Assessing Pancreatic Fat and Its Correlation with Liver Fat in Suspected MASLD Patients Using Advanced Deep Learning Techniques from MRI Images
Abstract
Featured Application
Abstract
1. Introduction
2. Materials and Methods
2.1. MR Data and Acquisition Protocols
2.2. Demographics of Subjects
2.3. Summary of the Deep Learning Models
2.4. Training Process
2.5. Quantitative Measurements and Statistical Analysis
3. Results
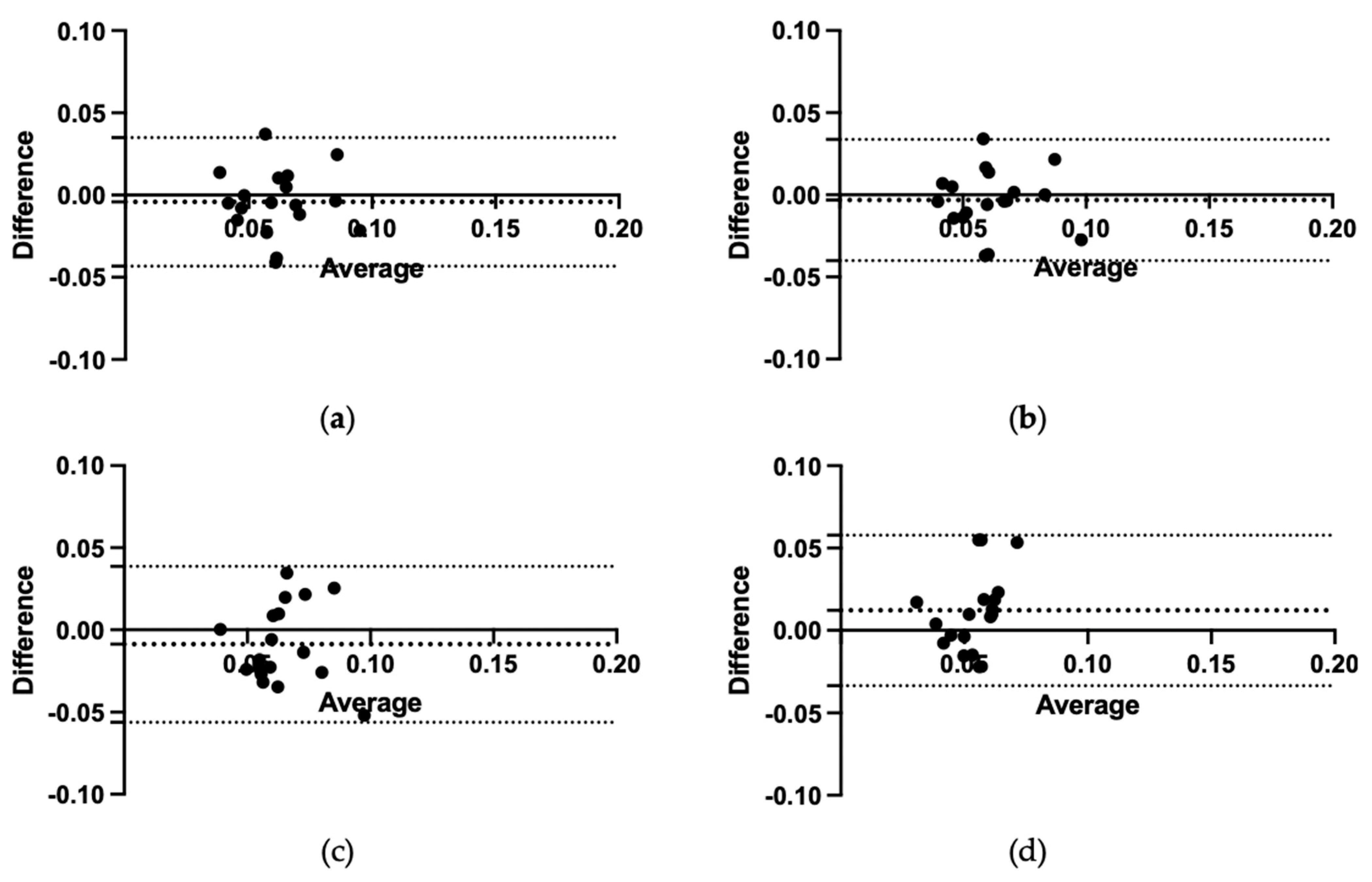
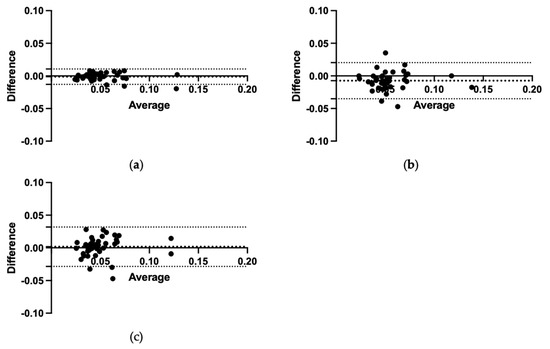
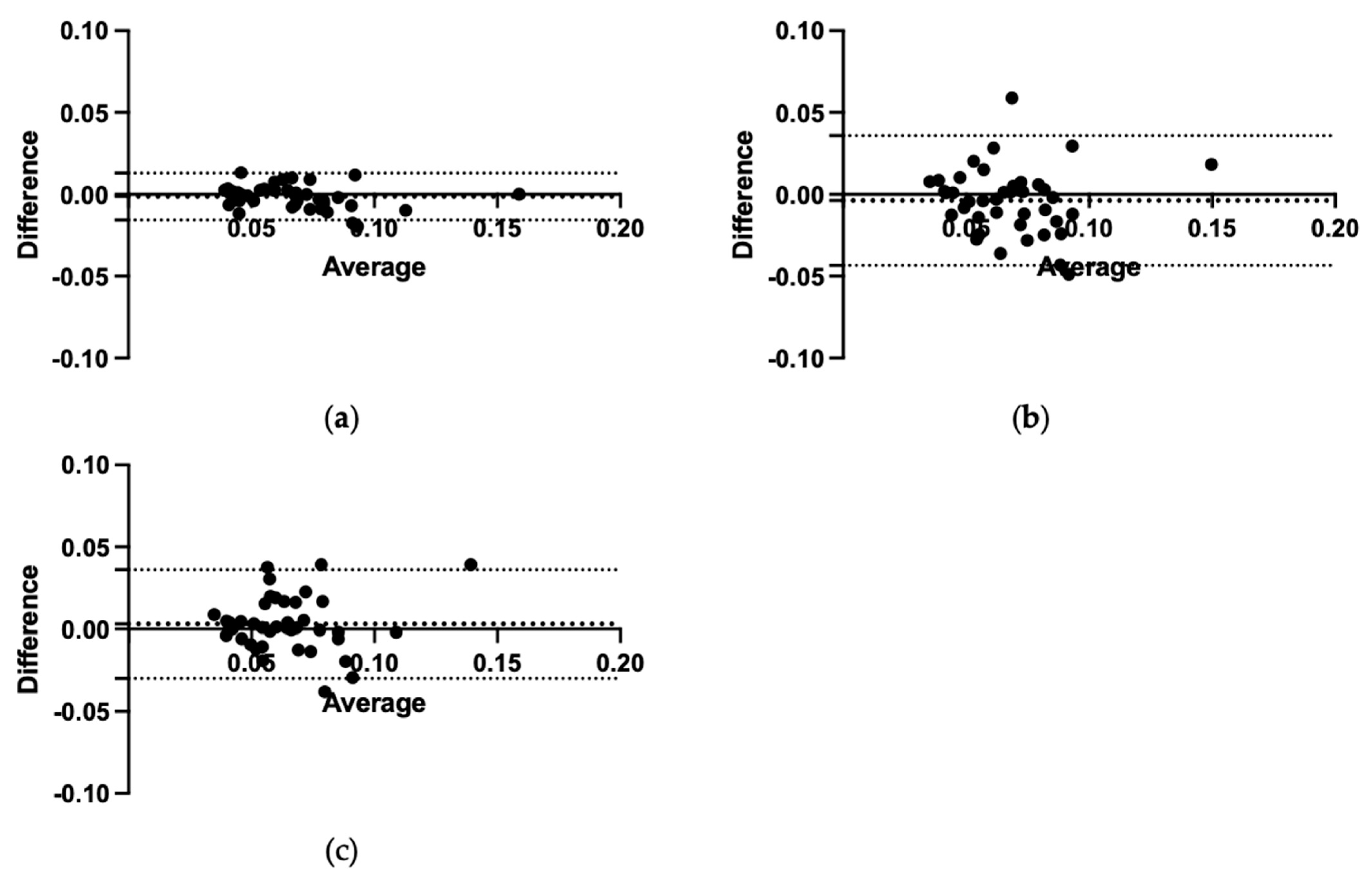
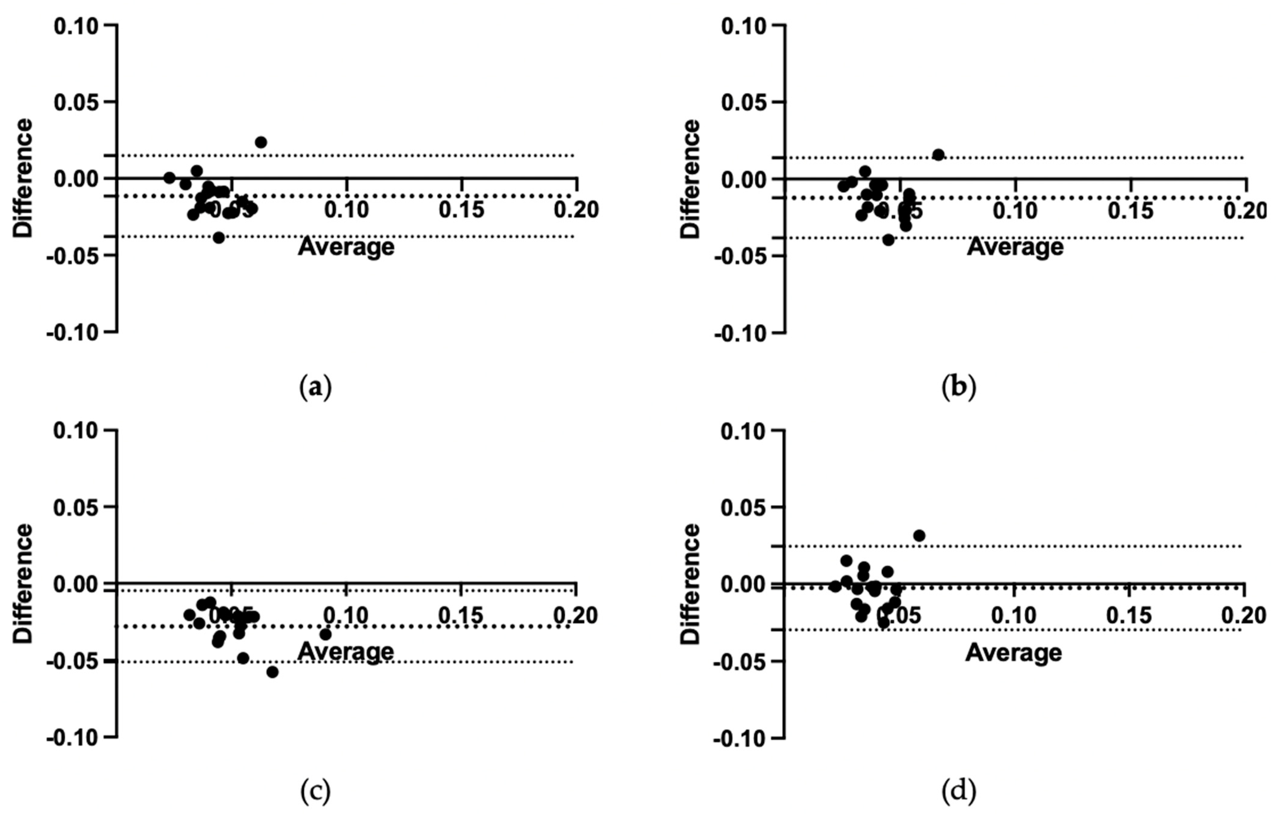
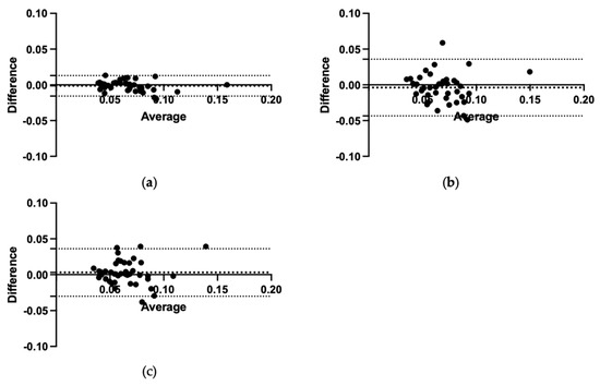
3.1. Performance of the Neural Networks to Estimate the Pancreatic PDFF
3.2. Correlation Between Pancreatic and Liver Fat
4. Discussion
Limitations
5. Conclusions
Author Contributions
Funding
Institutional Review Board Statement
Informed Consent Statement
Data Availability Statement
Conflicts of Interest
Appendix A
| Comparison | Age (p-Value) | BMI (p-Value) |
|---|---|---|
| Overall Kruskal–Wallis Test | 0.038 | 0.15 |
| Training vs. Validation | 0.032 | >0.99 |
| Training vs. Test | >0.99 | 0.19 |
| Validation vs. Test | 0.11 | 0.46 |







References
- Lim, S.; Kim, J.W.; Targher, G. Links between metabolic syndrome and metabolic dysfunction-associated fatty liver disease. Trends Endocrinol. Metab. 2021, 32, 500–514. [Google Scholar] [CrossRef]
- Paul, J.; Shihaz, A.V.H. Pancreatic steatosis: A new diagnosis and therapeutic challenge in gastroenterology. Arq. Gastroenterol. 2020, 57, 216–220. [Google Scholar] [CrossRef] [PubMed]
- van Geenen, E.J.M.; Smiths, M.M.; Schreuder, T.C.; van der Peet, D.L.; Bloemena, E.; Mulder, C.J.J. Nonalcoholic fatty liver disease is related to nonalcoholic fatty pancreas disease. Pancreas 2010, 39, 1185–1190. [Google Scholar] [CrossRef] [PubMed]
- Chiyanika, C.; Chan, D.F.Y.; Hui, S.C.N.; So, H.K.; Deng, M.; Yeung, D.K.W.; Nelson, E.A.S.; Chu, W.C.W. The relationship between pancreas steatosis and the risk of metabolic syndrome and insulin resistance in Chinese adolescents with concurrent obesity and non-alcoholic fatty liver disease. Pediatr. Obes. 2020, 15, e12653. [Google Scholar] [CrossRef]
- Patel, N.S.; Peterson, M.R.; Brenner, D.A.; Heba, E.; Sirlin, C.; Loomba, R. Association between novel MRI-estimated pancreatic fat and liver histology-determined steatosis and fibrosis in non-alcoholic fatty liver disease. Aliment. Pharmacol. Ther. 2013, 37, 630–639. [Google Scholar] [CrossRef] [PubMed]
- Targher, G.; Rossi, A.; Zamboni, G.; Fantin, F.; Antonioli, A.; Corzato, F.; Bambace, C.; Mucelli, P.R.; Zamboni, M. Pancreatic fat accumulation and its relationship with liver fat content and other fat depots in obese individuals. J. Endocrinol. Investig. 2012, 35, 748–753. [Google Scholar] [CrossRef]
- Trout, A.T.; Hunte, D.E.; Mouzaki, M.; Xanthakos, S.A.; Su, W.; Zhang, B.; Dillman, J.R. Relationship between abdominal fat stores and liver fat, pancreatic fat, and metabolic comorbidities in a pediatric population with non-alcoholic fatty liver disease. Abdom. Radiol. 2019, 44, 3107–3114. [Google Scholar] [CrossRef] [PubMed]
- Ulasoglu, C.; Tekin, Z.N.; Akan, K.; Yavuz, A. Does nonalcoholic pancreatic steatosis always correlate with nonalcoholic fatty liver disease? Clin. Exp. Gastroenterol. 2021, 14, 269–275. [Google Scholar] [CrossRef] [PubMed]
- Mak, A.L.; Wassenaar, N.; van Dijk, A.M.; Troelstra, M.; Houttu, V.; van Son, K.; Driessen, S.; Zwirs, D.; van den Berg-Faay, S.; Shumbayawonda, E.; et al. Intrapancreatic fat deposition is unrelated to liver steatosis in metabolic dysfunction-associated steatotic liver disease. JHEP Rep. 2024, 6, 100998. [Google Scholar] [CrossRef]
- Shah, N.; Rocha, J.P.; Bhutiani, N.; Omer, E. Nonalcoholic fatty pancreas disease. Nutr. Clin. Pract. 2019, 34, S49–S56. [Google Scholar] [CrossRef]
- Bannas, P.; Kramer, H.; Hernando, D.; Agni, R.; Cunningham, A.M.; Mandal, R.; Motosugi, U.; Sharma, S.D.; Munoz del Rio, A.; Fernandez, L.; et al. Quantitative MR imaging of hepatic steatosis: Validation in ex vivo human livers. Hepatology 2015, 62, 1444–1455. [Google Scholar] [CrossRef] [PubMed]
- Lohöfer, F.K.; Kaissis, G.A.; Müller-Leisse, C.; Franz, D.; Katemann, C.; Hock, A.; Peeters, J.M.; Rummeny, E.J.; Karampinos, D.; Braren, R.F. Acceleration of chemical shift encoding-based water fat MRI for liver proton density fat fraction and T2* mapping using compressed sensing. PLoS ONE 2019, 14, e0224988. [Google Scholar] [CrossRef] [PubMed]
- Reeder, S.B.; Cruite, I.; Hamilton, G.; Sirlin, C.B. Quantitative assessment of liver fat with magnetic resonance imaging and spectroscopy. J. Magn. Reson. Imaging 2012, 34, 729–749. [Google Scholar] [CrossRef]
- Starekova, J.; Reeder, S.B. Liver fat quantification: Where do we stand? Abdom. Radiol. 2020, 45, 3386–3399. [Google Scholar] [CrossRef] [PubMed]
- Bray, T.J.P.; Bainbridge, A.; Punwani, S.; Ioannou, Y.; Hall-Craggs, M.A. Simultaneous Quantification of Bone Edema/Adiposity and Structure in Inflamed Bone Using Chemical Shift-Encoded MRI in Spondyloarthritis. Magn. Reson. Med. 2017, 79, 1031–1042. [Google Scholar] [CrossRef] [PubMed]
- Hernando, D.; Kellman, P.; Haldar, J.P.; Liang, Z.P. Robust water/fat separation in the presence of large field inhomogeneities using a graph cut algorithm. Magn. Reson. Med. 2009, 63, 79–90. [Google Scholar] [CrossRef]
- Yu, H.; McKenzie, C.A.; Shimakawa, A.; Vu, A.T.; Brau, A.C.; Beatty, P.J.; Pineda, A.R.; Brittain, J.H.; Reeder, S.B. Multiecho reconstruction for simultaneous water-fat decomposition and T2* estimation. J. Magn. Reson. Imaging 2007, 26, 1153–1161. [Google Scholar] [CrossRef]
- Jafari, R.; Spincemaille, P.; Zhang, J.; Nguyen, T.; Luo, X.; Cho, J.; Margolis, D.; Prince, M.R.; Wang, Y. Deep neural network (DNN) for water/fat separation: Supervised training, unsupervised training, and no training. Magn. Reson. Med. 2021, 85, 2263–2277. [Google Scholar] [CrossRef] [PubMed]
- Ronneberger, O.; Fischer, P.; Brox, T. U-Net: Convolutional Networks for Biomedical Image Segmentation. In Medical Image Computing and Computer Assisted Intervention; Navab, N., Hornegger, J., Wells, W., Frangi, A., Eds.; Springer: Cham, Switzerland, 2015. [Google Scholar]
- Meneses, J.P.; Arrieta, C.; Maggiora, G.D.; Besa, C.; Urbina, J.; Arrese, M.; Gana, J.C.; Galgani, J.E.; Tejos, C.; Uribe, S. Liver PDFF estimation using a multi-decoder water-fat separation neural network with a reduced number of echoes. Eur. Radiol. 2023, 33, 6557–6568. [Google Scholar] [CrossRef]
- Meneses, J.P.; Qadir, A.; Surendran, N.; Arrieta, C.; Tejos, C.; Andia, M.E.; Chen, Z.C.; Uribe, S. Unbiased and reproducible liver MRI-PDFF estimation using a scan protocol-informed deep learning method. Eur. Radiol. 2024. [Google Scholar] [CrossRef] [PubMed]
- Abadi, M.; Barham, P.; Chen, J.; Chen, Z.; Davis, A.; Dean, J.; Devin, M.; Ghemawat, S.; Irving, G.; Isard, M.; et al. (Eds.) TensorFlow: A system for large-scale machine learning. In Proceedings of the 12th USENIX Symposium on Operating Systems Design and Implementation (OSDI 2016), Savannah, GA, USA, 2–4 November 2016; USENIX Association: Berkeley, CA, USA, 2016. [Google Scholar]
- Sokmen, B.K.; Sahin, T.; Oral, A.; Kocak, E.; Inan, N. The comparison of pancreatic and hepatic steatosis in healthy liver donor candidates. Sci. Rep. 2021, 11, 4507. [Google Scholar] [CrossRef]







| Scan Parameter | Value |
|---|---|
| Total number of echoes | 6 |
| Echo train length | 6 |
| TE1 (ms) | 1.3 |
| ΔTE (ms) | 2.1 |
| TR (ms) | 30 |
| Flip angle | 10° |
| NSA | 2 |
| Voxel size (mm) | 0.89 × 0.89 |
| Slice thickness (mm) | 10 |
| Nominal scan time (s) | 120 |
| Pixel bandwith (Hz) | 1736–1786 |
| Demographics | Training (N = 149) | Validation (N = 18) | Testing (N = 41) |
|---|---|---|---|
| Mean age, years (range) | 39.2 (14–77) 1 | 21.3 (18–24) 1 | 32.5 (21–59) |
| Male/female count (%) 2 | Male: 67 (45%) | Male: 6 (33%) | Male: 19 (46%) |
| Female: 82 (55%) | Female: 12 (67%) | Female: 22 (54%) | |
| Mean body mass index (BMI) ± standard deviation (STD) (kg/m2) 3 | 29.9 ± 5.2 | 30.5 ± 4.8 | 28.4 ± 4.3 |
Disclaimer/Publisher’s Note: The statements, opinions and data contained in all publications are solely those of the individual author(s) and contributor(s) and not of MDPI and/or the editor(s). MDPI and/or the editor(s) disclaim responsibility for any injury to people or property resulting from any ideas, methods, instructions or products referred to in the content. |
© 2024 by the authors. Licensee MDPI, Basel, Switzerland. This article is an open access article distributed under the terms and conditions of the Creative Commons Attribution (CC BY) license (https://creativecommons.org/licenses/by/4.0/).
Share and Cite
Cherrie Fung, H.C.; Meneses, J.P.; Surendran, N.; Kutaiba, N.; George, Y.; Makalic, E.; Uribe, S. Assessing Pancreatic Fat and Its Correlation with Liver Fat in Suspected MASLD Patients Using Advanced Deep Learning Techniques from MRI Images. Appl. Sci. 2024, 14, 11924. https://doi.org/10.3390/app142411924
Cherrie Fung HC, Meneses JP, Surendran N, Kutaiba N, George Y, Makalic E, Uribe S. Assessing Pancreatic Fat and Its Correlation with Liver Fat in Suspected MASLD Patients Using Advanced Deep Learning Techniques from MRI Images. Applied Sciences. 2024; 14(24):11924. https://doi.org/10.3390/app142411924
Chicago/Turabian StyleCherrie Fung, Hay Ching, Juan Pablo Meneses, Nirusha Surendran, Numan Kutaiba, Yasmeen George, Enes Makalic, and Sergio Uribe. 2024. "Assessing Pancreatic Fat and Its Correlation with Liver Fat in Suspected MASLD Patients Using Advanced Deep Learning Techniques from MRI Images" Applied Sciences 14, no. 24: 11924. https://doi.org/10.3390/app142411924
APA StyleCherrie Fung, H. C., Meneses, J. P., Surendran, N., Kutaiba, N., George, Y., Makalic, E., & Uribe, S. (2024). Assessing Pancreatic Fat and Its Correlation with Liver Fat in Suspected MASLD Patients Using Advanced Deep Learning Techniques from MRI Images. Applied Sciences, 14(24), 11924. https://doi.org/10.3390/app142411924

