Accurate Phase Calibration of Multistatic Imaging System for Medical and Industrial Applications
Abstract
1. Introduction
2. Phase Calibration Method
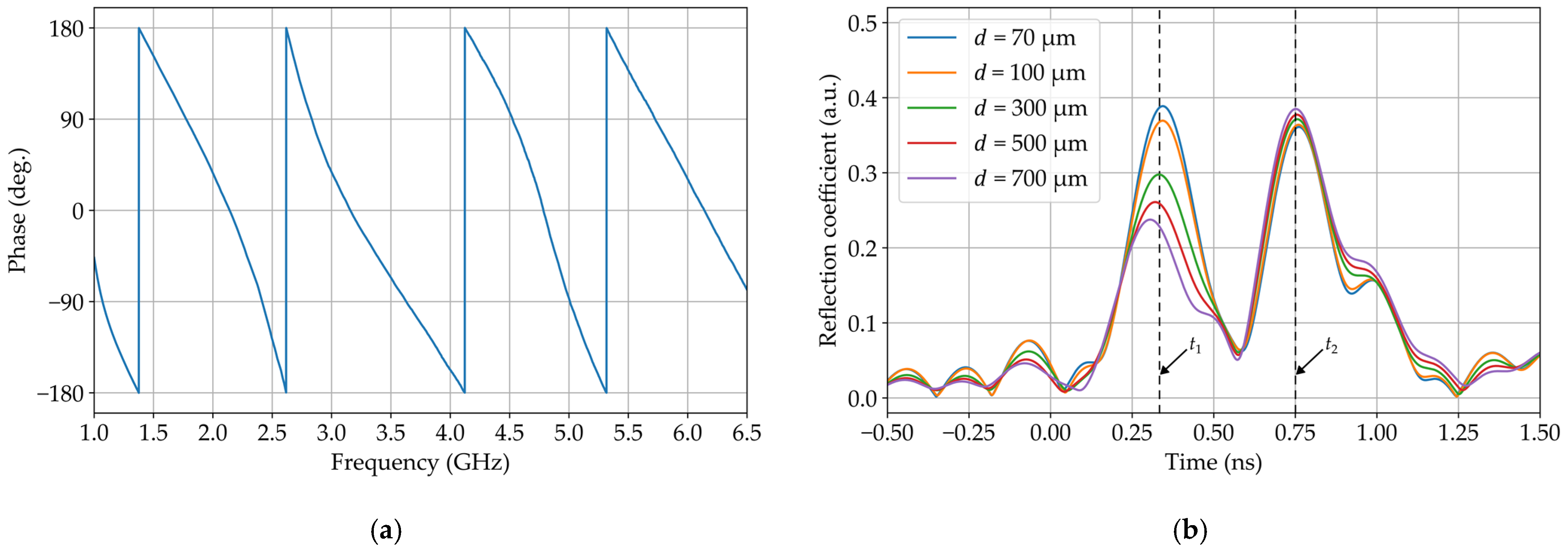
2.1. Reflection Coefficient Measurements
2.2. Time Domain Gating
2.3. Apply Phase Calibration
3. Experiment
- Using SL to BSL reduces the amount of radiation from the feed line.
- BSL has less dispersion compared to the slotline.

4. Calibration Result
5. Imaging Result
6. Conclusions
Author Contributions
Funding
Institutional Review Board Statement
Informed Consent Statement
Data Availability Statement
Conflicts of Interest
References
- Zhang, X.; Gao, G.; Chen, S.W. Polarimetric Autocorrelation Matrix: A New Tool for Joint Characterizing of Target Polarization and Doppler Scattering Mechanism. IEEE Trans. Geosci. Remote Sens. 2024, 62, 5213522. [Google Scholar] [CrossRef]
- Meaney, P.M.; Fanning, M.W.; Li, D.; Poplack, S.P.; Paulsen, K.D. A Clinical Prototype for Active Microwave Imaging of the Breast; IEEE: Piscataway, NY, USA, 2000; Volume 48. [Google Scholar]
- Alsawaftah, N.; El-Abed, S.; Dhou, S.; Zakaria, A. Microwave Imaging for Early Breast Cancer Detection: Current State, Challenges, and Future Directions. J. Imaging 2022, 8, 123. [Google Scholar] [CrossRef]
- Mohammed, B.J.; Abbosh, A.M.; Mustafa, S.; Ireland, D. Microwave System for Head Imaging. IEEE Trans. Instrum. Meas. 2014, 63, 117–123. [Google Scholar] [CrossRef]
- Mobashsher, A.T.; Abbosh, A.M. On-Site Rapid Diagnosis of Intracranial Hematoma Using Portable Multi-Slice Microwave Imaging System. Sci. Rep. 2016, 6, 37620. [Google Scholar] [CrossRef]
- Wu, Z.; Wang, H. Microwave Tomography for Industrial Process Imaging: Example Applications and Experimental Results. IEEE Antennas Propag. Mag. 2017, 59, 61–71. [Google Scholar] [CrossRef]
- Ghasr, M.T.; Horst, M.J.; Dvorsky, M.R.; Zoughi, R. Wideband Microwave Camera for Real-Time 3-D Imaging. IEEE Trans. Antennas Propag. 2017, 65, 258–268. [Google Scholar] [CrossRef]
- Zhu, Z.; Xu, F. Demonstration of 3-D Security Imaging at 24 GHz with a 1-D Sparse MIMO Array. IEEE Geosci. Remote Sens. Lett. 2020, 17, 2090–2094. [Google Scholar] [CrossRef]
- Ahmed, S.S. Microwave Imaging in Security—Two Decades of Innovation. IEEE J. Microw. 2021, 1, 191–201. [Google Scholar] [CrossRef]
- Meaney, P.; Hartov, A.; Raynolds, T.; Davis, C.; Richter, S.; Schoenberger, F.; Geimer, S.; Paulsen, K. Low Cost, High Performance, 16-Channel Microwave Measurement System for Tomographic Applications. Sensors 2020, 20, 5436. [Google Scholar] [CrossRef]
- Shao, W.; McCollough, T. Advances in Microwave Near-Field Imaging: Prototypes, Systems, and Applications. IEEE Microw. Mag. 2020, 21, 94–119. [Google Scholar] [CrossRef]
- Madden, D.; Sarabandi, K. In Situ Monitoring of Channel Imbalances of Air/Space-Borne Antenna Arrays Through Multistatic Radar Imaging. IEEE Trans. Geosci. Remote Sens. 2024, 62, 1000811. [Google Scholar] [CrossRef]
- Ostadrahimi, M.; Mojabi, P.; Gilmore, C.; Zakaria, A.; Noghanian, S.; Pistorius, S.; Lovetri, J. Analysis of Incident Field Modeling and Incident/Scattered Field Calibration Techniques in Microwave Tomography. IEEE Antennas Wirel. Propag. Lett. 2011, 10, 900–903. [Google Scholar] [CrossRef]
- Yurduseven, O.; Gollub, J.N.; Trofatter, K.P.; Marks, D.L.; Rose, A.; Smith, D.R. Software Calibration of a Frequency-Diverse, Multistatic, Computational Imaging System. IEEE Access 2016, 4, 2488–2497. [Google Scholar] [CrossRef]
- Rodriguez-Duarte, D.O.; Vasquez, J.A.T.; Vipiana, F. Multi-Shot Calibration Technique for Microwave Imaging Systems. In Proceedings of the 2021 IEEE Conference on Antenna Measurements and Applications (CAMA 2021), Antibes Juan-les-Pins, France, 15–17 November 2021; Institute of Electrical and Electronics Engineers Inc.: Piscataway, NY, USA, 2021; pp. 476–480. [Google Scholar]
- Kasper, M.; Ragulskis, M.; Gramse, G.; Kienberger, F. S-Parameter Calibration Procedure for Multiport Microwave Imaging Systems. arXiv 2019, arXiv:1905.00963. [Google Scholar]
- Counts, T.; Gurbuz, A.C.; Scott, W.R.; McClellan, J.H.; Kim, K. Multistatic Ground-Penetrating Radar Experiments. Proc. IEEE Trans. Geosci. Remote Sens. 2007, 45, 2544–2553. [Google Scholar] [CrossRef]
- Terashima, K.; Yamaguchi, S.; Nagayama, Y.; Hanashima, T.; Moriyama, T.; Tanaka, T.; Tsuchiya, H. Development of UWB Microwave Mammography with Multi-Polarization. In Proceedings of the 2018 Progress in Electromagnetics Research Symposium, Toyama, Japan, 1–4 August 2018; pp. 1081–1083. [Google Scholar]
- Kwon, S.; Yu, H.; Lee, S. Calibration with Single Measurement in Microwave Imaging System for Breast Cancer Detection. In Proceedings of the 2015 9th European Conference on Antennas and Propagation (EuCAP), Lisbon, Portugal, 13–17 April 2015; pp. 1–2. [Google Scholar]
- Keysight Technologies Electronic Calibration Feature Allows Users to Customize to Speciic Needs. Available online: https://www.keysight.com/us/en/assets/7018-01159/white-papers/5988-9478.pdf (accessed on 29 October 2024).
- Keysight Technologies Time Domain Analysis Using a Network Analyzer. Available online: https://www.keysight.com/jp/ja/assets/7018-01451/application-notes/5989-5723.pdf (accessed on 1 June 2024).
- Cui, J.; Zhang, Y.; Wu, J. The Research of Port Extension and De-Embedding Based on Vector Network Analyzer. In Proceedings of the Tenth International Conference on Electronic Measurement & Instruments, Chengdu, China, 16–19 August 2011; pp. 344–347. [Google Scholar]
- Keysight Technologies De-Embedding and Embedding S-Parameter Networks Using a Vector Network Analyzer. Available online: https://www.keysight.com/jp/ja/assets/7018-06806/application-notes/5980-2784.pdf (accessed on 16 February 2024).
- Bancroft, R.; Chou, R.C. Vivaldi Antenna Impedance Bandwidth Dependence on Stripline to Bilateral Slotline Transition. Microw. Opt. Technol. Lett. 2013, 55, 937–941. [Google Scholar] [CrossRef]
- Lin, F.; Qi, Y.; Jiao, Y.C. A 0.7-20-GHz Strip-Fed Bilateral Tapered Slot Antenna with Low Cross Polarization. IEEE Antennas Wirel. Propag. Lett. 2013, 12, 737–740. [Google Scholar] [CrossRef]
- Janaswamy, R. Even-Mode Characteristics of the Bilateral Slotline. IEEE Trans. Microw. Theory Tech. 1990, 38, 760–765. [Google Scholar] [CrossRef]
- Natalia, K. Nikolova Introduction to Microwave Imaging; Cambridge University Press: Cambridge, UK, 2017; ISBN 9781107085565. [Google Scholar]
- Lerosey, G.; De Rosny, J.; Tourin, A.; Derode, A.; Montaldo, G.; Fink, M. Time Reversal of Electromagnetic Waves. Phys. Rev. Lett. 2004, 92, 193904. [Google Scholar] [CrossRef]
- Xanthos, L.; Yavuz, M.; Himeno, R.; Yokota, H.; Costen, F. Resolution Enhancement of UWB Time-Reversal Microwave Imaging in Dispersive Environments. IEEE Trans. Comput. Imaging 2021, 7, 925–934. [Google Scholar] [CrossRef]
- Kosmas, P.; Rappaport, C.M. Time Reversal with the FDTD Method for Microwave Breast Cancer Detection. IEEE Trans. Microw. Theory Tech. 2005, 53, 2317–2323. [Google Scholar] [CrossRef]
- Meaney, P.M.; Paulsen, K.D. Data Collection Strategies and Their Impact on 3D Microwave Imaging of the Breast. In Proceedings of the 2005 IEEE Antennas and Propagation Society International Symposium, Washington, DC, USA, 3–8 July 2005; Volume 1B, pp. 183–186. [Google Scholar] [CrossRef]
- Johnson, J.E.; Takenaka, T.; Ping, K.A.H.; Honda, S.; Tanaka, T. Advances in the 3-D Forward-Backward Time-Stepping (FBTS) Inverse Scattering Technique for Breast Cancer Detection. IEEE Trans. Biomed. Eng. 2009, 56, 2232–2243. [Google Scholar] [CrossRef] [PubMed]
- Johnson, J.E.; Zhou, H.; Takenaka, T. Experimental Three-Dimensional Time-Domain Reconstruction of Dielectric Objects for Breast Cancer Detection. In Proceedings of the Mediterranean Microwave Symposium in 2006, Genova, Italy, 19–21 September 2006; pp. 423–426. [Google Scholar]
- Zhou, H.; Takenaka, T.; Johnson, J.E.; Tanaka, T. A breast imaging model using microwaves and a time domain three dimensional recon-struction method. PIER 2009, 93, 57–70. [Google Scholar] [CrossRef]









Disclaimer/Publisher’s Note: The statements, opinions and data contained in all publications are solely those of the individual author(s) and contributor(s) and not of MDPI and/or the editor(s). MDPI and/or the editor(s) disclaim responsibility for any injury to people or property resulting from any ideas, methods, instructions or products referred to in the content. |
© 2024 by the authors. Licensee MDPI, Basel, Switzerland. This article is an open access article distributed under the terms and conditions of the Creative Commons Attribution (CC BY) license (https://creativecommons.org/licenses/by/4.0/).
Share and Cite
Tabata, H.; Asakawa, M.R.; Yamaguchi, S. Accurate Phase Calibration of Multistatic Imaging System for Medical and Industrial Applications. Appl. Sci. 2024, 14, 10671. https://doi.org/10.3390/app142210671
Tabata H, Asakawa MR, Yamaguchi S. Accurate Phase Calibration of Multistatic Imaging System for Medical and Industrial Applications. Applied Sciences. 2024; 14(22):10671. https://doi.org/10.3390/app142210671
Chicago/Turabian StyleTabata, Hiroshi, Makoto R. Asakawa, and Soichiro Yamaguchi. 2024. "Accurate Phase Calibration of Multistatic Imaging System for Medical and Industrial Applications" Applied Sciences 14, no. 22: 10671. https://doi.org/10.3390/app142210671
APA StyleTabata, H., Asakawa, M. R., & Yamaguchi, S. (2024). Accurate Phase Calibration of Multistatic Imaging System for Medical and Industrial Applications. Applied Sciences, 14(22), 10671. https://doi.org/10.3390/app142210671

