.G.; Sillmann, J.; Wild, S.; Alexander, L.V.; Lippmann, T.; Zwiers, F.W. Consistency of Temperature and Precipitation Extremes across Various Global Gridded In Situ and Reanalysis Datasets. J. Clim. 2014, 27, 5019–5035. [Google Scholar] [CrossRef]
- Yang, Z.; Villarini, G. Examining the capability of reanalyses in capturing the temporal clustering of heavy precipitation across Europe. Clim. Dyn. 2019, 53, 1845–1857. [Google Scholar] [CrossRef]
- Velikou, K.; Lazoglou, G.; Tolika, K.; Anagnostopoulou, C. Reliability of the ERA5 in Replicating Mean and Extreme Temperatures across Europe. Water 2022, 14, 543. [Google Scholar] [CrossRef]
- Engdaw, M.M.; Ballinger, A.P.; Hegerl, G.C.; Steiner, A.K. Changes in temperature and heat waves over Africa using observational and reanalysis data sets. Int. J. Climatol. 2022, 42, 1165–1180. [Google Scholar] [CrossRef]
- Keller, J.D.; Sabrina, W. Representation of Climate in Reanalyses: An Intercomparison for Europe and North America. J. Clim. 2021, 34, 1667–1684. [Google Scholar] [CrossRef]
- Minseok, K.; Eungul, L. Validation and Comparison of Climate Reanalysis Data in the East Asian Monsoon Region. Atmosphere 2022, 13, 1589. [Google Scholar] [CrossRef]
- Gomis-Cebolla, J.; Rattayova, V.; Salazar-Galán, S.; Francés, F. Evaluation of ERA5 and ERA5-Land reanalysis precipitation datasets over Spain (1951–2020). Atmos. Res. 2023, 284, 106606. [Google Scholar] [CrossRef]
- Bližňák, V.; Pokorná, L.; Rulfová, Z. Assessment of the capability of modern reanalyses to simulate precipitation in warm months using adjusted radar precipitation. J. Hydrol. Reg. Stud. 2022, 42, 101121. [Google Scholar] [CrossRef]
- Scherrer, S.C. Temperature monitoring in mountain regions using reanalyses: Lessons from the Alps. Environ. Res. Lett. 2020, 15, 044005. [Google Scholar] [CrossRef]
- de Wit, A.; Baruth, B.; Boogaard, H.; van Diepen, K.; van Kraalingen, D.; Micale, F.; te Roller, J.; Supit, I.; van den Wijngaart, R. Using ERA-INTERIM for regional crop yield forecasting in Europe. Clim. Res. 2010, 44, 41–53. [Google Scholar] [CrossRef]
- Glotter, M.J.; Moyer, E.J.; Ruane, A.C.; Elliott, J.W. Evaluating the Sensitivity of Agricultural Model Performance to Different Climate Inputs. J. Appl. Meteorol. Climatol. 2016, 55, 579–594. [Google Scholar] [CrossRef] [PubMed]
- Toreti, A.; Maiorano, A.; De Sanctis, G.; Webber, H.; Ruane, A.C.; Fumagalli, D.; Ceglar, A.; Niemeyer, S.; Zampieri, M. Using reanalysis in crop monitoring and forecasting systems. Agric. Syst. 2019, 168, 144–153. [Google Scholar] [CrossRef]
- OIV. State of the World Vine and Wine Sector in 2022. Available online: https://www.oiv.int/sites/default/files/documents/OIV_State_of_the_world_Vine_and_Wine_sector_in_2022_2.pdf (accessed on 4 July 2023).
- Eurostat. Agriculture, Forestry and Fisheries. Available online: https://ec.europa.eu/eurostat/web/main/data/database (accessed on 17 July 2023).
- Agreste. GRAPH’AGRI 2022—L’Agriculture, la Forêt, la Pêche et les Industries Agroalimentaires. Available online: https://agreste.agriculture.gouv.fr/agreste-web/disaron/GraFra2022Integral/detail/ (accessed on 17 July 2023).
- WAPA. The World Apple and Pear Association. Available online: http://www.wapa-association.org/asp/article_2.asp?doc_id=656 (accessed on 24 July 2023).
- Météo-France. Données SYNOP Essentielles OMM. Available online: https://donneespubliques.meteofrance.fr/?fond=produit&id_produit=90&id_rubrique=32 (accessed on 10 October 2022).
- Hersbach, H.; Bell, B.; Berrisford, P.; Hirahara, S.; Horányi, A.; Muñoz-Sabater, J.; Nicolas, J.; Peubey, C.; Radu, R.; Schepers, D.; et al. The ERA5 global reanalysis. Q. J. R. Meteorol. Soc. 2020, 146, 1999–2049. [Google Scholar] [CrossRef]
- Muñoz-Sabater, J.; Dutra, E.; Agustí-Panareda, A.; Albergel, C.; Arduini, G.; Balsamo, G.; Boussetta, S.; Choulga, M.; Harrigan, S.; Hersbach, H.; et al. ERA5-Land: A state-of-the-art global reanalysis dataset for land applications. Earth Syst. Sci. Data 2021, 13, 4349–4383. [Google Scholar] [CrossRef]
- Compo, G.P.; Whitaker, J.S.; Sardeshmukh, P.D.; Matsui, N.; Allan, R.J.; Yin, X.; Gleason, B.E.; Vose, R.S.; Rutledge, G.; Bessemoulin, P.; et al. The Twentieth Century Reanalysis Project. Q. J. R. Meteorol. Soc. 2011, 137 Pt A, 1–28. [Google Scholar] [CrossRef]
- Caillouet, L.; Vidal, J.P.; Sauquet, E.; Graff, B.; Soubeyroux, J.M. SCOPE Climate: A 142-year daily high-resolution ensemble meteorological reconstruction dataset over France. Earth Syst. Sci. Data 2019, 11, 241–260. [Google Scholar] [CrossRef]
- Devers, A.; Vidal, J.P.; Lauvernet, C.; Vannier, O. FYRE Climate: A high-resolution reanalysis of daily precipitation and temperature in France from 1871 to 2012. Clim. Past 2021, 17, 1857–1879. [Google Scholar] [CrossRef]
- Michelangeli, P.-A.; Vrac, M.; Loukos, H. Probabilistic downscaling approaches: Application to wind cumulative distribution functions. Geophys. Res. Lett. 2009, 36, L11708. [Google Scholar] [CrossRef]
- Parent du Châtelet, J.; Tabary, P.; Guimera, M. The Panthere project and the evolution of the French operational radar network and products: Rain-estimation, Doppler winds and dual-polarisation. In Proceedings of the 32nd Conference on Radar Meteorology, American Meteorological Society, Albuquerque, NM, USA, 24–29 October 2005. [Google Scholar]
- Seity, Y.; Brousseau, P.; Malardel, S.; Hello, G.; Bénard, P.; Bouttier, F.; Lac, C.; Masson, V. The AROME-France Convective-Scale Operational Model. Mon. Weather Rev. 2011, 139, 976–991. [Google Scholar] [CrossRef]
- Amerine, M.A.; Winkler, A.J. Composition and Quality of Musts and Wines of California Grapes. Hilgardia 1944, 15, 493–675. [Google Scholar] [CrossRef]
- Branas, J.; Bernon, G.; Levadoux, L. Éléments de Viticulture Générale; École National d’Agriculture de Montpellier: Montpellier, France, 1946; Volume 1. [Google Scholar]
- Hanway, J.J. How a Corn Plant Develops; Special Report No. 48; Iowa State University of Science and Technology: Ames, IA, USA, 1966; Available online: https://dr.lib.iastate.edu/handle/20.500.12876/90185 (accessed on 13 March 2023).
- Çakir, R. Effect of water stress at different development stages on vegetative and reproductive growth of corn. Field Crop. Res. 2004, 89, 1–16. [Google Scholar] [CrossRef]
- NeSmith, D.S.; Ritchie, J.T. Maize (Zea mays L.) response to a severe soil water-deficit during grain-filling. Field Crop. Res. 1992, 29, 23–35. [Google Scholar] [CrossRef]
- Campoy, J.A.; Ruiz, D.; Egea, J. Dormancy in temperate fruit trees in a global warming context: A review. Sci. Hortic. 2011, 130, 357–372. [Google Scholar] [CrossRef]
- Legave, J.M.; Blanke, M.; Christen, D.; Giovannini, D.; Mathieu, V.; Oger, R. A comprehensive overview of the spatial and temporal variability of apple bud dormancy release and blooming phenology in Western Europe. Int. J. Biometeorol. 2013, 57, 317–331. [Google Scholar] [CrossRef]
- Bui, T.A.T.; Stridh, H.; Molin, M. Influence of weather conditions on the quality of ’Ingrid Marie’ apples and their susceptibility to grey mould infection. J. Agric. Food Res. 2021, 3, 100104. [Google Scholar] [CrossRef]
- Lin, L.I.K. A Concordance Correlation Coefficient to Evaluate Reproducibility. Biometrics 1989, 45, 255–268. [Google Scholar] [CrossRef] [PubMed]
- Thorarinsdottir, T.L.; Gneiting, T.; Gissibl, N. Using Proper Divergence Functions to Evaluate Climate Models. SIAM/ASA J. Uncertain. Quantif. 2013, 1, 522–534. [Google Scholar] [CrossRef]
- Tianbao, Z.; Weidong, G.; Congbin, F. Calibrating and Evaluating Reanalysis Surface Temperature Error by Topographic Correction. J. Clim. 2008, 21, 1440–1446. [Google Scholar] [CrossRef]
Disclaimer/Publisher’s Note: The statements, opinions and data contained in all publications are solely those of the individual author(s) and contributor(s) and not of MDPI and/or the editor(s). MDPI and/or the editor(s) disclaim responsibility for any injury to people or property resulting from any ideas, methods, instructions or products referred to in the content. |
© 2024 by the authors. Licensee MDPI, Basel, Switzerland. This article is an open access article distributed under the terms and conditions of the Creative Commons Attribution (CC BY) license (https://creativecommons.org/licenses/by/4.0/).






