Parametric Study on the Effect of Rail Dampers on Track Decay Rate
Abstract
1. Introduction
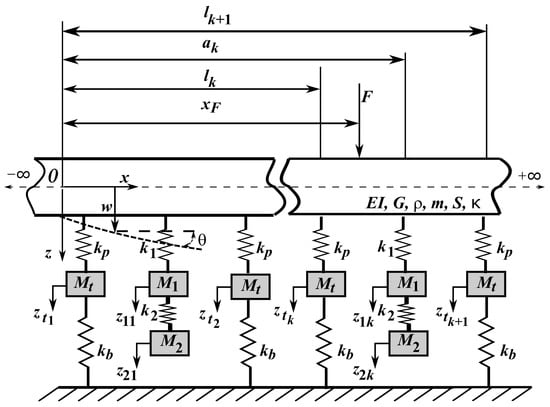
2. Mechanical Model of the Track Featured with Rail Dampers
- -
- For the rail: E and G—the Young and shear moduli of elasticity; m and ρ—the mass per unit length and density; S and I—the cross-section area and moment of inertia; and κ—the shear coefficient.
- -
- For the rail support: Ms–the semi-sleeper mass; kp,b—the stiffness of the rail pad and ballast; and lk—the position of the k rail support.
- -
- For the rail damper (a pair for each sleeper bay): M1,2—the mass of the rail damper bodies; k1,2—the stiffness of rubber elements; and ak—the position of the k rail damper.
- -
- For the rail:
- -
- For the sleeper ‘k’:
- -
- For the rail damper ‘k’:
3. Numerical Application
4. Conclusions
Author Contributions
Funding
Institutional Review Board Statement
Informed Consent Statement
Data Availability Statement
Conflicts of Interest
References
- Hemsworth, B. Environmental Noise Directive Development of Action Plans for Railways, Prepared for International Union of Railways. 2008. Available online: https://uic.org/IMG/pdf/action_planning_paper_final-2.pdf (accessed on 16 October 2024).
- Remington, P.J. Wheel/rail rolling noise: What do we know? What don’t we know? Where do we go from here ? J. SoundVib. 1988, 120, 203–226. [Google Scholar] [CrossRef]
- Thompson, D. Railway Noise and Vibration Mechanisms, Modelling and Means of Control; Elsevier: Oxford, UK, 2009. [Google Scholar]
- Andrés, V.T.; Martínez-Casas, J.; Denia, F.D.; Thompson, D.J. Influence study of rail geometry and track properties on railway rolling noise. J. Sound Vib. 2022, 525, 116701. [Google Scholar] [CrossRef]
- Sadeghi, J.; Hasheminezhad, A. Correlation between rolling noise generation and rail roughness of tangent tracks and curves in time and frequency domains. Appl. Acoust 2016, 107, 10–18. [Google Scholar] [CrossRef]
- Mihailescu, I.M.; Popa, G.; Oprea, R. Detection of defects in the railway track that can influence traffic safety using the method of vibration analysis of vehicle-rail system. Acta Tech. Napoc. Ser.-Appl. Math. Mech. Eng. 2022, 65, 1241–1248. [Google Scholar]
- Liu, X.; Liu, C.; Wu, W.; Liu, J.Z.; Sun, S.C.; Wai, Y.G. Transient dynamics of a full wheel rail set passing a weld irregularity at high speed. Eng. Fail. Anal. 2023, 148, 107203. [Google Scholar] [CrossRef]
- Mihailescu, I.; Popa, G.; Tudor, E.; Vasile, I.; Gheți, M.A. Experimental Study of Wheel-to-Rail Interaction Using Acceleration Sensors for Continuous Rail Transport Comfort Evaluation. Sensors 2023, 23, 8064. [Google Scholar] [CrossRef]
- Mazilu, T. Interaction between moving tandem wheels and an infinite rail with periodic supports–Green’s matrices of the track method in stationary reference frame. J. Sound Vib. 2017, 401, 233–254. [Google Scholar] [CrossRef]
- Hamet, J.F. Rolling noise: Use of the Timoshenko Model in Rail Vibration Studies. Acta Acust. 1999, 85, 54–62. [Google Scholar]
- Jones, C.J.C.; Thompson, D.J.; Diehl, R.J. The use of decay rates to analyse the performance of railway track in rolling noise generation. J. Sound Vib. 2006, 293, 485–495. [Google Scholar] [CrossRef]
- Ryue, J.; Thompson, D.J.; White, P.R.; Thompson, D.R. Decay rate of propagating waves in railway tracks at high frequencies. J. Sound Vib. 2009, 320, 955–976. [Google Scholar] [CrossRef]
- EN ISO 3095:2013; Acoustics—Railway Applications—Measurement of Noise Emitted by Railbound Vehicles. ISO: Geneva, Switzerland, 2013.
- Liu, H.P.; Wu, T.X.; Li, Z.G. Theoretical modelling and effectiveness study of rail vibration absorber for noise control. J. Sound Vib. 2009, 323, 594–608. [Google Scholar] [CrossRef]
- Dumitriu, M.; Cruceanu, I.C. On the Rolling Noise Reduction by Using the Rail Damper. J. Eng. Sci. Technol. Rev. 2017, 10, 87–95. [Google Scholar] [CrossRef]
- Michalczyk, R.; Brzeziński, K.; Zbiciak, A. Numerical Vibration Response of Railway Track Retrofitted with Single Degree of Freedom Rail Dampers. IOP Conf. Ser. Mater. Sci. Eng. 2019, 661, 2–8. [Google Scholar] [CrossRef]
- Maes, J.; Sol, H. A double tuned rail damper—increased damping at the two first pinned–pinned frequencies. J. Sound Vib. 2003, 267, 721–737. [Google Scholar] [CrossRef]
- Thompson, D.J.; Jones, C.J.C.; Waters, T.P.; Farrington, D. A tuned damping device for reducing noise from railway track. Appl. Acoust. 2007, 68, 43–57. [Google Scholar] [CrossRef]
- Wu, T.X. Effects on short pitch rail corrugation growth of a rail vibration absorber/damper. Wear 2011, 271, 339–348. [Google Scholar] [CrossRef]
- Mazilu, T.; Fologea, D. Experimental study on the performance of a rail damper. IOP Conf. Ser. Mater. Sci. Eng. 2018, 400, 0620186. [Google Scholar] [CrossRef]
- Wu, T.X. On the railway track dynamics with rail vibration absorber for noise reduction, Predicting the effect of temperature on the performance of elastomer-based rail damping devices. J. Sound Vib. 2008, 309, 739–755. [Google Scholar] [CrossRef]
- Poisson, F.; Margiocchi, F. The use of dynamic dampers on the rail to reduce the noise of steel railway bridges. J. Sound Vib. 2006, 293, 944–952. [Google Scholar] [CrossRef]
- Parker, A.; Weber, C. Rail Dampers–The First Australian Field Trial. In Proceedings of the 20th International Congress on Acoustics, ICA 2010, Sydney, Australia, 23–27 August 2010. [Google Scholar]
- Squicciarini, G.; Toward, M.G.R.; Thompson, D.J. Experimental procedures for testing the performance of rail dampers. J. Sound Vib. 2015, 359, 21–39. [Google Scholar] [CrossRef]
- Chen, J.; Liu, W.; Sun, X. Effects of Tuned Rail Damper on Track Dynamic Characteristics Optimization. Procedia Eng. 2017, 199, 1616–1622. [Google Scholar] [CrossRef]
- Ahmad, N.; Thompson, D.J.; Jones, C.J.C.; Muhr, A.H. Predicting the effect of temperature on the performance of elastomer-based rail damping devices. J. Sound Vib. 2009, 322, 674–689. [Google Scholar] [CrossRef]
- Wu, T.X. Attenuating Railway Track Vibration by Rail Absorber for Noise Reduction. Noise Vib. Worldw. 2008, 39, 14–23. [Google Scholar] [CrossRef]
- Wu, T.X.; Liu, H.P. Reducing the rail component of rolling noise by vibration absorber: Theoretical prediction. Proc. IMechE Part F J. Rail Rapid Transit. 2009, 223, 473–483. [Google Scholar] [CrossRef]
- Jin, H.; Zhou, X.; Sun, X.; Li, Z. Decay rate of rail with egg fastening system using tuned rail damper. Appl. Acoust. 2021, 172, 107622. [Google Scholar] [CrossRef]
- Wang, Y.; Dimitrovová, Z.; Yau, J.D. Laboratory Vibration Studies of Metro Tracks Equipped with Tuned Rail Dampers. J. Vib. Eng. Technol. 2023, 11, 2659–2669. [Google Scholar] [CrossRef]















| Parameter | Notation | Value | |
|---|---|---|---|
| Rail mass per unit length | m | 49.4 kg/m | |
| Rail density | ρ | 7850 kg/m3 | |
| Young’s modulus of elasticity | E | 210 GPa | |
| Shear modulus of elasticity | G | 81 GPa | |
| Rail loss factor | η | 0.01 | |
| Cross-section area | S | 62.92 × 10−4 m2 | |
| Area moment of inertia | I | 18.16 × 10−6 m4 | |
| Shear coefficient | κ | 0.40 | |
| Sleeper linear mass (half) | Mt | 131 kg | |
| Rail pad stiffness | kp | Soft | 60 MN/m |
| Stiff | 300 MN/m | ||
| Rail pad loss factor | ηp | 0.35 | |
| Ballast stiffness | kb | Tampered | 40 MN/m |
| Settled | 100 MN/m | ||
| Ballast loss factor | ηb | 0.60 | |
| Sleeper bay | lk − lk−1 | Short | 0.544 m |
| Long | 0.595 m | ||
| First body mass | M1 | 2 × 1.825 kg | |
| Second body mass | M2 | 2 × 1.757 kg | |
| First elastic element stiffness | k1 | 50.62 MN/m | |
| First elastic element loss factor | η1 | 0.35 | |
| Second elastic element stiffness | k2 | 5.617 MN/m | |
| Second elastic element loss factor | η2 | 0.25 | |
| Low Resonance [Hz] | Anti-Resonance btw. Sleepers/abv. Sleeper [Hz] | High Resonance [Hz] | Pinned–Pinned Resonance [Hz] | |
|---|---|---|---|---|
| Soft rail pad–tampered ballast | 79 | 136/139 | 262 | 1353 |
| Soft rail pad–settled ballast | 123 | 173/176 | 267 | 1353 |
| Stiff rail pad–tampered ballast | 80 | 221/256 | 561 | 1353 |
| Stiff rail pad–settled ballast | 126 | 246/278 | 563 | 1353 |
| Low Resonance [Hz] | Anti-Resonance btw. Sleepers/abv. Sleeper [Hz] | High Resonance [Hz] | Pinned–Pinned Resonance [Hz] | |
|---|---|---|---|---|
| Soft rail pad–tampered ballast | 78 | 135/139 | 252 | 982 |
| Soft rail pad–settled ballast | 121 | 173/176 | 258 | 982 |
| Stiff rail pad–tampered ballast | 79 | 216/256 | 538 | 982 |
| Stiff rail pad–settled ballast | 125 | 241/278 | 540 | 982 |
Disclaimer/Publisher’s Note: The statements, opinions and data contained in all publications are solely those of the individual author(s) and contributor(s) and not of MDPI and/or the editor(s). MDPI and/or the editor(s) disclaim responsibility for any injury to people or property resulting from any ideas, methods, instructions or products referred to in the content. |
© 2024 by the authors. Licensee MDPI, Basel, Switzerland. This article is an open access article distributed under the terms and conditions of the Creative Commons Attribution (CC BY) license (https://creativecommons.org/licenses/by/4.0/).
Share and Cite
Fologea, D.; Mazilu, T.; Gheți, M.-A.; Apostol, I.-I. Parametric Study on the Effect of Rail Dampers on Track Decay Rate. Appl. Sci. 2024, 14, 9541. https://doi.org/10.3390/app14209541
Fologea D, Mazilu T, Gheți M-A, Apostol I-I. Parametric Study on the Effect of Rail Dampers on Track Decay Rate. Applied Sciences. 2024; 14(20):9541. https://doi.org/10.3390/app14209541
Chicago/Turabian StyleFologea, Dorina, Traian Mazilu, Marius-Alin Gheți, and Ioana-Izabela Apostol. 2024. "Parametric Study on the Effect of Rail Dampers on Track Decay Rate" Applied Sciences 14, no. 20: 9541. https://doi.org/10.3390/app14209541
APA StyleFologea, D., Mazilu, T., Gheți, M.-A., & Apostol, I.-I. (2024). Parametric Study on the Effect of Rail Dampers on Track Decay Rate. Applied Sciences, 14(20), 9541. https://doi.org/10.3390/app14209541

