Thermal Runaway Diagnosis of Lithium-Ion Cells Using Data-Driven Method
Abstract
1. Introduction
2. Open Battery Failure Dataset
- Heat: Heat is applied to the battery cell until it reaches thermal runaway.
- ISC: One of the latent defects in cell electrodes is an internal short-circuiting (ISC) device [20]. It can trigger thermal runaway at specific locations within the cell if the temperature reaches about 57 °C, much lower than that of the Heat abuse method.
- Nail: The pneumatically activated nail of FTRC penetrates 9 mm of the cell body.
3. Data-Driven Thermal Runaway Diagnosis
3.1. Support Vector Machine
3.2. Naive Bayes
3.3. Decision Tree Ensemble
3.4. Multi-Layer Perceptron
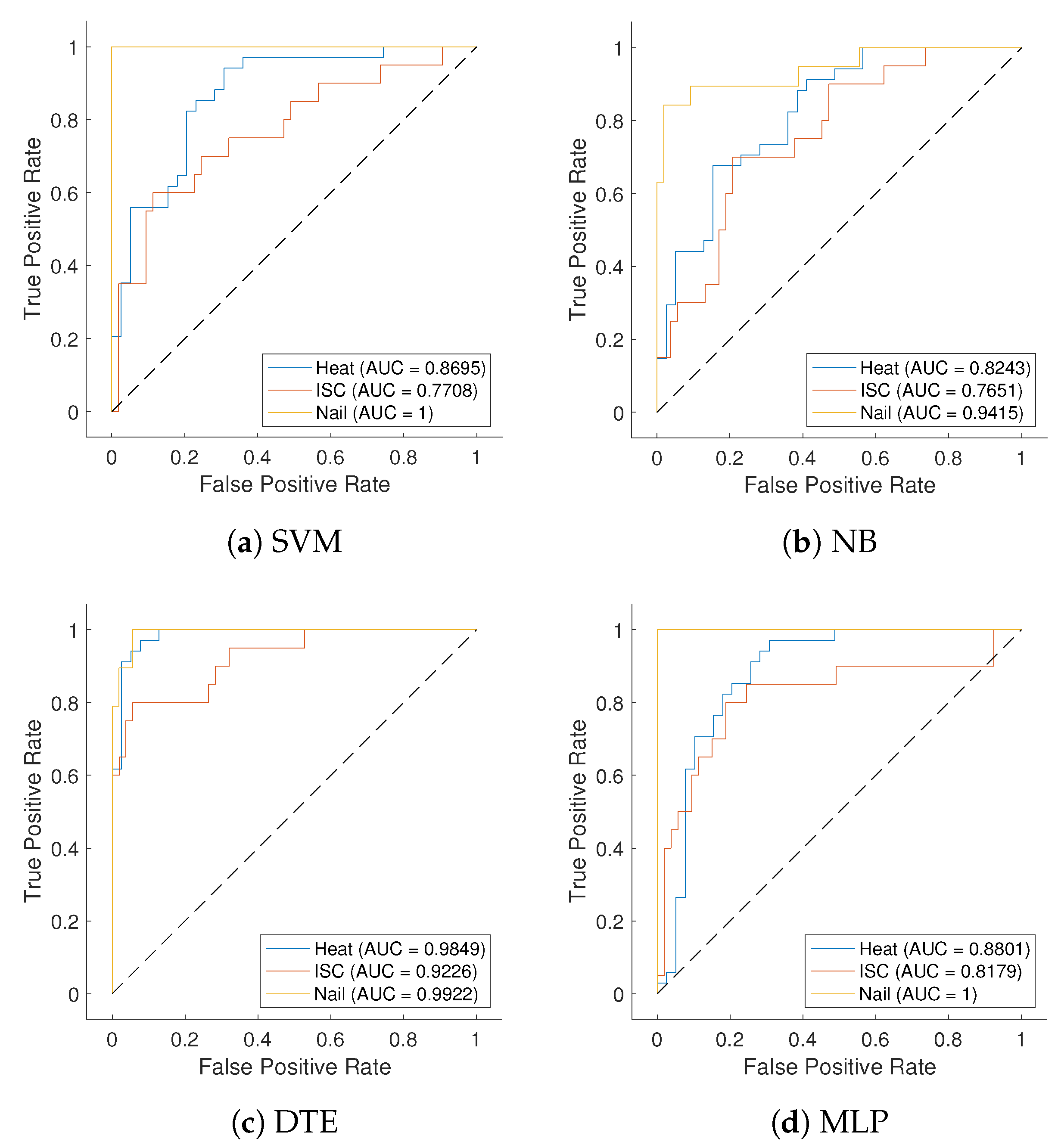
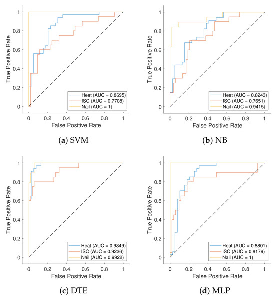
4. Performance Evaluation
4.1. Comparison between Different Machine Learning Models
4.2. Sensitivity and Feature Analysis of DTE
5. Conclusions
Author Contributions
Funding
Institutional Review Board Statement
Informed Consent Statement
Data Availability Statement
Conflicts of Interest
References
- Nykvist, B.; Nilsson, M. Rapidly falling costs of battery packs for electric vehicles. Nat. Clim. Chang. 2015, 5, 329–332. [Google Scholar] [CrossRef]
- Chen, Y.; Kang, Y.; Zhao, Y.; Wang, L.; Liu, J.; Li, Y.; Liang, Z.; He, X.; Li, X.; Tavajohi, N.; et al. A review of lithium-ion battery safety concerns: The issues, strategies, and testing standards. J. Energy Chem. 2021, 59, 83–99. [Google Scholar] [CrossRef]
- Park, P.; Ergen, S.C.; Fischione, C.; Lu, C.; Johansson, K.H. Wireless Network Design for Control Systems: A Survey. IEEE Commun. Surv. Tutor. 2018, 20, 978–1013. [Google Scholar] [CrossRef]
- Hu, X.; Zhang, K.; Liu, K.; Lin, X.; Dey, S.; Onori, S. Advanced Fault Diagnosis for Lithium-Ion Battery Systems: A Review of Fault Mechanisms, Fault Features, and Diagnosis Procedures. IEEE Ind. Electron. Mag. 2020, 14, 65–91. [Google Scholar] [CrossRef]
- Omakor, J.; Miah, M.S.; Chaoui, H. Battery Reliability Assessment in Electric Vehicles: A State-of-the-Art. IEEE Access 2024, 12, 77903–77931. [Google Scholar] [CrossRef]
- Park, P.; Marco, P.D.; Nah, J.; Fischione, C. Wireless Avionics Intracommunications: A Survey of Benefits, Challenges, and Solutions. IEEE Internet Things J. 2021, 8, 7745–7767. [Google Scholar] [CrossRef]
- Li, D.; Liu, P.; Zhang, Z.; Zhang, L.; Deng, J.; Wang, Z.; Dorrell, D.G.; Li, W.; Sauer, D.U. Battery Thermal Runaway Fault Prognosis in Electric Vehicles Based on Abnormal Heat Generation and Deep Learning Algorithms. IEEE Trans. Power Electron. 2022, 37, 8513–8525. [Google Scholar] [CrossRef]
- Azuaje-Berbeci, B.J.; Ertan, H.B. A model for the prediction of thermal runaway in lithium–ion batteries. J. Energy Storage 2024, 90, 111831. [Google Scholar] [CrossRef]
- Zhang, X.; Chen, S.; Zhu, J.; Gao, Y. A Critical Review of Thermal Runaway Prediction and Early-Warning Methods for Lithium-Ion Batteries. Energy Mater. Adv. 2023, 4, 8. [Google Scholar] [CrossRef]
- Finegan, D.P.; Darcy, E.; Keyser, M.; Tjaden, B.; Heenan, T.M.M.; Jervis, R.; Bailey, J.J.; Vo, N.T.; Magdysyuk, O.V.; Drakopoulos, M.; et al. Identifying the Cause of Rupture of Li-Ion Batteries during Thermal Runaway. Adv. Sci. 2018, 5, 1700369. [Google Scholar] [CrossRef]
- Finegan, D.P.; Darst, J.; Walker, W.; Li, Q.; Yang, C.; Jervis, R.; Heenan, T.M.M.; Hack, J.; Thomas, J.C.; Rack, A.; et al. Modelling and experiments to identify high-risk failure scenarios for testing the safety of lithium-ion cells. J. Power Sources 2019, 417, 29–41. [Google Scholar] [CrossRef]
- Severson, K.A.; Attia, P.M.; Jin, N.; Perkins, N.; Jiang, B.; Yang, Z.; Chen, M.H.; Aykol, M.; Herring, P.K.; Fraggedakis, D.; et al. Data-driven prediction of battery cycle life before capacity degradation. Nat. Energy 2019, 4, 383–391. [Google Scholar] [CrossRef]
- Li, L.; Li, Y.; Mao, R.; Li, L.; Hua, W.; Zhang, J. Remaining Useful Life Prediction for Lithium-Ion Batteries With a Hybrid Model Based on TCN-GRU-DNN and Dual Attention Mechanism. IEEE Trans. Transp. Electrif. 2023, 9, 4726–4740. [Google Scholar] [CrossRef]
- Attia, P.M.; Grover, A.; Jin, N.; Severson, K.A.; Markov, T.M.; Liao, Y.-H.; Chen, M.H.; Cheong, B.; Perkins, N.; Yang, Z.; et al. Closed-loop optimization of fast-charging protocols for batteries with machine learning. Nature 2020, 578, 397–402. [Google Scholar] [CrossRef] [PubMed]
- Ouyang, Q.; Wang, Z.; Liu, K.; Xu, G.; Li, Y. Optimal Charging Control for Lithium-Ion Battery Packs: A Distributed Average Tracking Approach. IEEE Trans. Ind. Inform. 2020, 16, 3430–3438. [Google Scholar] [CrossRef]
- Kriston, A.; Podias, A.; Adanouj, I.; Pfrang, A. Analysis of the effect of thermal runaway initiation conditions on the severity of thermal runaway-numerical simulation and machine learning study. J. Electrochem. Soc. 2020, 167, 090555. [Google Scholar] [CrossRef]
- Li, W.; Zhu, J.; Xia, Y.; Gorji, M.B.; Wierzbicki, T. Data-Driven safety envelope of lithium-ion batteries for electric vehicles. Joule 2019, 3, 2703–2715. [Google Scholar] [CrossRef]
- Finegan, D.P.; Billman, J.; Darst, J.; Hughes, P.; Trillo, J.; Sharp, M.; Benson, A.; Pham, M.; Kesuma, I.; Buckwell, M.; et al. The battery failure databank: Insights from an open-access database of thermal runaway behaviors of Li-ion cells and a resource for benchmarking risks. J. Power Sources 2024, 597, 234106. [Google Scholar] [CrossRef]
- Finegan, D.P.; Cooper, S.J. Battery safety: Data-driven prediction of failure. Joule 2019, 3, 2599–2601. [Google Scholar] [CrossRef]
- Finegan, D.P.; Darcy, E.; Keyser, M.; Tjaden, B.; Heenan, T.M.M.; Jervis, R.; Bailey, J.J.; Malik, R.; Vo, N.T.; Magdysyuk, O.V.; et al. Characterising thermal runaway within lithium-ion cells by inducing and monitoring internal short circuits. Energy Environ. Sci. 2017, 10, 1377–1388. [Google Scholar] [CrossRef]
- Wang, X.; Jin, Y.; Schmitt, S.; Olhofer, M. Recent Advances in Bayesian Optimization. ACM Comput. Surv. 2023, 55, 287. [Google Scholar] [CrossRef]
- Campi, M.C.; Garatti, S. A theory of the risk for optimization with relaxation and its application to support vector machines. J. Mach. Learn. Res. 2021, 22, 1–38. [Google Scholar]
- Bielza, C.; Larrañaga, P. Discrete Bayesian Network Classifiers: A Survey. ACM Comput. Surv. 2014, 47, 5. [Google Scholar] [CrossRef]
- Younas, N.; Ali, A.; Hina, H.; Hamraz, M.; Khan, Z.; Aldahmani, S. Optimal Causal Decision Trees Ensemble for Improved Prediction and Causal Inference. IEEE Access 2022, 10, 13000–13011. [Google Scholar] [CrossRef]
- Lomax, S.; Vadera, S. A survey of cost-sensitive decision tree induction algorithms. ACM Comput. Surv. 2013, 45, 16. [Google Scholar] [CrossRef]
- Mienye, I.D.; Jere, N. A Survey of Decision Trees: Concepts, Algorithms, and Applications. IEEE Access 2024, 12, 86716–86727. [Google Scholar] [CrossRef]
- Freund, Y.; Schapire, R.E. Experiments with a new boosting algorithm. In Proceedings of the International Conference on International Conference on Machine Learning, Bari, Italy, 3–6 July 1996; pp. 148–156. [Google Scholar]
- Park, P.; Marco, P.D.; Santucci, F. Efficient Data Collection and Training for Deep-Learning-Based Indoor Vehicle Navigation. IEEE Internet Things J. 2024, 11, 20473–20485. [Google Scholar] [CrossRef]
- Bang, J.; Di Marco, P.; Shin, H.; Park, P. Deep Transfer Learning-Based Fault Diagnosis Using Wavelet Transform for Limited Data. Appl. Sci. 2022, 12, 7450. [Google Scholar] [CrossRef]
- Mohammadi, M.; Hofman, W.; Tan, Y.-H. A Comparative Study of Ontology Matching Systems via Inferential Statistics. IEEE Trans. Knowl. Data Eng. 2019, 31, 615–628. [Google Scholar] [CrossRef]
- Bennetot, A.; Donadello, I.; El Qadi El Haouari, A.; Dragoni, M.; Frossard, T.; Wagner, B.; Sarranti, A.; Tulli, S.; Trocan, M.; Chatila, R.; et al. A Practical tutorial on Explainable AI Techniques. ACM Comput. Surv. 2024, Accepted. [Google Scholar] [CrossRef]








| Data Type | Unit | Description |
|---|---|---|
| CellCap | Ah | Maximum capacity of the cell. |
| CellEn | Wh | Maximum possible stored energy of the cell. |
| PreCellM | g | Mass of the cell before the experiment. |
| BottomVent | - | Whether the cell includes a bottom vent or not. |
| PrePosM | g | Mass of the copper mesh of the FTRC positive side. |
| PreNegM | g | Mass of the copper mesh of the FTRC negative side. |
| ConfPos | - | Seal material of the FTRC positive side. |
| ConfNeg | - | Seal material of the FTRC negative side. |
| CellFail | - | Mechanism of the cell fails. |
| HeatLossRate | kJs | Heat loss rate |
| DiffM | g | Mass difference between before and after the experiment. |
| PostCellM | g | Mass of the remained cell. |
| PostPosMateM | g | Mass of the positive side ejected mating. |
| PostPosBoreM | g | Mass of the positive side ejected bore. |
| PostPosCuM | g | Mass of the positive side copper mesh. |
| PostNegMateM | g | Mass of the negative side ejected mating. |
| PostNegBoreM | g | Mass of the negative side ejected bore. |
| PostNegCuM | g | Mass of the negative side copper mesh. |
| BaselineEn | kJ | Released energy without corrections for heat and mass loss. |
| CorrLossEn | kJ | Released energy corrected for heat loss. |
| CorrEn | kJ | Released energy, corrected for both heat and mass loss. |
| PosEn | kJ | Energy of unrecovered mass ejected through the positive side. |
| NegEn | kJ | Energy of unrecovered mass ejected through the negative side. |
| BodyEnP | % | Percent of the released energy from the cell casing. |
| PosEnP | % | Percent of the released energy from the positive side. |
| NegEnP | % | Percent of the released energy from the negative side. |
| Cause | - | Trigger mechanism to induce thermal runaway. |
| Range | Selected | Note | |
|---|---|---|---|
| Box constraint | 374.73 | - | |
| Strategy | [OvR, OvO] | OvO | - |
| Kernel function | [Linear, Gaussian, Polynomial] | Gaussian | - |
| Feature scale | 6.14 | - | |
| Polynomial order | - | Polynomial |
| Range | Selected | Note | |
|---|---|---|---|
| Number of learning cycles | 17 | Aggregation | |
| Learning rate | 0.86 | Aggregation | |
| Maximum number of splits | 119 | Decision tree | |
| Minimum leaf size | 2 | Decision tree | |
| Split criterion | [Gini, Deviance, Twoing] | Gini | Decision tree |
| Range | Selected | |
|---|---|---|
| Drop probability | 0.5 | |
| Initial learning rate | 0.001 | |
| Gradient decay factor | 0.9 |
| SVM | NB | DTE | MLP | |
|---|---|---|---|---|
| Accuracy |
| SVM | NB | DTE | MLP | ||
|---|---|---|---|---|---|
| Cell format | 18650 | ||||
| 21700 | |||||
| Manufacturer | KULR | ||||
| LG | 1 | ||||
| Molicel | 1 | 1 | 1 | ||
| Saft | 0 | 0 | 1 | 0 | |
| Samsung | 1 | 1 | 1 | 1 | |
| Sanyo | 1 | 1 | 1 | ||
| Sony | 1 | 1 | |||
| Soteria |
Disclaimer/Publisher’s Note: The statements, opinions and data contained in all publications are solely those of the individual author(s) and contributor(s) and not of MDPI and/or the editor(s). MDPI and/or the editor(s) disclaim responsibility for any injury to people or property resulting from any ideas, methods, instructions or products referred to in the content. |
© 2024 by the authors. Licensee MDPI, Basel, Switzerland. This article is an open access article distributed under the terms and conditions of the Creative Commons Attribution (CC BY) license (https://creativecommons.org/licenses/by/4.0/).
Share and Cite
Choi, Y.; Park, P. Thermal Runaway Diagnosis of Lithium-Ion Cells Using Data-Driven Method. Appl. Sci. 2024, 14, 9107. https://doi.org/10.3390/app14199107
Choi Y, Park P. Thermal Runaway Diagnosis of Lithium-Ion Cells Using Data-Driven Method. Applied Sciences. 2024; 14(19):9107. https://doi.org/10.3390/app14199107
Chicago/Turabian StyleChoi, Youngrok, and Pangun Park. 2024. "Thermal Runaway Diagnosis of Lithium-Ion Cells Using Data-Driven Method" Applied Sciences 14, no. 19: 9107. https://doi.org/10.3390/app14199107
APA StyleChoi, Y., & Park, P. (2024). Thermal Runaway Diagnosis of Lithium-Ion Cells Using Data-Driven Method. Applied Sciences, 14(19), 9107. https://doi.org/10.3390/app14199107

