Experimental Study on the Mechanical Properties and Damage Mechanism of Saturated Coal-Measure Sandstone in an Open Pit Mine Under the Freeze–Thaw Effect
Abstract
1. Introduction
2. Experimental Procedure and Materials
2.1. Experimental Materials
2.2. Experimental Method
- (1)
- The sandstone specimens in this experiment underwent N freeze–thaw cycles, with the total number of cycles set at 5, 10, 15, and 20 [6,9,16], corresponding to the labels A, B, C, and D, respectively. The predetermined freeze–thaw temperatures, T, were set at −5 °C, −10 °C, −15 °C, and −20 °C, corresponding to the labels 1, 2, 3, and 4. Additionally, a control group, consisting of sandstone specimens that did not undergo freeze–thaw cycles and were maintained at room temperature (20 °C), was established and labeled as X. In total, there were 20 experimental groups and 1 control group, with each experimental group being repeated 5 times, resulting in a total of 105 specimens. For instance, for 5 freeze–thaw cycles at a temperature of −10 °C, the specimen would be labeled A2.
- (2)
- All specimens were placed in a constant-temperature drying oven at 105 °C for 24 h. After cooling to room temperature (20 °C), they were removed and weighed. The dried specimens underwent a wetting treatment, and, after being saturated for 120 h, the surface moisture was absorbed every half hour, with the specimens being weighed until the mass change between the two measurements was less than 0.01 g, indicating that the specimens had reached a saturated state.
- (3)
- The saturated specimens were then placed in a freeze–thaw chamber for the freeze–thaw test, with the melting temperature set at 20 °C. Figure 3 presents the time-allocation scheme for the temperature-fall stage, the freezing stage, the temperature-rise stage, and the thawing stage across the four temperature ranges (−5 °C, −10 °C, −15 °C, and −20 °C). To prevent excessive internal temperature gradients that could induce additional stress, the temperature change rates during the temperature-fall and temperature-rise stage should be minimized as much as possible.
- (4)
- A WDW-300 electronic universal testing machine was employed to conduct uniaxial compression tests on the sandstone specimens. During the testing process, displacement loading was utilized at a loading rate of 2 mm/min and an Epsilon 3354 circumferential extensometer was used to monitor the circumferential displacement of the specimens. Simultaneously, the testing machine, circumferential strain acquisition system, and high-definition video system were activated to carry out the loading test until the specimens reached their peak strength and subsequently failed.
3. Experimental Results Analysis
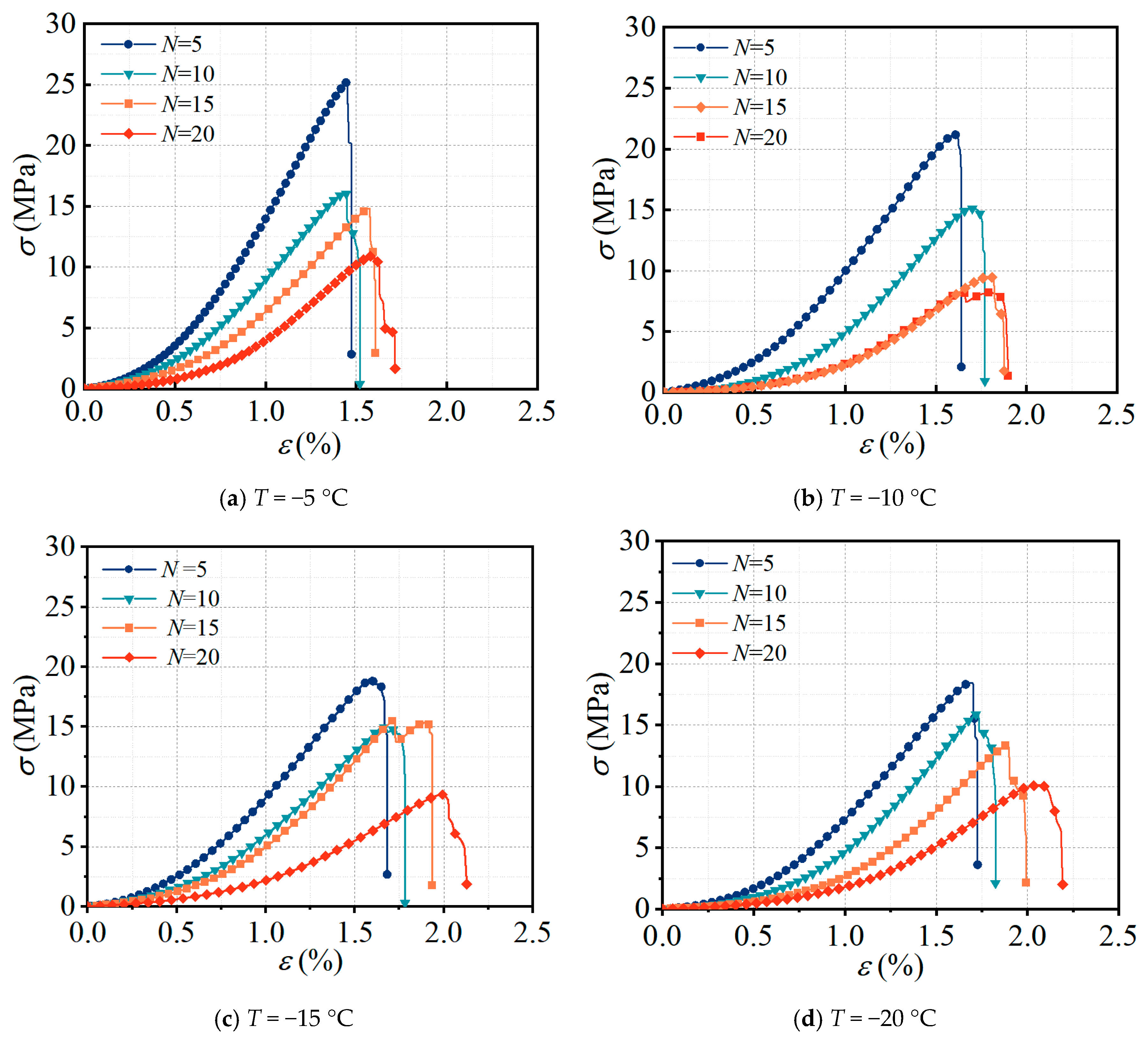
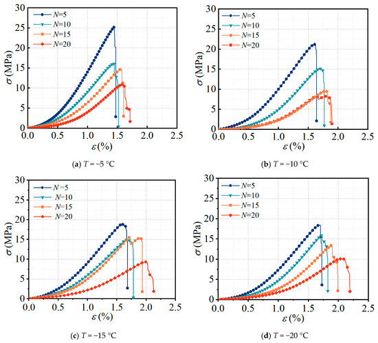
3.1. The Impact of the Number of Freeze–Thaw Cycles and Freezing Temperature on the Stress–Strain Curves of Specimens
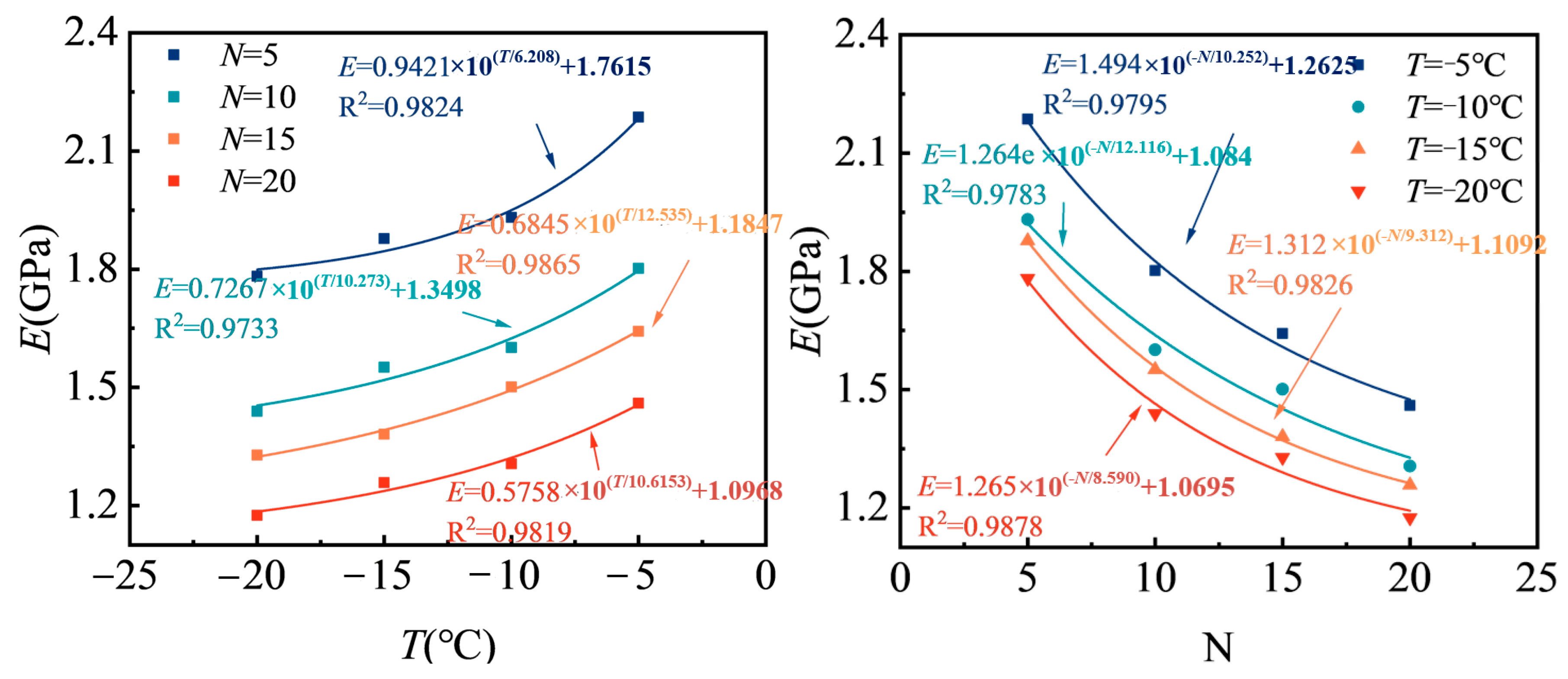
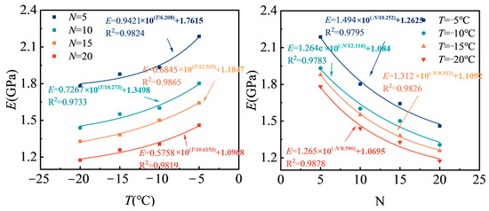
3.2. The Impact of the Number of Freeze–Thaw Cycles and Freezing Temperature on the Elastic Modulus
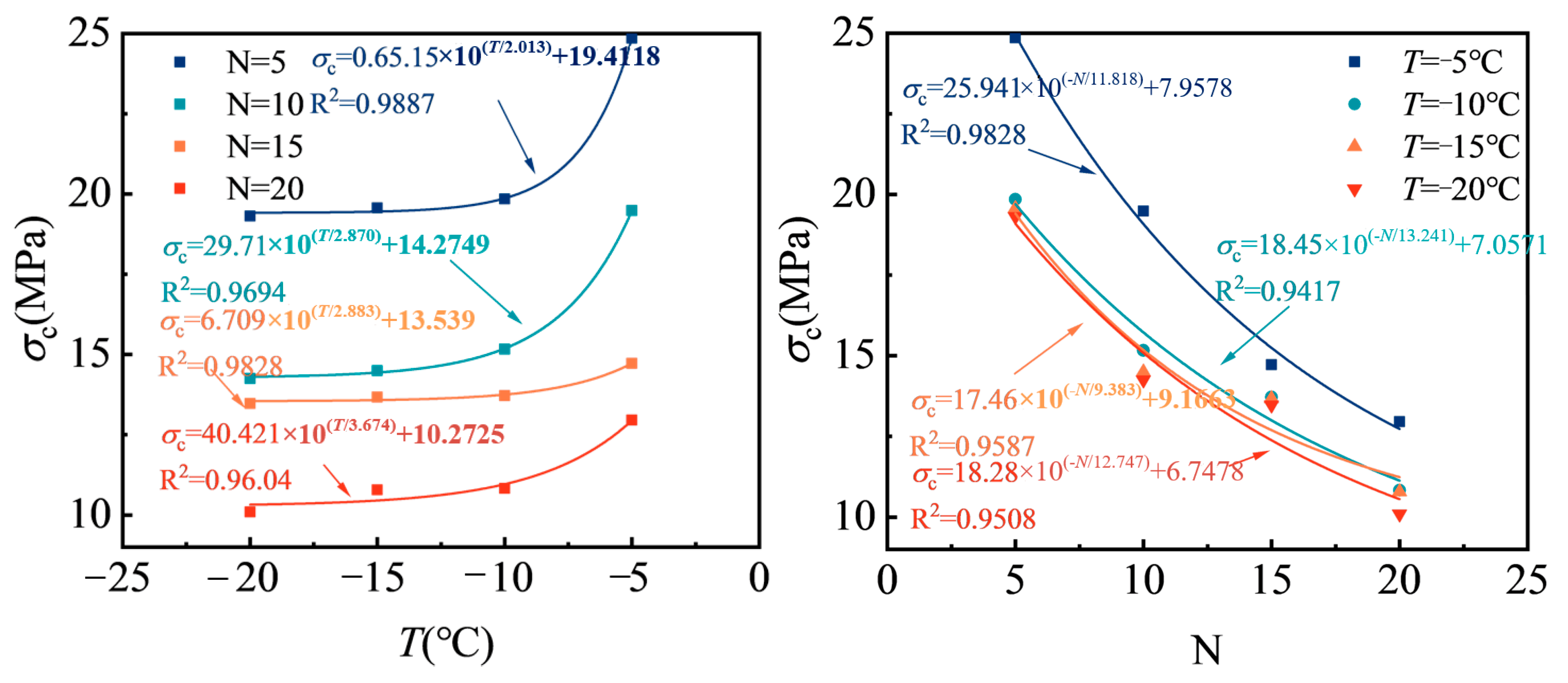
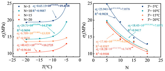
3.3. The Impact of the Number of Freeze–Thaw Cycles and Freezing Temperature on Peak Strength
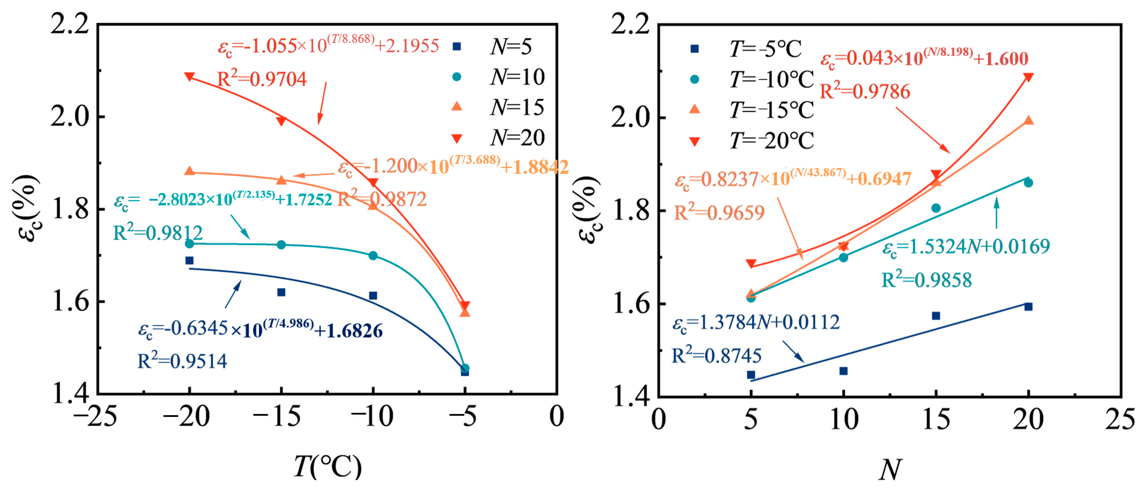
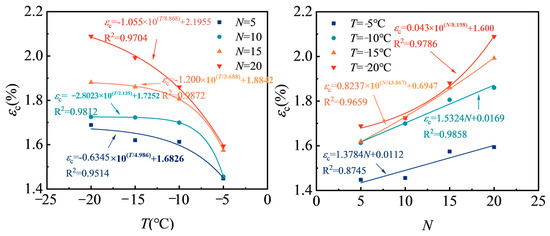
3.4. The Impact of the Number of Freeze–Thaw Cycles and Freezing Temperature on Peak Strain
4. Macroscopic Failure Characteristics and Intrinsic Mechanisms of the Specimens
4.1. Macroscopic Failure Characteristics of the Specimens
4.2. Intrinsic Mechanisms of Specimen Failure
5. Coupled Effects of the Freezing Temperature and Number of Cycles
6. Discussion
7. Conclusions
- (1)
- As the freezing temperature decreases and the number of freeze–thaw cycles increases, the compression phase of the stress–strain curve of the specimens is significantly prolonged, and the post-peak phase of the curve transitions from an instantaneous drop, characteristic of Type I curves, to a fluctuating drop, characteristic of Type II curves, indicating a transition from brittle failure to ductile failure in the specimens. This demonstrates a high correlation between the mechanical and deformation behavior of the specimens under uniaxial compression and the number of freeze–thaw cycles and temperature.
- (2)
- With an increase in the number of freeze–thaw cycles and a decrease in the freezing temperature, the elastic modulus and peak compressive strength of the specimens exhibit an exponential decreasing trend. In contrast, the peak strain shows an exponential increasing trend. However, compared to the freezing temperature, an increase in the freeze–thaw cycle number leads to a greater magnitude of change in the mechanical parameters of the specimens, indicating that the effect of the freeze–thaw cycle number is more sensitive than that of the freezing temperature on the deformation resistance and peak strength of coal-measure sandstone.
- (3)
- Under uniaxial compression loading, the failure mode of the coal-measure sandstone specimens is primarily shear failure; however, as the number of freeze–thaw cycles increases, or the freezing temperature decreases, the specimens transition from pure shear failure to a tensile-shear composite failure mode, with the degree of damage to the specimens gradually increasing. This is primarily related to the uneven distribution of pore and crack structures within the specimens due to the freeze–thaw damage effect.
Author Contributions
Funding
Institutional Review Board Statement
Informed Consent Statement
Data Availability Statement
Conflicts of Interest
References
- Lu, X.; Qi, X.; Tian, Y.; Li, R.; Wang, Z.; Tu, L.; Zhang, Z. Characterization of Freeze-Thaw Cycle Damage to Mudstone in Open Pit in Cold Regions—Based on Nuclear Magnetic Resonance Method. Appl. Sci. 2023, 13, 12264. [Google Scholar] [CrossRef]
- Xu, P.; Wu, Y.; Wang, Z.; Huang, L. Distribution Laws of Freeze-Thaw Cycles and Unsaturated Concrete Experiments in Cold-Region Tunnels. Cold Reg. Sci. Technol. 2020, 172, 102985. [Google Scholar]
- Sahyoun, S.; Ge, H.; Defo, M.; Lacasse, M. Evaluating the Potential of Freeze-Thaw Damage in Internally Insulated Masonry under Climate Change Using Different Models. MATEC Web Conf. 2019, 282, 02081. [Google Scholar] [CrossRef]
- Li, X.; Cheng, G.; Jin, H.; Kang, E.; Che, T.; Jin, R.; Wu, L.; Nan, Z.; Wang, J.; Shen, Y. Cryospheric Change in China. Glob. Planet. Chang. 2008, 62, 210–218. [Google Scholar] [CrossRef]
- Deprez, M.; De Kock, T.; De Schutter, G.; Cnudde, V. A Review on Freeze-Thaw Action and Weathering of Rocks. Earth-Sci. Rev. 2020, 203, 103143. [Google Scholar] [CrossRef]
- Khanlari, G.; Sahamieh, R.; Abdilor, Y. The Effect of Freeze–Thaw Cycles on Physical and Mechanical Properties of Upper Red Formation Sandstones, Central Part of Iran. Arab. J. Geosci. 2015, 8, 5991–6001. [Google Scholar] [CrossRef]
- İnce, İ.; Fener, M. A Prediction Model for Uniaxial Compressive Strength of Deteriorated Pyroclastic Rocks Due to Freeze–Thaw Cycle. J. Afr. Earth Sci. 2016, 120, 134–140. [Google Scholar] [CrossRef]
- Inada, Y.; Yokota, K. Some Studies of Low Temperature Rock Strength. Int. J. Rock Mech. Min. Sci. Geomech. Abstr. 1984, 21, 145–153. [Google Scholar] [CrossRef]
- Yang, G.; Chen, Y.; Xie, Q.; Wu, P.; Zhang, Y. Physical and Mechanical Characteristics Deterioration and Crack Evolution of Sandy Mudstone in an Open-Pit Mine under Multiple Freeze–Thaw Cycles. Geomech. Geophys. Geo-Energ. Geo-Resour. 2024, 10, 87. [Google Scholar] [CrossRef]
- Wang, P.; Xu, J.; Fang, X.; Wang, P.; Zheng, G.; Wen, M. Ultrasonic Time-Frequency Method to Evaluate the Deterioration Properties of Rock Suffered from Freeze-Thaw Weathering. Cold Reg. Sci. Technol. 2017, 143, 13–22. [Google Scholar] [CrossRef]
- Wang, L.; Chen, X.; Zhang, W.; Tian, Y.; Xu, S. Study on Changes in Physical and Mechanical Properties and Integrity Decay of Sandstone Subjected to Freeze–Thaw Cycling. Appl. Sci. 2023, 13, 7316. [Google Scholar] [CrossRef]
- Yin, T.B.; Lu, J.F.; Yu, Y.; Wu, Y.; Wang, J.H.; Men, J.Q. Fracture Behavior of Yellow Sandstone Under Freeze–Thaw Cycles with Varied Saturation States: An Investigation Of Mode I Fracture. Geomech. Energy Environ. 2023, 36, 100502. [Google Scholar] [CrossRef]
- Tan, X.; Chen, W.; Yang, J.; Cao, J. Laboratory Investigations on the Mechanical Properties Degradation of Granite under Freeze–Thaw Cycles. Cold Reg. Sci. Technol. 2011, 68, 130–138. [Google Scholar] [CrossRef]
- Mousavi, S.Z.S.; Tavakoli, H.; Moarefvand, P.; Rezaei, M. Micro-Structural, Petro-Graphical and Mechanical Studies of Schist Rocks under the Freezing-Thawing Cycles. Cold Reg. Sci. Technol. 2020, 174, 103039. [Google Scholar] [CrossRef]
- Luo, X.D.; Jiang, N.; Zuo, C.Q.; Dai, Z.W.; Yan, S.T. Damage Characteristics of Altered and Unaltered Diabases Subjected to Extremely Cold Freeze–Thaw Cycles. Rock Mech. Rock Eng. 2014, 47, 997–2004. [Google Scholar] [CrossRef]
- Zhang, Q.; Liu, Y.; Dai, F.; Jiang, R.C. Experimental Assessment on the Fatigue Mechanical Properties and Fracturing Mechanism of Sandstone Exposed to Freeze-Thaw Treatment and Cyclic Uniaxial Compression. Eng. Geol. 2022, 306, 106724. [Google Scholar] [CrossRef]
- Han, T.; Shi, J.; Cao, X. Fracturing and Damage to Sandstone Under Coupling Effects of Chemical Corrosion and Freeze–Thaw Cycles. Rock Mech. Rock Eng. 2016, 49, 4245–4255. [Google Scholar] [CrossRef]
- Qu, D.; Li, D.; Li, X.; Luo, Y.; Xu, K. Damage Evolution Mechanism and Constitutive Model of Freeze-Thaw Yellow Sandstone in Acidic Environment. Cold Reg. Sci. Technol. 2018, 155, 174–183. [Google Scholar] [CrossRef]
- Yamabe, T.; Neaupane, K.M. Determination of Some Thermo-Mechanical Properties of Sirahama Sandstone under Subzero Temperature Condition. Int. J. Rock Mech. Min. Sci. 2001, 38, 1029–1034. [Google Scholar] [CrossRef]
- Rusin, Z.; Świercz, P.; Owsiak, Z. Effect of Microstructure on Frost Durability of Rock in the Context of Diagnostic Needs. Procedia Eng. 2015, 108, 177–184. [Google Scholar] [CrossRef]
- De Kock, T.; Boone, M.A.; De Schryver, T.; Van Stappen, J.; Derluyn, H.; Masschaele, B.; De Schutter, G.; Cnudde, V. A Pore-Scale Study of Fracture Dynamics in Rock Using X-Ray Micro-CT Under Ambient Freeze–Thaw Cycling. Environ. Sci. Technol. 2015, 49, 2867–2874. [Google Scholar] [CrossRef] [PubMed]
- Deng, J.; Wang, X.; Wu, A. Experiment of Freezing-Thawing Cycles and Analysis of Damage Characteristics for Argillaceous Dolomite. Adv. Mater. Res. 2015, 1065–1069, 1884–1893. [Google Scholar] [CrossRef]
- Nicholson, D.; Nicholson, F. Physical Deterioration of Sedimentary Rocks Subjected to Experimental Freeze–Thaw Weathering. Earth Surf. Process. Landf. 2000, 25, 1295–1307. [Google Scholar] [CrossRef]
- Iyare, U.C.; Blake, O.O.; Ramsook, R.; Faulkner, D.R. Experimental study of the anisotropic behaviour of the naparima hill argillite. Int. J. Rock Mech. Min. Sci. 2022, 153, 105083. [Google Scholar] [CrossRef]
- Wu, H.; Chen, Y.; Pu, H.; Bai, H.; Zhang, K. Mechanical and damage properties of coal specimens considering the impact and cyclic loading. Geomech. Geophys. Geo-Energy Geo-Resour. 2022, 8, 55. [Google Scholar] [CrossRef]
- Wu, P.; Chen, L.; Chen, Y.; Mao, X.; Pu, H.; Zhang, K. Experimental study on mechanical properties and microcrack fracture of coal specimens under the coupling of loading rate and compression-shear loads. Int. J. Geomech. 2022, 22, 04022028. [Google Scholar] [CrossRef]
- Chen, L.; Wu, P.; Chen, Y.; Zhang, W. Experimental Study on Physical-Mechanical Properties and Fracture Behaviors of Saturated Yellow Sandstone Considering Coupling Effect of Freeze-Thaw and Specimen Inclination. Sustainability 2020, 12, 1029. [Google Scholar] [CrossRef]
- Gambino, G.F.; Harrison, J.P. Rock Engineering Design in Frozen and Thawing Rock: Current Approaches and Future Directions. Procedia Eng. 2017, 191, 656–665. [Google Scholar] [CrossRef]
- Murton, J.B.; Kuras, O.; Krautblatter, M.; Cane, T.; Tschofen, D.; Uhlemann, S.; Schober, S.; Watson, P. Monitoring Rock Freezing and Thawing by Novel Geoelectrical and Acoustic Techniques. J. Geophys. Res. Earth Surf. 2016, 121, 2309–2332. [Google Scholar] [CrossRef]
- Walbert, C.; Eslami, J.; Beaucour, A.-L.; Bourges, A.; Noumowe, A. Evolution of the Mechanical Behaviour of Limestone Subjected to Freeze–Thaw Cycles. Environ. Earth Sci. 2015, 74, 6339–6351. [Google Scholar] [CrossRef]
- Testing the Strength of Frozen Rocks on specimens of Various Forms. In Increasing the Effectiveness of Mining Industry in Yakutia. Int. J. Rock Mech. Min. Sci. Geomech. Abstr. 1975, 12, A20. [CrossRef]
- Chu, Y.; Zhang, D.; Song, S.; Kai, O.; Liu, F. Experimental study on the evolution of pore structure of coal specimens under freeze-thaw. Phys. Fluids 2023, 35, 036602. [Google Scholar] [CrossRef]
- Ju, X.; Niu, F.; Liu, M.; He, J.; Luo, J. Impact of Water Saturation on the Damage Evolution Characteristics of Sandstone Subjected to Freeze–Thaw Cycles. Rock Mech. Rock Eng. 2024, 57, 2143–2157. [Google Scholar] [CrossRef]
- Chang, D.; Liu, J.-K. Review of the Influence of Freeze-Thaw Cycles on the Physical and Mechanical Properties of Soil. Sci. Cold Arid Reg. 2013, 5, 457. [Google Scholar]
- Ou, K.; Wang, C.; Cao, R.; Lin, H.; Fang, L. Experimental Investigation of the Pore Fractal Characteristics and Damage Degradation Mechanism of Sandstone after Cyclic Freeze–thaw Treatments. J. Mater. Res. Technol. 2023, 23, 4843–4859. [Google Scholar] [CrossRef]
- Górska, M.; Woronko, B.; Kossowski, T. Factors Influencing the Development of Microtextures on Cold-Climate Aeolian Quartz Grains Revealed by Experimental Frost Action. Permafr. Periglac. Process. 2023, 34, 259–283. [Google Scholar] [CrossRef]
- Abdolghanizadeh, K.; Hosseini, M.; Saghafiyazdi, M. Effect of Freezing Temperature and Number of Freeze-Thaw Cycles on Mode I and Mode II Fracture Toughness of Sandstone. Theor. Appl. Fract. Mech. 2020, 105, 102428. [Google Scholar] [CrossRef]














| Dry Density (kg/m3) | Crude Density (kg/m3) | Porosity (%) | Natural Moisture Content (%) | Percentage of Saturated Water Content (%) |
|---|---|---|---|---|
| 2417.1 | 2437.0 | 3.161 | 0.897 | 3.161 |
| Test Scenario | Test Case | Elastic Modulus E (GPa) | Mean Value (GPa) | Absolute Deviation (GPa) | Relative Deviation (%) | Standard Deviation (GPa) | Coefficient of Variation (%) |
|---|---|---|---|---|---|---|---|
| A3 | Case1 | 2.070 | 1.878 | 0.192 | 10.224 | 0.243 | 12.939 |
| Case2 | 1.534 | 0.344 | 18.317 | ||||
| Case5 | 2.030 | 0.151 | 8.040 | ||||
| B1 | Case2 | 1.885 | 1.802 | 0.083 | 4.606 | 0.071 | 3.940 |
| Case3 | 1.712 | 0.090 | 4.994 | ||||
| Case5 | 1.808 | 0.006 | 0.333 | ||||
| C3 | Case1 | 1.611 | 1.381 | 0.230 | 16.655 | 0.181 | 13.106 |
| Case2 | 1.363 | 0.017 | 1.231 | ||||
| Case3 | 1.168 | 0.213 | 15.424 | ||||
| D1 | Case1 | 1.759 | 1.460 | 0.299 | 20.479 | 0.213 | 14.589 |
| Case3 | 1.346 | 0.114 | 7.808 | ||||
| Case4 | 1.276 | 0.185 | 12.671 |
| Test Scenario | Test Case | Peak Compressive Strength (MPa) | Mean Value (MPa) | Absolute Deviation (MPa) | Relative Deviation (%) | Standard Deviation (MPa) | Coefficient of Variation (%) |
|---|---|---|---|---|---|---|---|
| A4 | Case1 | 18.451 | 19.311 | 1.860 | 9.632 | 1.338 | 6.929 |
| Case2 | 20.944 | 0.633 | 3.278 | ||||
| Case4 | 21.539 | 1.228 | 6.359 | ||||
| B4 | Case3 | 11.352 | 14.256 | 2.904 | 20.370 | 2.059 | 14.443 |
| Case4 | 15.526 | 1.270 | 8.909 | ||||
| Case5 | 15.890 | 1.634 | 11.462 | ||||
| C1 | Case2 | 13.778 | 14.726 | 0.948 | 6.438 | 0.736 | 4.998 |
| Case3 | 15.572 | 0.846 | 5.745 | ||||
| Case5 | 14.828 | 0.102 | 0.693 | ||||
| D3 | Case1 | 9.346 | 10.788 | 1.442 | 13.367 | 0.688 | 6.377 |
| Case2 | 12.266 | 1.478 | 13.700 | ||||
| Case3 | 10.751 | 0.037 | 0.343 |
| Test Scenario | Test Case | Peak Strain (%) | Mean Value (%) | Absolute Deviation (%) | Relative Deviation (%) | Standard Deviation (%) | Coefficient of Variation (%) |
|---|---|---|---|---|---|---|---|
| A4 | Case1 | 1.583 | 1.689 | 0.106 | 6.276 | 0.082 | 4.855 |
| Case2 | 1.701 | 0.012 | 0.710 | ||||
| Case4 | 1.783 | 0.094 | 5.565 | ||||
| B3 | Case2 | 1.777 | 1.723 | 0.054 | 3.134 | 0.069 | 4.005 |
| Case3 | 1.626 | 0.097 | 5.630 | ||||
| Case4 | 1.766 | 0.043 | 2.496 | ||||
| C1 | Case2 | 1.392 | 1.574 | 0.182 | 11.563 | 0.129 | 8.196 |
| Case3 | 1.651 | 0.077 | 4.892 | ||||
| Case5 | 1.680 | 0.106 | 6.734 | ||||
| D4 | Case2 | 2.001 | 2.089 | 0.088 | 4.213 | 0.076 | 3.638 |
| Case4 | 2.187 | 0.098 | 4.691 | ||||
| Case5 | 2.079 | 0.010 | 0.479 |
Disclaimer/Publisher’s Note: The statements, opinions and data contained in all publications are solely those of the individual author(s) and contributor(s) and not of MDPI and/or the editor(s). MDPI and/or the editor(s) disclaim responsibility for any injury to people or property resulting from any ideas, methods, instructions or products referred to in the content. |
© 2024 by the authors. Licensee MDPI, Basel, Switzerland. This article is an open access article distributed under the terms and conditions of the Creative Commons Attribution (CC BY) license (https://creativecommons.org/licenses/by/4.0/).
Share and Cite
Cao, Y.; Xu, Z.; Tai, L.; Kong, Z.; Wu, P.; Li, C.; Mao, X. Experimental Study on the Mechanical Properties and Damage Mechanism of Saturated Coal-Measure Sandstone in an Open Pit Mine Under the Freeze–Thaw Effect. Appl. Sci. 2024, 14, 11381. https://doi.org/10.3390/app142311381
Cao Y, Xu Z, Tai L, Kong Z, Wu P, Li C, Mao X. Experimental Study on the Mechanical Properties and Damage Mechanism of Saturated Coal-Measure Sandstone in an Open Pit Mine Under the Freeze–Thaw Effect. Applied Sciences. 2024; 14(23):11381. https://doi.org/10.3390/app142311381
Chicago/Turabian StyleCao, Yue, Zhijun Xu, Lianhai Tai, Zheng Kong, Peng Wu, Chong Li, and Xianbiao Mao. 2024. "Experimental Study on the Mechanical Properties and Damage Mechanism of Saturated Coal-Measure Sandstone in an Open Pit Mine Under the Freeze–Thaw Effect" Applied Sciences 14, no. 23: 11381. https://doi.org/10.3390/app142311381
APA StyleCao, Y., Xu, Z., Tai, L., Kong, Z., Wu, P., Li, C., & Mao, X. (2024). Experimental Study on the Mechanical Properties and Damage Mechanism of Saturated Coal-Measure Sandstone in an Open Pit Mine Under the Freeze–Thaw Effect. Applied Sciences, 14(23), 11381. https://doi.org/10.3390/app142311381

