Effect of Fines Content on the Compression Behavior of Calcareous Sand
Abstract
1. Introduction
2. Materials and Methods
2.1. Test Materials
2.2. Method of One-Dimensional Compression Tests
2.3. Relative Breakage Model
3. Results of Compression Tests
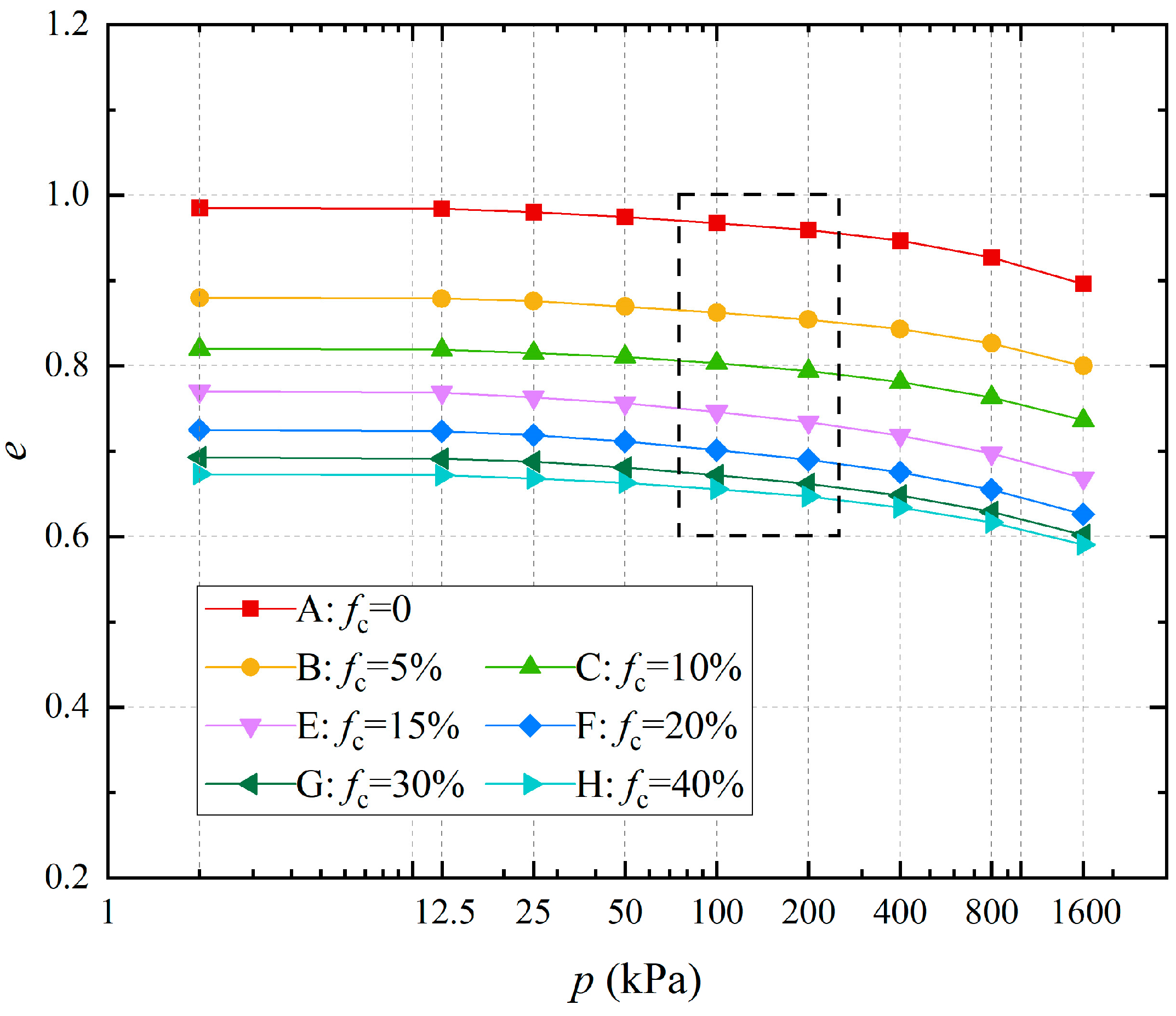
3.1. Effects of Fines Content on the Initial Void Ratio and Compression Characteristics of Calcareous Sand
3.2. Effects of Fines Content on Compression Characteristics of Calcareous Sand at Different Initial Relative Density States
3.3. Effects of Fines Content on the Particle Breakage Characteristics of Calcareous Sand
4. Soil Framework and Compressibility Behavior Analysis
5. Discussion
6. Conclusions
- (1)
- Under identical initial relative density conditions (Dr = 50%), the initial void ratio of calcareous silty sand samples decreased progressively with the increase in fines content. The compression coefficient (a1-2) of these samples ranged from 0.079 to 0.119, showing a pattern of initial increase followed by a decrease with the increase in fines content, indicating a transition from low-compressibility soil to medium-compressibility soil, and eventually back to low-compressibility soil.
- (2)
- Under the same gradation and density conditions, the addition of 5% fines had minimal impact on the compressibility of calcareous sand. However, when the fines content reached 10% or more, the compression coefficient underwent significant changes.
- (3)
- In the initial stages of adding fines, the relative breakage of calcareous sand significantly increased, especially the Br value of silty sand Sample C was three times that of clean sand Sample A.
- (4)
- As fines content increased, the volumetric coefficient (mv) of calcareous sand samples showed a tendency to initially increase and then decrease. This behavior is attributed to two factors as follows: first, the reorganization of particle arrangement influenced by inter-particle contact, and second, the volume reduction caused by particle breakage. As fines content rises, the microstructure of calcareous silty sand shifts from coarse particle-to-particle contact to fine particle-to-particle contact. The threshold fine content (fc-th) reflecting changes in the compressibility of calcareous silty sand is approximately 15–20% at medium-density (Dr = 50%).
- (5)
- The addition of fine particles exacerbates compressibility differences between calcareous sands with varying relative densities. The threshold fines content (fc-th) for calcareous sands with different relative densities also varies. In comparison to medium-density samples, fc-th appears earlier in high-density samples and later in low-density samples.
Author Contributions
Funding
Institutional Review Board Statement
Informed Consent Statement
Data Availability Statement
Conflicts of Interest
Nomenclature
| a1-2 | compression coefficient |
| Br | relative breakage |
| Cc | curvature coefficient |
| Cu | uneven coefficient |
| Dr | relative density |
| d10 | effective size, particle size when the cumulative percentage of mass of soil particles less than a certain particle size is 10% |
| d30 | particle size when the cumulative percentage of mass of soil particles less than a certain particle size is 30% |
| d50 | average particle size, particle size when the cumulative percentage of mass of soil particles less than a certain particle size is 50% |
| d60 | constrained particle size, particle size when the cumulative percentage of mass of soil particles less than a certain particle size is 60% |
| e0 | initial void ratio |
| emax | maximum void ratio |
| emin | minimum void ratio |
| fc | fines content |
| fc-th | threshold fines content |
| Gs | specific gravity of calcareous sand |
| mv | coefficient of volumetric compressibility |
| p | axial load |
| ρdmax | maximum dry density |
| ρdmin | minimum dry density |
| ρw | density of water |
References
- Fahey, M. The response of calcareous soil in static and cyclic triaxial tests. In Engineering for Calcareous Sediments; CRC Press: Boca Raton, FL, USA, 1988; Volume 1. [Google Scholar]
- Coop, M.R. The mechanics of uncemented carbonate sands. Géotechnique 1990, 40, 607–626. [Google Scholar] [CrossRef]
- Liu, C.Q.; Wang, R. Preliminary research on physical and mechanical properties of calcareous sand. Rock Soil Mech. 1998, 19, 32–37. [Google Scholar] [CrossRef]
- Altuhafi, F.N.; Coop, M.R. Changes to particle characteristics associated with the compression of sands. Géotechnique 2011, 61, 459–471. [Google Scholar] [CrossRef]
- Yang, S.; Shen, X.; Liu, H.; Ge, H.; Rui, X. Gradation affects basic mechanical characteristics of Chinese calcareous sand as airport subgrade of reefs. Mar. Georesour. Geotechnol. 2020, 38, 706–715. [Google Scholar] [CrossRef]
- Tian, C.Y.; Lan, H.X.; Liu, X. Study on compression and crushing mechanical properties of calcareous sand considering influence of morphology and grading. J. Eng. Geol. 2021, 29, 1700–1710. [Google Scholar] [CrossRef]
- Thevanayagam, S. Effect of fines and confining stress on undrained shear strength of silty sands. J. Geotech. Geoenviron. Eng. 1998, 124, 479–491. [Google Scholar] [CrossRef]
- Thevanayagam, S.; Mohan, S. Intergranular state variables and stress-strain behaviour of silty sands. Géotechnique 2000, 50, 1–23. [Google Scholar] [CrossRef]
- Lade, P.V.; Yamamuro, J.A. Effects of nonplastic fines on static liquefaction of sands. Can. Geotech. J. 1997, 34, 918–928. [Google Scholar] [CrossRef]
- Zhou, J.; Yang, Y.X.; Jia, M.C.; Wu, F. Effect of fines content on liquefaction properties of saturated silty sands. J. Hydraul. Eng. 2009, 40, 1184–1188. [Google Scholar] [CrossRef]
- Yin, Z.Y.; Huang, H.W.; Hicher, P.Y. Elastoplastic modeling of sand-silt mixtures. Soils Found. 2016, 56, 520–532. [Google Scholar] [CrossRef]
- Shi, X.S.; Yin, J. Experimental and theoretical investigation on the compression behavior of sand-marine clay mixtures within homogenization framework. Comput. Geotech. 2017, 90, 14–26. [Google Scholar] [CrossRef]
- Shi, X.S.; Zhao, J. Practical estimation of compression behavior of clayey/silty sands using equivalent void-ratio concept. J. Geotech. Geoenviron. Eng. 2020, 146, 04020046. [Google Scholar] [CrossRef]
- Bouri, D.E.; Brahimi, A.; Krim, A.; Arab, A.; Najser, J.; Mašín, D. Compression behaviour of chlef sand and transition of fines content using pressure-dependent maximum void ratios of sand. Geotech. Geol. Eng. 2022, 40, 1675–1692. [Google Scholar] [CrossRef]
- Hang, T.; Wu, Q.; Wang, Z.; Cheng, K.; Li, L.; Chen, G. A new procedure for characterizing the critical intergranular contact state of non-plastic sand-fines mixed materials. Case Stud. Constr. Mater. 2024, 20, e02881. [Google Scholar] [CrossRef]
- Watabe, Y.; Yamade, K.; Saitoh, K. Hydraulic conductivity and compressibility of mixtures of Nagoya clay with sand or bentonite. Géotechnique 2011, 61, 211–219. [Google Scholar] [CrossRef]
- Hsiao, D.H.; Phan, V.T.A.; Hsieh, Y.T.; Kuo, H.Y. Engineering behavior and correlated parameters from obtained results of sand-silt mixtures. Soil Dyn. Earthq. Eng. 2015, 77, 137–151. [Google Scholar] [CrossRef]
- Chu, C.; Wu, Z.; Deng, Y.; Chen, Y.; Wang, Q. Intrinsic compression behavior of remolded sand-clay mixture. Can. Geotech. J. 2017, 54, 926–932. [Google Scholar] [CrossRef]
- Wang, X.Z.; Wang, X.; Jin, Z.C.; Meng, Q.S.; Zhu, C.Q.; Wang, R. Shear characteristics of calcareous gravelly soil. Bull. Eng. Geol. Environ. 2017, 76, 561–573. [Google Scholar] [CrossRef]
- Wei, H.Z.; Zhao, T.; He, J.Q.; Meng, Q.; Wang, X. Evolution of particle breakage for calcareous sands during ring shear tests. Int. J. Geomech. 2018, 18, 04017153. [Google Scholar] [CrossRef]
- Zhang, J.M. Study on the Fundamental Mechanical Characteristics of Calcareous Sand and the Influence of Particle Breakage; Institute of Rock and Soil Mechanics, Chinese Academy of Sciences: Wuhan, China, 2004. [Google Scholar]
- Shen, J.H.; Wang, R. Study on engineering properties of calcareous sand. J. Eng. Geol. 2010, 18, 26–32. [Google Scholar]
- Li, Y.B.; Li, S.; Liu, X.L.; Chen, W. Effect of particle breakage on compression properties of calcareous sands with oedometer tests. J. Eng. Geol. 2020, 28, 352–359. [Google Scholar] [CrossRef]
- Liu, X.; Tian, C.Y.; Lan, H.X. Laboratory investigation of the mechanical properties of a rubber-calcareous sand mixture: The effect of rubber content. Appl. Sci. 2020, 10, 6583. [Google Scholar] [CrossRef]
- Shi, J.; Wang, Y.; Fan, Y.L.; Li, K.; Xiong, Y. Study on mechanical characteristics of soil mixed with coarse and fine particles. Northwest Hydropower 2013, 3, 54–56. [Google Scholar] [CrossRef]
- Qin, Y.; Yao, T.; Wang, R.; Zhu, C.Q.; Meng, Q.S. Particle breakage-based analysis of deformation law of calcareous sediments under high-pressure consolidation. Rock Soil Mech. 2014, 35, 3123–3128. [Google Scholar] [CrossRef]
- GB/T 50123-2019; Standard for Geotechnical Testing Method. SAC: Beijing, China, 2019.
- Hardin, B.O. Crushing of soil particles. J. Geotech. Eng. 1985, 111, 1177–1192. [Google Scholar] [CrossRef]
- Kwag, J.M. Yielding stress characteristics of carbonate sand in relation to individual particle fragmentation strength. In Engineering for Calcareous Sediments; Al-Shafei, K.A., Ed.; AA Balkema: Rotterdam, The Netherlands, 1999; pp. 79–87. [Google Scholar]
- Xiao, Y.; Liu, H.; Desai, C.S.; Sun, Y.; Liu, H. Effect of intermediate principal-stress ratio on particle breakage of rockfill material. J. Geotech. Geoenviron. Eng. 2016, 142, 06015017. [Google Scholar] [CrossRef]
- Xiao, Y.; Long, L.; Matthew Evans, T.; Zhou, H.; Liu, H.; Stuedlein, A.W. Effect of Particle Shape on Stress-Dilatancy Responses of Medium-Dense Sands. J. Geotech. Geoenviron. Eng. 2019, 145, 04018105. [Google Scholar] [CrossRef]
- Shahnazari, H.; Rezvani, R. Effective parameters for the particle breakage of calcareous sands: An experimental study. Eng. Geol. 2013, 159, 98–105. [Google Scholar] [CrossRef]
- Chen, W.B.; Liu, K.; Feng, W.Q.; Borana, L.; Yin, J.H. Influence of matric suction on nonlinear time-dependent compression behavior of a granular fill material. Acta Geotech. 2020, 15, 615–633. [Google Scholar] [CrossRef]
- Thevanayagam, S.; Martin, G.R. Liquefaction in silty soils—Screening and remediation issues. Soil Dyn. Earthq. Eng. 2002, 22, 1035–1042. [Google Scholar] [CrossRef]
- Głuchowski, A.; Li, L.Z.; Iskander, M. Effect of compression and shear on particle breakage of silica and calcareous sands. Acta Geotech. 2024, 19, 1–27. [Google Scholar] [CrossRef]









| Test Material | Gs | d50 (mm) | d10 (mm) | d30 (mm) | d60 (mm) | Cu | Cc |
|---|---|---|---|---|---|---|---|
| Calcareous sand | 2.78 | 0.69 | 0.32 | 0.50 | 0.81 | 2.5 | 0.96 |
| Soil Samples | fc | Gs | d50 (mm) | ρdmin (g/cm3) | ρdmax (g/cm3) | emax | emin |
|---|---|---|---|---|---|---|---|
| X-0 | 0 | 2.78 | 0.69 | 1.23 | 1.63 | 1.26 | 0.71 |
| X-5% | 5% | 2.78 | 0.66 | 1.30 | 1.72 | 1.14 | 0.62 |
| X-10% | 10% | 2.78 | 0.63 | 1.32 | 1.81 | 1.10 | 0.54 |
| X-15% | 15% | 2.78 | 0.60 | 1.34 | 1.89 | 1.07 | 0.47 |
| X-20% | 20% | 2.78 | 0.56 | 1.36 | 1.98 | 1.05 | 0.40 |
| X-30% | 30% | 2.78 | 0.48 | 1.37 | 2.11 | 1.03 | 0.36 |
| X-40% | 40% | 2.78 | 0.38 | 1.39 | 2.18 | 1.01 | 0.34 |
| Test Series | Test No. | Soil Samples | fc | Dr | e0 |
|---|---|---|---|---|---|
| I | A | X-0 | 0 | 50% | 0.985 |
| B | X-5% | 5% | 0.880 | ||
| C | X-10% | 10% | 0.820 | ||
| E | X-15% | 15% | 0.770 | ||
| F | X-20% | 20% | 0.725 | ||
| G | X-30% | 30% | 0.693 | ||
| H | X-40% | 40% | 0.673 | ||
| II | I | X-0 | 0 | 30% | 1.095 |
| A | 50% | 0.985 | |||
| J | 70% | 0.875 | |||
| K | X-10% | 10% | 30% | 0.932 | |
| C | 50% | 0.820 | |||
| L | 70% | 0.708 |
| Sample | fc | e0 | a1-2 | Br |
|---|---|---|---|---|
| A | 0 | 0.985 | 0.079 | 0.18% |
| B | 5% | 0.880 | 0.083 | 0.29% |
| C | 10% | 0.820 | 0.094 | 0.44% |
| E | 15% | 0.770 | 0.119 | 0.36% |
| F | 20% | 0.725 | 0.109 | 0.24% |
| G | 30% | 0.693 | 0.100 | 0.17% |
| H | 40% | 0.673 | 0.087 | 0.13% |
Disclaimer/Publisher’s Note: The statements, opinions and data contained in all publications are solely those of the individual author(s) and contributor(s) and not of MDPI and/or the editor(s). MDPI and/or the editor(s) disclaim responsibility for any injury to people or property resulting from any ideas, methods, instructions or products referred to in the content. |
© 2024 by the authors. Licensee MDPI, Basel, Switzerland. This article is an open access article distributed under the terms and conditions of the Creative Commons Attribution (CC BY) license (https://creativecommons.org/licenses/by/4.0/).
Share and Cite
Huang, S.; Gong, X. Effect of Fines Content on the Compression Behavior of Calcareous Sand. Appl. Sci. 2024, 14, 10457. https://doi.org/10.3390/app142210457
Huang S, Gong X. Effect of Fines Content on the Compression Behavior of Calcareous Sand. Applied Sciences. 2024; 14(22):10457. https://doi.org/10.3390/app142210457
Chicago/Turabian StyleHuang, Suhang, and Xiaonan Gong. 2024. "Effect of Fines Content on the Compression Behavior of Calcareous Sand" Applied Sciences 14, no. 22: 10457. https://doi.org/10.3390/app142210457
APA StyleHuang, S., & Gong, X. (2024). Effect of Fines Content on the Compression Behavior of Calcareous Sand. Applied Sciences, 14(22), 10457. https://doi.org/10.3390/app142210457

