Performance Comparison of Various Tunnel Lighting Scenarios on Driver Lane-Changing Behaviours in a Driving Simulator
Abstract
1. Introduction
2. Literature Review
3. Materials and Methods
3.1. The Participants
3.2. The Driving Simulator and Experiment Setup
3.3. Developed Scenarios and Limitations
3.4. Measurements
4. Results and Discussion
4.1. Speed Analysis
- Speed reduction ratio for scenario and lighting colour j.
- Speed for the entrance of scenario and lighting colour (km/h).
- Speed for the inside the examined tunnel sections of scenario and lighting colour (km/h).
| S. No | Tunnel Lighting Colour | Mean Difference (km/h) | Speed Reduction Ratio | ||||||||
|---|---|---|---|---|---|---|---|---|---|---|---|
| µ | σ | Min. | Max. | µ | σ | Min. | Max. | ||||
| S-1 | Blue Sky | 100.4 | 28.0 | 50.8 | 149.2 | 101.2 | 28.2 | 44.5 | 145.8 | +0.8 (ꜛ) | 1.03 |
| S-2 | Red | 105.8 | 31.1 | 39.3 | 151.8 | 97.7 | 35.6 | 23.4 | 147.5 | −8.1 (ꜜ) | 1.15 |
| Green | 102.9 | 29.3 | 39.4 | 153.3 | 105.6 | 28.4 | 53.7 | 155.6 | +2.7 (ꜛ) | 0.97 | |
| S-3 | Flashing Red on Tunnel Wall | 118.9 | 28.0 | 37.0 | 147.3 | 111.7 | 32.4 | 24.7 | 140.6 | −7.2 (ꜜ) | 1.11 |
| Red | 102.7 | 35.7 | 19.0 | 149.2 | 91.8 | 39.5 | 22.2 | 139.8 | −10.9 (ꜜ) | 1.22 | |
| Green | 93.7 | 36.9 | 17.2 | 145.2 | 101.0 | 32.0 | 41.8 | 151.9 | +7.3 (ꜛ) | 0.91 | |
4.2. Crash Analysis
- Safety value for the scenario
- Total accident number for the scenario
- Total accident number for all scenarios.
4.3. Lane Utilization Analysis
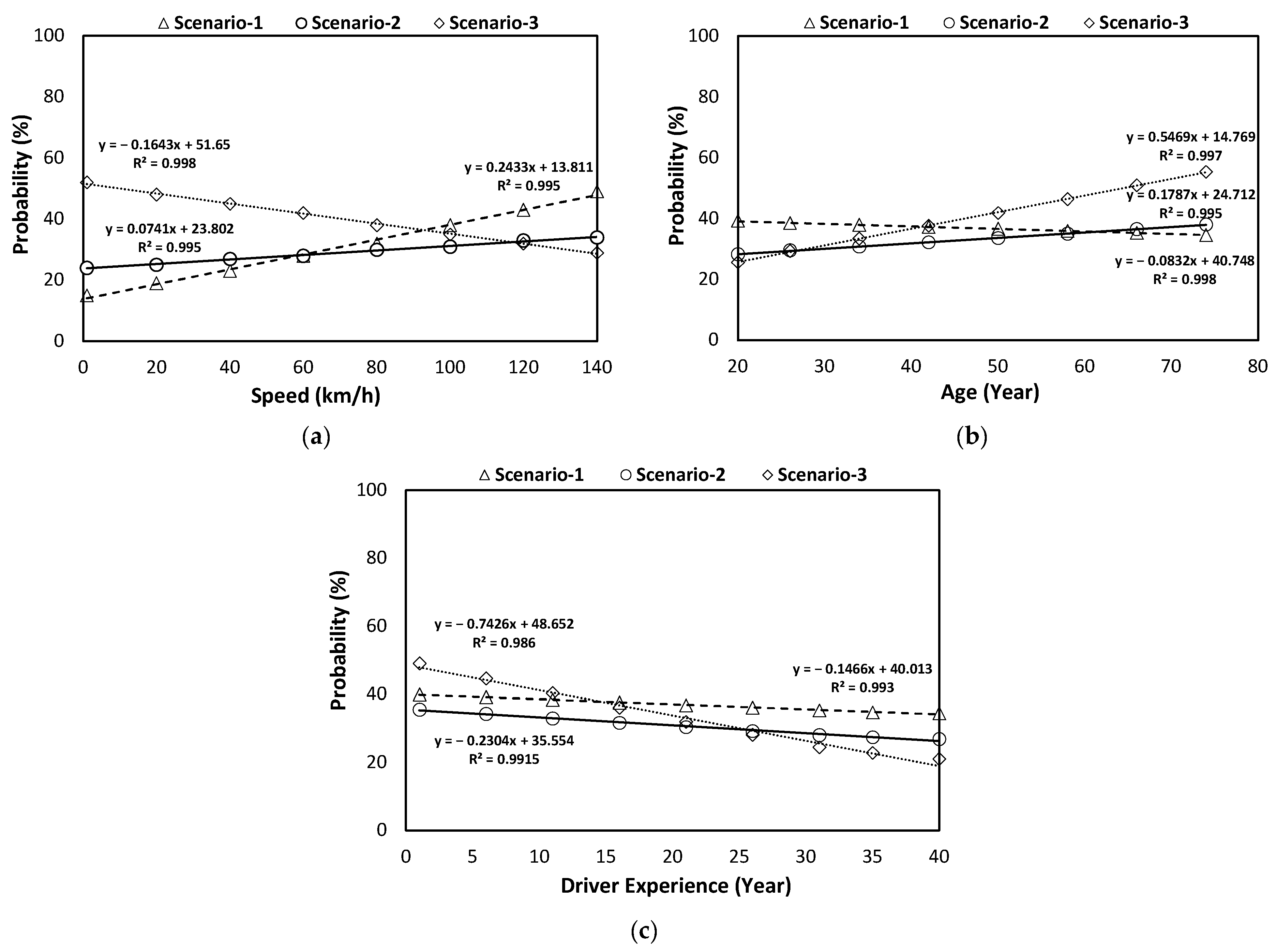
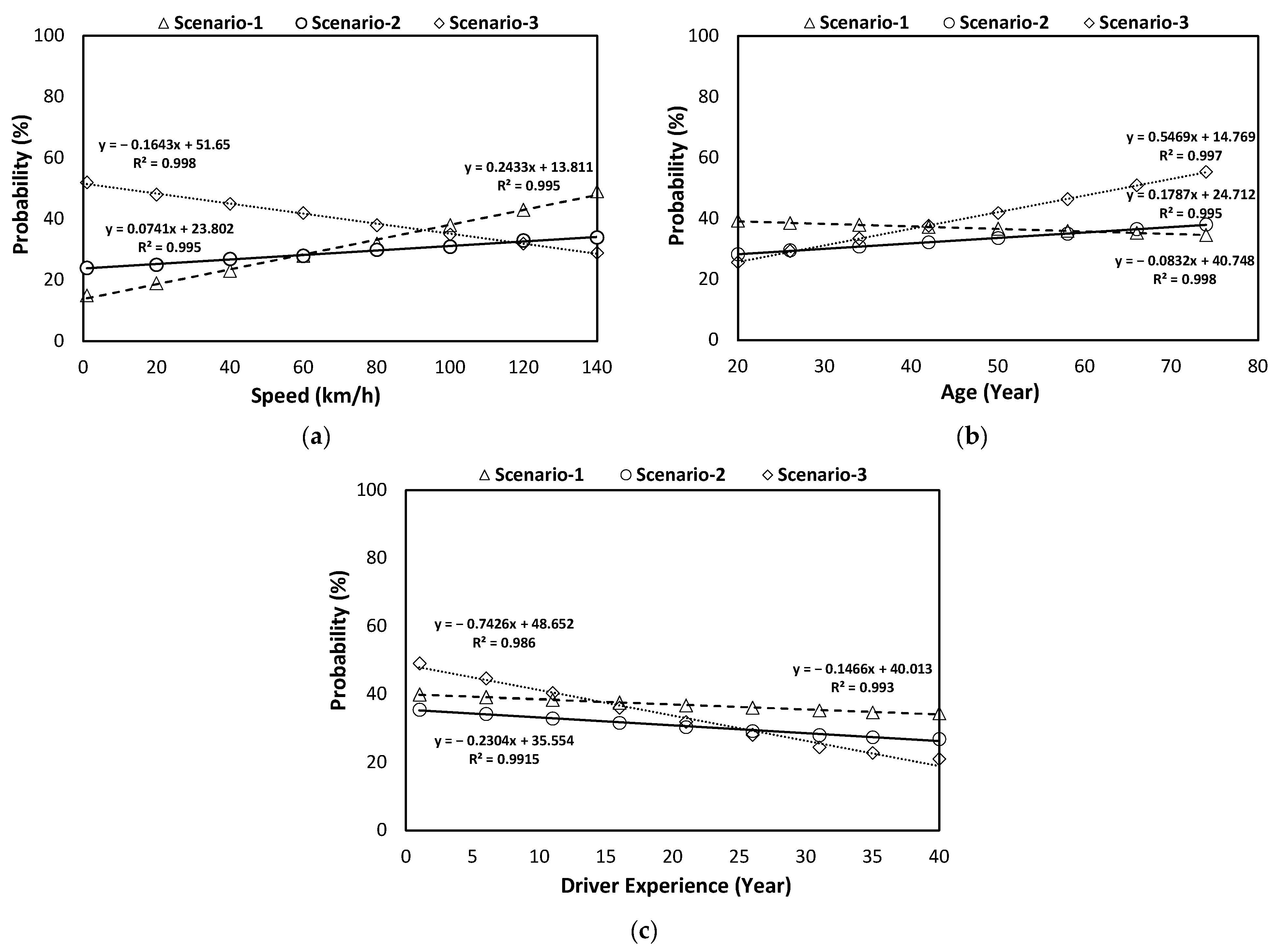
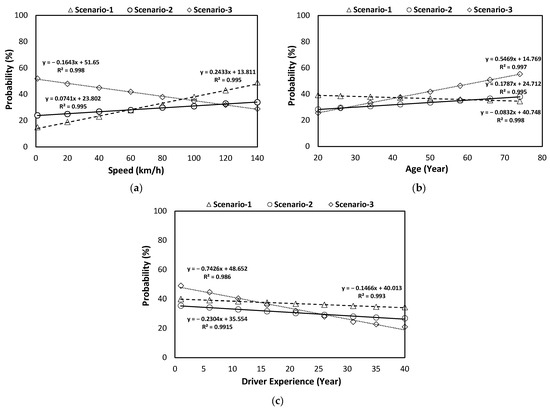
5. Modelling of Lane-Changing Behaviours (LCB)
5.1. Variables and Model Determination

5.2. Development of LCB Model
6. Conclusions and Suggestions
- The study found that drivers tend to reduce speed in tunnel sections with red and flashing red lights, as these signals indicate potential danger. Conversely, green lights encouraged higher speeds, signalling a safer environment for continued driving. S-3, which involved flashing red wall lights and lane closures, proved most effective in reducing driver speed and ensuring safer lane-changing behaviours.
- Drivers exhibited different LCBs depending on the scenario. In S-1, where blue sky lighting was used to reduce stress without presenting obstacles, lane-changing was less frequent. However, in S-2 and S-3, which introduced stopped vehicles and lane closures, drivers performed more lane-changings in response to hazardous conditions.
- The analysis of driver demographics and experience revealed that female drivers and those with prior simulator experience were more likely to perform safer lane-changings. Additionally, more experienced drivers tended to select the appropriate lane earlier, reducing the need for frequent lane-changings in hazardous conditions.
- The study also demonstrated that drivers with higher self-assessed driving skills and more aggressive profiles were more likely to change lanes frequently, aligning with previous research on driver behaviour in challenging environments. Meanwhile, drivers who rated their abilities as lower were more cautious and likely to switch lanes in anticipation of hazards.
- When analysing the total number of entry and exit lane-changings in all scenarios, it was observed that there were more lane-changings in the exit zone (N = 134) (with green lighting) than in the entry zone (N = 124). This result shows that after exiting the dangerous tunnel sections, people feel relaxed by the green lights and tend to continue their journey in the lane they consider safest.
- Implementing dynamic tunnel lighting systems, such as the red and flashing red lights tested in this study, can effectively alert drivers to potential hazards and encourage safer driving behaviours. These systems should be considered in the design and retrofitting of tunnel infrastructure, particularly in high-risk sections.
- The positive effect of previous simulator experience on LCB suggests that incorporating driving simulators into driver education programs could enhance drivers’ ability to respond appropriately to hazardous tunnel conditions. Training programs focusing on tunnel safety and lane selection strategies should be developed.
- In addition to lighting, clear and early signage within tunnels can further guide drivers in making safe lane-changings. Integrating visual cues such as flashing lights with clear signage can improve overall driver response, particularly in long tunnels with frequent traffic disruptions.
- The results suggest that blue sky lighting is not as effective as red and flashing red lights in alerting drivers to unfavourable situations, but rather in reducing drivers’ stress and allowing them to continue driving at high speeds. This result suggests that blue sky lighting is psychologically less effective in the danger zone and more effective in reducing stress in other contexts (e.g., open roads or long tunnels). This study therefore highlights the importance of colour selection in highway tunnels.
Author Contributions
Funding
Institutional Review Board Statement
Informed Consent Statement
Data Availability Statement
Conflicts of Interest
References
- Kirytopoulos, K.; Mourelatos, A.; Chatzistelios, G.; Ntzeremes, P.; Konstantinidou, M. Employing serious games to increase safety in driving through road tunnels. In Proceedings of the 31st European Safety and Reliability Conference, ESREL, Angers, France, 19–23 September 2021; pp. 1069–1075. [Google Scholar]
- World Health Organization (WHO). Global Status Report on Road Safety; WHO Library Cataloguing in Publication Data: Geneva, Switzerland, 2023. [Google Scholar]
- Ntzeremes, P.; Kirytopoulos, K. Evaluating the role of risk assessment for road tunnel fire safety: A comparative review within the EU. J. Traffic Transp. Eng. 2019, 6, 282–296. [Google Scholar] [CrossRef]
- Aydın, M.M.; Gunay, B.; Akgol, K. Performance comparison of various chicane types: A driving simulator study. Int. J. Civ. Eng. 2019, 17, 1753–1765. [Google Scholar] [CrossRef]
- Koçhan, B.; Çoruh, E.; Aydın, M.M. A study on drivers’ perception of tunnel operation and safety. Osmaniye Korkut Ata Univ. J. Inst. Sci. Technol. 2023, 6, 493–516. [Google Scholar]
- Pervez, A.; Lee, J.; Huang, H. Exploring factors affecting the injury severity of freeway tunnel crashes: A random parameters approach with heterogeneity in means and variances. Accid. Anal. Prev. 2022, 178, 106835. [Google Scholar] [CrossRef] [PubMed]
- Caliendo, C.; Ciambelli, P.; De Guglielmo, M.L.; Meo, M.G.; Russo, P. Simulation of fire scenarios due to different vehicle types with and without traffic in a bi-directional road tunnel. Tunn. Undergr. Space Technol. 2013, 37, 22–36. [Google Scholar] [CrossRef]
- Bassan, S. Overview of traffic safety aspects and design in road tunnels. IATSS Res. 2016, 40, 35–46. [Google Scholar] [CrossRef]
- Aydın, M.M. Method for modeling lane-based driving discipline of drivers on divided multilane urban roads. J. Transp. Eng. Part A Syst. 2021, 147, 04021011. [Google Scholar] [CrossRef]
- Peña-García, A.; Nguyen, T.P.L. A global perspective for sustainable highway tunnel lighting regulations: Greater road safety with a lower environmental impact. Int. J. Environ. Res. Public Health 2018, 15, 2658. [Google Scholar] [CrossRef]
- Danishmal, M.; Serat, Z. Investigating the importance of tunnel lighting and its role in reducing traffic accidents. Acad. J. Res. Sci. Publ. 2021, 29, 39–57. [Google Scholar] [CrossRef]
- Miller, E.E.; Boyle, L.N. Driver behavior in road tunnels: Association with driver stress and performance. Transp. Res. Rec. 2015, 2518, 60–67. [Google Scholar] [CrossRef]
- GDH. General Directorate of Highways. 2024. Available online: https://www.kgm.gov.tr/Sayfalar/KGM/SiteEng/Projeler/ProjelerDetay.aspx?q=104 (accessed on 25 August 2024).
- Kircher, K.; Ahlstrom, C. The impact of tunnel design and lighting on the performance of attentive and visually distracted drivers. Accid. Anal. Prev. 2012, 47, 153–161. [Google Scholar] [CrossRef] [PubMed]
- Yeung, J.S.; Wong, Y.D. Effects of driver age and experience in abrupt-onset hazards. Accid. Anal. Prev. 2015, 78, 110–117. [Google Scholar] [CrossRef] [PubMed]
- Calvi, A.; Benedetto, A.; De Blasiis, M.R. A driving simulator study of driver performance on deceleration lanes. Accid. Anal. Prev. 2012, 45, 195–203. [Google Scholar] [CrossRef]
- Manseer, M.; Riener, A. Evaluation of driver stress while transiting road tunnels. In Proceedings of the 6th International Conference on Automotive User Interfaces and Interactive Vehicular Applications, Seattle, WA, USA; pp. 1–6.
- Zhao, X.; Liu, Q.; Li, H.; Qi, J.; Dong, W.; Ju, Y. Evaluation of the effect of decorated sidewall in tunnels based on driving behavior characteristics. Tunn. Undergr. Space Technol. 2022, 127, 104591. [Google Scholar] [CrossRef]
- Bei, R.; Du, Z.; Huang, T.; Mei, J.; He, S.; Zhang, X. Analysis and regulation of driving behavior in the entrance zone of freeway tunnels: Implementation of visual guidance systems in China. Accid. Anal. Prev. 2024, 202, 107600. [Google Scholar] [CrossRef]
- Wen, X.; Ye, F.; Su, E.; Zhang, X.; Han, X.; Liu, J.; Zhu, W. Color design method for tunnel wall-type portals considering harmonization with time-varying environments: A study of driving simulation. Tunn. Undergr. Space Technol. 2024, 147, 105671. [Google Scholar] [CrossRef]
- Wang, R.; Yan, B.; Wang, Y.; Li, K.J. Prediction of adjacent single pile deformation induced by tunnel excavation based on the Pasternak model. Tunn. Undergr. Space Technol. 2024, 152, 105932. [Google Scholar] [CrossRef]
- Feng, Z.; Wang, J.; Liu, W.; Li, T.; Wu, X.; Zhao, P. Data-driven deformation prediction and control for existing tunnels below shield tunneling. Eng. Appl. Artif. Intell. 2024, 138, 109379. [Google Scholar] [CrossRef]
- Wan, L.; Yan, Y.; Liu, C.; Mao, T.; Wang, W. Characteristics and identification of risky driving behavior in expressway tunnel based on behavior spectrum. Int. J. Transp. Sci. Technol. 2023, 69, 352–359. [Google Scholar] [CrossRef]
- Yan, Y.; Dai, Y.; Li, X.; Tang, J.; Guo, Z. Driving risk assessment using driving behavior data under continuous tunnel environment. Traffic Inj. Prev. 2019, 20, 807–812. [Google Scholar] [CrossRef]
- Törnros, J. Driving behaviour in a real and a simulated road tunnel—A validation study. Accid. Anal. Prev. 1998, 30, 497–503. [Google Scholar] [CrossRef] [PubMed]
- Kirytopoulos, K.; Kazaras, K.; Papapavlou, P.; Ntzeremes, P.; Tatsiopoulos, I. Exploring driving habits and safety critical behavioural intentions among road tunnel users: A questionnaire survey in Greece. Tunn. Undergr. Space Technol. 2017, 63, 244–251. [Google Scholar] [CrossRef]
- Yang, Y.; Alonso, F.; Du, Z.; Useche, S.A. How to resolve the contradiction between driving safety and lighting energy conservation in a highway tunnel? An experiment on linear guiding system. Transp. Res. Part F Traffic Psychol. Behav. 2024, 103, 319–339. [Google Scholar] [CrossRef]
- Domenichini, L.; La Torre, F.; Branzi, V.; Nocentini, A. Speed behaviour in work zone crossovers: A driving simulator study. Accid. Anal. Prev. 2017, 98, 10–24. [Google Scholar] [CrossRef]
- Wang, W.; Cheng, Q.; Li, C.; André, D.; Jiang, X. A cross-cultural analysis of driving behavior under critical situations: A driving simulator study. Transp. Res. Part F Traffic Psychol. Behav. 2019, 62, 483–493. [Google Scholar] [CrossRef]
- Qin, X.; Zhang, N.; Zhang, W.; Meitner, M. How does tunnel interior color environment influence driving behavior? Quantitative analysis and assessment experiment. Tunn. Undergr. Space Technol. 2020, 98, 103320. [Google Scholar] [CrossRef]
- Akgol, K.; Gunay, B.; Aydin, M.M. Geometric optimisation of chicanes using driving simulator trajectory data. Proc. Inst. Civ. Eng. Transp. 2022, 175, 238–248. [Google Scholar] [CrossRef]
- Godley, S.T.; Triggs, T.J.; Fildes, B.N. Driving simulator validation for speed research. Accid. Anal. Prevent. 2002, 34, 589–600. [Google Scholar] [CrossRef]
- Shuguang, L. An optimal model for tunnel lighting control systems. Tunn. Undergr. Space Technol. 2015, 49, 328–335. [Google Scholar] [CrossRef]
- Peña-García, A. Sustainable tunnel lighting: One decade of proposals, advances and open points. Tunn. Undergr. Space Technol. 2022, 119, 104227. [Google Scholar] [CrossRef]
- Onaygil, S.; Güler, Ö.; Yurtseven, M. Evaluation of led luminaire utilization in road lighting installations in terms of electrical energy quality. Light Eng. 2023, 31, 13–21. [Google Scholar] [CrossRef] [PubMed]
- Du, T.; Yang, D.; Ding, Y. Driving force for preventing smoke backlayering in downhill tunnel fires using forced longitudinal ventilation. Tunn. Undergr. Space Technol. 2018, 79, 76–82. [Google Scholar] [CrossRef]
- Wei, C.; Romano, R.; Merat, N.; Wang, Y.; Hu, C.; Taghavifar, H.; Boer, E.R. Risk-based autonomous vehicle motion control with considering human driver’s behaviour. Transp. Res. Part C Emerg. Technol. 2019, 107, 1–14. [Google Scholar] [CrossRef]
- Tang, F.; Deng, L.; Meng, N.; Mcnamee, M.; Van Hees, P.; Hu, L. Critical longitudinal ventilation velocity for smoke control in a tunnel induced by two nearby fires of various distances: Experiments and a revisited model. Tunn. Undergr. Space Technol. 2020, 105, 103559. [Google Scholar] [CrossRef]
- Bella, F. Driving simulator for speed research on two-lane rural roads. Accid. Anal. Prev. 2008, 40, 1078–1087. [Google Scholar] [CrossRef]
- Lioi, A.; Portera, A.; Tefa, L.; Hazoor, A.; Bassani, M. Validation of a driving simulator for road tunnel behavioural studies. Transp. Res. Procedia 2023, 69, 352–359. [Google Scholar] [CrossRef]
- Turkish Statistical Institute. TUİK. 2024. Istatistiklerle-Kadin-2023. Available online: https://data.tuik.gov.tr/Bulten/Index?p=Istatistiklerle-Kadin-2023-53675 (accessed on 19 November 2024).
- Ardahan, F.; Mert, M. Impacts of outdoor activities demographic variables and emotional intelligence on life satisfaction: An econometric application of a case in Turkey. Soc. Indic. Res. 2013, 113, 887–901. [Google Scholar] [CrossRef]
- Mert, M. Horizontal Cross Section Data Analysis Computer Applications, 1st ed.; Detay Publishing: Ankara, Turkey, 2016. [Google Scholar]
- Abdel-Aty, M.; Ekram, A.A.; Huang, H.; Choi, K. A study on crashes related to visibility obstruction due to fog and smoke. Accid. Anal. Prev. 2011, 43, 1730–1737. [Google Scholar] [CrossRef]
- Eluru, N.; Bhat, C.; Hensher, D. A mixed generalized ordered response model for examining pedestrian and bicyclist injury severity level in traffic crashes. Accid. Anal. Prev. 2008, 40, 1033–1054. [Google Scholar] [CrossRef]
- Fan, W.D.; Haile, E.W. Analysis of severity of vehicle crashes at highway–rail grade crossings: Multinomial logit modeling. In Proceedings of the Transportation Research Board 93rd Annual Meeting, Washington, DC, USA, 12–16 January 2014. Paper No. 14-0588. [Google Scholar]
- Posada, D.; Buckley, T.R. Model selection and model averaging in phylogenetics: Advantages of Akaike information criterion and Bayesian approaches over likelihood ratio tests. Syst. Biol. 2004, 53, 793–808. [Google Scholar] [CrossRef]
- Coruh, E.; Bilgic, A.; Cengiz, V.; Urak, F. Uncovering the determinants of bottom-up CO2 emissions among households in Türkiye: Analysis and policy recommendations. J. Clean. Prod. 2024, 469, 143197. [Google Scholar] [CrossRef]
- Nair, V.N.; Pregibon, D. Analyzing dispersion effects from replicated factorial experiments. Technometrics 1988, 30, 247–257. [Google Scholar] [CrossRef]
- Aydın, M.M.; Topal, A. Effects of pavement surface deformations on lane-changing behaviours. Proc. Inst. Civ. Eng. Transp. 2018, 171, 136–145. [Google Scholar] [CrossRef]
- Shirke, C.; Sumanth, N.; Arkatkar, S.; Bhaskar, A.; Joshi, G. Modeling expressway lane utilization and lane choice behaviour: A case study on Delhi–Gurgaon expressway. Transp. Lett. 2019, 11, 250–263. [Google Scholar] [CrossRef]
- Aydın, M.M.; Çoruh, E.; Kalkan, H. Examination of various highway tunnels in terms of tunnel features and driver behaviors. El-Cezerî J. Sci. Eng. 2020, 7, 1258–1274. [Google Scholar]










| Scenario-No | Tunnel Lighting Colour | Lighting Length (m) | Lane Number | Lane Width (Left + Right) (m) | Lateral Clearance (Left + Right) (m) | Sidewalk Width (Left + Right) (m) | Obstacle in the Red Tunnel Light (m) |
|---|---|---|---|---|---|---|---|
| S-1 | Blue Sky | 210 | 2 | 3.50 + 3.50 | 0.50 + 0.50 | 1.00 + 1.00 | - |
| S-2 | Red | 210 | 2 | 3.50 + 3.50 | 0.50 + 0.50 | 1.00 + 1.00 | 100 |
| Green | 210 | 2 | 3.50 + 3.50 | 0.50 + 0.50 | 1.00 + 1.00 | - | |
| S-3 | Flashing Red on Tunnel Wall | 210 | 2 | 3.50 + 3.50 | 0.50 + 0.50 | 1.00 + 1.00 | - |
| Red | 210 | 2 | 3.50 + 3.50 | 0.50 + 0.50 | 1.00 + 1.00 | 60 | |
| Green | 210 | 2 | 3.50 + 3.50 | 0.50 + 0.50 | 1.00 + 1.00 | - |
| S. No | Tunnel Lighting Colour | Bartlett’s Test | Kruskal–Wallis Test | ||
|---|---|---|---|---|---|
| χ2 | χ2 | ||||
| S-1 | Blue Sky | 16.253 | 0.003 | 123.522 | 0.277 |
| S-2 | Red | 21.799 | 0.000 | 122.949 | 0.267 |
| Green | 6.728 | 0.009 | 123.980 | 0.155 | |
| S-3 | Flashing Red on Tunnel Wall | 11.897 | 0.003 | 123.981 | 0.125 |
| Red | 6.846 | 0.009 | 123.984 | 0.025 | |
| Green | 14.029 | 0.001 | 123.939 | 0.021 | |
| Accident Reason | Scenario Number | Total (∑) | |||||
|---|---|---|---|---|---|---|---|
| Scenario 1 | Scenario 2 | Scenario 3 | |||||
| Blue Lights | Red Lights | Green Lights | Red Wall Lights | Red Lights | Green Lights | ||
| R1 | NC | 0 | - | - | 3 | - | 3 |
| R2 | NC | 2 | - | - | 2 | - | 4 |
| R3 | NC | 1 | - | - | 1 | - | 2 |
| R4 | NC | 6 | - | - | - | - | 6 |
| Total (∑) | - | 9 | - | - | 6 | - | 15 |
| Percent (%) | - | 0.60 | - | - | 0.40 | - | 1 |
| Safety Value () | - | 0.40 | - | - | 0.60 | - | 1 |
| Scenario No | Lighting Colour | Lane | Entrance L1 | Entrance L2 | Total Lane-Changing Number |
|---|---|---|---|---|---|
| S-1 | Blue Light | Exit L1 | 12 * | 21 | 21 |
| Exit L2 | 26 | 66 * | 26 | ||
| Total (∑) | 47 | ||||
| S-2 | Red Light | Exit L1 | 15 * | 16 | 16 |
| Exit L2 | 19 | 75 * | 19 | ||
| Green Light | Exit L1 | 15 * | 25 | 25 | |
| Exit L2 | 18 | 67 * | 18 | ||
| Total (∑) | 78 | ||||
| S-3 | Red Wall Light | Exit L1 | 11 * | 6 | 6 |
| Exit L2 | 38 | 70 * | 38 | ||
| Red Light | Exit L1 | 0 * | 0 | 0 | |
| Exit L2 | 24 | 101 * | 24 | ||
| Green Light | Exit L1 | 0 * | 65 | 65 | |
| Exit L2 | 0 | 60 * | 0 | ||
| Total (∑) | 133 | ||||
| LCB | Lane-Changing Behaviour (LCB) as Dependent Variable |
|---|---|
| Continuous variables | |
| Vehicle speeds inside the tunnel |
| Driver age (years) |
| Driving license duration (years) |
| Categorical variables | |
| (Takes the value of 1 if individual is yes, 0 otherwise), |
| (Takes the value of 1 if individual is female, 0 otherwise), |
| (Takes the value of 1 if yes, 0 otherwise) |
| (Takes the value of 1 if medium, 0 otherwise) |
| (Takes the value of 1 if good, 0 otherwise) |
| (Takes the value of 1 if very good, 0 otherwise) |
| (Takes the value of 1 if medium, 0 otherwise) |
| (Takes the value of 1 if calm, 0 otherwise) |
| Variable Name | Scenario No | Lighting Colour | Observation Number | Min. | Max. | Mean Value | Std. Deviation |
|---|---|---|---|---|---|---|---|
| Speed (km/h) | S-1 | Blue Light | 125 | 44.5 | 151.2 | 27.4 | 7.8 |
| S-2 | Red Light | 125 | 23.4 | 153.8 | 27.1 | 9.8 | |
| Green Light | 125 | 20.8 | 152.8 | 29.8 | 8.6 | ||
| S-3 | Red Wall Light | 125 | 24.7 | 154.6 | 38.0 | 9.1 | |
| Red Light | 125 | 22.1 | 152.9 | 25.5 | 10.9 | ||
| Green Light | 125 | 41.8 | 155.6 | 28.1 | 8.9 | ||
| Age (year) | 125 | 18 | 76 | 38.1 | 11.0 | ||
| Driver Experience (year) | 125 | 1 | 37 | 10.3 | 9.5 | ||
| Scenario No | Parameter | Logit Model | Probit Model |
|---|---|---|---|
| S−1 | p > Likelihood Ratio | 0.091 ** | 0.090 ** |
| Log− Likelihood Full Model | −74.1 | −72.5 a | |
| McFadden’s R2 | 0.65 | 0.66 a | |
| S−2 | p > Likelihood Ratio | 0.084 ** | 0.081 ** |
| Log− Likelihood Full Model | −196.7 | −185.2 a | |
| McFadden’s R2 | 0.72 | 0.74 a | |
| S−3 | p > Likelihood Ratio | 0.000 * | 0.000 * |
| Log− Likelihood Full Model | −222.055 | −221.969 a | |
| McFadden’s R2 | 0.79 | 0.80 a |
| Scenario No | Param. | Variables | ||||||||||
|---|---|---|---|---|---|---|---|---|---|---|---|---|
| S−1 | Coeff. | −0.20 | 0.57 | 0.57 | −0.44 | −0.82 | −0.87 | −0.81 | −0.80 | 0.00 | −0.00 | 0.05 |
| Std. E. | 0.26 | 0.31 | 0.78 | 0.74 | 0.66 | 0.67 | 0.39 | 0.43 | 0.00 | 0.02 | 0.02 | |
| Z | −0.78 | 1.81 | 0.73 | −0.60 | −1.25 | −1.30 | −2.07 | −1.86 | 1.74 | −0.10 | 0.16 | |
| value | 0.438 | 0.07 ** | 0.46 | 0.54 | 0.21 | 0.19 | 0.03 * | 0.06 * | 0.08 ** | 0.92 | 0.88 | |
| > χ2 = 0.92, McFadden’s R2 = 0.65, AIC = 1.47, Max. VIF = 3.19 | ||||||||||||
| S−2 | Coeff. | −0.15 | 0.37 | 0.15 | 0.78 | 0.49 | 0.58 | −0.19 | −0.09 | 0.00 | 0.00 | 0.00 |
| Std. E. | 0.18 | 0.21 | 0.49 | 0.51 | 0.44 | 0.45 | 0.27 | 0.30 | 0.00 | 0.01 | 0.02 | |
| Z | −0.85 | 1.73 | 0.32 | 1.51 | 1.10 | 1.28 | −0.70 | −0.33 | 0.84 | 0.28 | 0.35 | |
| value | 0.39 | 0.08 ** | 0.74 | 0.09 ** | 0.08 ** | 0.04 * | 0.48 | 0.74 | 0.39 | 0.77 | 0.04 * | |
| > χ2 = 0.85, McFadden’s R2 = 0.71, AIC = 1.374, Max. VIF = 3.21 | ||||||||||||
| S−3 | Coeff. | −0.10 | 0.19 | −0.34 | 0.26 | 0.28 | 0.00 | −0.00 | −0.19 | −0.00 | 0.01 | 0.02 |
| Std. E. | 0.14 | 0.17 | 0.43 | 0.41 | 0.37 | 0.38 | 0.22 | 0.25 | 0.00 | 0.01 | 0.01 | |
| Z | −0.72 | 1.15 | −0.78 | 0.64 | 0.78 | 0.02 | −0.03 | −0.78 | −2.12 | 1.15 | 1.50 | |
| value | 0.47 | 0.09 ** | 0.43 | 0.04 * | 0.04 * | 0.02 * | 0.97 | 0.43 | 0.03 | 0.25 | 0.02 * | |
| > χ2 = 0.73, McFadden’s R2 = 0.75, AIC = 1.29, Max. VIF = 3.10 | ||||||||||||
| Variables | Def. | Scenario-1 | Scenario-2 | Scenario-3 | |||||||||
|---|---|---|---|---|---|---|---|---|---|---|---|---|---|
| Obs. Yes | Pre. Yes | Diff. | Obs. Yes | Pre. Yes | Diff. | Obs. Yes | Pre. Yes | Diff. | |||||
| Driving Familiar | Yes | 0.41 | 0.33 | 0.08 | 0.000 * | 0.45 | 0.38 | 0.07 | 0.000 | 0.52 | 0.53 | 0.01 | 0.000 * |
| No | 0.46 | 0.40 | 0.06 | 0.000 * | 0.48 | 0.43 | 0.05 | 0.000 | 0.60 | 0.56 | 0.04 | 0.000 * | |
| Gender | Male | 0.45 | 0.36 | 0.09 | 0.002 * | 0.50 | 0.42 | 0.08 | 0.000 | 0.55 | 0.53 | 0.02 | 0.000 * |
| Female | 0.62 | 0.56 | 0.06 | 0.000 * | 0.55 | 0.44 | 0.11 | 0.000 | 0.65 | 0.60 | 0.05 | 0.000 * | |
| Driving Simulator Exper. | Yes | 0.48 | 0.42 | 0.06 | 0.002 * | 0.40 | 0.46 | 0.06 | 0.000 | 0.70 | 0.63 | 0.07 | 0.000 * |
| No | 0.29 | 0.23 | 0.06 | 0.041 ** | 0.35 | 0.41 | 0.06 | 0.038 ** | 0.62 | 0.56 | 0.06 | 0.044 ** | |
| Driving Skill | Beginner | 0.52 | 0.64 | 0.12 | 0.002 * | 0.72 | 0.61 | 0.11 | 0.002 | 0.69 | 0.61 | 0.08 | 0.001 * |
| Medium | 0.40 | 0.49 | 0.09 | 0.001 * | 0.51 | 0.43 | 0.08 | 0.013 | 0.59 | 0.52 | 0.07 | 0.000 * | |
| Good | 0.30 | 0.35 | 0.05 | 0.000 * | 0.49 | 0.42 | 0.07 | 0.000 | 0.56 | 0.51 | 0.05 | 0.000 * | |
| V. Good | 0.28 | 0.34 | 0.06 | 0.000 * | 0.46 | 0.39 | 0.07 | 0.000 | 0.66 | 0.61 | 0.05 | 0.000 * | |
| Driver Profile | Aggress. | 0.68 | 0.63 | 0.05 | 0.000 * | 0.55 | 0.46 | 0.09 | 0.000 | 0.56 | 0.57 | 0.01 | 0.000 * |
| Medium | 0.41 | 0.34 | 0.07 | 0.000 * | 0.51 | 0.39 | 0.12 | 0.000 | 0.52 | 0.57 | 0.05 | 0.000 * | |
| Calm | 0.43 | 0.34 | 0.09 | 0.000 * | 0.52 | 0.43 | 0.09 | 0.000 | 0.45 | 0.51 | 0.06 | 0.000 * | |
Disclaimer/Publisher’s Note: The statements, opinions and data contained in all publications are solely those of the individual author(s) and contributor(s) and not of MDPI and/or the editor(s). MDPI and/or the editor(s) disclaim responsibility for any injury to people or property resulting from any ideas, methods, instructions or products referred to in the content. |
© 2024 by the authors. Licensee MDPI, Basel, Switzerland. This article is an open access article distributed under the terms and conditions of the Creative Commons Attribution (CC BY) license (https://creativecommons.org/licenses/by/4.0/).
Share and Cite
Ozturk, O.F.; Mazlum, Y.; Aydin, M.M.; Coruh, E.; Bayata, H.F. Performance Comparison of Various Tunnel Lighting Scenarios on Driver Lane-Changing Behaviours in a Driving Simulator. Appl. Sci. 2024, 14, 11319. https://doi.org/10.3390/app142311319
Ozturk OF, Mazlum Y, Aydin MM, Coruh E, Bayata HF. Performance Comparison of Various Tunnel Lighting Scenarios on Driver Lane-Changing Behaviours in a Driving Simulator. Applied Sciences. 2024; 14(23):11319. https://doi.org/10.3390/app142311319
Chicago/Turabian StyleOzturk, Omer Faruk, Yusuf Mazlum, Metin Mutlu Aydin, Emine Coruh, and Halim Ferit Bayata. 2024. "Performance Comparison of Various Tunnel Lighting Scenarios on Driver Lane-Changing Behaviours in a Driving Simulator" Applied Sciences 14, no. 23: 11319. https://doi.org/10.3390/app142311319
APA StyleOzturk, O. F., Mazlum, Y., Aydin, M. M., Coruh, E., & Bayata, H. F. (2024). Performance Comparison of Various Tunnel Lighting Scenarios on Driver Lane-Changing Behaviours in a Driving Simulator. Applied Sciences, 14(23), 11319. https://doi.org/10.3390/app142311319

