Effect of Spirulina Nigrita® on Exercise-Induced Oxidative Stress in Humans: A Breath Analysis Study
Abstract
1. Introduction
2. Materials and Methods
2.1. Intervention Design
2.2. Eccentric Exercise Protocol
2.3. Determination of Plasma Thiobarbituric Acid Reactive Substances (TBARSs)
2.4. Breath Analysis
2.5. Data Processing
2.6. Statistical Analysis
3. Results
3.1. Effect of Spirulina Supplementation on the Alveolar Gradient of Exhaled Breath Alkanes
3.2. Effect of Spirulina Supplementation on the Kinetics of Exhaled Breath Alkanes After a Protocol of Eccentric Exercise
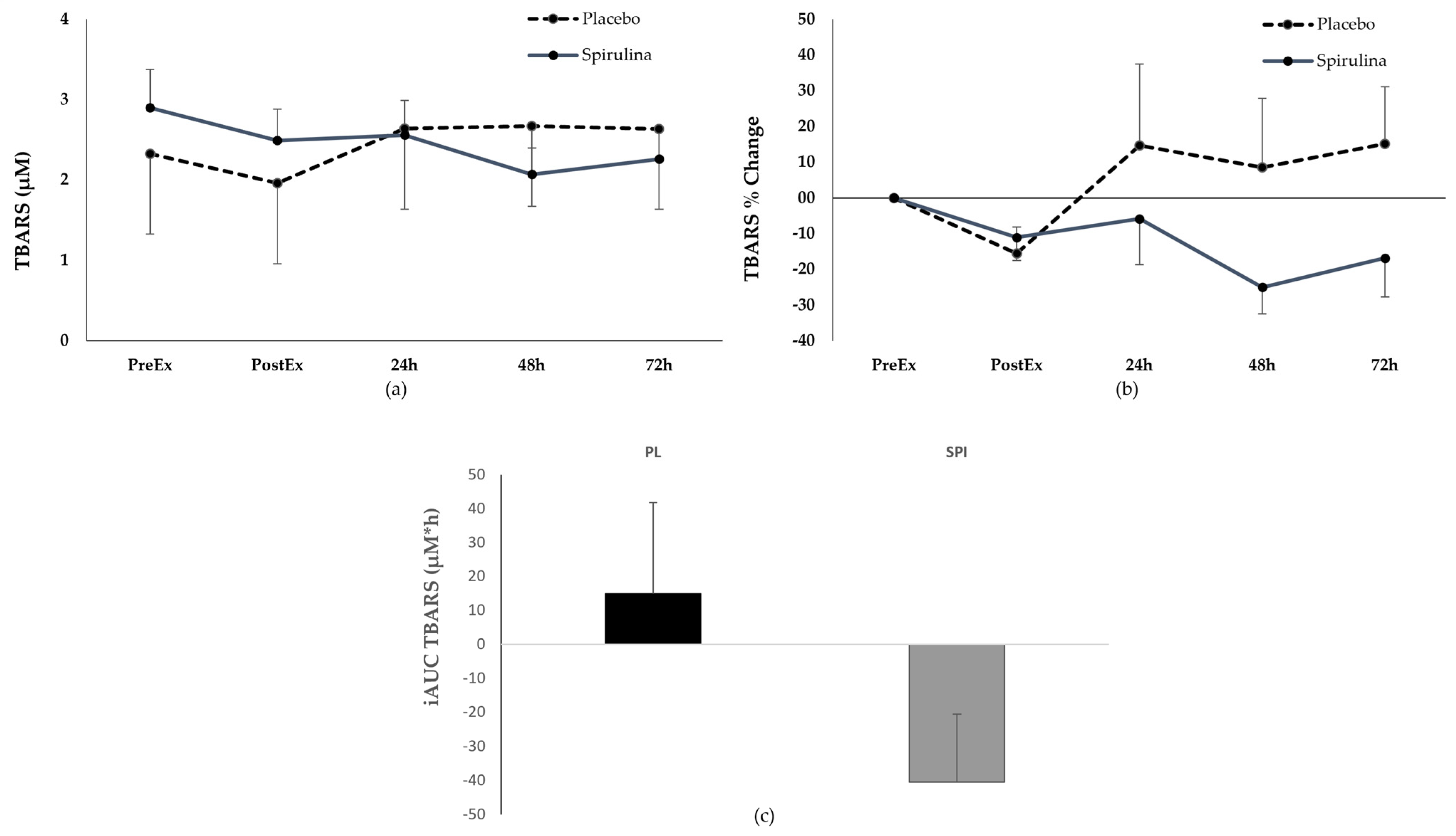
3.3. Effect of Spirulina Supplementation on TBARSs After a Protocol of Eccentric Exercise
4. Discussion
5. Conclusions
Author Contributions
Funding
Institutional Review Board Statement
Informed Consent Statement
Data Availability Statement
Conflicts of Interest
References
- Pizzino, G.; Irrera, N.; Cucinotta, M.; Pallio, G.; Mannino, F.; Arcoraci, V.; Squadrito, F.; Altavilla, D.; Bitto, A. Oxidative Stress: Harms and Benefits for Human Health. Oxid. Med. Cell. Longev. 2017, 2017, 8416763. [Google Scholar] [CrossRef] [PubMed]
- Rahman, T.; Hosen, I.; Islam, M.M.T.; Shekhar, H.U. Oxidative Stress and Human Health. Adv. Biosci. Biotechnol. 2012, 03, 997–1019. [Google Scholar] [CrossRef]
- Powers, S.K.; Nelson, W.B.; Hudson, M.B. Exercise-Induced Oxidative Stress in Humans: Cause and Consequences. Free Radic. Biol. Med. 2011, 51, 942–950. [Google Scholar] [CrossRef] [PubMed]
- Koyama, K. Exercise-Induced Oxidative Stress: A Tool for “Hormesis” and “Adaptive Response”. J. Phys. Fit. Sport. Med. 2014, 3, 115–120. [Google Scholar] [CrossRef]
- Bloomer, R.J. Chapter 1 Effect of Exercise On Oxidative Stress Biomarkers. Adv. Clin. Chem. 2008, 46, 1–50. [Google Scholar] [CrossRef]
- Methenitis, S.; Stergiou, I.; Antonopoulou, S.; Nomikos, T. Can Exercise-Induced Muscle Damage Be a Good Model for the Investigation of the Anti-Inflammatory Properties of Diet in Humans? Biomedicines 2021, 9, 36. [Google Scholar] [CrossRef]
- Kawamura, T.; Muraoka, I. Exercise-Induced Oxidative Stress and the Effects of Antioxidant Intake from a Physiological Viewpoint. Antioxidants 2018, 7, 119. [Google Scholar] [CrossRef]
- Goldfarb, A.H. Antioxidants: Role of Supplementation to Prevent Exercise Indused Oxidative Stress. Med. Sci. Sport. Exerc. 1993, 25, 232–236. [Google Scholar] [CrossRef]
- Elejalde, E.; Villarán, M.C.; Alonso, R.M. Grape Polyphenols Supplementation for Exercise-Induced Oxidative Stress. J. Int. Soc. Sports Nutr. 2021, 18, 3. [Google Scholar] [CrossRef]
- Kerksick, C.; Willoughby, D. The Antioxidant Role of Glutathione and N-Acetyl-Cysteine Supplements and Exercise-Induced Oxidative Stress. J. Int. Soc. Sports Nutr. 2005, 2, 38–44. [Google Scholar] [CrossRef]
- O’Connor, E.; Mündel, T.; Barnes, M.J. Nutritional Compounds to Improve Post-Exercise Recovery. Nutrients 2022, 14, 5069. [Google Scholar] [CrossRef] [PubMed]
- Peternelj, T.-T.; Coombes, J.S. Antioxidant Supplementation during Exercise Training Beneficial or Detrimental? Sport. Med. 2011, 41, 1043–1069. [Google Scholar] [CrossRef] [PubMed]
- Shao, W.; Ebaid, R.; El-Sheekh, M.; Abomohra, A.; Eladel, H. Pharmaceutical Applications and Consequent Environmental Impacts of Spirulina (Arthrospira): An Overview; Aplicaciones Farmacéuticas e Impactos Ambientales de La Spirulina (Arthrospira). Una Visión General. Grasas Aceites 2019, 70, e292. [Google Scholar] [CrossRef]
- Han, P.; Li, J.; Zhong, H.; Xie, J.; Zhang, P.; Lu, Q.; Li, J.; Xu, P.; Chen, P.; Leng, L.; et al. Anti-Oxidation Properties and Therapeutic Potentials of Spirulina. Algal Res. 2021, 55, 102240. [Google Scholar] [CrossRef]
- Liping, L.; Li-an, Q.; Yiquan, W.; Guorong, Y. Spirulina Platensis Extract Supplementation Attenuates Oxidative Stress in Acute Exhaustive Exercise: A Pilot Study. Int. J. Phys. Sci. 2011, 6, 2901–2906. [Google Scholar]
- Lu, H.K.; Hsieh, C.C.; Hsu, J.J.; Yang, Y.K.; Chou, H.N. Preventive Effects of Spirulina Platensis on Skeletal Muscle Damage under Exercise-Induced Oxidative Stress. Eur. J. Appl. Physiol. 2006, 98, 220–226. [Google Scholar] [CrossRef]
- Kalafati, M.; Jamurtas, A.Z.; Nikolaidis, M.G.; Paschalis, V.; Theodorou, A.A.; Sakellariou, G.K.; Koutedakis, Y.; Kouretas, D. Ergogenic and Antioxidant Effects of Spirulina Supplementation in Humans. Med. Sci. Sports Exerc. 2010, 42, 142–151. [Google Scholar] [CrossRef]
- Calella, P.; Cerullo, G.; Di Dio, M.; Liguori, F.; Di Onofrio, V.; Gallè, F.; Liguori, G. Antioxidant, Anti-Inflammatory and Immunomodulatory Effects of Spirulina in Exercise and Sport: A Systematic Review. Front. Nutr. 2022, 9, 1048258. [Google Scholar] [CrossRef]
- Czerska, M.; Mikołajewska, K.; Zieliński, M.; Gromadzińska, J.; Wąsowicz, W. Today’s Oxidative Stress Markers. Med. Pr. 2015, 66, 393–405. [Google Scholar] [CrossRef]
- Pereira, J.; Porto-Figueira, P.; Cavaco, C.; Taunk, K.; Rapole, S.; Dhakne, R.; Nagarajaram, H.; Câmara, J.S. Breath Analysis as a Potential and Non-Invasive Frontier in Disease Diagnosis: An Overview. Metabolites 2015, 5, 3–55. [Google Scholar] [CrossRef]
- Davis, M.D.; Fowler, S.J.; Montpetit, A.J. Exhaled Breath Testing—A Tool for the Clinician and Researcher. Paediatr. Respir. Rev. 2019, 29, 37–41. [Google Scholar] [CrossRef] [PubMed]
- Haick, H.; Broza, Y.Y.; Mochalski, P.; Ruzsanyi, V.; Amann, A. Assessment, Origin, and Implementation of Breath Volatile Cancer Markers. Chem. Soc. Rev. 2014, 43, 1423–1449. [Google Scholar] [CrossRef] [PubMed]
- De Lacy Costello, B.; Amann, A.; Al-Kateb, H.; Flynn, C.; Filipiak, W.; Khalid, T.; Osborne, D.; Ratcliffe, N.M. A Review of the Volatiles from the Healthy Human Body. J. Breath Res. 2014, 8, 14001. [Google Scholar] [CrossRef] [PubMed]
- Wang, Z.; Wang, C. Is Breath Acetone a Biomarker of Diabetes? A Historical Review on Breath Acetone Measurements. J. Breath Res. 2013, 7, 037109. [Google Scholar] [CrossRef]
- Mochalski, P.; King, J.; Mayhew, C.A.; Unterkofler, K. A Review on Isoprene in Human Breath. J. Breath Res. 2023, 17, 037101. [Google Scholar] [CrossRef]
- Sutaria, S.R.; Gori, S.S.; Morris, J.D.; Xie, Z.; Fu, X.A.; Nantz, M.H. Lipid Peroxidation Produces a Diverse Mixture of Saturated and Unsaturated Aldehydes in Exhaled Breath That Can Serve as Biomarkers of Lung Cancer—A Review. Metabolites 2022, 12, 561. [Google Scholar] [CrossRef]
- Chou, H.; Arthur, K.; Shaw, E.; Schaber, C.; Boyle, B.; Allsworth, M.; Kelley, E.F.; Stewart, G.M.; Wheatley, C.M.; Schwartz, J.; et al. Metabolic Insights at the Finish Line: Deciphering Physiological Changes in Ultramarathon Runners through Breath VOC Analysis. J. Breath Res. 2024, 18, 026008. [Google Scholar] [CrossRef]
- Henderson, B.; Meurs, J.; Lamers, C.R.; Batista, G.L.; Materi, D.; Holzinger, R.; Harren, F.J.M.; Jansen, J.J. Non-Invasive Monitoring of Inflammation in Inflammatory Bowel Disease Patients during Prolonged Exercise via Exhaled Breath Volatile Organic Compounds. Metabolites 2022, 12, 224. [Google Scholar] [CrossRef]
- van der Kamp, M.R.; Driessen, J.M.M.; van der Schee, M.P.; Thio, B.J.; de Jongh, F.H.C. Volatile Organic Breath Components and Exercise Induced Bronchoconstriction in Asthmatic Children. Allergy Asthma Clin. Immunol. 2021, 17, 121. [Google Scholar] [CrossRef]
- Ratcliffe, N.; Wieczorek, T.; Drabińska, N.; Gould, O.; Osborne, A.; De Lacy Costello, B. A Mechanistic Study and Review of Volatile Products from Peroxidation of Unsaturated Fatty Acids: An Aid to Understanding the Origins of Volatile Organic Compounds from the Human Body. J. Breath Res. 2020, 14, 034001. [Google Scholar] [CrossRef]
- Aghdassi, E.; Allard, J.P. Breath Alkanes as a Marker of Oxidative Stress in Different Clinical Conditions. Free Radic. Biol. Med. 2000, 28, 880–886. [Google Scholar] [CrossRef] [PubMed]
- Phillips, M.; Cataneo, R.N.; Saunders, C.; Hope, P.; Schmitt, P.; Wai, J. Volatile Biomarkers in the Breath of Women with Breast Cancer. J. Breath Res. 2010, 4, 026003. [Google Scholar] [CrossRef] [PubMed]
- Arakeri, G.; Boraks, G.; Aljabab, A.S.; Patil, S.G.; Merkx, M.A.W.; Brennan, P.A. Breath Alkane as an Index of Severity for Oral Submucous Fibrosis: A New Perspective? Med. Hypotheses 2017, 98, 18–20. [Google Scholar] [CrossRef] [PubMed]
- Jalali, M.; Zare Sakhvidi, M.J.; Bahrami, A.; Berijani, N.; Mahjub, H. Oxidative Stress Biomarkers in Exhaled Breath of Workers Exposed to Crystalline Silica Dust by SPME-GC-MS. J. Res. Health Sci. 2016, 16, 153–161. [Google Scholar]
- Phillips, M.; Cataneo, R.N.; Greenberg, J.; Gunawardena, R.; Naidu, A.; Rahbari-Oskoui, F. Effect of Age on the Breath Methylated Alkane Contour, a Display of Apparent New Markers of Oxidative Stress. J. Lab. Clin. Med. 2000, 136, 243–249. [Google Scholar] [CrossRef]
- Paredi, P.; Kharitonov, S.A.; Barnes, P.J. Analysis of Expired Air for Oxidation Products. Am. J. Respir. Crit. Care Med. 2002, 166, S31–S37. [Google Scholar] [CrossRef]
- Moretti, M.; Phillips, M.; Abouzeid, A.; Cataneo, R.N.; Greenberg, J. Increased Breath Markers of Oxidative Stress in Normal Pregnancy and in Preeclampsia. Am. J. Obstet. Gynecol. 2004, 190, 1184–1190. [Google Scholar] [CrossRef]
- Calenic, B.; Miricescu, D.; Greabu, M.; Kuznetsov, A.V.; Troppmair, J.; Ruzsanyi, V.; Amann, A. Oxidative Stress and Volatile Organic Compounds: Interplay in Pulmonary, Cardio-Vascular, Digestive Tract Systems and Cancer. Open Chem. 2015, 13, 1020–1030. [Google Scholar] [CrossRef]
- Moukhamedieva, L.; Dolch, M.; Ozerov, D.; Fetter, V.; Lenic, J.; Kornienko, A.; Grosser, J.; Tsarkov, D.; Roth, P.; Nitzer, R. Molecular Metabolites—Biomarkers of Oxidative Stress in Healthy Human Breath during Normobaric Hyperoxygenation. Acta Astronaut. 2022, 199, 456–463. [Google Scholar] [CrossRef]
- Wyse, C.; Cathcart, A.; Sutherland, R.; Ward, S.; McMillan, L.; Gibson, G.; Padgett, M.; Skeldon, K. Effect of Maximal Dynamic Exercise on Exhaled Ethane and Carbon Monoxide Levels in Human, Equine, and Canine Athletes. Comp. Biochem. Physiol.—A Mol. Integr. Physiol. 2005, 141, 239–246. [Google Scholar] [CrossRef]
- Couto, M.; Barbosa, C.; Silva, D.; Rudnitskaya, A.; Delgado, L.; Moreira, A.; Rocha, S.M. Oxidative Stress in Asthmatic and Non-Asthmatic Adolescent Swimmers—A Breathomics Approach. Pediatr. Allergy Immunol. 2017, 28, 452–457. [Google Scholar] [CrossRef] [PubMed]
- Krokidas, A.; Gakis, A.G.; Aktypi, O.; Antonopoulou, S.; Nomikos, T. Effect of Spirulina Nigrita® Supplementation on Indices of Exercise-Induced Muscle Damage after Eccentric Protocol of Upper Limbs in Apparently Healthy Volunteers. Nutrients 2024, 16, 1651. [Google Scholar] [CrossRef] [PubMed]
- Jentzsch, A.M.; Bachmann, H.; Fürst, P.; Biesalski, H.K. Improved Analysis of Malondialdehyde in Human Body Fluids. Free Radic. Biol. Med. 1996, 20, 251–256. [Google Scholar] [CrossRef] [PubMed]
- Owens, D.J.; Twist, C.; Cobley, J.N.; Howatson, G.; Close, G.L. Exercise-Induced Muscle Damage: What Is It, What Causes It and What Are the Nutritional Solutions? Eur. J. Sport Sci. 2019, 19, 71–85. [Google Scholar] [CrossRef]
- Powers, S.K.; Deminice, R.; Ozdemir, M.; Yoshihara, T.; Bomkamp, M.P.; Hyatt, H. Exercise-Induced Oxidative Stress: Friend or Foe? J. Sport Health Sci. 2020, 9, 415–425. [Google Scholar] [CrossRef]
- Phillips, M.; Bevers, T.B.; Larsen, L.H.; Pappas, N.; Pathak, S. Rapid Point-of-Care Breath Test Predicts Breast Cancer and Abnormal Mammograms in Symptomatic Women. medRxiv 2020, 18, 1–23. [Google Scholar] [CrossRef]
- Xu, T.; Wang, J.; Tan, J.; Huang, T.; Han, G.; Li, Y.; Yu, H.; Zhou, J.; Xu, M. Gas Chromatography-Mass Spectrometry Pilot Study to Identify Volatile Organic Compound Biomarkers of Childhood Obesity with Dyslipidemia in Exhaled Breath. J. Transl. Intern. Med. 2023, 11, 81–89. [Google Scholar] [CrossRef]
- Phillips, M.; Cataneo, R.N.; Greenberg, J.; Grodman, R.; Salazar, M. Breath Markers of Oxidative Stress in Patients with Unstable Angina. Heart Dis. 2003, 5, 95–99. [Google Scholar] [CrossRef]
- Phillips, M.; Cataneo, R.N.; Cheema, T.; Greenberg, J. Increased Breath Biomarkers of Oxidative Stress in Diabetes Mellitus. Clin. Chim. Acta 2004, 344, 189–194. [Google Scholar] [CrossRef]
- Gottlieb, K.; Zarling, E.J.; Mobarhan, S.; Bowen, P.; Sugerman, S. β-Carotene Decreases Markers of Lipid Peroxidation in Healthy Volunteers. Nutr. Cancer 1993, 19, 207–212. [Google Scholar] [CrossRef]
- Steinberg, F.M.; Mayne, S.T. Antioxidant Vitamin Supplementation and Lipid Peroxidation in Smokers [5] (Multiple Letters). Am. J. Clin. Nutr. 1999, 69, 1292. [Google Scholar] [CrossRef]
- Castro-Gerónimo, V.D.; García-Rodríguez, R.V.; Sánchez-Medina, A.; Chamorro-Cevallos, G.A.; Sánchez-González, D.J.; Méndez-Bolaina, E. C-Phycocyanin: A Phycobiliprotein from Spirulina with Metabolic Syndrome and Oxidative Stress Effects. J. Med. Food 2023, 27, 807–813. [Google Scholar] [CrossRef] [PubMed]
- Gogna, S.; Kaur, J.; Sharma, K.; Prasad, R.; Singh, J.; Bhadariya, V.; Kumar, P.; Jarial, S. Spirulina- An Edible Cyanobacterium with Potential Therapeutic Health Benefits and Toxicological Consequences. J. Am. Nutr. Assoc. 2023, 42, 559–572. [Google Scholar] [CrossRef] [PubMed]
- Mohiti, S.; Zarezadeh, M.; Naeini, F.; Tutunchi, H.; Ostadrahimi, A.; Ghoreishi, Z.; Ebrahimi Mamaghani, M. Spirulina Supplementation and Oxidative Stress and Pro-Inflammatory Biomarkers: A Systematic Review and Meta-Analysis of Controlled Clinical Trials. Clin. Exp. Pharmacol. Physiol. 2021, 48, 1059–1069. [Google Scholar] [CrossRef]
- Savranoglu, S.; Tumer, T.B. Inhibitory Effects of Spirulina Platensis on Carcinogen-Activating Cytochrome P450 Isozymes and Potential for Drug Interactions. Int. J. Toxicol. 2013, 32, 376–384. [Google Scholar] [CrossRef]
- Leaf, D.A.; Kleinman, M.T.; Hamilton, M.; Barstow, T.J. The Effect of Exercise Intensity on Lipid Peroxidation. Med. Sci. Sports Exerc. 1997, 29, 1036–1039. [Google Scholar] [CrossRef]
- Leaf, D.A.; Kleinman, M.T.; Deitrick, R.W. The Effects of Exercise on Markers of Lipid Peroxidation in Renal Dialysis Patients Compared with Control Subjects. Am. J. Med. Sci. 2004, 327, 9–14. [Google Scholar] [CrossRef]
- Pugliese, G.; Trefz, P.; Weippert, M.; Pollex, J.; Bruhn, S.; Schubert, J.K.; Miekisch, W.; Sukul, P. Real-Time Metabolic Monitoring under Exhaustive Exercise and Evaluation of Ventilatory Threshold by Breathomics: Independent Validation of Evidence and Advances. Front. Physiol. 2022, 13, 946401. [Google Scholar] [CrossRef]



| Instrumentation | Parameter | Value |
|---|---|---|
| Thermal Desorption Unit | Model: | UNITY series 2, Markes Int., Bridgent, UK |
| Pre-purge | Time: | 5 min |
| Gas: | He 99.999% | |
| Tube desorption | Desorb time: | 20 min |
| Desorb temperature: | 200 °C | |
| Desorb flow: | 30 mL/min | |
| Split: | off | |
| Trap LOW temperature: | −10 °C | |
| Cold Trap | Type: | Graphitized carbon |
| Pre-trap fire purge: | 1 min | |
| Trap HIGH temperature: | 220 °C | |
| Trap hold: | 5 min | |
| Split flow: | 4 mL/min | |
| Split: | 5:1 | |
| Flow path temperature: | 150 °C | |
| Heating valve temperature: | 150 °C | |
| Gas Chromatograph | Model: | 2010 GC, Shimadzu, Kyoto, Japan |
| Capillary column: | SPB 624, 60 m-0.25 mm-1.4 μm | |
| Initial temperature: | 35 °C | |
| Hold: | 5 min | |
| Heating rate: | 4 °C/min | |
| End temperature: | 200 °C | |
| Hold: | 10 min | |
| Mass Spectrometer | Model: | 5975 C, Agilent Technologies, Santa Clara, CA, USA |
| Ion source temperature: | 230 °C | |
| Mass analyzer temperature: | 150 °C | |
| Transfer line temperature: | 220 °C | |
| Mass range: | 35–230 amu |
| Compound | Retention Time (min) | Relative Retention Time | Chromatogram | |
|---|---|---|---|---|
| 1 | 2-Methylbutane | 6.028 | 0.218 | TIC 1 |
| 2 | Pentane | 6.774 | 0.245 | TIC 1 |
| 3 | 2-Methylpentane | 9.603 | 0.347 | m/z 71 |
| 4 | 3-Methylpentane | 10.331 | 0.374 | TIC 1 |
| 5 | Hexane | 11.119 | 0.402 | TIC 1 |
| 6 | 2-Methylhexane | 14.928 | 0.540 | m/z 85 |
| 7 | 3-Methylhexane | 15.498 | 0.561 | m/z 71 |
| 8 | Heptane | 16.915 | 0.612 | TIC 1 |
| 9 | Octane | 22.845 | 0.827 | m/z 85 |
| 10 | 4-Methyloctane | 26.491 | 0.959 | m/z 85 |
| 11 | Nonane | 28.400 | 1.028 | m/z 85 |
| 12 | Decane | 33.499 | 1.212 | m/z 57 |
| 13 | Undecane | 38.187 | 1.382 | m/z 57 |
| 14 | Dodecane | 42.540 | 1.540 | m/z 57 |
| 15 | Tetradecane | 50.962 | 1.844 | m/z 57 |
| 16 | Chlorobenzene D5 (I.S) | 27.631 | 1.000 | m/z 117 |
| PreSup (AG) | PreEx (AG) | Δ(AG) | T p (ηp2) | TxI p (ηp2) | I p (ηp2) | ||
|---|---|---|---|---|---|---|---|
| 2-Methylbutane | PL | 1.88 (±1.25) | 0.54 (±0.43) | −1.34 (±1.36) | 0.635 (0.011) | 0.094 (0.134) | 0.582 (0.015) |
| SPI | −0.16 (±0.55) | 1.48 (±1.32) | 1.64 (±0.88) | ||||
| Pentane | PL | 1.52 (±1.25) | 0.053 (±0.134) | −1.47 (±1.21) | 0.434 (0.031) | 0.161 (0.068) | 0.496 (0.024) |
| SPI | 0.119 (±0.15) | 0.515 (±0.31) | 0.396 (±0.21) | ||||
| 2-Methylentane | PL | 0.024 (±0.0096) | 0.015 (±0.023) | −0.0082 (±0.025) | 0.413 (0.032) | 0.107 (0.119) | 0.640 (0.011) |
| SPI | 0.007 (±0.019) | 0.057 (±0.032) | 0.05 (±0.023) | ||||
| 3-Methylpentane | PL | 0.084 (±0.13) | −0.079 (±0.073) | −0.16 (±0.13) | 0.092 (0.129) | 0.150 (0.096) | 0.820 (0.003) |
| SPI | −0.052 (±0.15) | 0.022 (±0.083) | 0.074 (±0.12) | ||||
| Hexane | PL | 0.998 a,# (±0.36) | 0.27 a (±0.11) | −0.73 $ (±0.32) | 0.560 (0.016) | 0.013 (0.260) | 0.341 (0.043) |
| SPI | 0.24 # (±0.16) | 0.56 (±0.28) | 0.32 $ (±0.22) | ||||
| 2-Methylhexane | PL | 0.016 (±0.0086) | −0.0034 (±0.0097) | −0.019 $ (±0.014) | 0.305 (0.050) | 0.038 (0.189) | 0.432 (0.040) |
| SPI | 0.0038 (±0.0088) | 0.023 (±0.0102) | 0.019 $ (±0.01) | ||||
| 3-Methylhexane | PL | 0.011 (±0.0055) | 0.00097 (±0.0074) | −0.01 (±0.0068) | 0.611 (0.013) | 0.115 (0.114) | 0.538 (0.018) |
| SPI | 0.0039 (±0.0075) | 0.022 (±0.015) | 0.018 (±0.015) | ||||
| Heptane | PL | 0.265 (±0.118) | 0.104 (±0.066) | −0.16 (±0.078) | 0.923 (0.000) | 0.188 (0.081) | 0.989 (0.000) |
| SPI | 0.13 (±0.094) | 0.24 (±0.15) | 0.108 (±0.18) | ||||
| Octane | PL | −0.0027 (±0.0026) | −0.00064 (±0.0024) | 0.02 (±0.0034) | 0.207 (0.075) | 0.945 (0.000) | 0.386 (0.036) |
| SPI | −0.0045 (±0.0022) | −0.0029 (±0.0024) | 0.0016 (±0.0034) | ||||
| 4-Methyloctane | PL | 0.068 # (±0.023) | 0.021 (±0.01) | −0.047 $ (±0.023) | 0.743 (0.005) | 0.013 (0.260) | 0.305 (0.050) |
| SPI | 0.013 # (±0.0089) | 0.042 (±0.015) | 0.029 $ (±0.016) | ||||
| Nonane | PL | −0.0061 (±0.0031) | −0.0067 (±0.0042) | −0.0006 (±0.0056) | 0.164 (0.090) | 0.845 (0.002) | 0.566 (0.016) |
| SPI | −0.0049 (±0.0024) | −0.0045 (±0.002) | 0.00042 (±0.0026) | ||||
| Decane | PL | 0.29 (±0.23) | 0.13 (±0.098) | −0.15 (±0.203) | 0.578 (0.015) | 0.417 (0.032) | 0.982 (0.000) |
| SPI | 0.21 (±0.13) | 0.22 (±0.13) | 0.013 (±0.036) | ||||
| Undecane | PL | 0.054 a (±0.029) | −0.0018 a (±0.014) | −0.056 $ (±0.02) | 0.213 (0.073) | 0.014 (0.255) | 0.701 (0.007) |
| SPI | −0.014 (±0.019) | 0.064 (±0.048) | 0.051 $ (±0.035) | ||||
| Dodecane | PL | 0.064 a (±0.0095) | 0.023 a (±0.013) | −0.041 (±0.012) | 0.992 (0.000) | 0.225 (0.069) | 0.298 (0.052) |
| SPI | 0.073 (±0.021) | 0.052 (±0.022) | −0.21 (±0.012) | ||||
| Tetradecane | PL | 0.32 a (±0.055) | 0.15 a (±0.049) | −0.17 (±0.055) | 0.992 (0.000) | 0.239 (0.065) | 0.996 (0.000) |
| SPI | 0.275 (±0.085) | 0.195 (±0.056) | −0.08 (±0.05) |
| PreEx | PostEx | 24 h | 48 h | 72 h | T p (ηp2) | TxI p (ηp2) | I p (ηp2) | ||
|---|---|---|---|---|---|---|---|---|---|
| 2-Methylbutane | PL | 0.54 (±0.43) | 0.63 (±0.31) | 0.62 (±0.47) | 1.31 (±0.77) | 0.48 (±0.30) | 0.488 (0.037) | 0.797 (0.014) | 0.607 (0.014) |
| SPI | 1.48 (±1.32) | 1.23 (±1.07) | 0.99 (±1.57) | 1.34 (±1.12) | 1.10 (±1.15) | ||||
| Pentane | PL | 0.053 (±0.13) | 0.74 (±0.27) | 0.60 (±0.29) | 0.79 (±0.38) | 0.24 (±0.76) | 0.532 (0.028) | 0.414 (0.041) | 0.517 (0.021) |
| SPI | 0.51 (±0.30) | 1.36 (±1.07) | 1.11 (±0.91) | 0.50 (±0.36) | 0.75 (±0.43) | ||||
| 2-Methylpentane | PL | 0.015 (±0.023) | 0.12 (±0.057) | 0.048 (±0.027) | 0.058 (±0.024) | 0.044 (±0.22) | 0.609 (0.024) | 0.050 (0.131) | 0.413 (0.032) |
| SPI | 0.057 (±0.032) | 0.037 (±0.015) | 0.0033 (±0.018) | 0.028 (±0.016) | 0.046 (±0.023) | ||||
| 3-Methylpentane | PL | −0.079 (±0.073) | 0.36 (±0.17) | 0.079 (±0.094) | 0.017 (±0.084) | 0.046 (±0.098) | 0.129 (0.088) | 0.061 (0.115) | 0.371 (0.038) |
| SPI | 0.022 (±0.083) | 0.026 (±0.038) | −0.20 (±0.14) | −0.0034 (±0.10) | 0.092 (±0.17) | ||||
| Hexane | PL | 0.27 (±0.11) | 3.95 (±2.28) | 0.50 (±0.20) | 0.96 (±0.35) | 0.53 (±0.22) | 0.933 (0.000) | 0.252 (0.062) | 0.324 (0.046) |
| SPI | 0.55 (±0.28) | 1.21 (±0.89) | 0.34 (±0.13) | 0.32 (±0.096) | 0.80 (±0.27) | ||||
| 2-Methylhexane | PL | −0.0034 (±0.01) | 0.080 (±0.039) | 0.029 (±0.025) | 0.016 (±0.019) | 0.052 (±0.028) | <0.001 (0.235) | 0.044 (0.115) | 0.399 (0.034) |
| SPI | 0.023 (±0.0102) | 0.012 (±0.003) | 0.01 (±0.014) | 0.044 (±0.023) | 0.012 (±0.015) | ||||
| 3-Methylhexane | PL | 0.00097 (±0.007) | 0.76 (±0.044) | 0.046 (±0.041) | 0.031 (±0.019) | 0.045 (±0.023) | 0.005 (0.195) | 0.185 (0.075) | 0.458 (0.026) |
| SPI | 0.022 (±0.015) | 0.01 (±0.0059) | 0.016 (±0.011) | 0.054 (±0.027) | 0.018 (±0.014) | ||||
| Heptane | PL | 0.103 (±0.066) | 1.65 (±0.92) | 0.72 (±0.63) | 0.45 (±0. 27) | 0.52 (±0.24) | 0.001 (0.286) | 0.118 (0.096) | 0.301 (0.051) |
| SPI | 0.24 (±0.15) | 0.15 (±0.08) | 0.29 (±0.13) | 0.75 (±0.35) | 0.34 (±0.20) | ||||
| Octane | PL | −0.00059 (±0.002) | 0.0095 (±0.006) | 0.00014 (±0.0012) | −0.0013 (±0.002) | −0.00052 (±0.0019) | 0.049 (0.117) | 0.310 (0.055) | 0.208 (0.074) |
| SPI | −0.0029 (±0.0024) | 0.00051 (±0.0011) | −0.00019 (±0.0036) | −0.00092 (±0.0015) | −0.0027 (±0.0014) | ||||
| 4-Methyloctane | PL | 0.019 (±0.0094) | 0.14 (±0.63) | 0.043 (±0.034) | 0.03 (±0.013) | 0.012 (±0.0049) | 0.337 (0.049) | 0.088 (0.115) | 0.659 (0.009) |
| SPI | 0.042 (±0.015) | −0.047 (±0.019) | 0.020 (±0.0076) | 0.044 (±0.012) | 0.052 (±0.019) | ||||
| Nonane | PL | −0.0067 (±0.0042) | −0.00035 (±0.0019) | −0.006 (±0.0025) | −0.0053 (±0.0024) | −0.0037 (±0.0015) | 0.250 (0.063) | 0.672 (0.022) | 0.870 (0.001) |
| SPI | 0.0045 (±0.002) | −0.0027 (±0.001) | −0.0067 (±0.0029) | −0.0027 (±0.00087) | −0.0043 (±0.0021) | ||||
| Decane | PL | 0.13 (±0.098) | 0.23 (±0.11) | 0.65 (±0.36) | 0.24 (±0.13) | 0.53 (±0.35) | 0.589 (0.028) | 0.139 (0.085) | 0.573 (0.015) |
| SPI | 0. 22 (±0.13) | 0.27 (±0.17) | 0.17 (±0.13) | 0.24 (±0.15) | 0.23 (±0.14) | ||||
| Undecane | PL | −0.0018 (±0.014) | 0.067 (±0.034) | 0.0016 (±0.0069) | 0.0019 (±0.0065) | −0.0054 (±0.0039) | 0.028 (0.155) | 0.149 (0.086) | 0.473 (0.025) |
| SPI | 0.064 (±0.048) | 0.034 (±0.0092) | 0.0108 (±0.01) | 0.0043 (±0.0047) | −0.0021 (±0.0083) | ||||
| Dodecane | PL | 0.023 (±0.013) | 0.034 (±0.0093) | 0.044 (±0.015) | 0.031 (±0.0094) | 0.028 (±0.0071) | 0.316 (0.052) | 0.492 (0.030) | 0.250 (0.063) |
| SPI | 0.052 (±0.022) | 0.067 (±0.021) | 0.059 (±0.039) | 0.020 (±0.010) | 0.032 (±0.0126) | ||||
| Tetradecane | PL | 0.15 (±0.049) | 0.20 (±0.055) | 0.23 (±0.077) | 0.17 (±0.045) | 0.16 (±0.039) | 0.736 (0.009) | 0.396 (0.039) | 0.476 (0.024) |
| SPI | 0.19 (±0.056) | 0.25 (±0.075) | 0.12 (±0.038) | 0.40 (±0.25) | 0.21 (±0.073) |
Disclaimer/Publisher’s Note: The statements, opinions and data contained in all publications are solely those of the individual author(s) and contributor(s) and not of MDPI and/or the editor(s). MDPI and/or the editor(s) disclaim responsibility for any injury to people or property resulting from any ideas, methods, instructions or products referred to in the content. |
© 2024 by the authors. Licensee MDPI, Basel, Switzerland. This article is an open access article distributed under the terms and conditions of the Creative Commons Attribution (CC BY) license (https://creativecommons.org/licenses/by/4.0/).
Share and Cite
Krokidas, A.; Mikedi, K.; Gakis, A.G.; Methenitis, S.; Nomikos, T.; Krokida, M. Effect of Spirulina Nigrita® on Exercise-Induced Oxidative Stress in Humans: A Breath Analysis Study. Appl. Sci. 2024, 14, 11501. https://doi.org/10.3390/app142411501
Krokidas A, Mikedi K, Gakis AG, Methenitis S, Nomikos T, Krokida M. Effect of Spirulina Nigrita® on Exercise-Induced Oxidative Stress in Humans: A Breath Analysis Study. Applied Sciences. 2024; 14(24):11501. https://doi.org/10.3390/app142411501
Chicago/Turabian StyleKrokidas, Anastasios, Katerina Mikedi, Athanasios G. Gakis, Spyridon Methenitis, Tzortzis Nomikos, and Magdalini Krokida. 2024. "Effect of Spirulina Nigrita® on Exercise-Induced Oxidative Stress in Humans: A Breath Analysis Study" Applied Sciences 14, no. 24: 11501. https://doi.org/10.3390/app142411501
APA StyleKrokidas, A., Mikedi, K., Gakis, A. G., Methenitis, S., Nomikos, T., & Krokida, M. (2024). Effect of Spirulina Nigrita® on Exercise-Induced Oxidative Stress in Humans: A Breath Analysis Study. Applied Sciences, 14(24), 11501. https://doi.org/10.3390/app142411501

