A Deep Bidirectional LSTM Model Enhanced by Transfer-Learning-Based Feature Extraction for Dynamic Human Activity Recognition
Abstract
1. Introduction
- Feature extraction: Leveraging the power of MobileNetV2, we employed an effective feature-extraction methodology to capture intricate patterns from the dataset. This ensures the model receives rich and informative input, enhancing its ability to discern nuanced details crucial for dynamic human activity recognition.
- Feature refining and classification: Our approach introduces a specialized variant of long short-term memory (LSTM) known as Deep BiLSTM. This model excels in refining the extracted features and leveraging their temporal dependencies for accurate classification. Utilizing Deep BiLSTM represents a novel and powerful technique in dynamic human activity recognition.
- Extensive experiments: We conducted comprehensive experiments to validate the efficacy of our proposed model. The model underwent rigorous testing using three benchmark human action datasets—UCF11, UCF Sport, and JHMDB. This extensive evaluation showcases the model’s versatility and effectiveness across diverse scenarios, providing robust evidence of its real-world applicability.
2. Related Work
3. Proposed Method
| Algorithm 1 Transfer-Learning-Feature-Based HAR |
| Input: |
| List of videos (dynamic human activity dataset) Corresponding ground truth labels (groundTruthLabels) |
| Output: Prediction for the individual video |
| Step 1: Preprocessing |
| while InputVideos ≠ eachVideo do |
| SequenceOfFrames ← VideoToImageConvertion (Video) |
| PreprocessedVideos.append(SequenceOfFrames) |
| Step 2: Feature extraction with pre-trained models |
| VideoFeatures ← loadModels(MobileNetV2) |
| Step 3: Classification |
| ClassModels ← DeepBiLSTM(VideoFeature) |
| Step 4: Generate predictions |
| while i ≠ NumEpochs do |
| // For training |
| while BatchVideoFeatures ≠ NumberBatchTraining do |
| PredictedClass ← ClassModels(BatchVideoFeatures) |
| Loss ← Criterion(PredictedClass, groundTruthLabels) |
| Updatetheloss ← Loss.backward(), Optimizer.Step() |
| // For testing |
| while BatchVideoFeatures ≠ NumberBatchTesting do |
| PredictedClass ← ClassModels(BatchVideoFeatures) |
| Output ← CPerformanceMatrix(PredictedClass, groundTruthLabels) |
| Step 5: Display results |
| print(“Performance:”, accuracy) |
| Step 6: Real-time testing |
| HumanActivityTestVideo ← Recorded(Video) |
| PredictedActivityName ← ClassModels(HumanActivityTestVideo) |
| print(“Predicted:”, ActionName) |
3.1. Feature Extraction with MobileNetV2
3.2. Classification with Deep BiLSTM
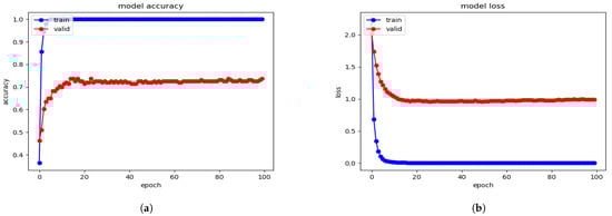
4. Experimental Evolution and Performances
4.1. Dataset
4.1.1. YouTube Actions or UCF11 Dataset
4.1.2. Joint-Annotated Human Motion Data Base (JHMDB) Dataset
4.1.3. UCF Sports Dataset
4.2. Experimental Setup
4.3. Performance Accuracy and SOTA Comparison with UCF11 or YouTube Actions Dataset
4.4. Performance Accuracy and SOTA Comparison with UCF Sports Dataset
4.5. Performance Accuracy and SOTA Comparison with JHMDB Dataset
5. Conclusions
Author Contributions
Funding
Data Availability Statement
Conflicts of Interest
Abbreviations
| LSTM | Long short-term memory |
| BiLSTM | Bidirectional long short-term memory |
| CNN | Convolutional Neural Networks |
| GMM | Gaussian Mixture Model |
| DD-Net | Double-feature double-motion network |
| GAN | Generative Adversarial Network |
| SOTA | State-of-the-art |
| MobileNetV2 | Mobile Network Variant 2 |
| ReLU | Rectified Linear Unit |
| DCNN | Dilated Convolutional Neural Network |
| GRNN | General regression neural network |
| KFDI | Key Frames Dynamic Image |
| QST | Quaternion Spatial–Temporal |
| RNNs | Recurrent Neural Networks |
| BT-LSTM | Block-term long short-term memory |
| KF | Kalman filter |
References
- Luo, S.; Yang, H.; Wang, C.; Che, X.; Meinel, C. Action recognition in surveillance video using convents and motion history image. In Proceedings of the International Conference on Artificial Neural Networks, Barcelona, Spain, 6–9 September 2016; Springer: Berlin/Heidelberg, Germany, 2016. [Google Scholar]
- Egawa, R.; Miah, A.S.M.; Hirooka, K.; Tomioka, Y.; Shin, J. Dynamic Fall Detection Using Graph-Based Spatial Temporal Convolution and Attention Network. Electronics 2023, 12, 3234. [Google Scholar] [CrossRef]
- Liu, Y.; Cui, J.; Zhao, H.; Zha, H. Fusion of low-and high-dimensional approaches by trackers sampling for generic human motion tracking. In Proceedings of the 21st International Conference on Pattern Recognition (ICPR2012), Tsukuba, Japan, 11–15 November 2012. [Google Scholar]
- Ullah, A.; Ahmad, J.; Muhammad, K.; Sajjad, M.; Baik, S.W. Action recognition in video sequences using deep Bi-directional LSTM with CNN features. IEEE Access 2017, 6, 1155–1166. [Google Scholar] [CrossRef]
- Ullah, A.; Muhammad, K.; Del Ser, J.; Baik, S.W.; de Albuquerque, V.H.C. Activity recognition using temporal optical flow convolutional features and multi-layer LSTM. IEEE Trans. Ind. Electron. 2018, 66, 9692–9702. [Google Scholar] [CrossRef]
- Lobo, J.L.; Del Ser, J.; Bilbao, M.N.; Perfecto, C.; Salcedo-Sanz, S. DRED: An evolutionary diversity generation method for concept drift adaptation in online learning environments. Appl. Soft Comput. 2018, 68, 693–709. [Google Scholar] [CrossRef]
- Lobo, J.L.; Del Ser, J.; Villar-Rodriguez, E.; Bilbao, M.N.; Salcedo-Sanz, S. On the creation of diverse ensembles for nonstationary environments using Bio-inspired heuristics. In Proceedings of the International Conference on Harmony Search Algorithm, Bilbao, Spain, 22–24 February 2017; Springer: Singapore, 2017. [Google Scholar]
- Krawczyk, B.; Woźniak, M. One-class classifiers with incremental learning and forgetting for data streams with concept drift. Soft Comput. 2015, 19, 3387–3400. [Google Scholar] [CrossRef]
- Krawczyk, B. Active and adaptive ensemble learning for online activity recognition from data streams. Knowl.-Based Syst. 2017, 138, 69–78. [Google Scholar] [CrossRef]
- Abdallah, Z.S.; Gaber, M.M.; Srinivasan, B.; Krishnaswamy, S. Activity recognition with evolving data streams: A review. ACM Comput. Surv. 2018, 51, 71. [Google Scholar] [CrossRef]
- Wang, Y.; Mori, G. Hidden part models for human action recognition: Probabilistic versus max margin. IEEE Trans. Pattern Anal. Mach. Intell. 2011, 33, 1310–1323. [Google Scholar] [CrossRef]
- Liu, Y.; Nie, L.; Han, L.; Zhang, L.; Rosenblum, D.S. Action2Activity: Recognizing complex activities from sensor data. In Proceedings of the IJCAI, Buenos Aires, Argentina, 25–31 July 2015. [Google Scholar]
- Chang, X.; Yu, Y.L.; Yang, Y.; Xing, E.P. Semantic pooling for complex event analysis in untrimmed videos. IEEE Trans. Pattern Anal. Mach. Intell. 2017, 39, 1617–1632. [Google Scholar] [CrossRef]
- Liu, A.A.; Su, Y.T.; Nie, W.Z.; Kankanhalli, M. Hierarchical clustering multi-task learning for joint human action grouping and recognition. IEEE Trans. Pattern Anal. Mach. Intell. 2016, 39, 102–114. [Google Scholar] [CrossRef] [PubMed]
- Yang, F.; Wu, Y.; Sakti, S.; Nakamura, S. Make skeleton-based action recognition model smaller, faster and better. In Proceedings of the ACM Multimedia Asia, Beijing China, 15–18 December 2019; Association for Computing Machinery: New York, NY, USA, 2019; pp. 1–6. [Google Scholar]
- Ye, J.; Wang, L.; Li, G.; Chen, D.; Zhe, S.; Chu, X.; Xu, Z. Learning compact recurrent neural networks with block-term tensor decomposition. In Proceedings of the IEEE Conference on Computer Vision and Pattern Recognition, Alt Lake City, UT, USA, 18–22 June 2018; pp. 9378–9387. [Google Scholar]
- Riahi, M.; Eslami, M.; Safavi, S.H.; Torkamani Azar, F. Human activity recognition using improved dynamic image. IET Image Process. 2020, 14, 3223–3231. [Google Scholar] [CrossRef]
- Muhammad, K.; Ullah, A.; Imran, A.S.; Sajjad, M.; Kiran, M.S.; Sannino, G.; de Albuquerque, V.H.C. Human action recognition using attention based LSTM network with dilated CNN features. Future Gener. Comput. Syst. 2021, 125, 820–830. [Google Scholar] [CrossRef]
- Al-Obaidi, S.; Al-Khafaji, H.; Abhayaratne, C. Making sense of neuromorphic event data for human action recognition. IEEE Access 2021, 9, 82686–82700. [Google Scholar] [CrossRef]
- Wensel, J.; Ullah, H.; Munir, A. ViT-ReT: Vision and Recurrent Transformer Neural Networks for Human Activity Recognition in Videos. IEEE Access 2023, 11, 72227–72249. [Google Scholar] [CrossRef]
- Vrskova, R.; Hudec, R.; Kamencay, P.; Sykora, P. Human activity classification using the 3DCNN architecture. Appl. Sci. 2022, 12, 931. [Google Scholar] [CrossRef]
- Ullah, A.; Muhammad, K.; Haq, I.U.; Baik, S.W. Action recognition using optimized deep autoencoder and CNN for surveillance data streams of non-stationary environments. Future Gener. Comput. Syst. 2019, 96, 386–397. [Google Scholar] [CrossRef]
- Meng, B.; Liu, X.; Wang, X. Human action recognition based on quaternion spatial–temporal convolutional neural network and LSTM in RGB videos. Multimed. Tools Appl. 2018, 77, 26901–26918. [Google Scholar] [CrossRef]
- Jaouedi, N.; Boujnah, N.; Bouhlel, M.S. A new hybrid deep learning model for human action recognition. J. King Saud Univ.-Comput. Inf. Sci. 2020, 32, 447–453. [Google Scholar] [CrossRef]
- Gammulle, H.; Denman, S.; Sridharan, S.; Fookes, C. Two stream lstm: A deep fusion framework for human action recognition. In Proceedings of the 2017 IEEE Winter Conference on Applications of Computer Vision (WACV), Santa Rosa, CA, USA, 24–31 March 2017. [Google Scholar]
- Ramasinghe, S.; Rajasegaran, J.; Jayasundara, V.; Ranasinghe, K.; Rodrigo, R.; Pasqual, A.A. Combined static and motion features for deep-networks-based activity recognition in videos. IEEE Trans. Circuits Syst. Video Technol. 2017, 29, 2693–2707. [Google Scholar] [CrossRef]
- Ijjina, E.; Mohan, C. Hybrid deep neural network model for human action recognition. Appl. Soft Comput. 2016, 46, 936–952. [Google Scholar] [CrossRef]
- Tu, Z. Multi-stream CNN: Learning representations based on human-related regions for action recognition. Pattern Recognit. 2018, 79, 32–43. [Google Scholar] [CrossRef]
- Sahoo, S.P.; Ari, S.; Mahapatra, K.; Mohanty, S.P. HAR-depth: A novel framework for human action recognition using sequential learning and depth estimated history images. IEEE Trans. Emerg. Top. Comput. Intell. 2020, 5, 813–825. [Google Scholar] [CrossRef]
- Miah, A.S.M.; Shin, J.; Hasan, M.A.M.; Rahim, M.A. BenSignNet: Bengali Sign Language Alphabet Recognition Using Concatenated Segmentation and Convolutional Neural Network. Appl. Sci. 2022, 12, 3933. [Google Scholar] [CrossRef]
- Miah, A.S.M.; Hasan, M.A.M.; Shin, J. Dynamic Hand Gesture Recognition using Multi-Branch Attention Based Graph and General Deep Learning Model. IEEE Access 2023, 11, 4703–4716. [Google Scholar] [CrossRef]
- Wu, D.; Sharma, N.; Blumenstein, M. Recent advances in video-based human action recognition using deep learning: A review. In Proceedings of the 2017 International Joint Conference on Neural Networks (IJCNN), Anchorage, AK, USA, 14–19 May 2017; pp. 2865–2872. [Google Scholar]
- Miah, A.S.M.; Hasan, M.A.M.; Shin, J.; Okuyama, Y.; Tomioka, Y. Multistage Spatial Attention-Based Neural Network for Hand Gesture Recognition. Computers 2023, 12, 13. [Google Scholar] [CrossRef]
- Miah, A.S.M.; Shin, J.; Abu Saleh Musa, M.; Rahim, M.A.; Okuyama, Y. Rotation, Translation and Scale Invariant Sign Word Recognition Using Deep Learning. Comput. Syst. Sci. Eng. 2023, 44, 2521–2536. [Google Scholar] [CrossRef]
- Shin, J.; Musa Miah, A.S.; Hasan, M.A.M.; Hirooka, K.; Suzuki, K.; Lee, H.S.; Jang, S.W. Korean Sign Language Recognition Using Transformer-Based Deep Neural Network. Appl. Sci. 2023, 13, 3029. [Google Scholar] [CrossRef]
- Rahim, M.A.; Miah, A.S.M.; Sayeed, A.; Shin, J. Hand gesture recognition based on optimal segmentation in human-computer interaction. In Proceedings of the 2020 3rd IEEE International Conference on Knowledge Innovation and Invention (ICKII), Kaohsiung, Taiwan, 21–23 August 2020; pp. 163–166. [Google Scholar]
- Antar, A.D.; Ahmed, M.; Ahad, M.A.R. Challenges in sensor-based human activity recognition and a comparative analysis of benchmark datasets: A review. In Proceedings of the 2019 Joint 8th International Conference on Informatics, Electronics & Vision (ICIEV) and 2019 3rd International Conference on Imaging, Vision & Pattern Recognition (icIVPR), Spokane, WA, USA, 30 May–2 June 2019; pp. 134–139. [Google Scholar]
- Ullah, S.; Bhatti, N.; Qasim, T.; Hassan, N.; Zia, M. Weakly-supervised action localization based on seed superpixels. Multimed. Tools Appl. 2021, 80, 6203–6220. [Google Scholar] [CrossRef]
- Hsueh, Y.L.; Lie, W.N.; Guo, G.Y. Human behavior recognition from multiview videos. Inf. Sci. 2020, 517, 275–296. [Google Scholar] [CrossRef]
- Elhoseny, M.; Abdelaziz, A.; Salama, A.S.; Riad, A.M.; Muhammad, K.; Sangaiah, A.K. A hybrid model of internet of things and cloud computing to manage big data in health services applications. Future Gener. Comput. Syst. 2018, 86, 1383–1394. [Google Scholar] [CrossRef]
- Kwon, H.; Kim, Y.; Lee, J.S.; Cho, M. First person action recognition via two-stream convnet with long-term fusion pooling. Pattern Recognit. Lett. 2018, 112, 161–167. [Google Scholar] [CrossRef]
- Zhen, X.; Shao, L. Action recognition via spatio-temporal local features: A comprehensive study. Image Vis. Comput. 2016, 50, 1–13. [Google Scholar] [CrossRef]
- Saghafi, B.; Rajan, D. Human action recognition using pose-based discriminant embedding. Signal Process. Image Commun. 2012, 27, 96–111. [Google Scholar] [CrossRef]
- Lee, T.; Yoon, J.C.; Lee, I.K. Motion sickness prediction in stereoscopic videos using 3D convolutional neural networks. IEEE Trans. Vis. Comput. Graph. 2019, 25, 1919–1927. [Google Scholar] [CrossRef]
- Yasin, H.; Hussain, M.; Weber, A. Keys for action: An efficient keyframe-based approach for 3D action recognition using a deep neural network. Sensors 2020, 20, 2226. [Google Scholar] [CrossRef]
- Zhao, Y.; Guo, H.; Gao, L.; Wang, H.; Zheng, J.; Zhang, K.; Zheng, Y. Multi-feature fusion action recognition based on keyframes. In Proceedings of the 2019 Seventh International Conference on Advanced Cloud and Big Data (CBD), Suzhou, China, 21–22 September 2019. [Google Scholar]
- Wei, X.S.; Wang, P.; Liu, L.; Shen, C.; Wu, J. Piecewise classifier mappings: Learning fine-grained learners for novel categories with few examples. IEEE Trans. Image Process. 2019, 28, 6116–6125. [Google Scholar] [CrossRef] [PubMed]
- Garcia-Garcia, A.; Orts-Escolano, S.; Oprea, S.; Villena-Martinez, V.; Martinez-Gonzalez, P.; Garcia-Rodriguez, J. A survey on deep learning techniques for image and video semantic segmentation. Appl. Soft Comput. 2018, 70, 41–65. [Google Scholar] [CrossRef]
- Schmidhuber, J. Deep learning in neural networks: An overview. Neural Netw. 2015, 61, 85–117. [Google Scholar] [CrossRef] [PubMed]
- Khan, S.U.; Haq, I.U.; Rho, S.; Baik, S.W.; Lee, M.Y. Cover the violence: A novel deep-learning-based approach towards violence-detection in movies. Appl. Sci. 2019, 9, 4963. [Google Scholar] [CrossRef]
- Simonyan, K.; Zisserman, A. Two-stream convolutional networks for action recognition in videos. In Proceedings of the Advances in Neural Information Processing Systems, Montreal, QC, Canada, 8–13 December 2014. [Google Scholar]
- Feichtenhofer, C.; Pinz, A.; Zisserman, A. Convolutional two-stream network fusion for video action recognition. In Proceedings of the IEEE Conference on Computer Vision and Pattern Recognition, Las Vegas, NV, USA, 27–30 June 2016. [Google Scholar]
- Patel, C.I.; Garg, S.; Zaveri, T.; Banerjee, A.; Patel, R. Human action recognition using fusion of features for unconstrained video sequences. Comput. Electr. Eng. 2018, 70, 284–301. [Google Scholar] [CrossRef]
- Xu, C.; Wang, K.; Sun, Y.; Guo, S.; Zomaya, A.Y. Redundancy avoidance for big data in data centers: A conventional neural network approach. IEEE Trans. Netw. Sci. Eng. 2018, 7, 104–114. [Google Scholar] [CrossRef]
- He, X.; Wang, K.; Huang, H.; Miyazaki, T.; Wang, Y.; Guo, S. Green resource allocation based on deep reinforcement learning in content-centric IoT. IEEE Trans. Emerg. Top. Comput. 2018, 8, 781–796. [Google Scholar] [CrossRef]
- Howard, A.G.; Zhu, M.; Chen, B.; Kalenichenko, D.; Wang, W.; Weyand, T.; Andreetto, M.; Adam, H. Mobilenets: Efficient convolutional neural networks for mobile vision applications. arXiv 2017, arXiv:1704.04861. [Google Scholar]
- Bengio, Y.; Simard, P.; Frasconi, P. Learning long-term dependencies with gradient descent is difficult. IEEE Trans. Neural Netw. 1994, 5, 157–166. [Google Scholar] [CrossRef] [PubMed]
- Sreelakshmi, K.; Rafeeque, P.C.; Sreetha, S.; Gayathri, E.S. Deep Bi-Directional LSTM Network for Query Intent Detection. Procedia Comput. Sci. 2018, 143, 939–946. [Google Scholar] [CrossRef]
- Radman, A.; Suandi, S.A. BiLSTM regression model for face sketch synthesis using sequential patterns. Neural Comput. Appl. 2021, 33, 12689–12702. [Google Scholar] [CrossRef]
- Tatsunami, Y.; Taki, M. Sequencer: Deep lstm for image classification. Adv. Neural Inf. Process. Syst. 2022, 35, 38204–38217. [Google Scholar]
- Mekruksavanich, S.; Jitpattanakul, A. Lstm networks using smartphone data for sensor-based human activity recognition in smart homes. Sensors 2021, 21, 1636. [Google Scholar] [CrossRef]
- Hochreiter, S.; Schmidhuber, J. Long Short-term Memory. Neural Comput. 1997, 9, 1735–1780. [Google Scholar] [CrossRef]
- Liu, J.; Luo, J.; Shah, M. Recognizing realistic actions from videos “in the wild”. In Proceedings of the 2009 IEEE Conference on Computer Vision and Pattern Recognition, Miami, FL, USA, 20–25 June 2009; pp. 1996–2003. [Google Scholar]
- Shao, L.; Zhen, X.; Tao, D.; Li, X. Spatio-temporal Laplacian pyramid coding for action recognition. IEEE Trans. Cybern. 2013, 44, 817–827. [Google Scholar] [CrossRef]
- Jhuang, H.; Gall, J.; Zuffi, S.; Schmid, C.; Black, M.J. Towards understanding action recognition. In Proceedings of the IEEE International Conference on Computer Vision, Sydney, Australia, 1–8 December 2013; pp. 3192–3199. [Google Scholar]
- Liu, J.; Yang, Y.; Shah, M. Learning semantic visual vocabularies using diffusion distance. In Proceedings of the 2009 IEEE Conference on Computer Vision and Pattern Recognition, Miami, FL, USA, 20–25 June 2009; pp. 461–468. [Google Scholar]
- Shin, J.; Miah, A.S.M.; Suzuki, K.; Hirooka, K.; Hasan, M.A.M. Dynamic Korean Sign Language Recognition Using Pose Estimation Based and Attention-based Neural Network. IEEE Access. 2023, 11, 143501–143513. [Google Scholar] [CrossRef]
- Rodriguez, M. Spatio-temporal maximum average correlation height templates in action recognition and video summarization. Doctor Thesis, University of Central Florida, Orlando, FL, USA, 2010. [Google Scholar]
- Soomro, K.; Zamir, A.R. Action recognition in realistic sports videos. In Computer Vision in Sports; Springer: Berlin/Heidelberg, Germany, 2015; pp. 181–208. [Google Scholar]
- Rodriguez, M.D.; Ahmed, J.; Shah, M. Action mach a spatio-temporal maximum average correlation height filter for action recognition. In Proceedings of the 2008 IEEE Conference on Computer Vision and Pattern Recognition, Anchorage, AK, USA, 23–28 June 2008; pp. 1–8. [Google Scholar]
- Abadi, M.; Agarwal, A.; Barham, P.; Brevdo, E.; Chen, Z.; Citro, C.; Corrado, G.S.; Davis, A.; Dean, J.; Devin, M.; et al. Tensorflow: Large-scale machine learning on heterogeneous distributed systems. arXiv 2016, arXiv:1603.04467. [Google Scholar]
- Ramasinghe, S.; Rodrigo, R. Action recognition by single stream convolutional neural networks: An approach using combined motion and static information. In Proceedings of the 2015 3rd IAPR Asian Conference on Pattern Recognition (ACPR), Kuala Lumpur, Malaysia, 3–6 November 2015; pp. 101–105. [Google Scholar]










| Methods | Accuracy% |
|---|---|
| Hierarchical clustering [14] | 89.7% |
| Single-stream CNN [72] | 93.1% |
| BT-LSTM [16] | 85.3% |
| KFDI [17] | 79.4% |
| Dilated CNN+BiLSTM+RB [18] | 89.01% |
| Local–global features+QSVM [19] | 82.6% |
| 3DCNN [21] | 85.2% |
| Deep autoencoder+CNN [22] | 96.2% |
| ViT-ReT [20] | 92.4% |
| Two-stream LSTM [25] | 89.20% |
| Proposed method | 99.2% |
Disclaimer/Publisher’s Note: The statements, opinions and data contained in all publications are solely those of the individual author(s) and contributor(s) and not of MDPI and/or the editor(s). MDPI and/or the editor(s) disclaim responsibility for any injury to people or property resulting from any ideas, methods, instructions or products referred to in the content. |
© 2024 by the authors. Licensee MDPI, Basel, Switzerland. This article is an open access article distributed under the terms and conditions of the Creative Commons Attribution (CC BY) license (https://creativecommons.org/licenses/by/4.0/).
Share and Cite
Hassan, N.; Miah, A.S.M.; Shin, J. A Deep Bidirectional LSTM Model Enhanced by Transfer-Learning-Based Feature Extraction for Dynamic Human Activity Recognition. Appl. Sci. 2024, 14, 603. https://doi.org/10.3390/app14020603
Hassan N, Miah ASM, Shin J. A Deep Bidirectional LSTM Model Enhanced by Transfer-Learning-Based Feature Extraction for Dynamic Human Activity Recognition. Applied Sciences. 2024; 14(2):603. https://doi.org/10.3390/app14020603
Chicago/Turabian StyleHassan, Najmul, Abu Saleh Musa Miah, and Jungpil Shin. 2024. "A Deep Bidirectional LSTM Model Enhanced by Transfer-Learning-Based Feature Extraction for Dynamic Human Activity Recognition" Applied Sciences 14, no. 2: 603. https://doi.org/10.3390/app14020603
APA StyleHassan, N., Miah, A. S. M., & Shin, J. (2024). A Deep Bidirectional LSTM Model Enhanced by Transfer-Learning-Based Feature Extraction for Dynamic Human Activity Recognition. Applied Sciences, 14(2), 603. https://doi.org/10.3390/app14020603
