Abstract
Silicon is one of the most abundant elements in the Earth’s crust and, although it is not an essential element for plant growth, it is considered beneficial as it can help in defense against biotic and abiotic stresses. Research on the effects of foliar sprays containing silicon has been well documented for different plants. However, in olive plants there is considerably less research focused on silicon soluble foliar formulations, which differs from the application of inert materials, like kaolin. The purpose of this study was to evaluate the effects of three increasing levels of foliar-applied soluble silicon on the characteristics of olive fruit and olive oil parameters. Fruit morphology, contents of multiple polyphenols, fatty acid profiles and mineral content in olive oil, olive oil quality parameters, fruit yield, and olive oil production parameters were assessed. Results show significant effects of silicon treatments on palmitic, palmitoleic, and linoleic acids and on the content of mono- and polyunsaturated fatty acids. Polyphenols were generally more influenced by the cultivar rather than by silicon. Apigenin, phenolic acids, and flavonoids were impacted by silicon treatments. Fruit morphology was affected by silicon treatment and, generally, parameters (fruit and seed length, width, and mass) increased at higher silicon application. This was concomitantly seen in both fruit and extra virgin olive oil (EVOO) yield increase, but only for the Leccino cultivar, suggesting specific cultivar x treatment interplay for those traits. Increases in mineral contents in olive oil due to Si treatments were not found, except for silicon, where Si2 and Si3 treatments yielded higher silicon content in olive oil compared to control. Results of this study indicate that Silicon Foliar Application could be used to enhance olive yield and only slightly modifies the fatty acid composition of olive oil and the content of some of the phenols. Although silicon application did affect several parameters, the effect of cultivar was more pronounced in affecting most of the parameters. Further research could be driven towards the effect of foliar silicon on these parameters under environmental stress factors.
1. Introduction
Olive (Olea europaea L.) is an important crop in most Mediterranean countries [,,] and olive oil is one of the crucial elements, as well as the main source of fats, in the Mediterranean diet []. The origin of olive cultivation is deeply connected to the Mediterranean civilizations, which cultivated olive trees 6000 years ago []. Although olive cultivation has spread across the globe to all continents, countries in the Mediterranean basin remain the largest olive producers. Olive oil is the main product derived from olives and is distinguishable from other oils by aroma, taste, color, nutritive properties, as well as health beneficial effects which are some of the reasons for its increasing popularity worldwide [].
These beneficial effects have been attributed to several features of olive oil: high monounsaturated fatty acids content (MUFA), and compounds such as carotenoids, tocopherols and polyphenols []. Unsaturated acids comprise up to 85% of the oil composition while, at this fraction, oleic acid (C18:1) can range from 55–83%. Other fatty acids are represented in smaller amounts, such as linoleic acid (2.5–21.0%) and palmitic acid (7.5–20.0%), which comprise the majority of the saturated fats fraction, palmitoleic acid (0.3–3.5%), and others, such as α-linolenic and gadoleic acid, represented in amounts smaller than 1% []. Less represented compounds in virgin olive oil, besides the glyceride fraction, comprise less than 2% by weight, with the polyphenolic compounds in this group forming a significant portion, among which simple phenol hydroxytyrosol and secoiridoid oleuropein can be highlighted due to their beneficial effects on human health [,]. These fractions of olive oil, specific fatty acids and polyphenols are the main factors in the remarkable antioxidant potential of extra virgin olive oil. Studies have shown that a MUFA rich diet improved oxidative status measured through oxidation and endothelial injury markers and decreased the risk of inflammatory and degenerative diseases, such as Alzheimer’s disease [,,]. Consumption of olive oil, in general, has been associated with a decreased risk of obesity []. In addition to health beneficial MUFA properties, polyphenolic compounds are known for their bioactive properties, such as antioxidant, anti-inflammatory, antimicrobial, anti-cancer and antihypertensive properties [,].
The composition of both of these types of compounds is, however, not constant and is dependent on internal and external factors. Factors such as genotype, climate conditions, and fertilization can greatly influence the abundance and ratios of these compounds in olive oil. The effect of temperature on oleic acid content has been extensively researched [,,]. Fatty acid profiles are largely dependent on the cultivar, which has also been extensively researched [,]. In a similar manner, polyphenolic contents and ratios of certain polyphenolic compounds tend to change based on the olive cultivar, environmental factors, time of harvest, extraction, storage conditions and fertilization [,,]. Of these mentioned factors, the effect of genotype tends to have a stronger effect on polyphenolic content than others, such as in the research of Yılmaz-Düzyaman [] in which, out of five genotypes and three environmental effects (harvest date, season and location), clear grouping based on genotype was observed due to its prominent influence over environmental factors and the interactions of main effects.
Foliar treatments of olive, such as applying nano-silicon spray, foliar particle films or amino, humic and fulvic acids, have shown potential for alleviating stress during olive growth, as well as impacting olive oil quality in terms of fatty acids and polyphenolic contents [,,]. The use of silicon (Si) has been previously addressed regarding its plant nutritional potential []. Inert materials containing Si, such as kaolin and zeolititie, have been used previously to assess their effect on the sensory and chemical properties of olive oil []. The beneficial effects of kaolin on the alleviation of abiotic stress in various plant species have been reviewed by Brito et al. []. Some other formulations, such as ortho-silicic acid, have been tested on young olive plants and, although some beneficial effects were noticed (e.g., shoot growth), they were cultivar specific []. Similar positive effects for shoot growth and plant dry weight were reported by Martos-García et al. []. Tekaya et al. [] showed that olive oil quality can be enhanced by nutrient-based foliar treatments that improve oil stability by increasing antioxidant contents. It has been shown that foliar application of boron can increase oleuropein content in olive leaves as well as modulate the content of other volatiles [], while zinc and boron foliar application increased oil content, increased the ratio of unsaturated and saturated fatty acids and modulated the content of polyphenolic compounds []. The effect of boron on phenolic content was also cultivar-dependent; similarly, the cultivar effect was also significant under foliar application of fulvic, humic and amino acids []. Choosing cultivars and appropriate treatments that increase the quality of olive oil and the quantity of polyphenols could lead to the development of olive oils that stand out from nutritional and health perspectives and would be of great interest to producers.
In contrast to inert materials used in other studies (such as kaolin and zeolitite, which act as foliar particle films) [], we have previously tested the fertilization effect of potassium silicate, as a soluble form of silicon accessible to plants, on olive leaf phenolic []. However, research on foliar application of soluble silicon and its effects on olive oil quality is limited.
The aim of this research was to further investigate the effects of foliarly applied silicon, in the form of potassium silicate, on various factors related to olive oil quality. Thus, olive oil fatty acid composition and polyphenolic content, antioxidant activity, physico-chemical quality parameters, mineral content, fruit morphology, and overall fruit yield were monitored.
2. Materials and Methods
2.1. Location, Treatments and Weather Conditions
The experiment was set up in an olive grove located in the coastal region of Croatia, with a plant protection program under Integrated Pest Management []. Fully matured trees from two olive cultivars (Cv.), Istarska Bjelica (IB) and Leccino (L), were explored. Four trees per cultivar represented each treatment with a total of 32 trees included in the trial. For tree maintenance, standard agricultural practices for olive groves in Croatia were followed, which implies two main fertilizations during the inter-harvest period [].
In accordance with our previous research [], different levels of Silicon Foliar Applications were conducted 15, 30 and 45 days after anthesis. Each application consisted of an untreated control (C) with different silicon concentrations within Si1 (0.55 g Si/L), Si2 (1.1 g Si/L) and Si3 (2.2 g Si/L) treatment. Olive trees were sprayed until runoff with approximately 5–6 L per tree.
In May, during the flowering phase, temperatures were within the normal range, with only a slight deviation of 0.2 °C below the multiyear average. This period was exceptionally dry, with rainfall measuring a total of 30.2 mm, which represented a 49% decrease in average rainfall. Early fruit development in June occurred under very warm conditions, with temperatures 2.4 °C above the multiyear average. Additionally, the weather was extremely dry, with only 2.9 mm of rainfall, marking a 6% deviation from the norm. Conditions in July were similar to those in June, maintaining high temperatures, while rainfall returned to the normal range at 37.3 mm.
During the pre-harvest period of the trial year, the weather conditions generally aligned with the 30-year average rainfall for the area. In August, 32.2 mm of rain was recorded, followed by 55.3 mm in September and 76.3 mm in October. However, temperature fluctuations were noted compared to the multiyear averages. In August and September, temperatures increased by 1.2 °C and 1.6 °C, respectively, while October saw a decrease of 0.9 °C compared to the multiyear average (Croatian Meteorological and Hydrological Service, www.meteo.hr, accessed on 20 November2024).
2.2. Fruit Sampling and Measurements of Pomological Parameters
Fruit samples were collected at technical maturity during mid-October, as previously described in Vidović et al. []. Forty randomly selected fruits per tree along four transects (SE, NE, SW, and NW) were collected and weighed, while width and length were measured with a Vernier caliper (JIANGXI, Nanchang, China). After the separation of the pulp from the stone, the stone was also measured in the same manner as the fruit, and the obtained pulp was also measured. Additionally, 2 kg of fruits were collected by hand, following the same procedure, for olive oil extraction and then washed twice with distillate water for further olive oil analysis. To calculate fruit yield per tree, the remaining fruit were mechanically harvested and weighed. This mass was added to the fruit masses used for morphological measurements and oil production.
2.3. Oil Extraction
Two kg of fruit per olive tree were used for oil production. Oil from the fruit samples was extracted using an Abencor laboratory oil mill, mixer and centrifuge (MC2, Ingenierias y Sistemas S.L., Seville, Spain). In short, olives were grounded with a metal hammer mill and then mixed at 25 ± 1 °C in vertical mixers for 40 min; a part of the obtained olive paste was used for water and oil content determination, while the other part was centrifuged for 90 s at 3500 rpm. After centrifugation, the oil, together with the water, was transferred into a separation cylinder. Separated oil was additionally centrifuged for 1 min at 4000 rpm, then decanted and stored until further analysis.
2.4. Olive Oil Yield
Olive oil extraction yield was calculated as the ratio of the mass of extracted oil and the mass of olive paste used for the extraction. Olive oil yield per tree was calculated by multiplying fruit yield per tree and previously defined oil extraction yield.
2.5. Water and Theoretical Total Oil Content Determination
Water content was determined gravimetrically, drying the fresh olive paste (OP) at 80 °C until constant mass, and then storing in plastic containers at –20 °C. For calculation of theoretical total oil content, 2 g of dry OP was weighed in cellulose thimbles, and oil was extracted by the addition of 75 mL of petroleum ether 40–60 °C p.a. (Lach-Ner, s.r.o., Neratovice, Czech Republic) using a 2055 Soxtec Avanti Manual System at 135 °C, which is the temperature recommended by the manufacturer (FOSS Tecator AB, Höganäs, Sweden). The extraction program consisted of boiling for 30 min, rinsing for 60 min, and solvent recovery for 15 min. Exhaustive extraction was obtained by repeating the extraction program for the same laboratory sample for the second time. Oil content in the dry OP was calculated by dividing the mass of the extracted oil by the dry OP mass. Measurements were carried out in duplicate.
2.6. Free Acidity, Peroxide Value (PV), and Specific Extinction Coefficients
Free acidity, peroxide value and specific extinction coefficients K232, K268, and ΔK in virgin olive oil samples were determined according to the standardized methods of the International Olive Council [,,] (ISO, 2017a; ISO, 2017b; ISO, 2019). Deionized water was obtained with the Elix 3 purification system (Millipore, Bedford, MA, USA). Ethanol, 96% p.a., was a product of Alkaloid AD (Skopje, Republic of North Macedonia). Potassium hydroxide, diethyl ether, and chloroform, all of analytical quality, were manufactured by VWR International BV (Leuven, Belgium). Glacial acetic acid, and sodium hydroxide 0.1 mole/L were manufactured by VWR International SAS (Rosny-sous-Bois Cedex, France); sodium thiosulfate 0.02 mole/L was manufactured by Gram-Mol doo (Zagreb, Croatia). 2,2,4–trimethylpentane for spectroscopy was manufactured by Avantor Performance Materials (Glivice, Poland).
2.7. Extraction of the Olive Oil Hydrophilic Fraction and HPLC Analysis of the Composition of Phenolic Compounds
The extraction and analysis of the composition and content of phenols were per-formed according to the standardized method of the International Olive Council [], described under “Method of analysis no.1”. To 2.0 g of virgin olive oil sample, exactly 1 mL of syringic acid at 0.015 mg/mL from Sigma-Aldrich Chemie GmbH (Steinheim, Germany) as internal standard was added and vortexed for 30 s (Multi Speed Vortex, model MSV-3500, Biosan, Riga, Latvia). Next, exactly 5 mL of methanol 80% (v/v) was added, and the mixture was vortexed for 1 min, sonicated for 15 min (Sonorex Digitec DT 100H; Bandelin, Berlin, Germany), and centrifuged at 4500 rpm for 25 min (Universal 320R, Andreas Hettich GmbH and Co. KG, Tuttlingen, Germany). The clear hydrophilic solution (bottom layer) was extracted with a Pasteur pipette and filtered through a PVDF filter with a porosity of 0.45 µm.
HPLC analysis of phenols was performed using an Agilent Infinity 1260 system equipped with a G1311B quaternary pump, a G1329B autosampler, a G1316A column oven, and a G4212B DAD detector (Agilent Technologies, Palo Alto, CA, USA). An octadecyl silica (C18) reverse-phase column (4.6 mm × 250 mm, 5 µm, pore 110 A), Agilent Omnispher CP27835 (Agilent technologies, Santa Clara, CA, USA) was used, conditioned at 25 ˚C. Solvent was water, with 5% by volume of orthophosphoric acid 85% (v/v) from Sigma-Aldrich (St. Louis, MO, USA) (A), methanol (B), and acetonitrile (C), with a flow rate of 1 mL/min. Acetonitrile, methanol, and water HPLC grade were products of Sigma-Aldrich (St. Louis, MO, USA).
10 µL of the extracts were injected. Elution gradient was as described in the method, with solvents B (methanol) and C (acetonitrile) always in equal parts, and solvent A (o-phosphoric acid, 85% solution in water 0.2% (v/v)). The fraction 96% at the beginning, decreasing to 50% by the 40th minute, 40% by the 45th minute and to 0 by minute 60. The composition was left as isocratic for 10 min and, in two minutes, was rapidly changed to the starting composition. After 55 min, all compounds of interest were eluted but the total run time was 82 min for complete elution of all other compounds present in the extract.
Chromatographic elution was followed and recorded at three wavelengths: 280 nm (closest to the maximal absorbance of simple phenols, vanillic acid, lignans, and secoiridoids), 320 nm (vanillin and p-coumaric acid), and 365 nm (flavonoids). Identification was performed by comparing retention times and typical maximum absorbance wavelengths from the standardized method [], as well as comparing recorded UV/V is spectra recorded from 200 to 600 nm with those of pure chemical standards when available, or with other literature sources [].
Standard solutions were obtained by dissolving in HPLC grade methanol, chemical standards of pure phenols: hydroxytyrosol, tyrosol, vanillin, vanillic acid, p-coumaric acid, luteolin, apigenin, oleuropein and pinoresinol, purchased from Sigma-Aldrich—Merck KgaA (Darmstadt, Germany), Fluka (Buchs, Switzerland), Acros Organics (Geel, Belgium), Alfa Aesar (Haverhill, MA, USA), Cayman Chemical Co. (Ann Arbor, MI, USA), Extrasynthese (Genay, France), and Honeywell International Inc. (Morris Plains, NJ, USA).
Quantification was semi-quantitative using the ratio between the response factors of tyrosol (Fluka, Buchs, Switzerland) vs. syringic acid at 280 nm, based on which the final results for total and single phenols were expressed in mg kg−1 as tyrosol, using syringic acid as internal standard. Phenolic compounds were grouped as simple phenols (tyrosol, hydroxyityrosol, hydroxytyrosyl acetate, tyrosyl acetate, vanillin), phenolic acids (vanillic acid, caffeic acid, ortho- and para-coumaric acid, cinnamic acid), flavonoids (luteolin, apigenin, methyl-luteolin), and secoiridoids (oluropein, dialdehyde form of oleuropein aglycone, oxidized dialdehyde form of de-carboxymethyl oleuropein aglycone, 3,4-DHPEA-EDA (3,4-dihydroxy phenyl ethyl-alcohol linked to the dialdehyde form of de-acetoxy elenolic acid) or oleacein, the oxidized dialdehyde form of de-carboxymethyl ligstrozide aglycone, p-HPEA-EDA (p-hydroxy phenyl ethyl-alcohol linked to the dialdehyde form of de-acetoxy elenolic acid) or oleocanthal, oxidized aldehyde and the hydroxylic form of oleuropein aglycone, aldehyde and the hydroxylic form of oleuropein aglycone, the dialdehyde form of ligstrozide aglycone, the oxidized aldehyde and hydroxylic form of ligstrozide aglycone, and the aldehyde and hydroxylic form of ligstrozide aglycone). Pinoresinol and 1-acetoxy-pinoresinol were not chromatographically separated, therefore they were reported as lignans.
2.8. Determination of Total Phenolic Content (TPC) and Antioxidant Activity (AO)
TPC and AO were determined in the hydrophilic fraction extracted from olive oil samples as described above, making a correction for the addition of the internal standard, based on extraction and determination of TPC and AO in refined sunflower oil spiked with the internal standard solution.
Total phenolic content (TPC) in olive oil samples was estimated based on the reaction of coloration of phenols with the Folin–Ciocâlteu reagent (FCR) and sodium carbonate [], following the spectrophotometric reading of light absorbance at 725 nm (Carry UV/Vis 50, Varian Inc., Harbor City, CA, USA). The procedure was as follows: 1.0 mL of sample or standard solution/blank was diluted with 5 mL of water to which 0.5 mL of FCR was added and stirred. After exactly 3 min, 1 mL of sodium carbonate saturated solution (20 g/L) was added. The reaction mixture was stirred and left for exactly 1 h until spectrophotometric reading []. Gallic acid (GA) was used as a reference. The stock solution was prepared by weighing 0.1 g GA and dilution in 100 mL of water. A calibration curve was built with 10 standard solutions of GA prepared in 25 mL volumetric flasks by adding aliquots of GA stock solutions in order to fit within the linear range of absorbance readings of the spectrophotometer (0.1–0.8 AU). The results are expressed in milligrams of GA equivalents per kilogram of oil (mg GAE/kg). Measurements were conducted in duplicate, and average values were used for statistical elaboration. Folin–Ciocâlteu reagent and sodium carbonate were obtained from Kemika (Zagreb, Croatia).
Antioxidant activity (AO) was determined as free radical scavenging capacity based on the principle that scavenging of the free radical DPPH• by samples or standards cause a reduction in its absorbance [,]. A sufficient amount of the stable radical DPPH• in methanol was prepared (0.025 g/L) for absorbance at around 0.8 AU. Trolox was used as a reference. The concentration of the stock solution of Trolox was 200 μmol (0.05 g/L) and standard solutions were prepared in the range from 10 to 100 μmol. Calibration curves were constructed with seven concentration levels and in the absorbance range of 0.1–0.8 AU. One hour after addition of sample extract/standard solution/blank (0.1 mL) to the DPPH• solution (4.9 mL), the absorbance of remaining DPPH• was determined at 515 nm, and the results were calculated using the regression equation between the Trolox concentration and the percentage of DPPH inhibition obtained from the calibration curve, expressed as mmol Trolox equivalents per kilogram of oil (mmol TE/kg oil). Analytical measurements were conducted in duplicate for each sample, and average values were used in further statistical elaboration. Gallic acid, DPPH•, and Trolox were products of Sigma-Aldrich-Merck KGaA, Darmstadt, Germany.
2.9. Determination of Fatty Acid Composition
The method of preparation (cold methylation) and analysis of fatty acid methyl esters was performed following the method described by the International Olive Council []. GC analyses were performed using a Varian 3350 gas chromatograph (Varian Inc., Harbor City, CA, USA) equipped with a split/splitless injector at 250 °C, a flame ionization detector (FID) at 255 °C, and a capillary column Restek Rtx-2330 (105 m, 0.25 mm i.d., 0.2 µm film thickness; Restek, Bellefonte, PA, USA). Initial oven temperature was 100 °C, increased to 245 °C at 2.5°C/min, and maintained until 65 min of total analysis time. The carrier gas was helium at 35 psi at the column head. Results for fatty acid composition were expressed as percentage of total fatty acids present in olive oil. Results are expressed as relative percentage for each fatty acid, and were summed as total saturated (SFA), monounsaturated (MUFA) and polyunsaturated (PUFA) fatty acids.
HPLC grade n-Hexane was supplied by Sigma-Aldrich (St. Louis, MO, USA). Methanol p.a. was manufactured by VWR International S.A.S. (Fontenay-sous-Bois, France), and HPLC grade quality n-heptane from Avantor Performance Materials Poland S.A. (Gliwice, Poland).
2.10. Mineral Content in Olive Oil Samples
Elemental analysis of olive oil samples by inductively coupled plasma mass spectrometry (ICP-MS) was performed after a preceding microwave-assisted digestion step. In this work, nitric acid, hydrogen peroxide, and ultra-pure water were used to decompose the sample matrix. Nitric acid, purchased from Kemika, Croatia) and hydrogen peroxide, purchased from Kemika, Croatia), and distilled deionized water (Milli-Q, Millipore, UK) were used. In short, duplicate samples of each oil sample were weighed (~0.3 g) into the PTFE digestion vessels. The mixture of 5.0 mL concentrated HNO3 (69%, w/v, trace metal grade), 2.0 mL H2O2 (30%) and 2.0 mL distilled deionized water (18.2 MΩ cm,) was added. The sample preparation procedure was performed using a Berghof device MWS-2 Microwave System Speedwave, applying the following temperature program: step 1 30 min–500 W–140 °C; step 2 30 min–600 W–180 °C; step 3 30 min–400 W–140 °C. After cooling, digested samples were diluted to 25 mL with high-purity water. The measuring solutions were diluted several times according to the expected analyte concentration. Blanks were prepared in the same manner. For analytical control, the reference samples (Tomato Leaves NIST SRM 1573a, Peanut Butter NIST SRM 2387, and Trace Elements in Water NIST SRM 1643f) were also digested and analyzed under the same conditions. For quantification, standard solutions were prepared from ICP multi-element standard solution VI (Merck, Germany), and mono-element standard solutions were used. Plasma ICP-MS (7900, Agilent Technologies, Singapore) was used for the determination of selected elements.
2.11. Statistical Analysis
The experiment was set up as a completely randomized design with two main factors: cultivar (Leccino and Istarska bjelica) and different levels of silicon foliar fertilization (control, Si1, Si2, Si3). Two-way analysis of variance (ANOVA) was performed on the data with main factors cultivar (two levels) and Si foliar application (four levels). The post-hoc test following ANOVA was Tukey’s honestly significant difference (HSD) with p ≤ 0.05. ANOVA and Tukey’s HSD tests were calculated using R software version 4.3.3. [].
Linear discriminant analysis (LDA) was performed using PAST software 4.16c []. Each point is assessed and assigned to the group that gives a minimal Mahalanobis distance to the group mean. Malahanobis distance is calculated from the pooled within-group covariance matrix, which outputs a linear discriminant classifier. Based on the given and estimated points in groups, a confusion matrix is produced, and the degree of failure of classification can be assessed. Axes produced by this analysis are a linear combination of the original variables, and the eigenvalues specify the amount of variation explained by these axes. Hence, the first two axes are produced for maximum separation between all groups.
3. Results
3.1. Fruit Morphology
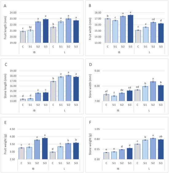
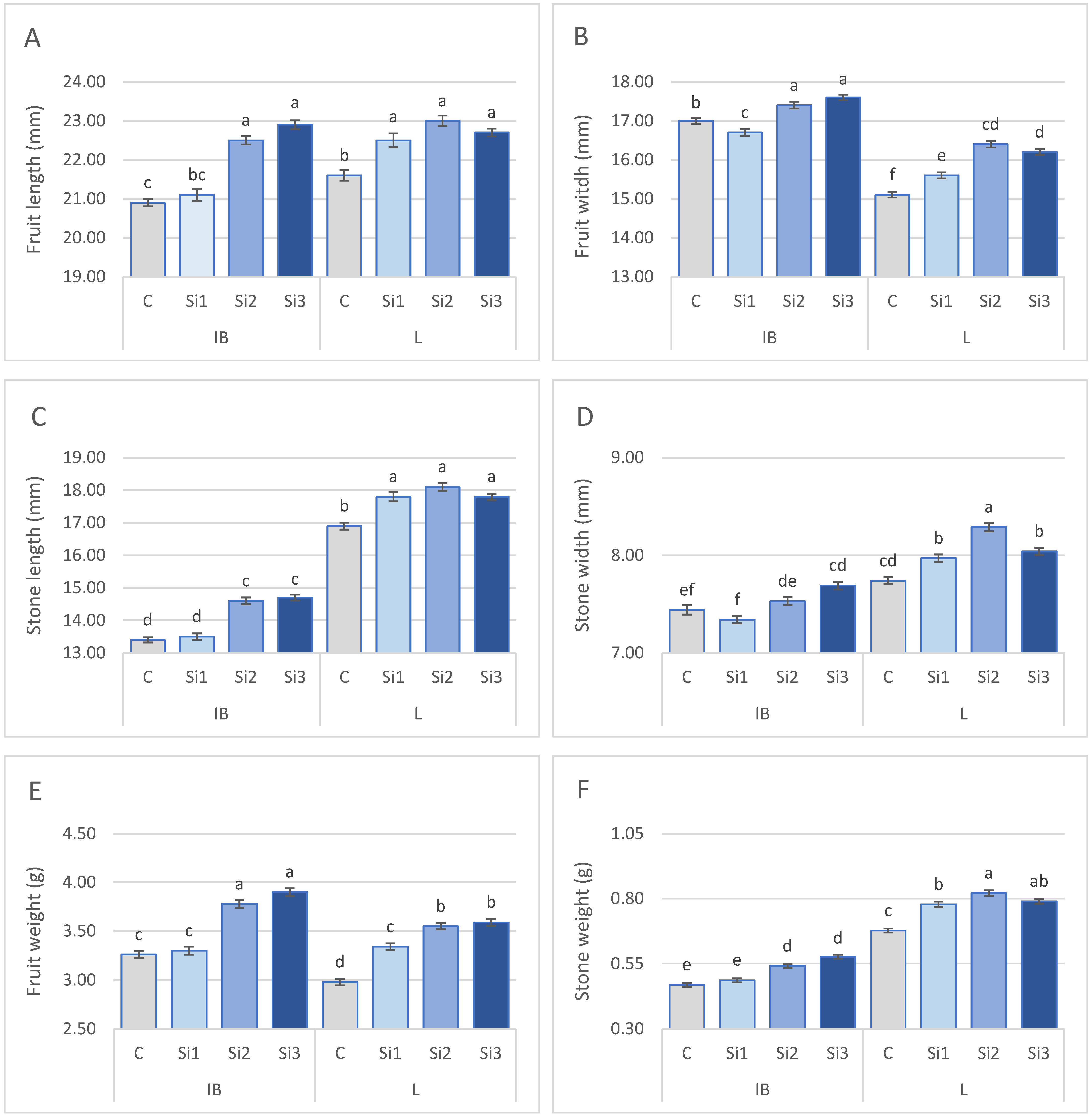
All eight parameters measured showed sensitivity to Si foliar application; cultivar also significantly affected all parameters, as well as the interaction of foliar applied Si and cultivar (Table 1). Fruit mass was positively affected by Si treatment, with significant differences of Si2 and Si3 treatments from the control in IB cultivar, and all Si treatments in L cultivar (Figure 1E). IB cultivar tended to have slightly higher values than L cultivar (except for Si1 treatment). Fruit length was similarly affected by both main factors and their interaction (Table 1).

Table 1.
Fruit morphology of two cultivars under different levels of foliar applied Si.


Figure 1.
Multiple comparisons of the effects of treatment (C, Si1, Si2, Si3) and cultivar (IB, L) on fruit length (A), width (B), stone length (C), width (D), fruit weight (E), stone weight (F), fruit length/width (G), stone length/width (H), pulp mass (I) and pulp percentage (J) of IB and L cultivars. Different lowercase letters represent statistically significant differences between mean values at p < 0.05 obtained by a two-way ANOVA and Tukey’s test. Cultivars: IB—Istarska Bjelica, L—Leccino, Treatments: C—untreated control, and Si1—(0.55 g Si/L), Si2—(1.1 g Si/L), Si3—(2.2 g Si/L) applied as potassium silicate solution.
Silicon application significantly affected this parameter, as values were significantly higher in Si2 and Si3 treatments compared to control in IB cultivar, and all Si treatments in L cultivar (Figure 1A). L cultivar had more elongated fruits compared to IB cultivar when Si was not applied, while under Si2 and Si3 treatments values were not significantly different between these two cultivars. Fruit width was the parameter that showed one of the most distinct differences between cultivars, as IB showed significantly higher values in all treatments except Si1 (Figure 1B). Silicon treatments did affect fruit width in both cultivars, with the highest values for Si2 and Si3 treatments. Fruit length and width ratio showed significant difference between the two cultivars, L cultivar showing higher values than IB in control and all three Si-treatments (Figure 1G).
For samples of IB cultivar, all treatments showed higher values with respect to control, while L cultivar showed a slight decrease in this parameter as Si concentration increased, with Si3 treatment showing significantly lower values compared to Si1. Stone length and the ratio of stone length to width responded similarly to Si treatments and the significance of cultivar was also present, as well as their interaction (Table 1). Values for both parameters were higher for L cultivar compared to IB, and values were significantly higher at Si2 and Si3 treatments for both parameters for IB cultivar. For L cultivar, all Si treatments were significantly higher from control for stone length parameter while, for the ratio of stone length and width, significant differences were not recorded (Figure 1C,H). L cultivar had higher stone width and stone mass values for all treatments compared to IB cultivar and both cultivars showed increase in these two traits with increased application of Si foliar concentration (Figure 1D,F). Stone width increased significantly at Si2 treatment in IB cultivar, while for L cultivar all three treatments showed higher values compared to control, with Si2 showing the highest. Stone mass showed similar response, as Si2 and Si3 treatments showed significantly higher values for IB cultivar, while all treatments showed higher values compared to control for L cultivar. Silicon treatments did not affect the proportion of pulp in any of the two cultivars, while the differences between the cultivars were quite large (Figure 1J), where IB cultivar showed much larger values. Pulp mass, on the other hand, was affected by Si treatments, Si2 and Si3 for IB cultivar, and all Si treatments for L cultivar were significantly higher compared to control (Figure 1I). Similar to the previous parameter, IB showed higher values compared to L cultivar.
3.2. Fruit Yield and Olive Oil Production Parameters
Water and dry matter contents in fresh OP remained unchanged under Si treatments, and there were no differences between cultivars in these two parameters (Table 2).

Table 2.
Fruit yield and olive oil production parameters of two cultivars under different levels of foliar applied Si.
Oil content in dry OP, as well as olive oil extraction yield, were significantly different in two cultivars, while Si treatments did not have any effect. IB cultivar showed a higher content of oil in dry OP, as well as a higher olive oil extraction yield. Content of oil in fresh OP was significantly affected by both main factors and, similarly to previous parameters, IB cultivar showed higher values compared to L cultivar. Treatment-wise, the only significant differences were recorded between control and Si2 treatment (16.80 in control compared to 14.90 in Si2). Yield per tree was significantly affected by the main factors and their interaction (Table 2). From Figure 2A, it is clear that yields per tree of the two cultivars were differently affected by Si treatments; under control, there was no significant difference between cultivars. IB cultivar was unaffected by Si application, but a significant increase compared to control was recorded for L cultivar under Si2 treatment. Results for yield per tree showed similar results, as IB cultivar was unaffected by Si treatment, while L cultivar showed significantly higher olive oil yield per tree with Si2 treatment (Figure 2B).

Figure 2.
Multiple comparisons of the effects of treatment (C, Si1, Si2, Si3) and cultivar (IB, L) on fruit yield per tree (A) and olive oil yield per tree (B) of IB and L cultivars. Different lowercase letters represent statistically significant differences between mean values at p < 0.05 obtained by two-way ANOVA and Tukey’s test. Cultivars: IB—Istarska Bjelica, L—Leccino, Treatments: C—untreated control, and Si1—(0.55 g Si/L), Si2—(1.1 g Si/L), Si3—(2.2 g Si/L) applied as potassium silicate solution.
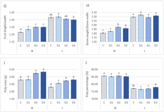
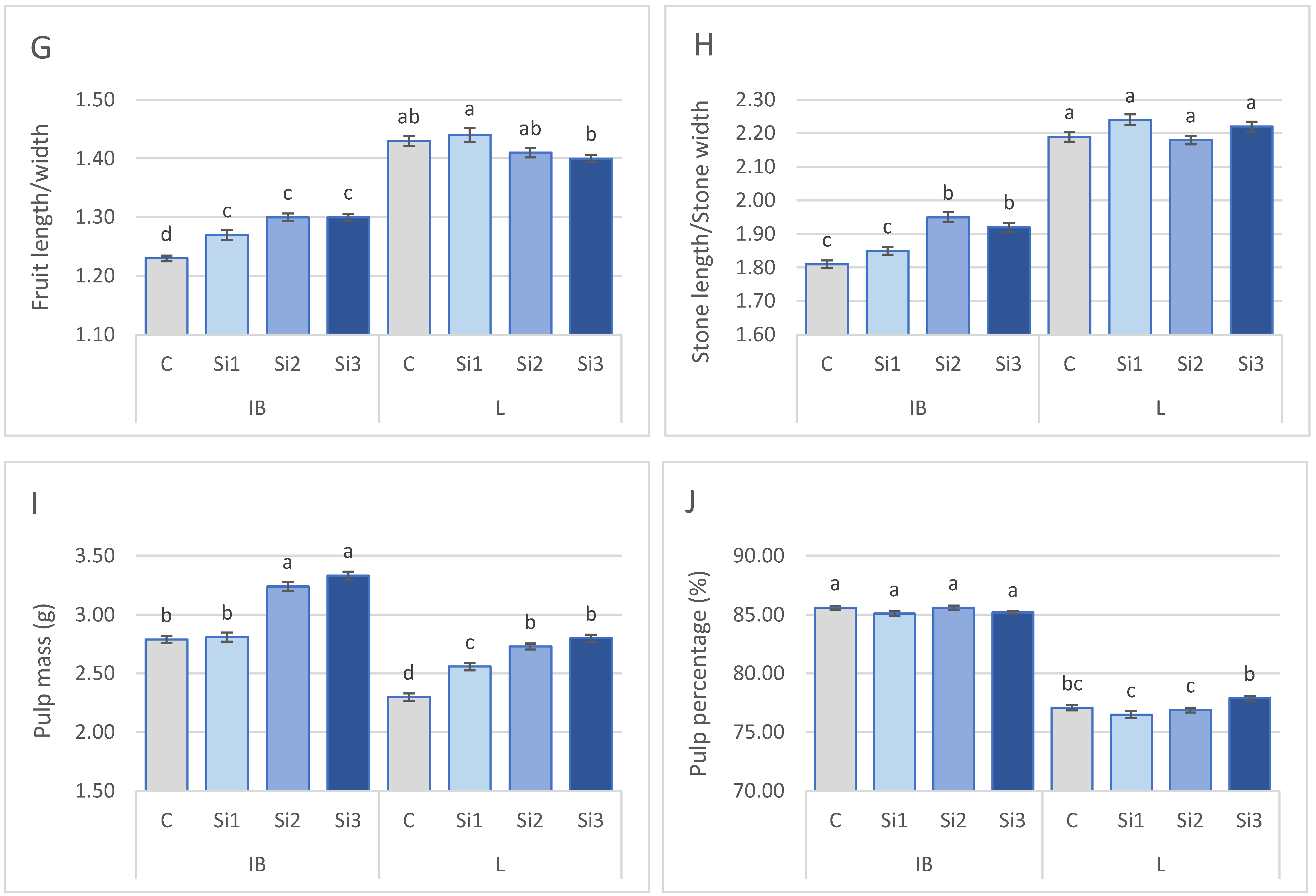
3.3. Polyphenols
Polyphenols were for the most part affected by cultivar, and only a few were affected by Si treatment or by interaction of cultivar and Si treatment—tyrosol, apigenin, phenolic acids, and flavonoids (Table 3). Polyphenols not affected by cultivar or treatment were oleocanthal and lignans (Table 3) and ferulic acid and pinoresinol, and these will not be commented on further.

Table 3.
Contents of polyphenols in olive oil of two cultivars under different levels of foliar applied Si.
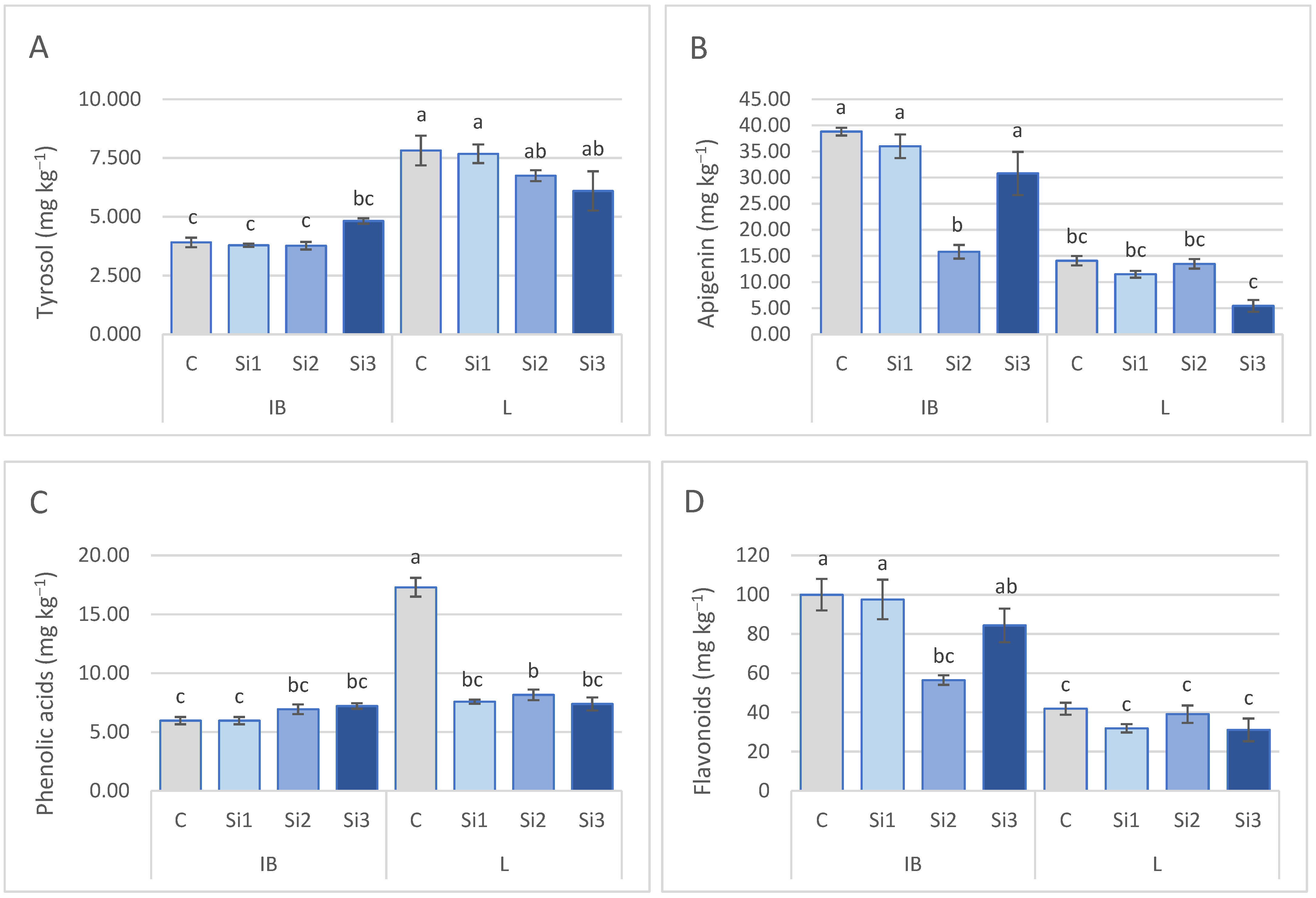
When looking at polyphenols affected only by cultivars, IB cultivar showed significantly higher values for hydroxytyrosol, p-coumaric acid, oleuropein and its aglycone form, luteolin, total polyphenols, ligstroside aglycone and secoiridoids (Table 3). Interestingly, the content of ligstroside aglycone was seven times higher in the oil of IB cultivar compared to L cultivar, while contents of oleuropein and its aglycone form were more than six and seven times higher, respectively. Contents of vanillic acid, vanillin, o-coumaric acid and oleacein were significantly higher in L cultivar. Vanillic acid and vanillin contents were of several orders higher in this cultivar compared to IB cultivar, while oleacein content was two times higher.
Although tyrosol was affected by interaction of the main factors, generally the larger difference was due to cultivar as, in control and Si1 treatment, L cultivar had higher values compared to IB. At the highest Si concentration tyrosol slightly decreased in L cultivar, while increasing slightly in IB cultivar, making the difference that was evident in control insignificant in this treatment (Figure 3A). Hydroxy-tyrosyl acetate was significantly affected only by cultivars. Significantly higher values were recorded in L cultivar, compared to IB cultivar.

Figure 3.
Multiple comparisons of the effects of treatment (C, Si1, Si2, Si3) and cultivar (IB, L) on the contents of tyrosol (A), apigenin (B), phenolic acids (C) and flavonoids (D) in olive oil of IB and L cultivars. Different lowercase letters represent statistically significant differences between mean values at p < 0.05 obtained by two-way ANOVA and Tukey’s test. Cultivars: IB—Istarska Bjelica, L—Leccino, Treatments: C—untreated control, and Si1—(0.55 g Si/L), Si2—(1.1 g Si/L), Si3—(2.2 g Si/L) applied as potassium silicate solution.
Apigenin content was significantly affected by both main factors as well as by the interaction effect of the main factors (Table 3). Differences between cultivars were evident; IB had higher values in all treatments compared to L cultivar, except for Si2 treatment, where apigenin content dropped significantly (Figure 3B). Regarding the treatments, this drop in apigenin content under Si2 treatment was the only significant effect recorded in both cultivars. Phenolic acids were also affected by the main factors and their interaction. Significantly higher values in L cultivar compared to IB were recorded under control, but with the foliar application of Si the content of phenolic acids decreased significantly in L cultivar, while in IB cultivar contents remained unchanged (Figure 3C). Significant interaction effect for flavonoid content showed a large difference between cultivars under control treatment (Figure 3D). L cultivar showed significantly lower values than IB in control and all Si treatments, except for Si2 in IB cultivar, where there was no significant difference compared to L, and a significant drop flavonoid content was recorded. Antioxidant activity was significantly higher in oil from IB cultivar, compared to antioxidant from L cultivar (2.50 and 1.26 mmol TE/kg oil, respectively), which is in concordance also with a more than twice total phenolic content (TPC) in IB cultivar compared to L cultivar (Table 3).
3.4. Fatty Acids and Olive Oil Quality Parameters
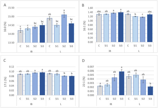
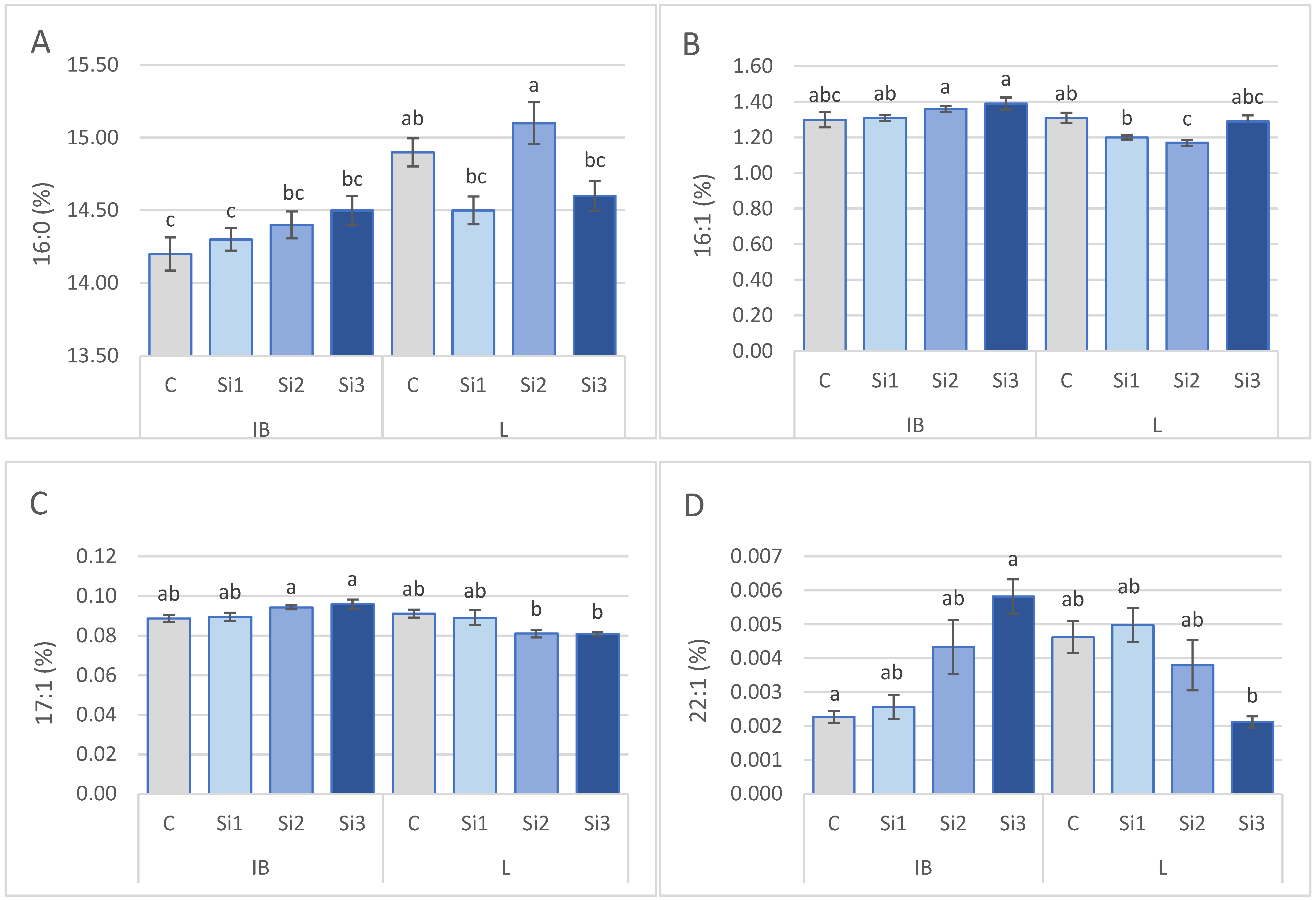
Significant effect on fatty acid profiles was more pronounced for the type of cultivar than for the concentration of foliar applied Si, as treatment had significant effect only on the content of palmitic (16:0), palmitoleic (16:1) and linoleic (18:2) acids (Table 4).

Table 4.
Contents of fatty acids and olive oil quality parameters in olive oil of two cultivars under different levels of foliar applied Si.
Cultivar significantly affected fatty acid profile for all parameters except myristic (14:0), which was not affected by cultivar, treatment or their interaction, and erucic (22:1) acid. Interaction of main factors was significant for palmitic (16:0), palmitoleic (16:1), margaroleic (17:1), and erucic acid (22:1). Content of palmitic acid differed between cultivars. L cultivar had higher values when no Si was applied compared to IB, and their response to Si treatment differed. Si treatment increased mean values of palmitic acid content in IB, but the differences were not significant, and the response in L was ambiguous, with significant differences only between Si2 and Si3 treatments (Figure 4A). Although the interaction terms significant for palmitoleic acid differences between cultivars or between treatments were not pronounced, the only significant differences were between Si2 and Si3 treatment in IB cultivar and Si1 and Si2 treatments in L cultivar (Figure 4B). Treatment-wise, Si2 treatment in L cultivar was significantly lower compared to control.

Figure 4.
Multiple comparisons of the effects of treatment (C, Si1, Si2, Si3) and cultivar (IB, L) on the contents of fatty acids, namely 16:0 (A), 16:1 (B), 17:1 (C), 22:1 (D), in olive oil of IB and L cultivars. Different lowercase letters represent statistically significant differences between mean values at p < 0.05 obtained by two-way ANOVA and Tukey’s test. Cultivars: IB—Istarska Bjelica, L—Leccino, Treatments: C—untreated control, and Si1—(0.55 g Si/L), Si2—(1.1 g Si/L), Si3—(2.2 g Si/L) applied as potassium silicate solution.
Margaroleic acid content did not change in IB or L cultivars, and the only differences were in contents of margaroleic acid under Si2 and Si3 applications between IB and L, with contents in IB being higher (Figure 4C). Erucic acid contents changed more, but the only significant differences observed were between Si3 treatments of IB and L cultivars, due to high standard errors (Figure 4D). Margaric (17:0), stearic (18:0), oleic (18:1), linolenic (18:3), arachidic (20:0), gadoleic (20:1), behenic (22:0) and lignoceric (24:0) acids were significantly affected only by genotype (Table 4). Relative contents of all aforementioned fatty acids were significantly higher in IB cultivar, except for oleic, linolenic and gadoleic acids, which were higher in L cultivar. In cases when the fatty acids’ composition was affected by both main factors, the interaction was found to be significant, except for linoleic (18:2), where IB had higher values when looking at factor cultivar while, in terms of treatment, Si3 treatment had a significantly higher value compared to control (Table 4).
Olive oil quality parameters were predominantly affected by cultivar (Table 4). Ratios of oleic and linoleic (O/L) and palmitic to linoleic acids (P/L) were insensitive to silicon treatment, whereas cultivar had a significant effect, significantly so in L cultivar, which showed significantly higher values compared to IB cultivar for both parameters (Supplementary Figure S1A,B). Higher O/L is favorable in terms of susceptibility to oxidation since the polyunsaturated fatty acids are more easily oxidized []. The interaction effect was not significant in any of these parameters. Peroxide value (PV) was significantly affected by cultivar and the interaction of cultivar and treatment (Table 4), and here PV was unaffected in IB cultivar, but in L cultivar Si1 treatment had significantly higher values than Si2 and Si3, and these two treatments had slightly lower, but not significant, values compared to control (Supplementary Figure S2). Generally, olive oil from IB had significantly lower values than oil from L cultivar, at 2.57 and 6.54, respectively. Free acidity in this experiment was dependent solely on the cultivar, and L cultivar showed lower values than IB cultivar (0.08 compared to 0.19, Table 4). Primary and secondary oxidation parameters, the extinction coefficients K232 and K268, were dependent only on the cultivar, and for both parameters lower values were recorded for L cultivar. ΔK was also affected only by cultivar and, similarly to the previous two parameters, L cultivar showed lower values than IB (Table 4).
3.5. Mineral Content in Olive Oil
Mineral content in olive oil was not affected by Si treatments (except for Si). Na, Mg, Ca and Zn were not affected by treatment or by cultivar (Table 5). Fe content was significantly affected by cultivar, and L cultivar showed significantly higher Fe content compared to IB cultivar (0.29 and 0.15 mg/kg, respectively). Silicon content was significantly affected only by silicon application, and here Si2 (39.20 mg/kg) and Si3 (38.60 mg/kg) treatments showed significantly higher values compared to control treatment (29.60 mg/kg), as shown in Table 5.

Table 5.
Mineral content in olive oils of two cultivars under different levels of foliar applied Si.
3.6. Linear Discriminant Analysis (LDA)
The scatterplot for LDA shows very clear separation of two genotypes, as all points of these genotypes are separated and on opposite sides of the Cartesian plane (Figure 5).

Figure 5.
Separation of cultivars and treatments based on linear discriminant analysis (LDA) (IB—Istarska Bjelica, L—Leccino, C, Si1, Si2, Si3—silicon treatments). Treatments: C—untreated control, and Si1—(0.55 g Si/L), Si2—(1.1 g Si/L), Si3—(2.2 g Si/L) applied as potassium silicate solution.
The first two axes account for 94.3% of total variation. Cross-validation by the leave-one-out procedure showed that the accuracy of the prediction is 56.3%. Foliar treatment with Si had a larger effect on L cultivar than on IB cultivar, as control of L cultivar is completely separated from the other treatments. IB cultivar was far less affected by Si treatments, as the treatments are situated very close to the control. Significantly higher content of phenolic acids had a large effect on the separation of L cultivar control from other treatments of the same genotype, and from IB cultivar. Apigenin and flavonoid content, as well as pulp ratio, had a high effect on the separation of IB and L cultivar. Hydroxityrosyl acetate, as well as 16:1 and 17:1, highly affected the separation of the two cultivars, but also the treatments of L cultivar. Silicon content also affected the separation of datapoints based on treatment factors.
4. Discussion
The consumption of olive oil has been increasing steadily, probably due to the increasingly popular and beneficial Mediterranean diet, in which olive oil is the primary fat source. The importance of olive oil in the Mediterranean diet is immense, and especially of high-quality extra virgin olive oil. The quality of olive oil is specified by determined values for physico-chemical parameters (free acidity, peroxide value, specific extinction coefficients, and content of ethyl esters), as well as organoleptic parameters (presence of fruitiness and lack of defects), while other components and constituents, like fatty acids and polyphenol composition, are intrinsic characteristics of the botanical family, species and variety. Many factors affect the fruit production and physiology of the olive tree, and concomitantly these factors affect the parameters for olive oil production, such as climate conditions, cultivar, agronomic practices and harvest date [,,,].
Research on micronutrient foliar sprays, such as Zn, B, Cu, Fe, and Si, among others, has shown that they can provide an effective way of improving overall plant condition. Foliar application of Si nanoparticles and Zn oxide has been shown to alleviate salt stress on mango trees []. Zahedi et al. [] applied foliar sprays of selenium and selenium nanoparticles to pomegranate, which positively affected fruit yield and quality indices. Moghadam et al. [] showed that the foliar application of silicon improved rapeseed drought tolerance during the late growing season while, under normal irrigation and Si application, the highest seed yield, oil yield, and oleic and linoleic acid contents were obtained.
4.1. Effect of Si Foliar Application of Olive Fruit Morphology
The effects of foliar application of nutrients and bio-stimulants on olive have been previously investigated, and mostly positive effects were observed on pomological parameters (fruit size, mass, diameter and length) in olive [,,]. In research on the foliar application of nano-silicon, Hassan et al. [] showed that the fruit weight of Kalamata olives was higher in nano-silicon sprayed olives compared to unsprayed ones, regardless of the water regime, but with seasonal variability. Results obtained by Wang et al. [] from foliar application of Si to tomato plants showed that 1.2 mmol L−1 treatment increased longitudinal diameter at different ripening stages by 13–41%. Transverse diameter under this treatment also increased compared to control, as did the single fruit yield by 5.55–6.45% over different ripening stages. The application of higher Si foliar concentration (1.8 mmol L−1) yielded a significantly higher fruit shape index. Our results are in agreement with these two investigations, as fruit mass, longitudinal and equatorial diameter increased following Si application. Similar to olive fruit characteristics, olive stone parameters were also noticed to have increased with increased Si application, and effects are quite similar to those of irrigation experiments, where fruit and stone parameters tend to increase as irrigation approaches 100%, etc. []. Application of Si has been shown to be beneficial for increasing fruit parameters of several species, such as grapes [], strawberry [], wheat [], pomegranate [], and mango []. Olive fruit and stone parameters have been investigated for IB and L cultivars under foliar application of N and S []. The cultivar effect in our research was in concordance with this research, as fruit mass and width, pulp mass, and pulp percentage were higher in the IB cultivar, while stone mass, length, width, fruit length-to-width ratio and stone length-to-width ratio were higher in L cultivar.
4.2. Effect of Si Foliar Application on Olive Oil Polyphenols
The effect of phenolic compounds in olive oil has been investigated, and it was shown to have a decisive positive influence on the oxidative stability of olive oils, and that they determine the bitterness and pungency as distinctive sensory characteristics of olive oils [,]. Si foliar fertilization has increased levels of oleuropein, apigenin-7-O-glucoside, luteolin-4-O-glucoside, rutin, and tyrosol in olive leaves []. Effects of foliar fertilization on the polyphenolic contents of olive oil has been researched much less commonly than its effect on leaf polyphenols. Rotondi et al. [] showed that foliar application of kaolinite and chabazite (CHA)-zeolitite can modulate the contents of some polyphenols in olive oil; increased contents of apigenin and pinoresinol and decreased content of vanillic acid. Foliar application of silicon nanoparticles on summer savory showed that it can modify the contents of major polyphenolic components in oil []. Our investigation showed that none of the investigated polyphenols were affected singularly by the applied Si treatments, and only a few were affected by the two-way interaction of Si application and cultivar. These were tyrosol, apigenin, phenolic acids and flavonoids. Contrary to the application of CHA-zeolitite and kaolinite by Rotondi et al. [], apigenin content decreased with Si3 treatment for the L cultivar, and for the IB cultivar with Si2 treatment. Significantly higher values of hydroxytyrosol acetate in the L cultivar could potentially provide a beneficial effect against murine collagen-induced arthritis [].
Cultivar can have a very large influence on the polyphenolic content of olive oil (reviewed by Gallina-Toschi et al. []), which was evident in our research, as only a few polyphenolic compounds were affected by treatment, and almost all were affected by cultivar. In the research of Marcelić et al. [], oil produced from the IB cultivar had a significantly higher content of total phenols compared to the L cultivar. Koprivnjak et al. [] reported that IB cultivar extra virgin olive oil showed higher contents of hydrophilic phenols compared to L cultivar during two years of research. This was also confirmed by Šindrak et al. [] in a two-year experiment, where the IB cultivar had significantly higher total polyphenolic content compared to the L cultivar. This is in concordance with our results, as total phenols were also higher in the IB cultivar, as well as antioxidant activity and several of the most abundant polyphenols, such as oleuropein and its aglycone, hydroxytyrosol, luteolin and apigenin.
4.3. Effect of Si Foliar Application on Fatty Acid Composition and Physico-Chemical Quality Parameters of Olive Oil
The fatty acid composition has been shown by previous research to be highly dependent on olive cultivar and crop year. Cultivar especially influences the oleic to linoleic acid ratio and triglyceride content []. Generally, the cultivar effect dominates over the crop year effect, especially in some Portuguese cultivars (e.g., Redondal and Verdeal Transmontana) that have shown consistently and homogenously high contents of MUFA []. Authors have also shown that cultivar highly influences the relative content of both oleic and palmitic acids, i.e., cultivar effects on fatty acid composition were sufficiently large that, by using linear discriminant analysis, cultivar could be correctly classified with 92% sensitivity based on nine fatty acids. Similar results were obtained by Revelou et al. [], as they were able to classify 199 virgin olive oil samples from four olive cultivars with 99% accuracy. Their chemometric analysis used 11 fatty acids and several parameters calculated from their contents. Our research relates to this almost rigid content of fatty acids, as only palmitic, palmitoleic and linoleic acids were affected by treatment, while margaroleic and erucic acids showed a significant interaction effect, and in most cases IB and L cultivars had contrasting patterns with increasing Si content. Application of kaolin and CHA-zeolitite foliar films can affect the contents of come fatty acids in olive oil, e.g., linoleic and linolenic acids []. Marcelić et al. [] also showed that fatty acid content in olive oil is fairly stable, as foliar treatment with 22.5 mL Thiotrac (750 g/L SO3 and 200 g/L N) did not change the contents of fatty acid profiles. The only exceptions were myristic (C14:0), gadoleic (C20:1), behenic (C22:0) and erucic (22:1) fatty acids. Cultivar similarities with our research could be seen with myristic acid (14:0), as there were no differences between cultivars, lower contents in IB cultivar of palmitic (16:0), and higher contents of cultivar stearic (18:0), linoleic (18:2), behenic (C22:0), and lignoceric acid (C24:0) in IB cultivar. Silicon foliar fertilization of rapeseed showed increases in linoleic and oleic acid (though genotype dependent), which is somewhat similar to our research, as the content of linoleic acid was significantly higher under Si3 treatment compared to control []. Free acidity has been shown to be highly dependent on the cultivar, as well as K232 and K268, ΔK and TPC; the IB cultivar has been shown to have higher values compared to the L cultivar for those five parameters []. Interestingly, the TPC of the IB cultivar is also twice as large compared to L cultivar. Similarly, the cultivar effect has been shown as significant for PV values, as well as the interaction of S and N foliar application and cultivar []. In a similar manner, our results show similar higher PV values for L cultivar, but no effect of treatment on IB cultivar, which is in concordance with the aforementioned research, but also agrees with previous research, in which IB cultivar showed only slight changes under different conditions [,]. In this trial, all our olive oil samples, regardless of cultivar or foliar fertilization treatments, were defined as extra virgin olive oil (EVOO), in accordance with parameter limits previously reported by Marcelić et al. [].
4.4. Effect of Si Foliar Application on Olive Oil Mineral Content
The mineral content of olive oil can change drastically depending on the geographical location, as presented by Sayago et al. [], and the contents of Cu, Fe, Ni, and Si can depend on the method of production, with recorded olive oil Si concentrations up to 8.2 mg/kg for Croatian autochthonous Oblica cultivar []. On the other hand, Fernandez-Poyatos et al. [] reported a Si content of 20 mg/kg in Royal cultivar fruits. Gouvinhas et al. [] determined the contents of minerals in the oil of three Spanish cultivars and, similar to in our research, did not find significant differences between cultivars for Ca, Mg, and Na, while micronutrients showed some variation; variation between cultivars was observed for Mn and Fe. Our research showed significant differences only in Fe contents between cultivars, which corresponds to the aforementioned research. Transfer of minerals from olive fruit to olive oil is rather low and, generally, concentrations of minerals are often ten times lower in olive oil than in olive fruit, depending on the element, as can be seen from the research of Oueslati et al. [].
4.5. Effect of Si Foliar Application on Olive Fruit Yield and Oil Production Parameters
Our results did not show significant effects of cultivar or treatment on water content or dry matter in FOP, while some authors showed slight, but significant, differences between IB and L cultivars. Specifically, in the work performed by Marcelić et al. [], IB had significantly higher contents of oil in dry OP compared to the L cultivar. The same research showed that yields per tree of IB and L cultivars under control conditions are similar, with no significant differences, but can be dependent on foliar treatment. As this research showed, yield per tree was significantly affected by cultivar × treatment interaction, where IB cultivar was shown not to be affected by treatment. In a similar way, our research reveals the effect of Si2 treatment, both on fruit and oil yield, only on the Leccino cultivar. Likewise, different metabolic responses of the IB cultivar compared with the Leccino cultivar under low-temperature stress conditions were previously confirmed []. Effect of Si foliar sprays on increase in yield has been observed in mango with application of KSi [], date palms with application of KSi [], rice [] and cucumber []. This can suggest that Si can be absorbed directly and/or regulate the plant towards a higher nutrient uptake []. Si has been shown to positively affect carbon fixation and assimilation in plants, especially under stressful conditions, by increasing photosynthetic rate, chlorophyll content and carboxylation efficiency, improving mineral uptake and reducing transpiration rates [,,]. All these beneficial effects greatly benefit the overall plant status, and consequently impact plant yield.
5. Conclusions
This study has shown that foliar application of bio-stimulants, such as silicon (Si), can affect olive fruit morphology, olive oil production and quality parameters, fatty acid composition and phenolic content to some extent. Fruit and stone morphological parameters were most affected. As well as large differences between the two studied cultivars, increases were evident with increasing Si foliar application, especially in fruit and stone length and width as well as pulp mass, while pulp percentage did not change. Olive yield per tree was increased by Si2 treatment (1.1 g Si/L) only for the Leccino cultivar, suggesting that a higher total olive oil yield per tree is related to specific cultivar x treatment interplay. Olive oil quality parameters, also mainly predefined by the cultivar, were within the limits for EVOO prescribed by the regulation in force and were not compromised by Si treatments. The results obtained show that foliar application of Si can affect the proportions of some fatty acids (16:0, 16:1, 17:1, 22:1), but the effect of genotype was again generally much larger than that of the applied Si treatments. Sporadically irregular effects of Si on some minor phenols (apigenin, the sum of flavonoids and the sum of phenolic acids) were observed, in all cases expressed for one cultivar and not for the other, which was also evident in the form of significant interactions between cultivar and treatment. Further research should investigate how Si foliar application affects other cultivars, as well as the seasonal variability of these effects. Improving product quality while attaining higher yields would be a milestone in any form of plant production, so the observed increase in olive yield per tree after Si foliar treatment also deserves further attention.
Supplementary Materials
The following supporting information can be downloaded at: https://www.mdpi.com/article/10.3390/app142411500/s1. Figure S1. Differences between cultivars (IB, LE) for oleic to linoleic (O/L, A) and palmitic to linoleic (P/L, B) ratios. Figure S2. Multiple comparisons of the effects of treatment (Si1, Si2, Si3) and cultivar (IB, L) on peroxide value (PV, measured as eq O2/kg) of olive oil from IB and L cultivars.
Author Contributions
Conceptualization I.P. and S.G.B.; validation and formal analysis M.L., Š.M., S.R., I.N., U.K., B.S. and M.P.P.; investigation I.P., Š.M. and M.P.P.; resources I.P., S.G.B. and M.L. data curation M.F. and I.P.; writing—original draft preparation M.F., I.P. and M.L. writing—review and editing M.F., I.P., S.G.B., Š.M., M.L., S.R., I.N., U.K., B.S. and M.P.P.; visualization M.F. and M.P.P.; supervision I.P. and S.G.B.; project administration I.P. and M.P.P.; funding acquisition I.P. and S.G.B. All authors have read and agreed to the published version of the manuscript.
Funding
Open access publication costs for this research was financed by EARDF (European Agricultural Fund for Regional Development), in a framework of Intervention 70.05. Support for the preservation, sustainable use and development of natural resources in agriculture from the Strategic Plan of the Joint Agricultural Policy of the Republic of Croatia 2023–2027 (No.: 950-05-/24-70-05/0005).
Institutional Review Board Statement
Not applicable.
Informed Consent Statement
Not applicable.
Data Availability Statement
The data supporting our findings and analyses are contained in the article itself. Readers can access this data by referring to the article.
Conflicts of Interest
The authors declare no conflicts of interest.
References
- Hagidimitriou, M.; Pontikis, C.A. Seasonal Changes in CO2 Assimilation in Leaves of Five Major Greek Olive Cultivars. Sci. Hortic. 2005, 104, 11–24. [Google Scholar] [CrossRef]
- Pasković, M.P.; Vidović, N.; Lukić, I.; Žurga, P.; Germek, V.M.; Ban, S.G.; Kos, T.; Čoga, L.; Tomljanović, T.; Simonić-Kocijan, S.; et al. Phenolic Potential of Olive Leaves from Different Istrian Cultivars in Croatia. Horticulturae 2023, 9, 594. [Google Scholar] [CrossRef]
- Zakraoui, M.; Hannachi, H.; Pasković, I.; Vidović, N.; Pasković, M.P.; Palčić, I.; Major, N.; Ban, S.G.; Hamrouni, L. Effect of Geographical Location on the Phenolic and Mineral Composition of Chetoui Olive Leaves. Foods 2023, 12, 2565. [Google Scholar] [CrossRef]
- Servili, M.; Sordini, B.; Esposto, S.; Urbani, S.; Veneziani, G.; Di Maio, I.; Selvaggini, R.; Taticchi, A. Biological Activities of Phenolic Compounds of Extra Virgin Olive Oil. Antioxidants 2014, 3, 1–23. [Google Scholar] [CrossRef]
- Román, G.C.; Jackson, R.E.; Reis, J.; Román, A.N.; Toledo, J.B.; Toledo, E. Extra-Virgin Olive Oil for Potential Prevention of Alzheimer Disease. Rev. Neurol. 2019, 175, 705–723. [Google Scholar] [CrossRef] [PubMed]
- Oliveras-López, M.J.; Berná, G.; Jurado-Ruiz, E.; de la Serrana, H.L.G.; Martín, F. Consumption of Extra-Virgin Olive Oil Rich in Phenolic Compounds Has Beneficial Antioxidant Effects in Healthy Human Adults. J. Funct. Foods 2014, 10, 475–484. [Google Scholar] [CrossRef]
- Wildman, R.E.C. Handbook of Nutraceuticals and Functional Foods; CRC Press: Boca Raton, FL, USA, 2020; ISBN 9781498703727. [Google Scholar]
- Revelou, P.K.; Xagoraris, M.; Alexandropoulou, A.; Kanakis, C.D.; Papadopoulos, G.K.; Pappas, C.S.; Tarantilis, P.A. Chemometric Study of Fatty Acid Composition of Virgin Olive Oil from Four Widespread Greek Cultivars. Molecules 2021, 26, 4151. [Google Scholar] [CrossRef]
- Foscolou, A.; Critselis, E.; Panagiotakos, D. Olive Oil Consumption and Human Health: A Narrative Review. Maturitas 2018, 118, 60–66. [Google Scholar] [CrossRef]
- Ruiz-Canela, M.; Martínez-González, M.A. Olive Oil in the Primary Prevention of Cardiovascular Disease. Maturitas 2011, 68, 245–250. [Google Scholar] [CrossRef]
- Cotrim, B.A.; Joglar, J.; Rojas, M.J.L.; Del Olmo, J.M.D.; MacIas-González, M.; Cuevas, M.R.; Fitó, M.; Muñoz-Aguayo, D.; Covas Planells, M.I.; Farré, M.; et al. Unsaturated Fatty Alcohol Derivatives of Olive Oil Phenolic Compounds with Potential Low-Density Lipoprotein (LDL) Antioxidant and Antiobesity Properties. J. Agric. Food Chem. 2012, 60, 1067–1074. [Google Scholar] [CrossRef]
- Covas, M.I.; Konstantinidou, V.; Fitó, M. Olive Oil and Cardiovascular Health. J. Cardiovasc. Pharmacol. 2009, 54, 477–482. [Google Scholar] [CrossRef] [PubMed]
- Scarmeas, N.; Stern, Y.; Tang, M.X.; Mayeux, R.; Luchsinger, J.A. Mediterranean Diet and Risk for Alzheimer’s Disease. Ann. Neurol. 2006, 59, 912. [Google Scholar] [CrossRef] [PubMed]
- Pacheco, Y.M.; López, S.; Bermúdez, B.; Abia, R.; Muriana, F.J.G. Extra-Virgin vs. Refined Olive Oil on Postprandial Hemostatic Markers in Healthy Subjects. J. Thromb. Haemost. 2006, 4, 1421–1422. [Google Scholar] [CrossRef] [PubMed]
- Zhang, Z.; Li, X.; Sang, S.; McClements, D.J.; Chen, L.; Long, J.; Jiao, A.; Jin, Z.; Qiu, C. Polyphenols as Plant-Based Nutraceuticals: Health Effects, Encapsulation, Nano-Delivery, and Application. Foods 2022, 11, 2189. [Google Scholar] [CrossRef] [PubMed]
- Jimenez-Lopez, C.; Carpena, M.; Lourenço-Lopes, C.; Gallardo-Gomez, M.; Lorenzo, J.M.; Barba, F.J.; Prieto, M.A.; Simal-Gandara, J. Bioactive Compounds and Quality of Extra Virgin Olive Oil. Foods 2020, 9, 1014. [Google Scholar] [CrossRef]
- Orlandi, F.; Bonofiglio, T.; Romano, B.; Fornaciari, M. Qualitative and Quantitative Aspects of Olive Production in Relation to Climate in Southern Italy. Sci. Hortic. 2012, 138, 151–158. [Google Scholar] [CrossRef]
- Rondanini, D.P.; Castro, D.N.; Searles, P.S.; Rousseaux, M.C. Contrasting Patterns of Fatty Acid Composition and Oil Accumulation during Fruit Growth in Several Olive Varieties and Locations in a Non-Mediterranean Region. Eur. J. Agron. 2014, 52, 237–246. [Google Scholar] [CrossRef]
- García-Inza, G.P.; Castro, D.N.; Hall, A.J.; Rousseaux, M.C. Responses to Temperature of Fruit Dry Weight, Oil Concentration, and Oil Fatty Acid Composition in Olive (Olea Europaea L. Var. ‘Arauco’). Eur. J. Agron. 2014, 54, 107–115. [Google Scholar] [CrossRef]
- D’Imperio, M.; Dugo, G.; Alfa, M.; Mannina, L.; Segre, A.L. Statistical Analysis on Sicilian Olive Oils. Food Chem. 2007, 102, 956–965. [Google Scholar] [CrossRef]
- Rodrigues, N.; Casal, S.; Pinho, T.; Cruz, R.; Peres, A.M.; Baptista, P.; Pereira, J.A. Fatty Acid Composition from Olive Oils of Portuguese Centenarian Trees Is Highly Dependent on Olive Cultivar and Crop Year. Foods 2021, 10, 496. [Google Scholar] [CrossRef]
- Rodríguez-López, P.; Lozano-Sanchez, J.; Borrás-Linares, I.; Emanuelli, T.; Menéndez, J.A.; Segura-Carretero, A. Structure–Biological Activity Relationships of Extra-Virgin Olive Oil Phenolic Compounds: Health Properties and Bioavailability. Antioxidants 2020, 9, 685. [Google Scholar] [CrossRef]
- Ortega-García, F.; Blanco, S.; Peinado, M.Á.; Peragón, J. Polyphenol Oxidase and Oleuropein in Olives and Their Changes during Olive Ripening. In Olives and Olive Oil in Health and Disease Prevention; Academic Press: Cambridge, MA, USA, 2020; pp. 123–129. [Google Scholar] [CrossRef]
- Lia, F.; Zammit-Mangion, M.; Farrugia, C. A First Description of the Phenolic Profile of EVOOs from the Maltese Islands Using SPE and HPLC: Pedo-Climatic Conditions Modulate Genetic Factors. Agriculture 2019, 9, 107. [Google Scholar] [CrossRef]
- Yılmaz-Düzyaman, H.; Medina-Alonso, M.G.; Sanz, C.; Pérez, A.G.; de la Rosa, R.; León, L. Influence of Genotype and Environment on Fruit Phenolic Composition of Olive. Horticulturae 2023, 9, 1087. [Google Scholar] [CrossRef]
- Hassan, I.F.; Ajaj, R.; Gaballah, M.S.; Ogbaga, C.C.; Kalaji, H.M.; Hatterman-valenti, H.M.; Alam-eldein, S.M. Foliar Application of Nano-Silicon Improves the Physiological and Biochemical Characteristics of ‘Kalamata’ Olive Subjected to Deficit Irrigation in a Semi-Arid Climate. Plants 2022, 11, 1561. [Google Scholar] [CrossRef] [PubMed]
- Rotondi, A.; Bertazza, G.; Faccini, B.; Ferretti, G.; Morrone, L. Effect of Different Foliar Particle Films (Kaolin and Zeolitite) on Chemical and Sensory Properties of Olive Oil. Agronomy 2022, 12, 3088. [Google Scholar] [CrossRef]
- Nargesi, M.M.; Sedaghathoor, S.; Hashemabadi, D. Effect of Foliar Application of Amino Acid, Humic Acid and Fulvic Acid on the Oil Content and Quality of Olive. Saudi J. Biol. Sci. 2022, 29, 3473–3481. [Google Scholar] [CrossRef] [PubMed]
- Fernández-Escobar, R. Olive Nutritional Status and Tolerance to Biotic and Abiotic Stresses. Front. Plant Sci. 2019, 10, 461742. [Google Scholar] [CrossRef]
- Brito, C.; Dinis, L.T.; Moutinho-Pereira, J.; Correia, C. Kaolin, an Emerging Tool to Alleviate the Effects of Abiotic Stresses on Crop Performance. Sci. Hortic. 2019, 250, 310–316. [Google Scholar] [CrossRef]
- Nascimento-Silva, K.; Benlloch-González, M.; Fernández-Escobar, R. Silicon Nutrition in Young Olive Plants: Effect of Dose, Application Method, and Cultivar. HortScience 2022, 57, 1534–1539. [Google Scholar] [CrossRef]
- Martos-García, I.; Fernández-Escobar, R.; Benlloch-González, M. Silicon Is a Non-Essential Element but Promotes Growth in Olive Plants. Sci. Hortic. 2024, 323, 112541. [Google Scholar] [CrossRef]
- Tekaya, M.; Mechri, B.; Bchir, A.; Attia, F.; Cheheb, H.; Daassa, M.; Hammami, M. Enhancement of Antioxidants in Olive Oil by Foliar Fertilization of Olive Trees. J. Am. Oil Chem. Soc. 2013, 90, 1377–1386. [Google Scholar] [CrossRef]
- Pasković, I.; Soldo, B.; Talhaoui, N.; Palčić, I.; Brkljača, M.; Koprivnjak, O.; Majetić Germek, V.; Ban, D.; Klanjac, J.; Franić, M.; et al. Boron Foliar Application Enhances Oleuropein Level and Modulates Volatile Compound Composition in Olive Leaves. Sci. Hortic. 2019, 257, 108688. [Google Scholar] [CrossRef]
- Saadati, S.; Moallemi, N.; Mortazavi, S.M.H.; Seyyednejad, S.M. Effects of Zinc and Boron Foliar Application on Soluble Carbohydrate and Oil Contents of Three Olive Cultivars during Fruit Ripening. Sci. Hortic. 2013, 164, 30–34. [Google Scholar] [CrossRef]
- Pasković, I.; Franić, M.; Polić Pasković, M.; Talhaoui, N.; Marcelić, Š.; Lukić, I.; Fredotović, Ž.; Žurga, P.; Major, N.; Ban, S.G.; et al. Silicon Foliar Fertilisation Ameliorates Olive Leaves Polyphenolic Compounds Levels and Elevates Its Potential towards Different Cancer Cells. Appl. Sci. 2024, 14, 4669. [Google Scholar] [CrossRef]
- Mark, J.; Fantke, P.; Soheilifard, F.; Alcon, F.; Contreras, J.; Abrantes, N.; Campos, I.; Baldi, I.; Bureau, M.; Alaoui, A.; et al. Selected Farm-Level Crop Protection Practices in Europe and Argentina: Opportunities for Moving toward Sustainable Use of Pesticides. J. Clean. Prod. 2024, 477, 143577. [Google Scholar] [CrossRef]
- Vidović, N.; Pasković, I.; Marcelić, Š.; Lukić, I.; Brkić Bubola, K.; Klisović, D.; Novoselić, A.; Palčić, I.; Polić Pasković, M.; Herak Ćustić, M.; et al. Effect of Combined Sulfur and Nitrogen Foliar Supply on Olive Oil Volatile Compounds and Sensory Attributes. Horticulturae 2022, 8, 912. [Google Scholar] [CrossRef]
- International Olive Council [IOC]. Determination of Free Fatty Acids, Cold Method. COI/T.20/Doc. No 34. International Olive Council, [IOC]: Madrid, Spain. 2017. Available online: https://www.internationaloliveoil.org/wp-content/uploads/2019/11/COI-T.20-Doc.-No-34-Rev.-1-2017.pdf (accessed on 24 July 2024).
- International Olive Council [IOC]. Determination of Peroxide Value. COI/T.20/Doc. No 35. International Olive Council, [IOC]: Madrid, Spain. 2017. Available online: https://www.internationaloliveoil.org/wp-content/uploads/2019/11/Method-COI-T.20-Doc.-No-35-Rev.-1-2017.pdf (accessed on 24 July 2024).
- International Olive Council [IOC]. Spectrophotometric Investigation in the Ultraviolet. COI/T.20/Doc. No 19. International Olive Council, [IOC]: Madrid, Spain. 2019. Available online: https://www.internationaloliveoil.org/wp-content/uploads/2019/11/Method-COI-T.20-Doc.-No-19-Rev.-5-2019-2.pdf (accessed on 24 July 2024).
- International Olive Council [IOC]. Determination of Biophenols in Olive Oil by HPLC. COI/T.20/Doc. No. 29. International Olive Council, [IOC]: Madrid, Spain. 2022. Available online: https://www.internationaloliveoil.org/wp-content/uploads/2022/06/Doc.-No-29-REV-2_ENK.pdf (accessed on 24 July 2024).
- Jerman Klen, T.; Golc Wondra, A.; Vrhovšek, U.; Mozetič Vodopivec, B. Phenolic Profiling of Olives and Olive Oil Process-Derived Matrices Using UPLC-DAD-ESI-QTOF-HRMS Analysis. J. Agric. Food Chem. 2015, 63, 3859–3872. [Google Scholar] [CrossRef]
- Singleton, V.L.; Orthofer, R.; Lamuela-Raventós, R.M. [14] Analysis of Total Phenols and Other Oxidation Substrates and Antioxidants by Means of Folin-Ciocalteu Reagent. Methods Enzymol. 1999, 299, 152–178. [Google Scholar] [CrossRef]
- Gutfinger, T. Polyphenols in Olive Oils. J. Am. Oil Chem. Soc. 1981, 58, 966–968. [Google Scholar] [CrossRef]
- Brand-Williams, W.; Cuvelier, M.E.; Berset, C. Use of a Free Radical Method to Evaluate Antioxidant Activity. LWT-Food Sci. Technol. 1995, 28, 25–30. [Google Scholar] [CrossRef]
- Larrauri, A.; Saura-Calixto, F. A Procedure to Measure the Antiradical Efficiency of Polyphenols. J. Sci. Food Agric. 1998, 76, 270–276. [Google Scholar]
- International Olive Council [IOC]. Determination of Fatty Acid Methyl Esters by Gas Chromatography. COI/T.20/Doc. No 33. International Olive Council, [IOC]: Madrid, Spain. 2017. Available online: https://www.internationaloliveoil.org/wp-content/uploads/2023/11/COI-T20-33-rev-1-ENG.pdf (accessed on 24 July 2024).
- R Core Team. R: A Language and Environment for Statistical Computing. R Foundation for Statistical Computing: Vienna, Austria. References-Scientific Research Publishing. 2020. Available online: https://scirp.org/reference/referencespapers?referenceid=3064798 (accessed on 25 September 2024).
- Hammer, Ø.; Harper, D.A.T.; Ryan, P.D. PAST Paleontological Statistics Software Package for Education and Data Analysis. Palaeontol. Electron. 2001, 4, 9. Available online: https://www.scirp.org/reference/referencespapers?referenceid=1540241 (accessed on 25 September 2024).
- Koprivnjak, O.; Conte, L. Specific Components of Virgin Olive Oil in the Role of Active Participants in Oxidative Processes. Food Technol. Biotechnol. 1998, 36, 229–234. Available online: https://www.croris.hr/crosbi/publikacija/prilog-casopis/89611 (accessed on 15 October 2024).
- García-Inza, G.P.; Hall, A.J.; Rousseaux, M.C. Proportion of Oleic Acid in Olive Oil as Influenced by the Dimensions of the Daily Temperature Oscillation. Sci. Hortic. 2018, 227, 305–312. [Google Scholar] [CrossRef]
- Dabbou, S.; Dabbou, S.; Chehab, H.; Brahmi, F.; Taticchi, A.; Servili, M.; Hammami, M. Chemical Composition of Virgin Olive Oils from Koroneiki Cultivar Grown in Tunisia with Regard to Fruit Ripening and Irrigation Regimes. Int. J. Food Sci. Technol. 2011, 46, 577–585. [Google Scholar] [CrossRef]
- Portarena, S.; Farinelli, D.; Lauteri, M.; Famiani, F.; Esti, M.; Brugnoli, E. Stable Isotope and Fatty Acid Compositions of Monovarietal Olive Oils: Implications of Ripening Stage and Climate Effects as Determinants in Traceability Studies. Food Control. 2015, 57, 129–135. [Google Scholar] [CrossRef]
- Bakhouche, A.; Lozano-Sánchez, J.; Beltrán-Debón, R.; Joven, J.; Segura-Carretero, A.; Fernández-Gutiérrez, A. Phenolic Characterization and Geographical Classification of Commercial Arbequina Extra-Virgin Olive Oils Produced in Southern Catalonia. Food Res. Int. 2013, 50, 401–408. [Google Scholar] [CrossRef]
- Elsheery, N.I.; Helaly, M.N.; El-Hoseiny, H.M.; Alam-Eldein, S.M. Zinc Oxide and Silicone Nanoparticles to Improve the Resistance Mechanism and Annual Productivity of Salt-Stressed Mango Trees. Agronomy 2020, 10, 558. [Google Scholar] [CrossRef]
- Zahedi, S.M.; Hosseini, M.S.; Meybodi, N.D.H.; da Silva, J.A.T. Foliar Application of Selenium and Nano-Selenium Affects Pomegranate (Punica Granatum Cv. Malase Saveh) Fruit Yield and Quality. South Afr. J. Bot. 2019, 124, 350–358. [Google Scholar] [CrossRef]
- Moghadam, M.S.K.; Rad, A.H.S.; Khodabin, G.; Jalilian, A.; Bakhshandeh, E. Application of Silicon for Improving Some Physiological Characteristics, Seed Yield, and Oil Quality of Rapeseed Genotypes Under Late-Season Drought Stress. J. Soil Sci. Plant Nutr. 2022, 22, 2872–2890. [Google Scholar] [CrossRef]
- Zouari, I.; Mechri, B.; Mguidiche, A.; Attia, F.; Hammami, M.; Martins, M.; Ribeiro, H.; Aïachi-Mezghani, M. Efficiency of Foliar Fertilization for the Improvement of Pomological Parameters, Mineral Composition, Carbohydrates Status and Polyphenols Components in Olive Fruit Cultivar Chemlali. J. Plant Nutr. 2023, 46, 1946–1959. [Google Scholar] [CrossRef]
- Srujan, B.C.; Mishra, S.; Bahadur, V. Effect of Foliar Spray of Micronutrients and Plant Growth Regulators on Flowering, Fruit Pomology and Oil Yield. Int. J. Plant Soil Sci. 2023, 35, 191–199. [Google Scholar] [CrossRef]
- Marcelić, Š.; Vidović, N.; Pasković, I.; Lukić, M.; Špika, M.J.; Palčić, I.; Lukić, I.; Petek, M.; Pecina, M.; Herak Ćustić, M.; et al. Combined Sulfur and Nitrogen Foliar Application Increases Extra Virgin Olive Oil Quantity without Affecting Its Nutritional Quality. Horticulturae 2022, 8, 203. [Google Scholar] [CrossRef]
- Wang, L.; Jin, N.; Xie, Y.; Zhu, W.; Yang, Y.; Wang, J.; Lei, Y.; Liu, W.; Wang, S.; Jin, L.; et al. Improvements in the Appearance and Nutritional Quality of Tomato Fruits Resulting from Foliar Spraying with Silicon. Foods 2024, 13, 223. [Google Scholar] [CrossRef]
- Jukić Špika, M.; Romić, D.; Žanetić, M.; Zovko, M.; Klepo, T.; Strikić, F.; Perica, S. Irrigation of Young Olives Grown on Reclaimed Karst Soil Increases Fruit Size, Weight and Oil Yield and Balances the Sensory Oil Profile. Foods 2022, 11, 2923. [Google Scholar] [CrossRef]
- Datir, S.S.; Ahire, K.D. Physiological Studies on Effects of Silixol on Quality and Yield in Thompson Seedless Grapes. Ann. Plant Physiol. 2012, 26, 47–51. [Google Scholar]
- Zdylik, Z.; Pacholak, E.; Rutkowski, K. Effect of Actisil Preparation on the Growth of Strawberries Grown in the Soil Depleted by a Long Monoculture. Adv. Agric. Sci. Probl. Issues 2009, 536, 259–265. [Google Scholar]
- Ratnakumar, P.; Deokate, P.P.; Rane, J.; Jain, N.; Kumar, V.; Berghe, D.V.; Minhas, P.S. Effect of Ortho-Silicic Acid Exogenous Application on Wheat (Triticum Aestivum L.) under Drought. J. Funct. Environ. Bot. 2016, 6, 34. [Google Scholar] [CrossRef]
- Ahmed, F.F.; Mansour, A.E.M.; Mohamed, A.Y.; Mostafa, E.A.M.; Ashour, N.E. Using Silicon And Salicylic Acid For Promoting Production Of Hindybisinnara Mango Trees Grown Under Sandy Soil. Middle East J. Agric. Res. 2013, 2, 51–55. [Google Scholar]
- Tsimidou, M. Polyphenols and Quality of Virgin Olive Oil in Retrospect. Ital. J. Food Sci. 1998, 10, 99–116. [Google Scholar]
- Gallina-Toschi, T.; Cerretani, L.; Bendini, A.; Bonoli-Carbognin, M.; Lercker, G. Oxidative Stability and Phenolic Content of Virgin Olive Oil: An Analytical Approach by Traditional and High Resolution Techniques. J. Sep. Sci. 2005, 28, 859–870. [Google Scholar] [CrossRef] [PubMed]
- Memari-Tabrizi, E.F.; Yousefpour-Dokhanieh, A.; Babashpour-Asl, M. Foliar-Applied Silicon Nanoparticles Mitigate Cadmium Stress through Physio-Chemical Changes to Improve Growth, Antioxidant Capacity, and Essential Oil Profile of Summer Savory (Satureja Hortensis L.). Plant Physiol. Biochem. 2021, 165, 71–79. [Google Scholar] [CrossRef] [PubMed]
- Rosillo, M.A.; Sánchez-Hidalgo, M.; González-Benjumea, A.; Fernández-Bolaños, J.G.; Lubberts, E.; Alarcón-de-la-Lastra, C. Preventive Effects of Dietary Hydroxytyrosol Acetate, an Extra Virgin Olive Oil Polyphenol in Murine Collagen-Induced Arthritis. Mol. Nutr. Food Res. 2015, 59, 2537–2546. [Google Scholar] [CrossRef] [PubMed]
- Koprivnjak, O.; Vrhovnik, I.; Hladnik, T.; Prgomet, Ž.; Hlevnjak, B.; Majetić Germek, V. Characteristics of Nutritive Value of Virgin Olive Oils from Buža, Istarska Bjelica, Leccino and Rosulja Cultivars. Hrvat. Časopis Za PrehrambenuTehnol. Biotehnol. I Nutr. 2012, 7, 172–178. [Google Scholar]
- Šindrak, Z.; Benčić, Đ.; Voća, S.; Berberić, A. Ukupne Fenolne Tvari u Sortnim Istarskim Maslinovim Uljima. Pomol. Croat. Glas. Hrvat. Agron. Društva 2007, 13, 17–29. [Google Scholar]
- Pasković, I.; Lukić, I.; Žurga, P.; Germek, V.M.; Brkljača, M.; Koprivnjak, O.; Major, N.; Grozić, K.; Franić, M.; Ban, D.; et al. Temporal Variation of Phenolic and Mineral Composition in Olive Leaves Is Cultivar Dependent. Plants 2020, 9, 1099. [Google Scholar] [CrossRef]
- Sayago, A.; González-Domínguez, R.; Beltrán, R.; Fernández-Recamales, Á. Combination of Complementary Data Mining Methods for Geographical Characterization of Extra Virgin Olive Oils Based on Mineral Composition. Food Chem. 2018, 261, 42–50. [Google Scholar] [CrossRef]
- Zeiner, M.; Juranovic-Cindric, I.; Škevin, D. Characterization of Extra Virgin Olive Oils Derived from the Croatian Cultivar Oblica. Eur. J. Lipid Sci. Technol. 2010, 112, 1248–1252. [Google Scholar] [CrossRef]
- Gouvinhas, I.; Domínguez-Perles, R.; Machado, N.; Carvalho, T.; Matos, C.; Barros, A.I.R.N.A. Effect of Agro-Environmental Factors on the Mineral Content of Olive Oils: Categorization of the Three Major Portuguese Cultivars. J. Am. Oil Chem. Soc. 2016, 93, 813–822. [Google Scholar] [CrossRef]
- Oueslati, A.; Dabbou, S.; Methneni, N.; Montevecchi, G.; Nava, V.; Rando, R.; Bartolomeo, G.; Antonelli, A.; Di Bella, G.; Ben Mansour, H. Pomological and Olive Oil Quality Characteristics Evaluation under Short Time Irrigation of Olive Trees Cv. Chemlali with Untreated Industrial Poultry Wastewater. Sustainability 2023, 15, 4198. [Google Scholar] [CrossRef]
- Al-Wasfy Hort, M.M. Response of Sakkoti Date Palms to Foliar Application of Royal Jelly, Silicon and Vitamins B. J. Am. Sci. 2013, 9, 315–321. [Google Scholar]
- Prakash, N.B.; Chandrashekar, N.; Mahendra, C.; Patil, S.U.; Thippeshappa, G.N.; Laane, H.M. Effect of Foliar Spray of Soluble Silicic Acid on Growth and Yield Parameters of Wetland Rice in Hilly and Coastal Zone Soils of Karnataka, South India. J. Plant Nutr. 2011, 34, 1883–1893. [Google Scholar] [CrossRef]
- Emad, A.-A.; Yousry, B.; Elmahdy, M.; Mohamed, R. Silicon Supplements Affect Yield and Fruit Quality of Cucumber (Cucumis Sativus L.) Grown in Net Houses. Afr. J. Agric. Res. 2017, 12, 2518–2523. [Google Scholar] [CrossRef]
- Zhu, Y.X.; Gong, H.J.; Yin, J.L. Role of Silicon in Mediating Salt Tolerance in Plants: A Review. Plants 2019, 8, 147. [Google Scholar] [CrossRef] [PubMed]
- Maghsoudi, K.; Emam, Y.; Ashraf, M.; Javad Arvin, M. Alleviation of Field Water Stress in Wheat Cultivars by Using Silicon and Salicylic Acid Applied Separately or in Combination. Crop Pasture Sci. 2019, 70, 36–43. [Google Scholar] [CrossRef]
- Chen, W.; Yao, X.; Cai, K.; Chen, J. Silicon Alleviates Drought Stress of Rice Plants by Improving Plant Water Status, Photosynthesis and Mineral Nutrient Absorption. Biol. Trace Elem. Res. 2011, 142, 67–76. [Google Scholar] [CrossRef]
- Coskun, D.; Britto, D.T.; Huynh, W.Q.; Kronzucker, H.J. The Role of Silicon in Higher Plants under Salinity and Drought Stress. Front. Plant Sci. 2016, 7, 1072. [Google Scholar] [CrossRef]
Disclaimer/Publisher’s Note: The statements, opinions and data contained in all publications are solely those of the individual author(s) and contributor(s) and not of MDPI and/or the editor(s). MDPI and/or the editor(s) disclaim responsibility for any injury to people or property resulting from any ideas, methods, instructions or products referred to in the content. |
© 2024 by the authors. Licensee MDPI, Basel, Switzerland. This article is an open access article distributed under the terms and conditions of the Creative Commons Attribution (CC BY) license (https://creativecommons.org/licenses/by/4.0/).