Numerical Estimation of Bending in Holographic Volume Gratings by Means of RCWA and Deep Learning
Abstract
1. Introduction
2. Theory
2.1. Rigorous Coupled Wave Analysis—Shooting Method Approach
2.2. FNNs and CNNs Theory Foundations
3. Results
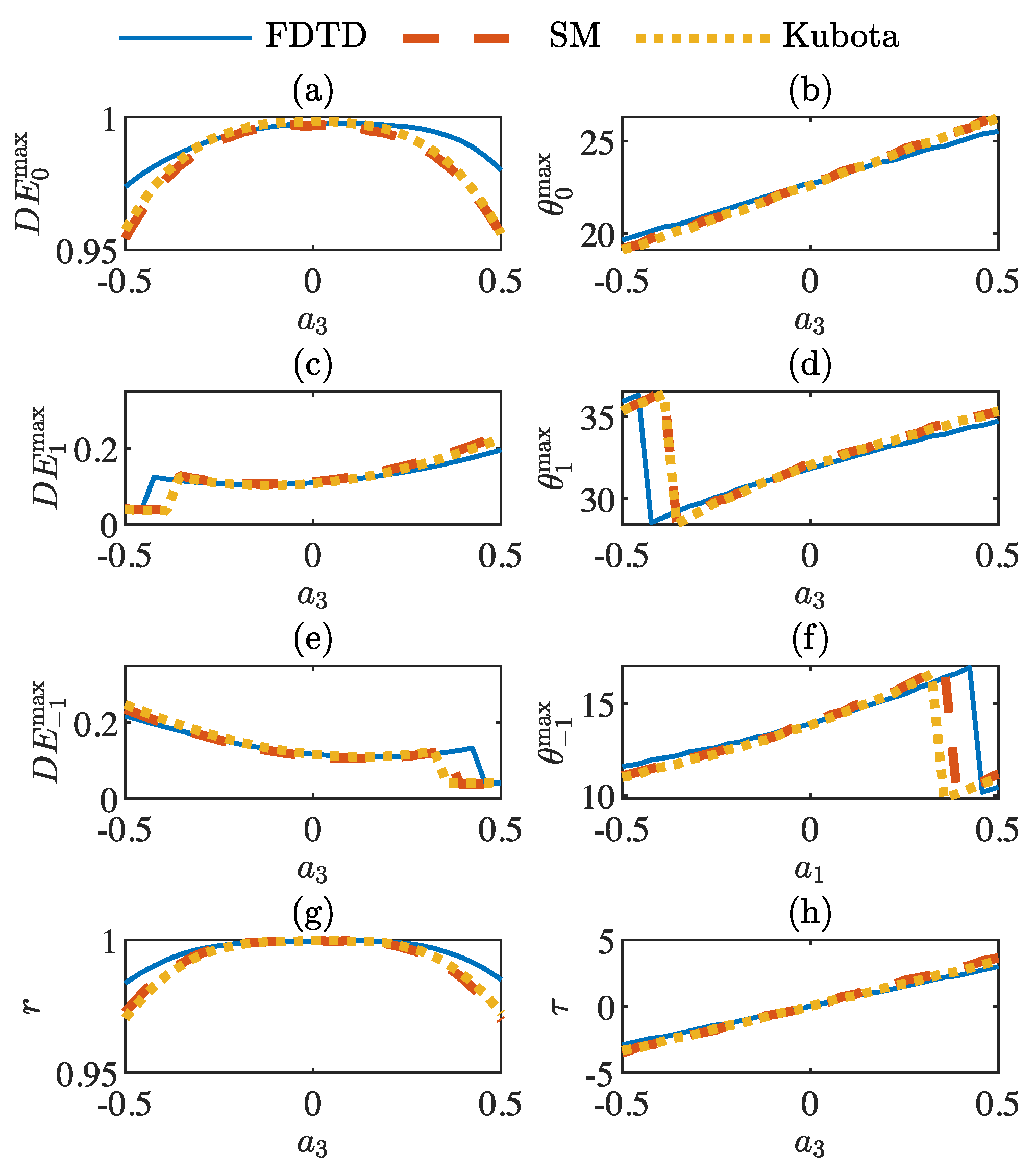
3.1. Suitability of the RCWA-Shooting Method
3.2. Deep Learning-Based Bending Estimator
FNN Only Versus Hybrid Model Comparison
4. Conclusions
Author Contributions
Funding
Data Availability Statement
Conflicts of Interest
Abbreviations
| RCWA | Rigorous Coupled Wave Analysis |
| FDTD | Finite Difference Time Domain |
| CWT | Coupled Wave Theory |
| FNN | Feedforward Neural Network |
| CNN | Convolutional Neural Network |
| BO | Bending Only |
| RMSProp | Root Mean Square Propagation |
| SGD | Stochastic Gradient Descent |
| RCWA-SM | Rigorous Coupled Wave Analysis—Shooting Method |
| SF-FDTD | Split Field Finite Difference Time Domain |
Appendix A. Deep Neural Network Models Pytorch Sequential Architectures Codes
Appendix A.1. FNN’s Architecture
# Model 1model = torch.nn.Sequential(
torch.nn.Linear(70, 1176),
torch.nn.ReLU(),
torch.nn.Linear(1176, 712),
torch.nn.ReLU(),
torch.nn.Dropout(0.2),
torch.nn.Linear(712, 556),
torch.nn.ReLU(),
torch.nn.Linear(556, 256),
torch.nn.ReLU(),
torch.nn.Dropout(0.2),
torch.nn.Linear(256, 5)
)
Appendix A.2. CNN-FNN Hybrid Neural Network’s Architecture
# Model 2model = torch.nn.Sequential(
Reshape(−1, 1, 70),
torch.nn.Conv1d(in_channels = 1,
out_channels = 64,
kernel_size = 7,
padding = ‘same’),
torch.nn.ReLU(),
torch.nn.MaxPool1d(2),
torch.nn.Conv1d(in_channels = 64,
out_channels = 128,
kernel_size = 7,
padding = ‘same’),
torch.nn.ReLU(),
torch.nn.MaxPool1d(2),
Reshape(−1, 2176),
torch.nn.Linear(2176, 512),
torch.nn.ReLU(),
torch.nn.Dropout(0.2),
torch.nn.Linear(512, 256),
torch.nn.ReLU(),
torch.nn.Dropout(0.2),
torch.nn.Linear(256, 5)
)
References
- Fink, U.; Rostalski, H.J.; Hirsch, H. Applications of holographic gratings to two-dimensional spectroscopy. Appl. Opt. 1996, 35, 1047. [Google Scholar] [CrossRef]
- Haleem, A.; Javaid, M.; Singh, R.P.; Suman, R.; Rab, S. Holography and its applications for industry 4.0: An overview. Internet Things -Cyber-Phys. Syst. 2022, 2, 42–48. [Google Scholar] [CrossRef]
- Mikulchyk, T.; Stoeva, P.; Kaworek, A.; Oubaha, M.; Rogers, B.; Martin, S.; Cody, D.; Naydenova, I. Characterisation of Holographic Recording in Environmentally Stable Photopolymerisable Glass. Appl. Sci. 2022, 12, 5969. [Google Scholar] [CrossRef]
- Weng, M.; Wang, Y.; Ren, X.; Lu, Q. Study on Two-Dimensional Exit Pupil Expansion for Diffractive Waveguide Based on Holographic Volume Grating. Appl. Sci. 2023, 13, 11858. [Google Scholar] [CrossRef]
- Yu, D.; He, Y.; Liu, H.; Wang, B.; Li, L.; Wang, R.; Luo, S. Characterizing the bending deformation of polymer utilizing the diffraction spectrum of a holographic grating on a flexible substrate. Opt. Lett. 2020, 45, 579–582. [Google Scholar] [CrossRef]
- Naydenova, I.; Jallapuram, R.; Toal, V.; Martin, S. A visual indication of environmental humidity using a color changing hologram recorded in a self-developing photopolymer. Appl. Phys. Lett. 2008, 92, 031109. [Google Scholar] [CrossRef]
- Zhou, Y.; Hauser, A.W.; Bende, N.P.; Kuzyk, M.G.; Hayward, R.C. Waveguiding Microactuators Based on a Photothermally Responsive Nanocomposite Hydrogel. Adv. Funct. Mater. 2016, 26, 5447–5452. [Google Scholar] [CrossRef]
- Yetisen, A.K.; Naydenova, I.; da Cruz Vasconcellos, F.; Blyth, J.; Lowe, C.R. Holographic Sensors: Three-Dimensional Analyte-Sensitive Nanostructures and Their Applications. Chem. Rev. 2014, 114, 10654–10696. [Google Scholar] [CrossRef] [PubMed]
- Yetisen, A.K.; Montelongo, Y.; da Cruz Vasconcellos, F.; Martinez-Hurtado, J.; Neupane, S.; Butt, H.; Qasim, M.M.; Blyth, J.; Burling, K.; Carmody, J.B.; et al. Reusable, Robust, and Accurate Laser-Generated Photonic Nanosensor. Nano Lett. 2014, 14, 3587–3593. [Google Scholar] [CrossRef] [PubMed]
- Kubota, T. Characteristics of Thick Hologram Grating Recorded in Absorptive Medium. Opt. Acta Int. J. Opt. 1978, 25, 1035–1053. [Google Scholar] [CrossRef]
- Kubota, T. The Bending of Interference Fringes inside a Hologram. Opt. Acta Int. J. Opt. 1979, 26, 731–743. [Google Scholar] [CrossRef]
- Moharam, M.G.; Gaylord, T.K. Diffraction analysis of dielectric surface-relief gratings. J. Opt. Soc. Am. 1982, 72, 1385. [Google Scholar] [CrossRef]
- Moharam, M.G.; Gaylord, T.K. Three-dimensional vector coupled-wave analysis of planar-grating diffraction. J. Opt. Soc. Am. 1983, 73, 1105. [Google Scholar] [CrossRef]
- Moharam, M.G.; Gaylord, T.K.; Grann, E.B.; Pommet, D.A. Formulation for stable and efficient implementation of the rigorous coupled-wave analysis of binary gratings. J. Opt. Soc. Am. A 1995, 12, 1068. [Google Scholar] [CrossRef]
- Moharam, M.G.; Gaylord, T.K.; Pommet, D.A.; Grann, E.B. Stable implementation of the rigorous coupled-wave analysis for surface-relief gratings: Enhanced transmittance matrix approach. J. Opt. Soc. Am. A 1995, 12, 1077. [Google Scholar] [CrossRef]
- Li, L. Use of Fourier series in the analysis of discontinuous periodic structures. J. Opt. Soc. Am. A 1996, 13, 1870. [Google Scholar] [CrossRef]
- Sun, W.; Fu, Q. Finite-difference time-domain solution of light scattering by dielectric particles with large complex refractive indices. Appl. Opt. 2000, 39, 5569. [Google Scholar] [CrossRef]
- Heaton, J. Ian Goodfellow, Yoshua Bengio, and Aaron Courville: Deep learning. In Genetic Programming and Evolvable Machines; The MIT Press: Cambridge, MA, USA, 2016; 800p, ISBN 0262035618. [Google Scholar] [CrossRef]
- Zhang, G. Neural networks for classification: A survey. IEEE Trans. Syst. Man Cybern. Part C (Appl. Rev.) 2000, 30, 451–462. [Google Scholar] [CrossRef]
- Panda, S.S.; Hegde, R.S. A learning based approach for designing extended unit cell metagratings. Nanophotonics 2022, 11, 345–358. [Google Scholar] [CrossRef]
- Martínez, J.C.; Sirvent-Verdú, J.J.; Bravo, J.C.; Pérez-Bernabeu, A.; Álvarez, M.L.; Francés, J.; Neipp, C. Estimation of characteristic parameters of holographic volume gratings based on machine learning. In Proceedings of the Photosensitive Materials and Their Applications III; International Society for Optics and Photonics; McLeod, R.R., Villalobos, I.P., Tomita, Y., Eds.; SPIE: Bellingham, WA, USA, 2024; Volume 13015, p. 1301516. [Google Scholar] [CrossRef]
- Kim, S.B.; Lee, S.H. Application of Deep Learning Techniques for the State of Charge Prediction of Lithium-Ion Batteries. Appl. Sci. 2024, 14, 8077. [Google Scholar] [CrossRef]
- Allani, H.; Santos, A.T.; Ribeiro-Vidal, H. Multidisciplinary Applications of AI in Dentistry: Bibliometric Review. Appl. Sci. 2024, 14, 7624. [Google Scholar] [CrossRef]
- Lee, K.H.; Choi, J.W.; Park, C.O.; Han, D.H.; Kang, M.S. A Development and Validation of an AI Model for Cardiomegaly Detection in Chest X-rays. Appl. Sci. 2024, 14, 7465. [Google Scholar] [CrossRef]
- Xiao, G.; Wang, Y.; Wu, R.; Li, J.; Cai, Z. Sustainable Maritime Transport: A Review of Intelligent Shipping Technology and Green Port Construction Applications. J. Mar. Sci. Eng. 2024, 12, 1728. [Google Scholar] [CrossRef]
- Scarselli, F.; Chung Tsoi, A. Universal Approximation Using Feedforward Neural Networks: A Survey of Some Existing Methods, and Some New Results. Neural Netw. 1998, 11, 15–37. [Google Scholar] [CrossRef] [PubMed]
- Zhang, Z.; Feng, F.; Huang, T. FNNS: An Effective Feedforward Neural Network Scheme with Random Weights for Processing Large-Scale Datasets. Appl. Sci. 2022, 12, 12478. [Google Scholar] [CrossRef]
- Touvron, H.; Bojanowski, P.; Caron, M.; Cord, M.; El-Nouby, A.; Grave, E.; Izacard, G.; Joulin, A.; Synnaeve, G.; Verbeek, J.; et al. ResMLP: Feedforward Networks for Image Classification with Data-Efficient Training. IEEE Trans. Pattern Anal. Mach. Intell. 2023, 45, 5314–5321. [Google Scholar] [CrossRef]
- Zou, C.; Zhang, C. Hyperspectral image super-resolution using cluster-based deep convolutional networks. Signal Processing Image Commun. 2023, 110, 116884. [Google Scholar] [CrossRef]
- Feng, X.; Su, X.; Shen, J.; Jin, H. Single Space Object Image Denoising and Super-Resolution Reconstructing Using Deep Convolutional Networks. Remote Sens. 2019, 11, 1910. [Google Scholar] [CrossRef]
- Paul, S.; Mishra, D.; Marimuthu, S.K. Nested DWT–Based CNN Architecture for Monocular Depth Estimation. Sensors 2023, 23, 3066. [Google Scholar] [CrossRef]
- Yao, B.; Li, W.; Pan, W.; Yang, Z.; Chen, D.; Li, J.; Qu, J. Image reconstruction with a deep convolutional neural network in high-density super-resolution microscopy. Opt. Express 2020, 28, 15432. [Google Scholar] [CrossRef]
- Moharam, M.G.; Gaylord, T.K. Rigorous coupled-wave analysis of planar-grating diffraction. J. Opt. Soc. Am. 1981, 71, 811. [Google Scholar] [CrossRef]
- Chateau, N.; Hugonin, J.P. Algorithm for the rigorous coupled-wave analysis of grating diffraction. J. Opt. Soc. Am. A 1994, 11, 1321. [Google Scholar] [CrossRef]
- LeCun, Y.; Bengio, Y.; Hinton, G. Deep learning. Nature 2015, 521, 436–444. [Google Scholar] [CrossRef] [PubMed]
- Schmidhuber, J. Deep learning in neural networks: An overview. Neural Netw. 2015, 61, 85–117. [Google Scholar] [CrossRef]
- Kiranyaz, S.; Ince, T.; Abdeljaber, O.; Avci, O.; Gabbouj, M. 1-D Convolutional Neural Networks for Signal Processing Applications. In Proceedings of the ICASSP 2019—2019 IEEE International Conference on Acoustics, Speech and Signal Processing (ICASSP), Brighton, UK, 12–17 May 2019. [Google Scholar] [CrossRef]
- Oh, C.; Escuti, M.J. Time-domain analysis of periodic anisotropic media at oblique incidence: An efficient FDTD implementation. Opt. Express 2006, 14, 11870. [Google Scholar] [CrossRef]
- Nair, V.; Hinton, G.E. Rectified linear units improve restricted boltzmann machines. In Proceedings of the 27th International Conference on International Conference on Machine Learning, Haifa, Israel, 21–24 June 2010; ICML’10. pp. 807–814. [Google Scholar]
- Ruder, S. An overview of gradient descent optimization algorithms. arXiv 2016, arXiv:1609.04747. [Google Scholar]
- Kingma, D.P.; Ba, J. Adam: A method for stochastic optimization. arXiv 2014, arXiv:1412.6980. [Google Scholar]









| Case | |||
|---|---|---|---|
| 0 | 0 | 0 | 0 |
| 1 | 0.5 | 0 | 0 |
| 2 | 0 | 0.5 | 0 |
| 3 | 0 | 0 | 0.5 |
| 4 | 0.1 | 0.1 | 0.1 |
| 5 | 0.1 | 0.2 | 0.2 |
| 6 | 0.1 | 0.3 | 0.3 |
| Parameter | Error FNN | Error FNN (BO) | Error Hybrid | Error Hybrid (BO) |
|---|---|---|---|---|
| 0.044554 | 0.043941 | 0.041073 | 0.040534 | |
| 0.048321 | 0.048787 | 0.045769 | 0.045369 | |
| 0.015857 | 0.017267 | 0.020191 | 0.018063 | |
| d | 0.007719 | - | 0.008780 | - |
| 0.007626 | - | 0.010430 | - | |
| total bending | 0.036244 | 0.036665 | 0.035678 | 0.034655 |
| total | 0.024815 | 0.036665 | 0.025249 | 0.034655 |
| Parameter | sd FNN | sd FNN (BO) | sd Hybrid | sd Hybrid (BO) |
|---|---|---|---|---|
| 0.087227 | 0.088635 | 0.075095 | 0.073375 | |
| 0.087632 | 0.090564 | 0.076039 | 0.075379 | |
| 0.021851 | 0.023284 | 0.028523 | 0.026634 | |
| d | 0.010985 | - | 0.011818 | - |
| 0.011211 | - | 0.013305 | - |
| Parameter | Outliers FNN | Outliers FNN (BO) | Outliers Hybrid | Outliers Hybrid (BO) |
|---|---|---|---|---|
| 22 | 25 | 16 | 15 | |
| 22 | 24 | 15 | 15 | |
| 9 | 9 | 12 | 13 | |
| d | 3 | - | 1 | - |
| 4 | - | 2 | - |
Disclaimer/Publisher’s Note: The statements, opinions and data contained in all publications are solely those of the individual author(s) and contributor(s) and not of MDPI and/or the editor(s). MDPI and/or the editor(s) disclaim responsibility for any injury to people or property resulting from any ideas, methods, instructions or products referred to in the content. |
© 2024 by the authors. Licensee MDPI, Basel, Switzerland. This article is an open access article distributed under the terms and conditions of the Creative Commons Attribution (CC BY) license (https://creativecommons.org/licenses/by/4.0/).
Share and Cite
Colomina-Martínez, J.; Bravo, J.C.; Sirvent-Verdú, J.J.; Moya-Aliaga, A.; Francés, J.; Neipp, C.; Beléndez, A. Numerical Estimation of Bending in Holographic Volume Gratings by Means of RCWA and Deep Learning. Appl. Sci. 2024, 14, 10356. https://doi.org/10.3390/app142210356
Colomina-Martínez J, Bravo JC, Sirvent-Verdú JJ, Moya-Aliaga A, Francés J, Neipp C, Beléndez A. Numerical Estimation of Bending in Holographic Volume Gratings by Means of RCWA and Deep Learning. Applied Sciences. 2024; 14(22):10356. https://doi.org/10.3390/app142210356
Chicago/Turabian StyleColomina-Martínez, Jaume, Juan Carlos Bravo, Joan Josep Sirvent-Verdú, Adrián Moya-Aliaga, Jorge Francés, Cristian Neipp, and Augusto Beléndez. 2024. "Numerical Estimation of Bending in Holographic Volume Gratings by Means of RCWA and Deep Learning" Applied Sciences 14, no. 22: 10356. https://doi.org/10.3390/app142210356
APA StyleColomina-Martínez, J., Bravo, J. C., Sirvent-Verdú, J. J., Moya-Aliaga, A., Francés, J., Neipp, C., & Beléndez, A. (2024). Numerical Estimation of Bending in Holographic Volume Gratings by Means of RCWA and Deep Learning. Applied Sciences, 14(22), 10356. https://doi.org/10.3390/app142210356

