Next Article in Journal
IR Pulsed Laser Ablation of Carbon Materials in High Vacuum
Previous Article in Journal
Comparison of Modified Occlusal Splint, Standard Splint Protocol, and Conventional Physical Therapy in Management of Temporomandibular Joint Disc Displacement with Reduction and Intermittent Locking: A Randomized Controlled Trial
 
 
Font Type:
Arial Georgia Verdana
Font Size:
Aa Aa Aa
Line Spacing:
Column Width:
Background:
Article

Research on Lightweight Open-Pit Mine Driving Obstacle Detection Algorithm Based on Improved YOLOv8s

1
School of Mechanical and Automotive Engineering, Guangxi University of Science and Technology, Liuzhou 545006, China
2
Guangxi Collaborative Innovation Centre for Earthmoving Machinery, Guangxi University of Science and Technology, Liuzhou 545006, China
3
Guangxi Electrical Polytechnic Institute, Nanning 530007, China
*
Authors to whom correspondence should be addressed.
Appl. Sci. 2024, 14(24), 11741; https://doi.org/10.3390/app142411741
Submission received: 5 November 2024 / Revised: 6 December 2024 / Accepted: 12 December 2024 / Published: 16 December 2024
(This article belongs to the Topic Computer Vision and Image Processing, 2nd Edition)

Abstract

The road environment of open-pit mines is complex and unstructured. Unmanned construction machinery driving faces huge challenges. Improving the accuracy and speed of obstacle detection during driving is of great significance to ensuring the safety of mine automation construction and improving the efficiency of overall unmanned operations. In view of the fact that the current obstacle detection algorithm struggles to strike a balance between high precision and real-time performance, and there are problems such as difficulty in model deployment or unsuitability for practical applications, a lightweight open-pit mine driving obstacle detection algorithm based on improved YOLOv8s is proposed, which is committed to improving the driving safety of unmanned engineering machinery in open-pit mines. In order to enhance the ability of the backbone to capture features, the idea of the guidance module (CGBlock) of contextual information is introduced to construct a new CGC2f module; the efficient squeeze excitation (ESE) attention mechanism is embedded in the feature fusion layer to make the model pay more attention to the channels containing important feature information; in order to enhance the model’s learning ability for obstacles of different sizes in the open-pit mine, a more suitable dynamic head network (DyHead) is used at the output end; in order to further improve real-time performance, the layer-based adaptive amplitude pruning (LAMP) score algorithm is used to prune redundant weight parameters. To verify the effectiveness of the algorithm in this paper, an experimental verification is carried out on the constructed open-pit mine driving obstacle dataset. The results show that compared with YOLOv8s, the mAP50 of this algorithm reaches 95.3%, the detection speed is increased by 40.2%, the model parameters are reduced by 71.2%, and the calculation amount is reduced by 73.7%. It meets the requirements of real-time and high-precision obstacle detection in open-pit mine driving and provides technical support for smart mine driving.

1. Introduction

With the rapid development of intelligent technology, traditional mines have transformed into smart mines and unmanned driving technology has gradually been applied to open-pit mines [1]. However, when unmanned engineering machinery is driving on unstructured roads in open-pit mines, it must not only avoid pedestrians, cars and other engineering machinery (mine trucks, loaders, excavators, etc.) but also potholes and falling rocks. These obstacles pose great safety hazards to open-pit mine driving and can result in collisions, vehicle entrapment, rollovers, property losses and threats to personnel safety [2]. Therefore, it is crucial to study the accuracy and real-time performance of obstacle detection in open-pit mines, which is directly related to the safety and efficiency of mine operations.
Most of the existing obstacle detection methods in engineering applications rely on laser radars to analyze the local features of the target to achieve the detection purpose. For example, Shang et al. used multi-laser radars and combined features to fuse two 32-line radar point clouds for unmanned driving in a wild environment to achieve better negative obstacle detection effects [3]; Peng and his team proposed an underground mine tunnel obstacle detection method based on a three-dimensional laser radar, citing the idea of a region growing algorithm combined with RANSAC to ensure driving safety during transportation [4]; Li et al. proposed a cross-modal fusion detection method of radar point cloud information and visual information, which suppressed irrelevant information in the radar point cloud and improved the detection accuracy of people, bicycles and motorcycles in autonomous driving [5]. Considering the poor robustness and generalization of the above radar-based obstacle detection methods, as well as the difficulty in achieving real-time data transmission, they are not suitable for complex open-pit mining scenarios.
In contrast, deep learning-based image processing technology has demonstrated advantages in many fields due to the powerful feature learning ability and adaptability of convolutional neural networks [6]. Chen et al. [7] proposed a multi-scale 3D detection method based on disparity clustering, which enhanced the detection of objects in traffic road environments, such as long distances, small sizes, and occlusion. Xiao et al. used the improved Tiny-Yolov3 model to detect obstacles in the driving process of mining trucks in a mine environment. Although the detection speed was slightly reduced, the detection accuracy was significantly improved [8]; He et al. detected obstacles for unmanned driving in foggy weather and achieved a high recall rate and mAP by fusing features based on YOLOv3 [9]; Chung et al. [10] proposed an algorithm based on Mask R-CNN combined with the Retinex image enhancement algorithm to detect whether there are fallen rocks and potholes in front of the moving vehicle, reducing the false detection rate; Zhang et al. [11] tracked and counted mine vehicles based on the YOLOv5 target detection algorithm with a high recognition rate. Chen et al. [12] analyzed and classified traffic monitoring from a macro and micro perspective and provided a more accurate basis for anomaly detection and traffic prediction based on the understanding of traffic semantics. An et al. [13] proposed a cascade attention mechanism. They designed a cascade attention feature enhancement module for traffic sign recognition in complex application scenarios, which not only achieved lightweight characteristics but also enhanced the model recognition efficiency and robustness. However, in the research on obstacle detection in open-pit mines, it is difficult to strike a balance between real-time and accuracy (either the detection accuracy is high, but the model is large, or the model is super lightweight, but the detection accuracy is too low). There are even fewer methods that can truly meet high detection accuracy and be deployed on mobile terminals. Moreover, most methods detect fewer obstacles, and it is difficult to ensure the robustness of the algorithm in practical applications.
Therefore, this paper analyzes the unstructured road environment and harsh working conditions of open-pit mines and studies a lightweight open-pit mine driving obstacle detection algorithm suitable for deployment, targeting common obstacles in the driving process of unmanned engineering machinery. The main contributions are as follows:
(1)
In this paper, we construct an open-pit mine driving obstacle dataset and propose an obstacle detection method that takes into account both high precision and real-time performance. This method provides technical support for smart mine driving.
(2)
We propose an improved YOLOv8s lightweight obstacle detection network. The lightweight context guidance block strengthens the connection between local features and global context features while reducing the number of parameters and calculations. The efficient squeeze-incentive attention mechanism enhances the feature fusion capability and reduces the missed detection rate. A more suitable dynamic head network improves the network model’s perception ability.
(3)
We use a pruning score algorithm based on layer adaptive amplitude to prune the improved model, reducing parameter redundancy and improving the network model’s detection speed.

2. YOLOv8s Network Model

YOLOv8s is made up of three components. In the backbone part, the C2f and SPPF modules make up the primary core. The C2f is based on the CSP [14] (Cross Stage Partial) idea. In the compression stage, the input feature map is reduced in dimension through convolution operations to reduce the amount of calculation. In the expansion stage, the feature map is restored to its original size through convolution and upsampling operations, and feature fusion is performed, which additionally guarantees the efficacy of obtaining features while also lowering the computational burden. The SPPF module can strengthen the model’s capacity to obtain features. The neck network uses the PAFPN [15] idea to improve the integration of information about features of various scales. The head network uses the same decoupling head as YOLOX [16], which decomposes the target detection task into multiple independent subtasks. Each subtask is responsible for predicting a bounding box of a scale so that the network can focus more on the feature information of each scale and improve the accuracy of target detection. In addition, it adopts the Task-Aligned Assigner [17] positive sample assignment strategy to improve the alignment performance of the model. It uses VFL Loss [18] (Vari Focal Loss) as the classification loss function and a combination of DFL Loss [19] (Distribution Focal Loss) and CIOU Loss [20] as the regression loss function to improve the model’s accuracy and overall performance of the model in object detection. Its network model is displayed in Figure 1.

3. Improved YOLOv8s Network Model

In order to ensure the safety of unmanned engineering machinery during driving and improve the accuracy and speed of obstacle detection, a lightweight obstacle detection network model was proposed based on the YOLOv8s network model. Figure 2 depicts its network architecture. The main improvements are as follows:
(1)
The Context-Guided Block (CGBlock) is introduced into the C2f module of the backbone network to form a new module, CGC2f, which improves the feature extraction capability, diminishes the amount of calculation, and achieves an initial lightweight model.
(2)
The efficient squeeze excitation (ESE) attention mechanism is embedded in the neck network, enabling it to better focus on channel information containing important features.
(3)
The DyHead network is introduced to improve the network model’s performance in identifying objects of various dimensions, intricate backgrounds, and small target obstacles by combining the three attention mechanisms of scale, space and task.
(4)
The improved model is more lightweight, and the channel pruning strategy is used for pruning to reduce redundant parameters and improve the real-time detection rate.

3.1. CGC2f Module

In the actual open-pit mine environment, the location distribution of obstacles and the complex background often make it easy to ignore the relationship between local information, surrounding information and global information when detecting obstacles, which leads to errors and missed detection in a detection task. Therefore, a Context-Guided Block (CGBlock [21]) is introduced. This module augments a model’s capacity to obtain features. It decreases the number of parameters and calculations to achieve lower storage and higher calculation speed, thereby improving the efficiency of the obstacle detection model.
GBlock consists of four main components: local feature extractor F l o c , context feature extractor F s u r , joint feature extractor F j o i , and global feature extractor F g l o , as shown in Figure 3. The processing flow of CGBlock can be divided into two main steps. In the first step, the role of F l o c and F s u r is to learn local features and their corresponding context features. Among them, F l o c is defined as a 3 × 3 standard convolution layer, which is responsible for extracting local features from eight adjacent feature vectors, reflected in the green area in Figure 3a. The local features here play a key role in accurately identifying the details of obstacles, such as the specific shape contours and texture features of people or construction machinery, and can provide a basic basis for subsequent accurate judgment of the obstacle type. At the same time, F s u r is set as a 3 × 3 extended convolution layer. Due to its large receptive field, it can effectively capture the surrounding context features. The relevant area is marked in orange in Figure 3b. This surrounding context feature covers information such as the relative position relationship between obstacles and surrounding objects, spatial distribution, etc. For example, in an open-pit mine scene, this includes the relative position of construction machinery and the surrounding scattered ore, the position of people relative to the construction machinery, etc. This information helps the model understand the local environment where the obstacle is located so as to better locate and distinguish different obstacles in complex scenes. Therefore, F j o i generates joint features by integrating the outputs of F l o c and F s u r . Subsequently, F j o i is used as a connection layer and is processed by batch normalization (BN) and parameterized PReLU. This step not only makes the data distribution more stable but also enhances the expressiveness of the joint features through the nonlinear transformation of PReLU, making it more adaptable to subsequent processing steps.
In the second step, F g l o is responsible for extracting global context to further enhance the joint features. The global context is treated as a weighted vector and applied to feature channels to refine joint features, highlight useful information, and suppress irrelevant information. This global context information includes the entire macroscopic features of the sensor collection content, such as the overall obstacle distribution, the visual feature differences in different obstacle sizes (construction machinery, pedestrians, potholes, etc.), the possible impact of background structure information on obstacle detection, etc. Then, a multi-layer perceptron is used to further extract the global context, and through the deep feature extraction capability of the multi-layer perceptron, more representative and discriminative global feature information is mined. F g l o aggregates the global context of the red area in Figure 3c through a global average pooling layer and then further extracts the global context through a multi-layer perceptron. Finally, the joint features are combined with the extracted global context using the scaling layer to complete the refinement process of F g l o . After integrating the global context information, the joint features can more accurately focus on key information related to obstacle detection based on the overall scene features, effectively improving the obstacle recognition performance of the model on unstructured roads in open-pit mine environments. For example, when faced with multiple obstacles near and far, the model can adjust its focus on local and peripheral features based on global feature information, thereby more stably identifying obstacles.
Since the Bottleneck module in C2f in the original YOLOv8s backbone network structure bears the function of feature extraction and transmission to a certain extent, as the network depth increases, it may introduce more parameters, resulting in increased model complexity, which is not conducive to efficient operation in some resource-constrained scenarios (such as edge computing devices in open-pit mines for real-time obstacle detection). Based on the advantages of CGBlock in lightweight characteristics, improving computing resource utilization, and obtaining rich context information, CGBlock is embedded in C2f and the design is named CGC2f. Its structure is shown in Figure 4.

3.2. ESE Attention Mechanism

The obstacles encountered during driving in open-pit mines are complex and diverse. In the training of the network model, insufficient feature extraction leads to the problem of missed detection during detection. Therefore, it is necessary to boost the network model’s capacity for obtaining features. The SE (Squeeze-and-Excitation) mechanism of attention is a method to determine weights proposed by SENet [22], which mainly includes the Squeeze part and the Excitation part. In the Squeeze part, the global average pooling decreases the original feature map ( N ,   C , H , W ) to the dimension of ( N , C , 1 ,   1 ) , which is equivalent to compressing the feature map into one dimension. This step is to achieve the fusion of global context information; the Excitation part, where the compressed feature map ( N , C , 1 ,   1 ) is passed through the fully connected layer to predict the importance of each channel. This prediction process will pass through a Sigmoid activation function to standardize the predicted value between ( 0 ,   1 ) . In this way, the importance of different channels is weighed. Then, the weights will be applied to the corresponding channels of the previous feature map so that each channel is given weights of different importance, which is more conducive to feature extraction. The schematic diagram of the SE module is shown in Figure 5.
The scaling factor r (channel scaling parameter) is used in the SE module. Although it reduces the computational complexity of the model to a certain extent, it reduces the module’s ability to extract weights, as shown in Figure 6a. In the CenterMask [23] algorithm, it is noted that the two fully connected (FC) layers of the SE module need to be compressed when processing the channel dimension. In the first FC layer, the number of channels of the input feature is reduced from C to C / r , while the second FC layer must return the number of channels to C . The procedure will result in information loss. The ESE (Effective Squeeze and Extraction) module replaces the original two FC layers with a single FC layer with a channel number of C in order to overcome this issue and prevent the loss of channel information. Figure 6b displays the schematic diagram for the ESE module.

3.3. DyHead Module

Driving in open-pit mines involves many obstacles, such as engineering vehicles (loaders, excavators, mine cars, etc.). The sizes of these obstacles are very different from those of pedestrians, falling rocks and other obstacles. In addition, at different angles, when the camera captures obstacles, they may present significantly different shapes and positions. In response to the above challenges, the head network of the obstacle detection model needs to have a certain spatial perception ability. The original detection head of YOLOv8 adopts a single-scale prediction structure, which cannot handle multi-scale targets well. At the same time, it lacks a global vision. In addition, the prediction head has a small number of parameters, which makes it difficult to deeply mine the spatial structure information in the features, thus bringing certain limitations to multi-scale obstacle detection. The DyHead (Dynamic Head) module [24] can perceive size, task, and space and is designed to improve the model’s detection performance for targets of different scales, shapes, and small objects in complex environments. This module can dynamically adjust the weights of each feature layer to effectively extract multi-scale features, enhance the fusion of contextual information, and thus better identify multi-scale obstacle targets.
Therefore, the DyHead module is presented to enhance feature representation learning and optimize the connection between features at various levels and goal sizes. Specifically, in the detection layer, given a three-dimensional feature tensor F R L × S × C , its attention calculation Formula (1) is as follows:
W ( F ) = π C ( π S ( π L ( F ) · F ) · F )
In the formula, the input three-dimensional tensor L × S × C is represented by F. The scale-aware attention module, space-aware attention module, and task-aware attention module are represented by π L , π S , and π C , respectively.
π L , π S and π C act on L , S and C dimensions, respectively, to expand the receptive field. As shown in Figure 7, these three modules are applied to the head detection network. Multiple DyHeads can be stacked and used. Considering factors such as model performance and computational efficiency, only one DyHead module is used. Experimental comparisons have shown that using one Dyhead module can enable the detection head to perform better.

3.4. Pruning Algorithm Based on LAMP Score

Deep neural network models are used on mobile devices and suffer from issues including poor real-time performance and bad detection speed, as they often require a large amount of processing power and storage space. With the goal of meeting real-time obstacle detection while driving in open-pit mines, the redundant weights of the model are pruned to reduce the number of model parameters and the amount of calculation as much as possible while meeting the accuracy requirements. The pruning algorithm based on the LAMP (Layer-Adaptive Magnitude-based Pruning) score is a new optimization method for neural network models. By calculating the square of the amplitude of each target connection weight and normalizing it to the sum of the square amplitudes of all “survival weights” in the same layer, the LAMP score for every connection is obtained [25], as shown in Formula (2).
S ( u ;   W t ) = W t u 2 v u W t v 2
where W t represents the weight, u and v represent the index for the mapping of the weight, in order of ascending. W t u represents the weight item matching index u , and W t v reflects the weight size of all other connections in the same layer.
First, the pruning method, based on the LAMP score, identifies the connections with lower weight amplitudes and less contribution to the model’s performance. Then, it prunes those connections whose LAMP scores are lower than the threshold according to the preset threshold. This method can adaptively select the connections that need to be cut according to the weight distribution of each layer, thereby maintaining the actual performance of the model as much as possible while reducing the model parameters and the required amount of calculation and achieving model compression and optimization. In Figure 8, the pruning method is shown.
The following are the primary stages of LAMP: (1) use the improved YOLOv8s to train to obtain the weight file and perform initialization operations; (2) the square of the weight amplitude of the connection is calculated, and it is normalized to the total of the square weight amplitudes of all “surviving weights” within the identical layers to obtain the LAMP score; (3) based on the LAMP score, identify and prune low-scoring connections and select a corresponding number of connections for pruning according to the set global sparsity criterion; (4) remove the selected connections from the model, that is, set their weights to zero; (5) retrain the pruned model to restore the performance that may be lost during pruning; (6) performance evaluation to ensure that the requirements are met.

4. Experimental Design and Results Analysis

4.1. Experimental Environment Configuration

The experimental environment was conducted under the Windows 11 64-bit operating system. The detailed running configuration is shown in Table 1. During the model training process, the optimizer selected SGD (stochastic gradient descent), the learning rate selected the default 0.01, the momentum was also set to the default 0.937, and 8 was chosen as the batch size considering the computer’s video memory. The number of training rounds is 400.

4.2. Dataset Construction

An obstacle dataset was constructed for common objects that may be encountered by unmanned construction machinery during driving in complex working conditions in open-pit mines. The dataset is mainly collected from the Internet and field cameras. Seven types of targets, including cars, loaders, excavators, mining trucks, pedestrians, falling rocks, and potholes, were selected for research experiments. These targets are likely to cause risks of collision, rollover, jamming, casualties, etc., during the driving of unmanned engineering machinery. In order to improve the robustness of the dataset, the acquired images are cleaned, and duplicate, blurred, formatted, and overly similar images are deleted. The cleaned images are used as the final obstacle dataset. Figure 9 displays a few photos from the dataset.
The seven different types of obstacles in the Yolo format dataset images were annotated using the image annotation tool LabelImg v1.8.6. The annotation data were saved in a Txt file that corresponded to the image name. A training set, validation set, and test set were created using the annotated dataset photos and the Txt files containing the annotation data in an 8:1:1 ratio. In order to simulate the harsh environment of a real open-pit mine and enhance the dataset’s capacity for generalization, rain noise, fog noise, Gaussian noise, and geometric transformation (flip, rotation, random cropping) were added to the training set images for enhancement processing. The specific dataset construction process is shown in Figure 10.
After processing, the obstacle dataset has a sum of 7242 pictures. In the annotation results, the quantity of annotation boxes of the seven obstacle categories is slightly different, as shown in Figure 11. Since people are distributed in many types of work in open-pit mines and falling rocks are also ubiquitous and widely distributed, the number of annotations is large, but the overall annotations are relatively balanced, guaranteeing that the quantity does not significantly change from each category in the sample, thereby balancing the data distribution between categories, strengthening the dataset’s robustness by preventing the model from focusing more on some categories while neglecting others.

4.3. Evaluation Indicators

In YOLOv8, there are many performance indicators for evaluating network models. We used P , R , and m A P to evaluate the ability of unmanned construction machinery to identify obstacles ahead during driving. Precision P refers to the proportion of objects that are actually obstacles among all objects marked as obstacles by the system. The model’s false alarm rate drops with increasing P . Recall R refers to the proportion of obstacles that are successfully detected by the system among all obstacles that actually exist. The model’s missed detection rate decreases with increasing R . A P pertains to the average precision of a single category, and its value can be represented by H A . m A P is the average value of A P of multiple categories. The higher the m A P , the better the model performance. Its value can be represented by H m A P . In addition to precision, detection speed is also an important performance indicator in target detection applications. F P S refers to the amount of frames handled in a second. It measures the speed at which the system processes image data, that is, how many frames of images the system can detect and analyze per second. Its value can be represented by V F P S . Equations (3)–(7) display the calculation formulas.
P = T P T P + F P
R = T P T P + F N
H A = 0 1 P R d R
H m A P = 1 n i = 0 n P A i
V F P S = 1 t
where T P is a measure of how many positive samples the model has successfully detected; TN denotes the number of negative samples that the model has accurately recognized; FP represents the number of samples that are mistakenly recognized as positive; F N represents the number of samples that are mistakenly recognized as negative samples; n represents the overall quantity of categories; t is a measure of how long it takes to process a picture.

4.4. Experimental Results and Analysis

4.4.1. Improved YOLOv8s Results and Analysis

To verify the effectiveness of a network that is lightweight after C2f is replaced by CGC2f, various mainstream backbone networks are introduced on the basis of YOLOv8s. GhostNetV2 [26], MobileNetV3 [27], and FasterNet [28] are used to replace the backbone network of YOLOv8s as the lightweight YOLOv8s model and compared with the improved CGC2fNet model in this paper. The CSPDarkNet model is the initial backbone network model of YOLOv8s. In the table, GFLOPs mean floating point operations per second measured in giga. Model complexity increases with GFLOPs.
Table 2 shows that with the addition of the GhostNetV2 network, although the network’s GFLOPs are reduced by 10.4 and the precision is improved, the quantity of pictures processed in a second is reduced by 29FPS, mAP50 is reduced by 0.1%, and the recall rate is reduced by 1.3%. This is because it increases memory access and adds additional data operations, resulting in a reduction in the speed of image processing per second. After adding the FasterNet network, FPS was significantly improved, but mAP dropped by 0.2%, and recall dropped by 1.4%. Although it introduced Partial Convolution (PConv), it reduced the amount of calculation by processing only part of the input channel. Memory access may result in the loss of some spatial features. After adding the MobileNetV3 network, although the calculation amount is reduced, the FPS decreases, and the memory access increases like the GhostNetV2 network. For the improved CGC2f module, GFLOPs are reduced by 5.3, mAP is increased by 0.4%, the quantity of images handled per second is increased by 30.5FPS, and detection speed and accuracy are improved. Through analysis, the improved CGC2f module improves throughput while reducing computational complexity, memory access and computational latency, balancing lightness and model performance.
In order to improve the accuracy of the network model further, the ESE attention mechanism module has been added to the improved model. Adding the module will boost the amount of network layers and parameters. For the purpose of removing the effects of adding the ESE module on the training accuracy, the ESE module is replaced by the CA, CBAM modules and SE modules, respectively, while keeping other conditions unchanged, and ablation experiments are performed. Table 3 presents the experimental findings, where Layers are the number of network layers, and Parameters are the number of network parameters.
According to Table 3, compared with other attention mechanism modules, the ESE module only introduces a small number of layers, parameters and calculations. Compared with CGC2fNet without the ESE module, P is improved by 1.3%, R is improved by 1.1%, and mAP is improved by 0.9%, which is the best improvement effect. In terms of performance, compared with SE, ESE is lightweight, reduces overfitting, accurately captures features, and is more accurate in detecting obstacles of similar appearance in open-pit mines. Compared with CBAM, in the open-pit mine scenario, ESE has slightly better accuracy and an outstanding recall rate and is more sensitive to occlusion or small obstacles. Compared with CA, ESE allocates channel weights accurately and has higher detection indicators for various types of obstacles. In terms of computational complexity, CBAM has a large amount of computation due to dual-channel processing, while ESE only has channel operations and a lightweight fully connected layer, which is actually lower and runs efficiently on mine edge devices. Compared with SE, although there are slightly more parameters, the optimization of the fully connected layer consumes less computing resources and processes data quickly. Compared with CA, ESE has a superior architecture and uses fewer resources to achieve better performance, meeting the real-time detection needs of open-pit mines. The open-pit mine environment is complex and changeable. ESE has shown strong adaptability with its intelligent learning and channel feature allocation capabilities. Compared with SE, ESE is lighter and more efficient. While improving detection capabilities, it closely meets the requirements of open-pit mine detection for accuracy and real-time performance. Compared with CBAM, ESE can focus on key information, enhance the perception of complex shape and texture obstacle features, and effectively avoid the redundancy caused by CBAM’s spatial attention. Compared with CA, ESE can better capture features and adapt to environmental changes, improve generalization ability and detection accuracy, and is more applicable in open-pit mine obstacle detection systems. In summary, after the introduction of the ESE mechanism, the model has significant advantages in performance, computational complexity, and applicability in open-pit mine obstacle detection, which has effectively promoted the obstacle detection task in open-pit mine automation operations.
The amount of DyHead modules connected in series determines the efficiency of the detection. Combined with the effect on the performance evaluation of the model and the computational cost, a comparative experiment was carried out on the stacking of various amounts of DyHead modules in series. As shown in Table 4, the more DyHeads are connected in series, the greater the computational complexity of the model, resulting in a gradual decrease in the model’s performance. Therefore, only one DyHead module is connected in series for prediction output.
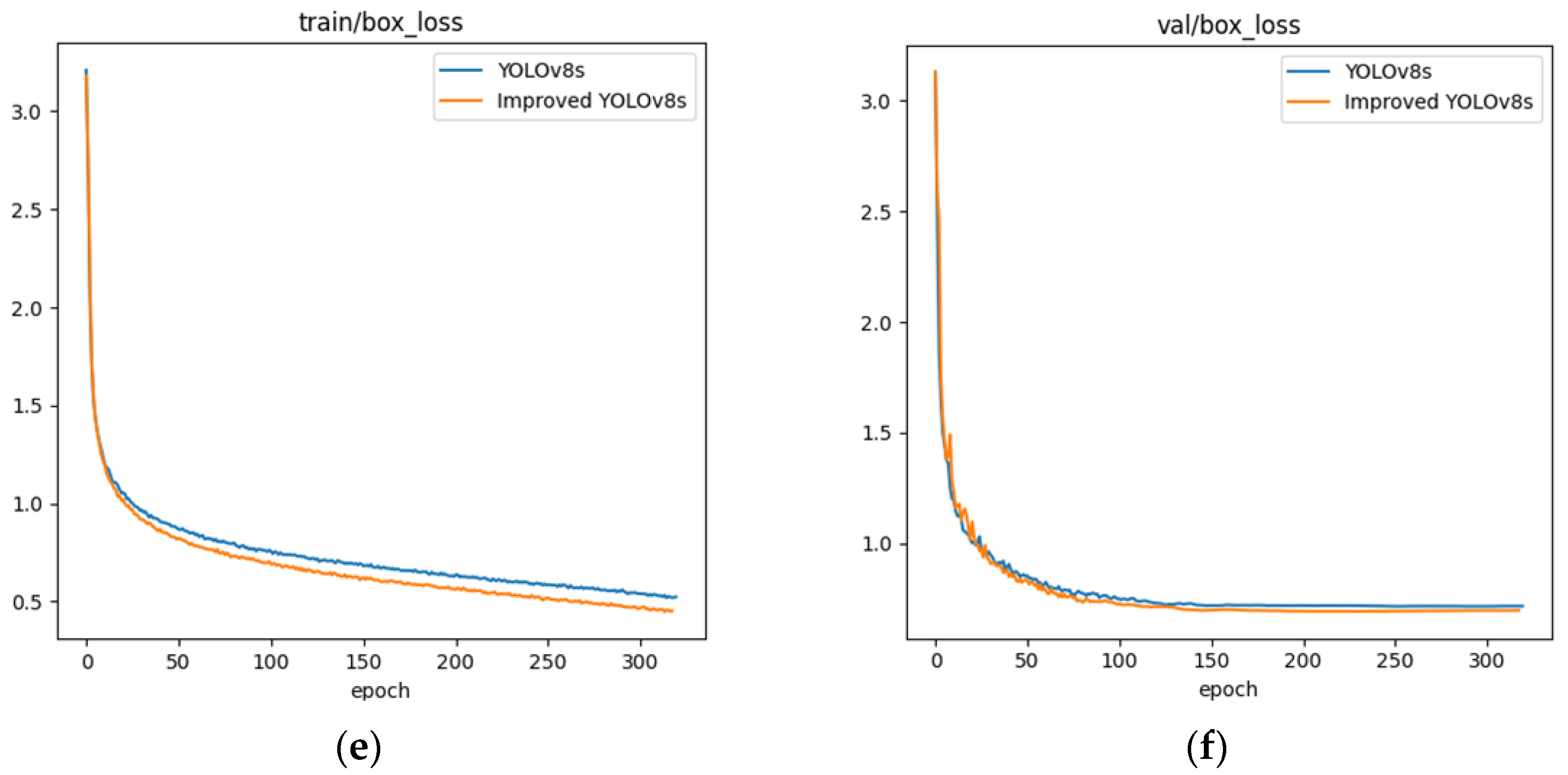
To more comprehensively reflect the rationality of the improved model, the network’s performance in obstacle detection during open-pit mine driving is measured by analyzing the precision, recall, mAP50, mAP50-95, and bounding box regression loss of the model before and after the improvement. Figure 12 displays the metrics for the model performance. The mAP50, mAP50-95, and recall of the improved model are higher than those of YOLOv8s. As the number of training rounds increases, the bounding box loss decreases rapidly. The improved model shows a faster learning speed, and its box_loss value decreases more steeply, which shows that the improved model has a strong ability to capture and express bounding box annotation information.

4.4.2. Pruning Results and Analysis

The improvement has improved the accuracy of the network and reduced the number of network parameters and calculations. However, due to the enhanced perception of the head network, the amount of memory access has increased. In order to eliminate this effect and improve the pace at which network obstacle detection, the improved YOLOv8s is pruned using the LAMP score method. Before pruning, it is necessary to perform a layer-skipping operation because there may be some problems in the network that cannot be pruned.
The improved network’s output layer must be skipped because it is in charge of transforming the feature map processed by many layers into the final detection result, which includes the target’s location, category and confidence. If it is pruned, the output information will be lost, so this layer needs to be skipped. Experiments have found that when the CGC2f module of the improved backbone network is pruned, an error will occur when it reaches a certain layer. Since the CGC2f module is used for feature extraction and conversion, it contains convolutional layers, Bottleneck modules, etc., to extract the features of the input data and perform corresponding processing. If it is pruned, the stability of the structural extraction features will be destroyed, resulting in reduced performance. Therefore, it is necessary to perform a skip operation on this layer. For the ESE attention module, the pruning process is made easier and more efficient by simplifying the structure, reducing the computational burden, allowing adaptive feature extraction, and optimizing the model size, so there is no need to perform a skip operation on the ESE module.
After completing the preparatory operations before pruning, the network is pruned to different degrees by adjusting the Speed-up parameter. The pruning effect is shown in Table 5. Speed-up indicates the improvement ratio of the speed at which the pruned model is compared with the model before pruning. When Speed-up is 1, it indicates the model without pruning.
As shown in Table 5, when Speed-up is 1.5 and 2, the speed increases by 17.7FPS and 34.4FPS, respectively, and the speed increase effect is not obvious. When the Speed-up is 2.5, the speed increases by 42FPS, but compared with a Speed-up of 3, mAP decreases more, and FPS is lower. When Speed-up is 3.5, 4, 4.5, and 5, although FPS increases, the obstacle detection accuracy is greatly affected. In summary, when the Speed-up is 3, the speed increases by 76.9FPS, and mAP decreases by 0.3% compared with before pruning, which significantly boosts speed while guaranteeing obstacle detection accuracy. Finally, the pruning operation corresponding to a Speed-up of 3 is selected. As shown in Figure 13, the layers of the pruning channel when Speed-up is three under the LAMP strategy are shown in the display diagram before and after pruning, which can intuitively show the redundancy of the network structure.
In order to compare the performance of the model before and after pruning, the PR curve (Precision–Recall Curve) is further analyzed. The PR curve is obtained by connecting the P-value and R-value at different confidence levels with the recall rate as the horizontal axis and the precision rate as the vertical axis. The larger the area enclosed by the curve and the coordinate axis, the better the surface model performance. As shown in Figure 14, the area enclosed by the PR curve and the coordinate axis of the model before and after pruning is basically unchanged, and the accuracy of each category of obstacles fluctuates slightly, indicating the superiority of the LAMP method with a Speed-up of 3.

4.4.3. Final Model Performance Analysis

To verify the final model’s performance, mAP50, FPS, Parameters, and GFLOPs are used to evaluate it, and Table 6 displays the experiment’s outcomes. First, the lightweight CGC2f network, ESE attention mechanism network, and DyHead network are added to the original YOLOv8s network model and the performance of the network is evaluated; on the basis of adding the CGC2f network, the ESE attention mechanism and the DyHead network are added in turn and their detection performance is tested; finally, the LAMP method with a Speed-up of 3 is used to prune it, and the detection performance after pruning is tested.
As shown in Table 6, after adding the lightweight CGC2f to the original YOLOv8s network, the network speed increased by 29.5FPS, the model complexity decreased by 5.3GFLOPs, the number of parameters decreased by 16.2%, and the mAP50 increased by 0.4%, achieving the goal of lightweight, which helps unmanned engineering machinery to quickly and accurately detect various obstacles in open-pit mine environments. Although the speed was reduced by 2.5FPS when the ESE module was added alone, the mAP50 was increased by 0.6%. In open-pit mine scenes, there is a large amount of complex visual information, such as ore textures under different lighting conditions, obstacles of different colors and shapes, etc. The ESE module learns and assigns channel attention weights to make the model pay more attention to feature information that is important for obstacle detection, thereby improving detection accuracy. Although this requires additional computing resources and leads to a decrease in speed, in the case of some obstacles with colors similar to the surrounding environment (such as ores scattered on the road) in driving obstacle detection, a higher mAP can ensure that these difficult-to-distinguish targets are accurately identified, even if this may slightly slow down the overall detection speed. For open-pit mine driving safety, accurate identification of such potentially dangerous obstacles is crucial to avoiding engineering accidents, so this trade-off is worthwhile. After adding the DyHead module alone, the perception ability of the head network is enhanced, the structural complexity is increased, the memory access is increased, the FPS will decrease, but the mAP50 will increase by 1%. The DyHead module is mainly dedicated to enhancing the perception ability of the head network to better handle the rich and diverse target scales and complex features in the open-pit mine scene. There are objects of different scales in the mining environment, ranging from large engineering machinery to tiny pedestrians and falling rocks. Through its unique structural design, the DyHead module can effectively integrate multi-scale feature information and improve the model’s detection ability for obstacles of different scales. For example, when detecting large transport vehicles at long distances and people walking on the road at close range, the DyHead module can play an important role and significantly improve detection accuracy. Although it brings about an increase in structural complexity and an increase in memory access requirements, resulting in a decrease in speed, in complex detection scenarios such as open-pit mines that require high target scale diversity, accurate detection of various obstacles plays an irreplaceable role in ensuring driving safety. Especially in some areas with extremely high detection accuracy requirements, such as near the loading and unloading area of the mine, even if the vehicle speed is slightly reduced, it can ensure accurate identification of obstacles of various scales, thereby avoiding safety accidents caused by misjudgment or missed judgment. Therefore, the DyHead module plays an indispensable role in the model. After adding the CGC2f lightweight network, the ESE module and the DyHead module were added, and the mAP50 increased by 1.4%, and the obstacle detection accuracy was improved, but the speed dropped from 207.3FPS to 172.4FPS. In the actual application of obstacle detection in open-pit mines, such a combination is reasonable and necessary. The complexity of the open-pit mine environment requires the model to not only be able to quickly detect obstacles but also to ensure the accuracy of detection. The combined module performs well in improving the detection accuracy and can more accurately identify obstacles of different types, scales and environmental conditions. For example, when there is large equipment, scattered ores, pedestrians, etc., on the mine road at the same time, the combined module can fully and accurately detect these targets, providing a more reliable decision-making basis for the safe driving of vehicles. Although the speed has decreased, this trade-off is acceptable in some scenarios where the accuracy requirements are extremely high, and the speed requirements are relatively less stringent, such as vehicle detection in specific operating areas inside mines. At the same time, we are also aware of the potential problems of latency-sensitive systems (such as high-speed open-pit mining vehicles), so we subsequently used the LAMP method to optimize the model, which greatly improved the speed while ensuring accuracy (compared with the original YOLOv8s model, the model complexity was reduced by 21GFLOPs, the speed was increased by 71.5FPS, and the mAP50 was increased by 1.1%), so as to better meet the comprehensive requirements of accuracy and speed in different driving scenarios in open-pit mines.
Under the same experimental conditions, the proposed algorithm was compared with other target detection algorithms, and the comparison results are shown in Table 7. The proposed algorithm was compared with the two-stage detector Faster R-CNN, and both showed higher accuracy, but the two-stage process added additional computational burden. In terms of single-stage detectors, RetinaNet [29] has good small object detection performance but has high computational cost during training and inference. SSD [30] has better detection results, but its speed is relatively slow due to its multi-scale prediction and the generation of a large number of prediction boxes. The performance of the proposed algorithm was compared with the current YOLO series network. YOLOv4-tiny [31] has a significant advantage in terms of calculation amount, but its feature extraction network has relatively few layers, and its ability to express complex features is limited. It is difficult to fully learn sufficiently rich and detailed feature information, which makes it prone to bias when distinguishing similar targets, resulting in a high miss detection rate. Although YOLOv3-tiny, YOLOv7-tiny, and YOLOv8n show high inference speeds, their recall rate and accuracy are lower than the proposed algorithm. For YOLOv3-tiny, in order to achieve lightweight and high inference speed, the network is over-simplified, and the feature extraction layer is reduced, resulting in insufficient learning of complex target features in open-pit mines. YOLOv7-tiny has been optimized to achieve good inference speed, but the feature fusion could be better. Although YOLOv8n takes into account both speed and performance, it needs to be more accurate in configuring the depth and width of the feature extraction network. Compared with YOLOv5s and YOLOv8s, the proposed algorithm has fewer parameters, lower computational complexity, and more obvious accuracy improvement. The YOLOv9-s model [32] was adjusted to the same depth and width coefficients according to the YOLOv8n yaml file configuration so that its parameter volume and computational complexity reached a similar scale and was named YOLOv9n. Experiments show that although YOLOv9n has certain advantages over YOLOv8n, its inference speed is significantly lower than that of similar detectors. To sum up, the proposed algorithm has higher accuracy, smaller parameters, smaller calculation amounts, and faster model inference speed. It can provide high-precision detection while meeting the needs of real-time detection.
In order to more intuitively verify the effect of the proposed method, Figure 15 shows the detection effects of different algorithms. Although Faster R-CNN and SSD show high detection accuracy, there are also missed detection phenomena. RetinaNet has good detection of small targets, but there are false detections and missed detections. In addition, the above detectors have too much computational complexity and are not convenient to deploy on devices. Although YOLOv3-tiny has a good recall rate, there are false detections. YOLOv4-tiny, YOLOv5s, YOLOv7-tiny, YOLOv8n, YOLOv8s, and YOLOv9n all have missed detections. The proposed algorithm has a high obstacle detection accuracy, good recognition ability for small targets and surrounding occluded targets, and reduces the false detection rate and missed detection rate.

5. Conclusions

(1)
The aim of this paper was to address the issue of the difficulty in balancing the detection accuracy and speed of traditional obstacle detection algorithms. This paper proposes an improved YOLOv8s lightweight obstacle detection network model, which optimizes and improves the actual-time and accurate detection of obstacle detection during the driving of unmanned engineering machinery in open-pit mine environments. The improved CGC2f module was added to the YOLOv8s backbone to strengthen the context characteristic fusion and reduce the model calculation load. The ESE module was embedded in the neck to improve the model’s attention to key features. The DyHead module was used in the head to raise the model’s ability to perceive. Finally, the improved YOLOv8s network model was pruned using the LAMP algorithm to further reduce the redundancy of model parameters and improve the model’s detection speed.
(2)
Experiments were conducted on a constructed open-pit mine driving obstacle dataset. The findings demonstrated that the improved algorithm’s mAP50 reached 95.3%, an increase of 1.1% compared to the original network. At the same time, the number of model parameters decreased by 71.2%, the quantity of computation was lowered by 73.7%, and the FPS was increased by 40.2%. The algorithm can meet the real-time and accurate detection of obstacles during open-pit mine driving and is more conducive to deploying the model in the obstacle avoidance system of unmanned engineering machinery.
(3)
Although the model meets the requirements of real-time high-precision detection and is conducive to deployment on mobile terminals, the conditions in real open-pit mines are complex. Different degrees of light and dust will affect the detection effect. At the same time, there is interference from environmental changes and factors such as the vibration of the deployed equipment itself, which are uncontrollable. This poses a challenge to the computer vision algorithm model. In order to overcome these challenges, in the future, we will collect real open-pit mine environment sample data in different seasons, periods, and operating areas, covering light, dust, weather, and camera vibration parameters, build a dataset to train and verify the model, optimize its parameters and structure, and combine multi-sensor fusion technology to enhance adaptability to complex environments.

Author Contributions

Methodology, B.L. and W.X.; software, B.X.; resources, B.X. and H.Z.; data curation, Y.X. and W.Z.; writing—original draft preparation, B.X.; supervision, B.L. All authors have read and agreed to the published version of the manuscript.

Funding

This research was funded by the Guangxi Science and Technology Major Special Project, grant number AA23062077; Special Fund for Central Guidance of Local Science and Technology Development, grant number 2023PRJ0101; Guangxi Science and Technology Project, grant number AD22080042.

Institutional Review Board Statement

Not applicable.

Informed Consent Statement

Not applicable.

Data Availability Statement

The raw data supporting the conclusions of this article will be made available by the authors on request.

Conflicts of Interest

The authors declare no conflicts of interest.

References

  1. Dong, L.; Wang, X.; Liu, B.; Zheng, T.; Wang, Z. Information acquisition incentive mechanism based on evolutionary game theory. Wirel. Commun. Mob. Comput. 2021, 2021, 5525791. [Google Scholar] [CrossRef]
  2. Chen, L.; Xie, Y.; He, Y.; Ai, Y.; Tian, B.; Li, L.; Ge, S.; Wang, F.-Y. Autonomous mining through cooperative driving and operations enabled by parallel intelligence. Commun. Eng. 2024, 3, 75. [Google Scholar] [CrossRef]
  3. Shang, E.; An, X.; Wu, T.; Hu, T.; Yuan, Q.; He, H. Lidar based negative obstacle detection for field autonomous land vehicles. J. Field Robot. 2016, 33, 591–617. [Google Scholar] [CrossRef]
  4. Peng, P.; Pan, J.; Zhao, Z.; Xi, M.; Chen, L. A Novel Obstacle Detection Method in Underground Mines Based on 3D LiDAR. IEEE Access 2024, 12, 106685–106694. [Google Scholar] [CrossRef]
  5. Li, Y.; Zeng, K.; Shen, T. CenterTransFuser: Radar point cloud and visual information fusion for 3D object detection. EURASIP J. Adv. Signal Process. 2023, 2023, 7. [Google Scholar] [CrossRef]
  6. He, R.; Xiong, N.; Yang, L.T.; Park, J.H. Using multi-modal semantic association rules to fuse keywords and visual features automatically for web image retrieval. Inf. Fusion 2011, 12, 223–230. [Google Scholar] [CrossRef]
  7. Chen, J.; Wang, Q.; Peng, W.; Xu, H.; Li, X.; Xu, W. Disparity-based multiscale fusion network for transportation detection. IEEE Trans. Intell. Transp. Syst. 2022, 23, 18855–18863. [Google Scholar] [CrossRef]
  8. Xiao, D.; Shan, F.; Li, Z.; Le, B.T.; Liu, X.; Li, X. A target detection model based on improved tiny-yolov3 under the environment of mining truck. IEEE Access 2019, 7, 123757–123764. [Google Scholar] [CrossRef]
  9. He, Y.; Liu, Z. A feature fusion method to improve the driving obstacle detection under foggy weather. IEEE Trans. Transp. Electrif. 2021, 7, 2505–2515. [Google Scholar] [CrossRef]
  10. Chung, Y.-L.; Yang, J.-J. Application of a mask R-CNN-based deep learning model combined with the retinex image enhancement algorithm for detecting rockfall and potholes on hill roads. In Proceedings of the 2021 IEEE 11th International Conference on Consumer Electronics (ICCE-Berlin), Berlin, Germany, 15–18 November 2021; pp. 1–6. [Google Scholar]
  11. Zhang, K.; Wang, C.; Yu, X.; Zheng, A.; Gao, M.; Pan, Z.; Chen, G.; Shen, Z. Research on mine vehicle tracking and detection technology based on YOLOv5. Syst. Sci. Control Eng. 2022, 10, 347–366. [Google Scholar] [CrossRef]
  12. Chen, J.; Wang, Q.; Cheng, H.H.; Peng, W.; Xu, W. A review of vision-based traffic semantic understanding in ITSs. IEEE Trans. Intell. Transp. Syst. 2022, 23, 19954–19979. [Google Scholar] [CrossRef]
  13. An, F.; Wang, J.; Liu, R. Road traffic sign recognition algorithm based on cascade attention-modulation fusion mechanism. IEEE Trans. Intell. Transp. Syst. 2024, 25, 17841–17851. [Google Scholar] [CrossRef]
  14. Wang, C.-Y.; Liao, H.-Y.M.; Wu, Y.-H.; Chen, P.-Y.; Hsieh, J.-W.; Yeh, I.-H. CSPNet: A new backbone that can enhance learning capability of CNN. In Proceedings of the IEEE/CVF Conference on Computer Vision and Pattern Recognition Workshops, Seattle, WA, USA, 13–19 June 2020; pp. 390–391. [Google Scholar]
  15. Liu, S.; Qi, L.; Qin, H.; Shi, J.; Jia, J. Path aggregation network for instance segmentation. In Proceedings of the IEEE Conference on Computer Vision and Pattern Recognition, Salt Lake City, UT, USA, 18–22 June 2018; pp. 8759–8768. [Google Scholar]
  16. Ge, Z. Yolox: Exceeding yolo series in 2021. arXiv 2021, arXiv:2107.08430. [Google Scholar]
  17. Feng, C.; Zhong, Y.; Gao, Y.; Scott, M.R.; Huang, W. Tood: Task-aligned one-stage object detection. In Proceedings of the 2021 IEEE/CVF International Conference on Computer Vision (ICCV), Montreal, QC, Canada, 10–17 October 2021; pp. 3490–3499. [Google Scholar]
  18. Zhang, H.; Wang, Y.; Dayoub, F.; Sunderhauf, N. Varifocalnet: An iou-aware dense object detector. In Proceedings of the IEEE/CVF Conference on Computer Vision and Pattern Recognition, Virtual, 19–25 June 2021; pp. 8514–8523. [Google Scholar]
  19. Li, X.; Wang, W.; Wu, L.; Chen, S.; Hu, X.; Li, J.; Tang, J.; Yang, J. Generalized focal loss: Learning qualified and distributed bounding boxes for dense object detection. Adv. Neural Inf. Process. Syst. 2020, 33, 21002–21012. [Google Scholar]
  20. Zheng, Z.; Wang, P.; Liu, W.; Li, J.; Ye, R.; Ren, D. Distance-IoU loss: Faster and better learning for bounding box regression. In Proceedings of the AAAI conference on artificial intelligence, New York, NY, USA, 7–12 February 2020; pp. 12993–13000. [Google Scholar]
  21. Wu, T.; Tang, S.; Zhang, R.; Cao, J.; Cgnet, Y.Z. A light-weight context guided network for semantic segmentation. IEEE Trans. Image Process. 2020, 30, 1169–1179. [Google Scholar] [CrossRef] [PubMed]
  22. Hu, J.; Shen, L.; Sun, G. Squeeze-and-excitation networks. In Proceedings of the IEEE Conference on Computer Vision and Pattern Recognition, Salt Lake City, UT, USA, 18–22 June 2018; pp. 7132–7141. [Google Scholar]
  23. Lee, Y.; Park, J. Centermask: Real-time anchor-free instance segmentation. In Proceedings of the IEEE/CVF Conference on Computer Vision and Pattern Recognition, Seattle, WA, USA, 13–19 June 2020; pp. 13906–13915. [Google Scholar]
  24. Dai, X.; Chen, Y.; Xiao, B.; Chen, D.; Liu, M.; Yuan, L.; Zhang, L. Dynamic head: Unifying object detection heads with attentions. In Proceedings of the IEEE/CVF Conference on Computer Vision and Pattern Recognition, Virtual, 19–25 June 2021; pp. 7373–7382. [Google Scholar]
  25. Lee, J.; Park, S.; Mo, S.; Ahn, S.; Shin, J. Layer-adaptive sparsity for the magnitude-based pruning. arXiv 2020, arXiv:2010.07611. [Google Scholar]
  26. Tang, Y.; Han, K.; Guo, J.; Xu, C.; Xu, C.; Wang, Y. GhostNetv2: Enhance cheap operation with long-range attention. Adv. Neural Inf. Process. Syst. 2022, 35, 9969–9982. [Google Scholar]
  27. Howard, A.; Sandler, M.; Chu, G.; Chen, L.-C.; Chen, B.; Tan, M.; Wang, W.; Zhu, Y.; Pang, R.; Vasudevan, V. Searching for mobilenetv3. In Proceedings of the IEEE/CVF International Conference on Computer Vision, Long Beach, CA, USA, 16–20 June 2019; pp. 1314–1324. [Google Scholar]
  28. Chen, J.; Kao, S.-h.; He, H.; Zhuo, W.; Wen, S.; Lee, C.-H.; Chan, S.-H.G. Run, don’t walk: Chasing higher FLOPS for faster neural networks. In Proceedings of the IEEE/CVF Conference on Computer Vision and Pattern Recognition, Vancouver, BC, Canada, 18–22 June 2023; pp. 12021–12031. [Google Scholar]
  29. Ross, T.-Y.; Dollár, G. Focal loss for dense object detection. In Proceedings of the IEEE Conference on Computer Vision and Pattern Recognition, Honolulu, HI, USA, 21–26 July 2017; pp. 2980–2988. [Google Scholar]
  30. Liu, W.; Anguelov, D.; Erhan, D.; Szegedy, C.; Reed, S.; Fu, C.-Y.; Berg, A.C. Ssd: Single shot multibox detector. In Proceedings of the Computer Vision–ECCV 2016: 14th European Conference, Amsterdam, The Netherlands, 11–14 October 2016; pp. 21–37. [Google Scholar]
  31. Bochkovskiy, A.; Wang, C.-Y.; Liao, H.-Y.M. Yolov4: Optimal speed and accuracy of object detection. arXiv 2020, arXiv:2004.10934. [Google Scholar]
  32. Wang, C.-Y.; Yeh, I.-H.; Liao, H.-Y.M. Yolov9: Learning what you want to learn using programmable gradient information. arXiv 2024, arXiv:2402.13616. [Google Scholar]
Figure 1. YOLOv8s network structure.
Figure 1. YOLOv8s network structure.
Applsci 14 11741 g001
Figure 2. Improved YOLOv8s structure: the improved modules are highlighted in bold, where the red dashed box represents CGC2f, the orange dashed box represents CGBlock, and the green dashed box represents ESE.
Figure 2. Improved YOLOv8s structure: the improved modules are highlighted in bold, where the red dashed box represents CGC2f, the orange dashed box represents CGBlock, and the green dashed box represents ESE.
Applsci 14 11741 g002
Figure 3. CGBlock network structure: (a) When we only focus on the green color itself, it is difficult to classify the green region. (b) With the help of the surrounding environmental information (orange area), it is easier to identify the green region. (c) When we further consider the global context information (red area), we can classify the green region with higher confidence.
Figure 3. CGBlock network structure: (a) When we only focus on the green color itself, it is difficult to classify the green region. (b) With the help of the surrounding environmental information (orange area), it is easier to identify the green region. (c) When we further consider the global context information (red area), we can classify the green region with higher confidence.
Applsci 14 11741 g003
Figure 4. CGC2f module.
Figure 4. CGC2f module.
Applsci 14 11741 g004
Figure 5. SE module.
Figure 5. SE module.
Applsci 14 11741 g005
Figure 6. Comparison between SE module and ESE module: (a) SE module; (b) ESE module.
Figure 6. Comparison between SE module and ESE module: (a) SE module; (b) ESE module.
Applsci 14 11741 g006
Figure 7. DyHead module.
Figure 7. DyHead module.
Applsci 14 11741 g007
Figure 8. The LAMP method.
Figure 8. The LAMP method.
Applsci 14 11741 g008
Figure 9. Partial dataset images.
Figure 9. Partial dataset images.
Applsci 14 11741 g009
Figure 10. Dataset construction flowchart.
Figure 10. Dataset construction flowchart.
Applsci 14 11741 g010
Figure 11. Distribution of the number of label boxes in each category.
Figure 11. Distribution of the number of label boxes in each category.
Applsci 14 11741 g011
Figure 12. Model performance indicators: (a) precision; (b) recall; (c) mAP50; (d) mAP50-95; (e) train/box_loss; (f) val/box_loss.
Figure 12. Model performance indicators: (a) precision; (b) recall; (c) mAP50; (d) mAP50-95; (e) train/box_loss; (f) val/box_loss.
Applsci 14 11741 g012aApplsci 14 11741 g012b
Figure 13. Comparison of channels before and after pruning.
Figure 13. Comparison of channels before and after pruning.
Applsci 14 11741 g013
Figure 14. Comparison of PR curves before and after pruning: (a) PR curve before pruning; (b) PR curve after pruning.
Figure 14. Comparison of PR curves before and after pruning: (a) PR curve before pruning; (b) PR curve after pruning.
Applsci 14 11741 g014
Figure 15. Detection results of different algorithms: (a) Faster-R-CNN-R50; (b) RetinaNet-R50; (c) SSD-300; (d) YOLOv3-tiny; (e) YOLOv4-tiny; (f) YOLOv5s; (g) YOLOv7-tiny; (h) YOLOv8n; (i) YOLOv8s; (j) YOLOv9n; (k) Ours.
Figure 15. Detection results of different algorithms: (a) Faster-R-CNN-R50; (b) RetinaNet-R50; (c) SSD-300; (d) YOLOv3-tiny; (e) YOLOv4-tiny; (f) YOLOv5s; (g) YOLOv7-tiny; (h) YOLOv8n; (i) YOLOv8s; (j) YOLOv9n; (k) Ours.
Applsci 14 11741 g015aApplsci 14 11741 g015b
Table 1. Running configuration.
Table 1. Running configuration.
Configuration NameParameters
CPUIntel(R)Core(TM)i7-13650HX, Intel, Santa Clara, CA, USA
GPUNVIDIA GeForce RTX 4060 Laptop, NVIDIA, Santa Clara, CA, USA
Pythonv3.8
Deep Learning FrameworkPytorch 2.2.0
Table 2. Comparison of lightweight backbone networks.
Table 2. Comparison of lightweight backbone networks.
Backbone NetworkGFLOPsP (%)R (%)mAP50 (%)FPS
CSPDarkNet28.594.389.794.2177.8
GhostNetV218.196.688.494.1148.8
FasterNet21.794.888.394.0208.8
MobileNetV320.494.889.494.2162.3
CGC2fNet23.294.889.094.6207.3
Table 3. ESE attention module ablation experiment.
Table 3. ESE attention module ablation experiment.
NetworkLayersParameters (M)GFLOPsP (%)R (%)mAP50 (%)
CGC2fNet2229.323.294.889.094.6
+CA2629.323.294.690.895.1
+CBAM2549.723.295.390.594.9
+SE2509.323.295.988.794.6
+ESE2349.723.296.190.195.4
Table 4. Performance comparison of different numbers of DyHead modules.
Table 4. Performance comparison of different numbers of DyHead modules.
Number of DyHeadsmAP50 (%)FPSGFLOPsModel Size (M)
195.2158.728.321.0
294.8126.728.621.9
393.9103.829.222.9
493.787.929.723.9
593.874.730.224.8
693.854.430.825.8
Table 5. Pruning effects that correspond to different pruning degrees.
Table 5. Pruning effects that correspond to different pruning degrees.
Speed-UpFPSGFLOPsModel Size (M)mAP50 (%)
1172.422.718.395.6
1.5190.115.112.295.5
2206.811.39.395.3
2.5231.39.07.494.9
3249.37.56.395.3
3.5258.36.45.594.2
4267.75.64.893.9
4.5277.454.493.0
5280.54.54.092.6
Table 6. Algorithm ablation experiment.
Table 6. Algorithm ablation experiment.
CGC2fESEDyHeadLAMPParameters (M)GFLOPsFPSmAP50 (%)
××××11.128.5177.894.2
×××9.323.2207.394.6
×××11.528.5175.394.8
×××10.928.3158.795.2
××9.723.2188.195.4
×9.422.7172.495.6
3.27.5249.395.3
Table 7. Comparative experiments on different algorithms.
Table 7. Comparative experiments on different algorithms.
NetworkmAP50 (%)P (%)R (%)FPSParameters (M)GFLOPs
Faster-R-CNN-R5094.093.289.720.841.4172.0
RetinaNet-R5092.592.687.185.236.5195.6
SSD30094.593.490.1115.634.334.4
YOLOv3-tiny83.378.575.5200.08.712.9
YOLOv4-tiny84.481.274.9212.35.90.52
YOLOv5s92.291.288.9147.17.015.8
YOLOv7-tiny93.693.387.7217.46.013.1
YOLOv8n93.894.787.4239.53.08.1
YOLOv8s94.294.389.7177.811.128.5
YOLOv9n94.694.289.6140.82.38.2
Ours95.394.190.7249.33.27.5
Disclaimer/Publisher’s Note: The statements, opinions and data contained in all publications are solely those of the individual author(s) and contributor(s) and not of MDPI and/or the editor(s). MDPI and/or the editor(s) disclaim responsibility for any injury to people or property resulting from any ideas, methods, instructions or products referred to in the content.

Share and Cite

MDPI and ACS Style

Xu, B.; Xu, W.; Li, B.; Zhang, H.; Xiao, Y.; Zhou, W. Research on Lightweight Open-Pit Mine Driving Obstacle Detection Algorithm Based on Improved YOLOv8s. Appl. Sci. 2024, 14, 11741. https://doi.org/10.3390/app142411741

AMA Style

Xu B, Xu W, Li B, Zhang H, Xiao Y, Zhou W. Research on Lightweight Open-Pit Mine Driving Obstacle Detection Algorithm Based on Improved YOLOv8s. Applied Sciences. 2024; 14(24):11741. https://doi.org/10.3390/app142411741

Chicago/Turabian Style

Xu, Bo, Wubin Xu, Bing Li, Hanwen Zhang, Yuanbin Xiao, and Weixin Zhou. 2024. "Research on Lightweight Open-Pit Mine Driving Obstacle Detection Algorithm Based on Improved YOLOv8s" Applied Sciences 14, no. 24: 11741. https://doi.org/10.3390/app142411741

APA Style

Xu, B., Xu, W., Li, B., Zhang, H., Xiao, Y., & Zhou, W. (2024). Research on Lightweight Open-Pit Mine Driving Obstacle Detection Algorithm Based on Improved YOLOv8s. Applied Sciences, 14(24), 11741. https://doi.org/10.3390/app142411741

Note that from the first issue of 2016, this journal uses article numbers instead of page numbers. See further details here.

Article Metrics

Back to TopTop