Abstract
With the rapid development of the information age, the need for high-resolution reconnaissance and surveillance is becoming more and more urgent. It is necessary to develop photoelectric pods with a high-precision stabilization function, which isolate the influence of external disturbance and realize the tracking of maneuvering targets. In this paper, the internal frame stabilization loop control technique is studied. Firstly, the mathematical models of the current loop are established. Secondly, the friction model, parametric model, and mechanical resonance model of the system are identified. Finally, a fourth-order tracking differentiator and a fifth-order extended state observer are designed. Through simulation verification, the stability performance of HO-ADRC, increasing by 145.17%, is better than that of PID. In terms of disturbance suppression and noise removal ability, HO-ADRC is also better than PID.
1. Introduction
With the increasing development of UAV platforms, the application proportion of photoelectric pods is gradually increasing in military, police, and civil fields. Especially in aspects such as resource exploration, urban patrol, and forest fire prevention. Additionally, with the improvement of the load-carrying capacity of UAVs, the functions that photoelectric pods can have are becoming more and more diverse, including visible light/infrared reconnaissance, laser ranging/guidance, and other aspects. The photoelectric pod has developed rapidly in the past 30 years, especially in reconnaissance alarm, target indication, control aiming, and navigation tracking [1,2]. The main task of the photoelectric pod controller is to isolate the external disturbance of the platform [3]. It maintains the stability of the line of sight axis in the inertial space, and realizes capturing targets and the tracking of the motorized targets. As the internal loop of the system, the stable loop is an important part of its control system. Its control performance directly determines the tracking performance of the photoelectric pod. It has the function of isolating the carrier disturbance, compensating for the friction moment and eliminating the influence of various process noise, and then realizing the function of stabilizing and tracking [4]. In the actual process, the working environment of the photoelectric pod is harsh. The attitude change in the carrier, high frequency vibration, and wind resistance torque during flight will cause visual axis pointing instability, affecting the imaging of the system [5,6].
The Active Disturbance Rejection Controller (ADRC) is a new modern control method, which follows the increasing progress of computer control technology [7]. It was initiated by Professor Jin-qing Han in the late 1980s. ADRC uses the nonlinear discretization of the classical PID control theory, and finally evolves into a relatively mature control method, which has the advantages of a wide application and high control accuracy and modularity. ADRC has a more significant control ability, especially in a control environment with great interference or strict requirements on the control speed and control accuracy, and has achieved remarkable results in servo control mechanisms, ship control systems, precision machine tool processing, aircraft control, etc. [8]. In 2002, the spacecraft power generation device successfully solved the voltage control problem by using ADRC. In September 2004, NASA adopted ADRC to control Micro-Slide nanoscale displacement and achieved the expected control effects. In 2004, the jet engine control experiment using ADRC achieved exciting results. The physical experiments and field applications of ADRC in different engineering fields show that it will be able to replace the traditional PID in the form of a digital controller. Zhi-qiang Gao [9] developed a concise method to determine the parameters of the ADRC linear expansion state observer with the bandwidth. Yong-guang Ma [10] conducted related research on the application of the ADRC in strong coupling, nonlinear, and large delay thermal objects, such as ball mill, and proved that it has good extension value in a multivariable decoupling control system. Wen-wen Chen [11] applied the self-disturbance control controller to the ship heading control and summarized the ADRC parameter setting method on the basis of simulation experiments. Yu-hang Wang [12] explored the application of the ADRC in missile attitude control, and the conclusion shows that it has a good application prospect in missile control system. In terms of the photoelectric stability system, Jun-hong Zhai applied the ADRC to compensate for the interference of wind resistance in the control design of a large aperture photoelectric telescope. The simulation results show that the control effects of ADRC are better than that of PID [13]. Ka-quan Li [14] conducted a simulation comparative test on ADRC and PID controller with a certain type of airborne photoelectric reconnaissance platform as the control object. The experiments show that ADRC has obvious advantages in step response, overshoot, noise suppression, disturbance suppression, and low-speed motion. Tao Zhou [15] uses the ADRC to stabilize the ring structure resonance of the photoelectric platform servo system. The simulation results show that the ADRC suppresses the influence of structural resonance and improves the speed tracking accuracy effectively. Che Xin [16] used ADRC in the speed control loop to solve the suppression of interference in the photoelectric pod, and then realized the stability of the optical axis. Jia-cheng Ma [17] uses the particle swarm algorithm (PSO) and the population search algorithm (SOA) to carry out the design of the ADRC parameters and compares the control effect of PID. The results show that the ADRC method optimized by SOA has a higher control performance. YuMo uses ADRC to solve the mechanical resonance problem caused by the flight system under the mechanical impact [18]. Cheng-xin Zhang designed an improved ADRC to improve the control performance of a fast mirror (FSM) in a large measurement noise environment [19]. Josiel A. Gouvea proposed an ADRC paradigm that consists of modifying the structure of the ESO by defining the input signal as an additional state variable of the controlled object [20]. Momir Stankovic established formal conditions of equivalence between the PID and ADRC, and devised a step-by-step procedure of transitioning from the PI/PID to the error-based ADRC [21]. Drakulic Momir presented an ADRC strategy for the trajectory tracking problem of unmanned tracked vehicles (UTV) in the presence of high slippage disturbance dynamics to prove that the ADRC-based UTV control achieved better trajectory tracking performances than the PI/PID control structure under different working conditions in the presence of high slippage dynamics and measurement noise [22]. Mosayyebi demonstrated a new generation of adaptive disturbance rejection control (ADRC), which is more robust against disturbances than the conventional ADRC [23].
The above methods are to improve ADRC control by adding a Kalman filter, feedforward controller, and PSO parameter setting in the ADRC control structure, without changing the order of ADRC. At the same time, it is also proved that the ADRC is more suitable for engineering applications than PID. In this paper, through the parametric identification of the model of the photoelectric pod, a fourth-order tracking differentiator and a fifth-order extended state observer are designed. Through simulation verification, the stability performance of HO-ADRC, increasing by 145.17%, is better than that of PID. In terms of the disturbance suppression and noise removal ability, HO-ADRC is also better than PID.
2. Methods
The photoelectric pod with two axes and four frame structure can expand the stable tracking range and improve the tracking accuracy [24]. Due to the connection of the mechanical structure, there will be a coupling effect between the internal and external frames. However, with the improvement of the platform production process and the increasingly rich structural design, the coupling effect between the internal and external frames is negligible. With the stable loop as the internal loop of the system, its quality directly determines the tracking performance of the photoelectric pod. Therefore, this paper does not focus on kinematics and dynamics derivation, but mainly takes the heading axis stability loop in the frame of the photoelectric platform as an example to establish the mathematical model.
The mathematical model of photoelectric pod is based on the conventional control system using the double closed-loop system of speed and position. The control loop usually takes the second-order inertial element and the oscillation element as the control objects. The second-order inertial element includes the mechanical and electrical characteristics of the motor. The oscillation element represents the mechanical resonance characteristics inside the system platform. The low frequency gain of the speed loop is limited by the phase margin of the system, which then affects the tracking accuracy of the position loop. If a current feedback sensor and a current feedback control network are added to the speed loop to form a current closed-loop system, the characteristics of the control object can be changed and the accuracy of the control system can be improved. Many existing research results show that by adding current loop on the basis of position loop and speed loop, the control system has the advantages of good dynamic response, strong anti-interference ability, and high precision [25].
Under the rated excitation conditions, the armature current of the motor is continuous, so the dynamic voltage balance equation of the armature circuit is shown in Equation (1) [26].
where Ud0 = motor armature voltage; Ia = motor armature current; R0 = total circuit resistance; and L = armature inductance.
where E = anti-electromotive force of the motor; Ce = motor reverse electric type coefficient; and n = motor speed.
Equation (3) performs the Laplace transformation by Equation (1):
Make the current loop time constant Ta = L/R0, and Equation (3) is reduced to Equation (4):
At the rated voltage, the torque and the armature current of the DC motor are in a linear relationship. When the armature current is unchanged, the torque also does not change. According to the equation of motion, the rated torque of motor and the load torque can be expressed by Equations (5)–(7): [26]
where Tem = rated torque of the motor; TL = load torque; Cm = motor torque coefficient; J = total moment of inertia; and IaL = load-back current.
The transfer function between the armature antipotential and the armature current can be obtained from Equations (2) and (8):
The electromechanical time constant Tm = JR0/CmCe. Combined with Equations (1)–(9), the motor dynamic structure block diagram can be obtained as shown in Figure 1.
Figure 1.
Motor dynamic structure block.
Using the current loop control the system, the current loop input signal is at point A and the feedback signal input is at point B. The speed loop affects the current loop through the anti-electromotive force of the motor E(s). In real systems, the electromechanical time constant Tm is much larger than the current loop time constant Ta. The dynamic process of the output value Ia(t) changes rapidly, but the change process of anti-electromotive force of the motor E(s) reflecting the rotation speed is actually slow. Therefore, in the process of designing the current loop, we can ignore the influence of E(s) on the current loop, which simplifies the computational complexity of the design.
The motor dynamic structure block can be further simplified as a double closed-loop system of current and speed. Ga(s) is the current loop controller; Gv(s) is the speed loop controller; and G0(s) is the mechanical resonance element, which can approximate to a second-order oscillation element for simulating. In Figure 2, Ua(s) is the current loop input signal and Uv(s) is the speed loop input signal.
Figure 2.
Current speed double closed-loop system control block.
Current loops reflect the electrical characteristics of the control system. The control object characteristic of the current loop between point A and B is generally a first-order inertial element. Set the current loop controller as shown in Equation (10):
Then, the closed-loop characteristic of the current loop is shown in Equation (11):
T′a = Ta/(1 + k1/R0) = new electrical time constant. T′a is 1/(1 + k1/R0) times less than the electrical time constant Ta without the current feedback loop. Then, the object property of the speed loop is shown in Equation (12):
To minimize the occurrence of self-excitation oscillation, the bandwidth of the current loop is designed to be more than 5 times the bandwidth of the speed loop. Then, in the range of mechanical resonance frequency, the control object of the speed loop can be approximated as a pure integral element, as shown in Equation (13).
Without considering the sticky friction, after adding the current loop, the controlled object of the speed loop changes from the second-order inertial element to the pure integral element, which makes the speed loop change from a type 0 system to a type 1 system. This method improves the type of the control loop and reduces the parameter uncertainty of the controlled object of the speed loop. It is beneficial to adopt advanced control methods such as modern model-based control methods.
On this basis, this paper continues to construct the friction mathematical model and the mechanical resonant mathematical model. G0(s) is the mechanical resonance model, and Gf(s) is the friction model. Both of the above two models have mature research results, and this paper is directly borrowed from other research results [27,28]. Then, Then we can obtain the photoelectric pod speed loop control structure block diagram as shown in Figure 3.
Figure 3.
Photoelectric pod speed loop control structure block.
ωr = resonant center frequency; ζ = relative damping coefficient.
Mc = coulomb friction, as a constant; μ = viscous friction coefficient.
This paper innovatively proposes a design method of high-order ADRC(HO-ADRC) based on system model parameters. It requires that the parameter model of the system is determined through the system identification method, and then HO-ADRC should be designed to improve the stability accuracy of the system on the basis of unknown disturbance input. There are many ways of system identification, so this paper uses the least squares method commonly used in engineering for system identification. The least square method yields an unbiased, consistent estimator with system parameters of Gaussian white noise [29].
The difference equation of a linear system with single input and single output is shown in Equation (16):
= parameters to be identified. Taking a continuous value of k, the system of linear equations can be rewritten into a matrix form, as shown in Equation (17):
L = the total number of data.
zL, ϑ, vL, HL are rewritten as Equation (18):
The credibility of each u(k) and z(k) is supposed as W(k)0.5. Then, the weighted matrix
is defined as
Then, Equation (19) can be rewritten:
Redefine the minimum error criterion function:
Use the derivative Formula (23), where A = diagonal matrix. Then, the first-order partial derivative of the minimizing error criterion function at the parameter estimate ϑ0:
Moreover, the second-order partial derivative of the error criterion function satisfies the following conditions on the parameter estimation ϑ0:
So, the parameter estimate ϑ0 must make the criterion function minimal. ϑ0 is called the weighted least squares estimate of the parameter.
Set the weighting coefficient as W = 1, then ϑ0 can be reduced as
The sine sweep signal is given at the input of the system:
According to actual engineering experience, f takes 100 frequencies with a 2–200 Hz interval of 2 Hz and 10 cycles per frequency. The output signal of the open-loop system is shown in Figure 4.
Figure 4.
Input of open-loop system.
The identification system model is set as a single-input and single-output linear constant system, and the difference equation is shown in Equation (29). Determine the system order by using the Akaike information criterion (AIC) according to Equation (29), and the AIC is defined as shown in Equation (30):
where L = likelihood function of the model and p = number of parameters in the model.
After derivation, AIC is obtained as shown in Equation (31):
Figure 5 shows the new identified system has the best fit when na = 4 and nb = 1. The linear least squares method is used to identify the system of speed open-loop discrete model, as shown in Equation (32). The continuous system transfer function is shown in Equation (33). The observable canonical form corresponding to the discrete model is shown in Equation (34). Figure 6 shows an open-loop bode diagram of the identified system.
Figure 5.
AIC of all sample systems.
Figure 6.
Bode diagram of open-loop identified system.
Based on the above system identification results of the airborne photoelectric pod, the high-order ADRC(HO-ADRC) is designed. The HO-ADRC consists of three parts: tracking differentiator (TD), expansion state observer (ESO), and nonlinear state error feedback (NLSEF) [30].
According to the identified system transfer function, we can determine the fourth-order TD and the fifth-order ESO to establish the HO-ADRC.
The fourth-order TD is shown in Equation (35):
where h = simulation time interval; v1 = tracking signal input by the system, v2 = input first-order differential signal; v3 = input second-order differential signal; v4 = input third-order differential signal; fs = input fourth-order differential signal; u(t) = input signal; and r = fast factor of the tracking differential.
The fifth-order ESO is shown in Equation (36):
where z1 = estimate of the system output; z2 = estimate of the first-order differentiation of the system output; z3 = estimate of the second-order differentiation of the system output; z4 = estimate of the third-order differentiation of the system output; z5 = estimate of the system disturbance; and β01, β02, β03, β04, and β05 are the weight factors.
The NLSEF is shown in Equation (37):
where b01, b02, b03 = weight factors of NLSEF; α1, α2, α3 = nonlinear saturation factors; and δ = switching threshold. fal(e,α,δ) is shown in Equation (38):
3. Results
3.1. Parameters Setting of Comparison Experiment between HO-ADRC and PID
In order to make the comparison results more convincing, the various parameters of the HO-ADRC and PID in the simulation platform are adjusted. The regulation of the parameters optimizes the control system stability error. The table of parameter values is shown in Table 1.
Table 1.
Summary table of simulation parameters.
In practice, PID usually does not use differential signals. This is because differential signals are hardly obtained well in the actual system. Often, it will amplify the noise. The discrete step length is a fixed value whose size depends on the sampling frequency of the system.
The simulation parameters are set according to Table 1. The Bode diagram of the closed loop of PI and HO-ADRC is shown in Figure 7. As can be seen from Figure 7, the two control methods have achieved the best control performance according to the simulation parameters.
Figure 7.
Bode diagram of the closed-loop system with HO-ADRC and PID. (a) Bode diagram of the closed-loop system with HO-ADRC; (b) Bode diagram of the closed-loop system with PID.
In Figure 7a, the closed-loop curve has two resonant peaks: A and B. Generally speaking, the amplitude of point A should not exceed 3 dB, otherwise the bandwidth of the system (±3 dB) will be too low, leading to the poor control effect of the system. It is also required that the amplitude of point B should not exceed 0 dB, otherwise the noise influence will be increased. The same index requirements are still applicable to points D and E in Figure 7b. When calculating the system bandwidth, we should find the frequency point of the amplitude–frequency characteristic curve at −3 dB, as shown in C and F in Figure 7. In the conventional range, the larger the system bandwidth, the better the system control effect.
Table 2.
Closed-loop amplitude-frequency characteristic parameters.
Table 3.
Closed-loop bandwidth parameters.
As can be seen from Table 2, the amplitude of point A and point D is similar, but the frequency of point A is greater than that of point D. At bandwidth points C and F, it can be seen that the closed-loop bandwidth of the system using HO-ADRC is greater than that using PID. Point E, where the amplitude is −0.82 dB, is closer to 0 dB than point B, where the amplitude is −1.5 dB. This means that the parameters of the PID are closer to the “maximum ability” than the HO-ADRC. Through the closed-loop frequency characteristic curve, both methods achieve the optimization of their control, and the comparative test has a certain reference value.
3.2. Simulation Comparison of HO-ADRC and PID Control Performance for the Square Wave Speed Input Signal
The input signal is set as the square wave speed signal with an amplitude of 1 rad/s and a frequency of 4 Hz to compare the control effect of the HO-ADRC and PID. The comparative result plots are shown in Figure 8.
Figure 8.
Comparison of tracking performance between active disturbance rejection and PID for the square wave input signal. (a) Contrast detail diagram; (b) tracking error of PID and ADRC.
As can be seen from Figure 8, the output signal using the HO-ADRC has little overshoot and achieves the accuracy requirement of 98% in a relatively short time (10.9 ms). However, the output signal with PID reaches the accuracy requirement of 98% after 17.5 ms.
3.3. Comparison of HO-ADRC and PID Control Performance with Sinusoidal Speed Signal over Zero
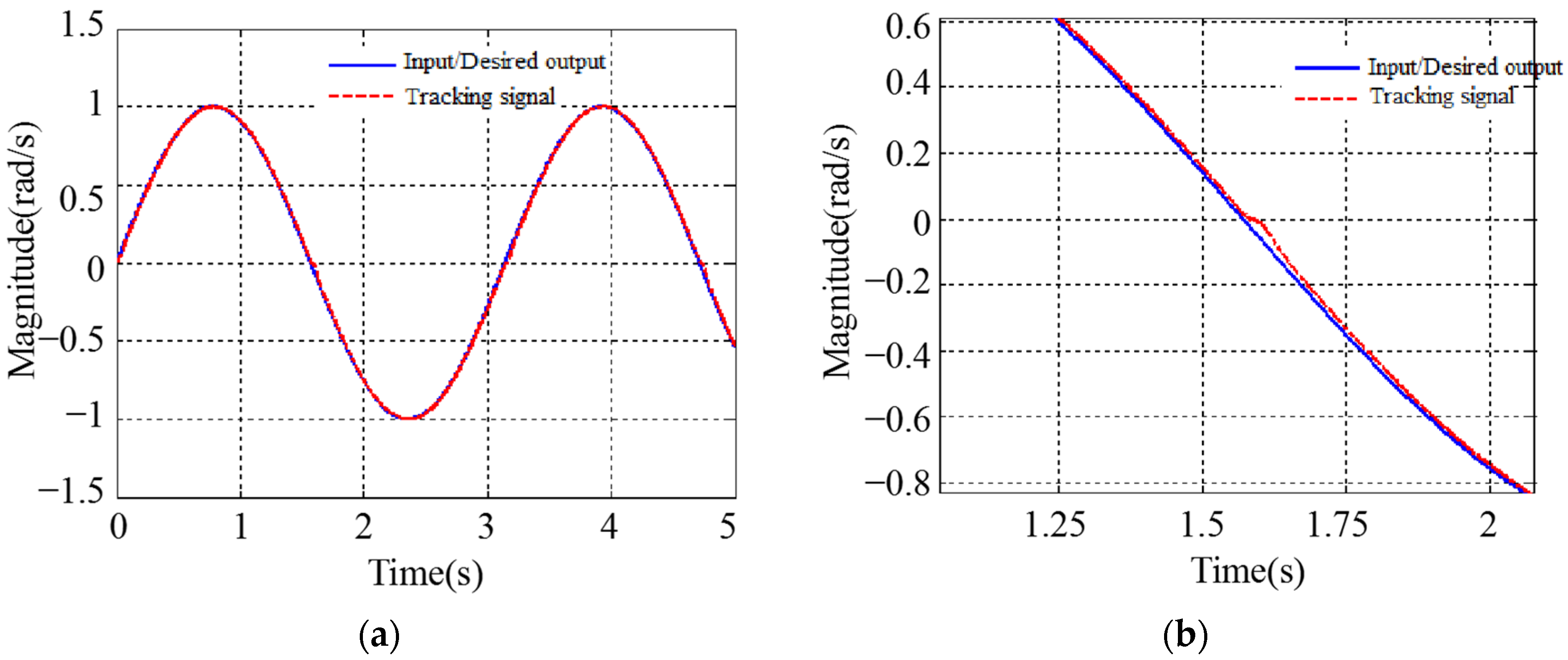
After comparing the square wave signal for input, the sinusoidal signals for input are also compared in this study. This aim is to compare the ability of the two control methods to suppress friction interference at a speed over zero. We input the sinusoidal speed signal with an amplitude of 3 rad/s and a frequency of 1 Hz to compare the control effect between the two methods. The results are shown in Figure 9 and Figure 10.
Figure 9.
Friction effect diagram at zero speed crossing. (a) The overall comparison diagram; (b) Contrast detail diagram.

Figure 10.
Tracking comparison diagram of HO-ADRC and PID at zero crossing of sinusoidal velocity signal. (a) Contrast detail diagram; (b) tracking deviation comparison diagram of HO-ADRC and PID by sinusoidal velocity signal input; (c) comparison of HO-ADRC and PID in disturbance suppression; (d) comparison of HO-ADRC and PID in noise suppression.
Figure 9 shows the friction curve at a speed over zero to compare the effects of the HO-ADRC and PID. We take Figure 9 as a reference benchmark to compare the tracking influence of the two methods, HO-ADRC and PID, in suppressing the friction-induced tracking influence when the speed passes through zero. The detailed comparison between the two methods can be seen in Figure 10. Figure 10 shows that both methods suppress the influence of the friction when the speed passes through zero. However, the effect of the HO-ADRC is better than that of PID. Figure 10b shows the comparison of tracking errors between the two methods under the sinusoidal speed signal in detail. Figure 10c,d show the comparison of the disturbance suppression and noise suppression capabilities between the HO-ADRC and PID methods.
In Figure 9, the friction is obvious when the speed is over zero and the speed is reversed. This, which is called staggy phenomenon, is due to the friction. Staggy phenomenon refers to the temporary stop due to the existence of static friction moment. The rotary shaft will not work normally until the motor torque is greater than the static friction torque.
Figure 10 shows the comparison of the HO-ADRC and PID tracking in the input sinusoidal velocity signal. It can be seen that HO-ADRC is better than PID when dealing with friction.
As can be seen from Figure 10, both methods can track the given sinusoidal speed signal well, but when the speed exceeds zero, HO-ADRC is less affected by friction, and the impact is half the impact of the PID. Figure 10b shows the deviation comparison of the two methods by the sinusoidal velocity signal input. At a speed over zero, the PID is 0.146 rad/s, compared with 0.077 rad/s of the HO-ADRC.
It can be seen that in the simulation platform, the control effect of HO-ADRC is better, and HO-ADRC is better than PID in terms of disturbance suppression ability.
We have also compared the disturbance suppression and noise suppression capabilities of the HO-ADRC and PID methods. The results are shown in Figure 10c,d.
As can be seen from Figure 10c, the residual disturbance using HO-ADRC is 0.001045 rad/s; in contrast, the residual disturbance using the PID method is 0.002562 rad/s. The denoising ability of the HO-ADRC is also better than PID in Figure 10d.
Therefore, in the case of the same “maximum ability”, the HO-ADRC is better than PID. The HO-ADRC has a fast response speed and almost no overshoot when tracking square wave signals. When tracking the sinusoidal speed signal, using the HO-ADRC has less tracking bias and a better ability to suppress perturbations. The tracking accuracy of the control system is increased from 0.146 rad/s to 0.077 rad/s, with an improvement of 89.61%. The disturbance inhibition effect is increased from 0.002562 rad/s to 0.001045 rad/s, an improvement of 145.17%.
It can be seen from the above simulation verification that the classical PID is inferior to the HO-ADRC in both stability, accuracy, and rapidity.
4. Discussion
The HO-ADRC absorbs the advantages of PID and fully integrates the advantages of modern control theory. It can uniformly treat the nonlinear uncertainty factors of the system as interference for observation, estimation, and compensation, and then use the nonlinear error feedback to transform the nonlinear problem into a linear problem. The role of the tracking differentiator is to arrange the transition process and obtain the differential signal while filtering. The expansion state observer borrows the idea of the state observer, defines the disturbance that can affect the object output as a new state variable and then uses a special feedback mechanism to establish the expansion state observer. The expansion state observer does not depend on the specific model of the generation disturbance, so the expansion state observer is a general and practical disturbance observer. The expanding state variable can observe the unknown disturbance of the system, and the observation results can be used to adopt the corresponding compensation strategy to achieve the purpose of high-precision control.
In the traditional PID control, the error feedback control law is the linear weighted sum of the integral, differential, and proportion of the error, and the differential signal of the error is difficult to obtain, so HO-ADRC proposes two optimization methods for this. The first is to use the tracking differentiator to obtain the differential signal, which solves the problem of acquiring the error differential signal in the linear PID. The second is to change the error feedback control law form and change the linear combination to the nonlinear combination.
Therefore, according to the identified model, the designed HO-ADRC can effectively reduce the tracking error (from 0.146 rad/s to 0.077 rad/s, 89.61% increase). At the same time, the stability error can be effectively reduced (from 0.002562 rad/s to 0.001045 rad/s, 145.17% increase). For the square wave for input signal, the system with the HO-ADRC responds faster and does not overshoot.
Author Contributions
Conceptualization, Z.Y. and S.S.; Methodology, Z.Y. and S.S.; Software, M.Z.; Formal analysis, S.S. and H.D.; Investigation, M.Z.; Resources, H.D.; Data curation, M.Z. and H.D.; Writing—review & editing, Z.Y.; Visualization, H.D. All authors have read and agreed to the published version of the manuscript.
Funding
This research received no external funding.
Institutional Review Board Statement
Not applicable.
Informed Consent Statement
Not applicable.
Data Availability Statement
Data sharing is restricted due to the relevant policy requirements of the authors’ institutional units.
Conflicts of Interest
The authors declare no conflict of interest.
References
- Li, W.; Wang, J.; Jin, Z. Development Status and Countermeasures of Helicopter Airborne Photoelectric Pod. Chin. J. Inert. Technol. 2004, 12, 75–80. [Google Scholar]
- Wu, Y.; Sun, C. Development and Operational Application of Compact Photoelectric Pod for Military UAV. Laser Infrared 2023, 53, 1568–1574. [Google Scholar]
- Liu, B.; Wang, C.; Cai, M. Application of Kalman Filter in Control of Gyro-stabilized Pod. J. Harbin Inst. Technol. 2010, 42, 1025–1028. [Google Scholar]
- Luan, J.; Yang, J.; Fan, G. Design of Infrared Imaging Guide Head Controller Based on Self-immunity Technology. Comput. Simul. 2011, 28, 75–79. [Google Scholar]
- Chen, L.; Hu, D.; Shang, J. Research on Self-disturbance Resistance Control Algorithm of Airborne Photoelectric Pod. Manuf. Autom. 2013, 35, 15–20. [Google Scholar]
- Ren, X.; Zhang, M.; Wen, Q.; Ma, R. Development Status of UAV-brone Photoelectric Pod Technology. Autom. Instrum. 2024, 39, 25–29. [Google Scholar]
- Han, J. Active Disturbance Rejection Control Technique. Front. Sci. 2007, 1, 24–31. [Google Scholar]
- Wang, D. Research on the Design of Missile Guidance System Based on Self-immunity Algorithm. Ph.D. Thesis, Harbin Institute of Technology, Harbin, China, 2012. [Google Scholar]
- Zheng, Q.; Dong, L.; Lee, D.H.; Gao, Z. Active Disturbance Rejection Control for MEMS Gyroscopes. In Proceedings of the 2008 American Control Conference, Seattle, WA, USA, 11–13 June 2008. [Google Scholar]
- Yong-guang, M.; Na, H.; Peng-fei, L.; Yan, L. Application of Self-immunity-based Multivariable Decoupling Control in a Ball Mill. Therm. Power Eng. 2007, 22, 297–300. [Google Scholar]
- Chen, W. Simulation Study of Non-linear Ship Heading. Ph.D. Thesis, Shandong University, Jinan, China, 2008. [Google Scholar]
- Wang, Y.; Yao, Y.; Bi, Y. Design of a Direct Force and Aerodynamic Dynamic Composite Control System Based on Self-immunity. J. Astronaut. 2009, 30, 1544–1550. [Google Scholar]
- Zhai, J.; Wang, H.; Chen, J.; Wang, P. Study on Self-disturbance Compensation of Large Aperture Optical Telescope. Photoelectr. Eng. 2007, 12, 12–15. [Google Scholar]
- Li, J. Research on Self-disturbance Control Technology of Airborne Photoelectric Reconnaissance Platform. Meas. Control Technol. 2010, 29, 41–45. [Google Scholar]
- Zhou, T. Self-immunity Control of Photoelectric Platform Servo System. Photoelectr. Eng. 2013, 40, 6–12. [Google Scholar]
- Che, X.; Jia, P.; Tian, D. A Survey of Line of Sight Control Technology for Airborne Photoelectric Payload. Opt. Precis. Eng. 2018, 26, 1643–1652. [Google Scholar]
- Ma, J.; Feng, H.; Wang, S. Research and Simulation of Stabilization Control Method for Optic-Electronic Pods. Comput. Simul. 2023, 40, 72–79. [Google Scholar]
- Mo, Y.; Tang, X. Research on Mechanical Resonance Suppression of Electric Servo System Based on An Improved ADRC. Syst. Eng. Electron. 2024, 46, 309–317. [Google Scholar]
- Zhang, X.; Sun, C.; Wu, J.; Zhang, J.; Li, Z. Improved Active Disturbance Rejection Control Based on Kalman Filter for Fast Steering Mirror. Chin. J. Lasers 2024, 42, 1306002. [Google Scholar]
- Gouvêa, J.A.; Fernandes, L.M.; Pinto, M.F.; Zachi, A.R.L. Variant ADRC design paradigm for controlling uncertain dynamical systems. Eur. J. Control 2023, 72, 100822. [Google Scholar] [CrossRef]
- Stankovic, M.; Ting, H.; Madonski, R. From PID to ADRC and back: Expressing error-based active disturbance rejection control schemes as standard industrial 1DOF and 2DOF controllers. Asian J. Control 2024. [Google Scholar] [CrossRef]
- Momir, D.; Momir, S. ADRC-Based Trajectory Tracking of Unmanned Tracked Vehicles Under High Slippage Disturbance. In Proceedings of the 14th IEEE International Conference on Electrical Engineering, ICEENG 2024, Cairo, Egypt, 21–23 May 2024. [Google Scholar]
- Mosayyebi, S.R.; Shahalami, S.H.; Mojallali, H. Speed control of a DFIG-based wind turbine using a new generation of ADRC. Int. J. Green Energy 2023, 20, 1669–1698. [Google Scholar] [CrossRef]
- Li, J.; Zhang, D. Comparison and Analysis of the Overall Architecture of Foreign EO Targeting Pod Detection System. Laser Infrared 2024, 53, 191–200. [Google Scholar]
- Huang, Y.; Zhang, T.; Ma, J.; Fu, C. Current Ring Control Technology in the High-precision Tracking Control System. Photoelectr. Eng. 2005, 32, 16–19. [Google Scholar]
- Yin, Z.; Gao, Z.; Zhu, M.; Dong, H.; He, P. Research on high precision tracking control technology of airborne laser weapon. Infrared Laser Eng. 2021, 50, 227–235. [Google Scholar]
- Chang, H.; Lu, S.; Zhang, S. Research on Resonance Suppression of Servo System Based on Matching Pursuit. Modul. Mach. Tool Autom. Manuf. Tech. 2023, 6, 111–113. [Google Scholar]
- Li, Z.; Ouyang, Z.; Zeng, C.; Sun, J.; Zhu, S. Review on Parameter Identification and Error Compensation Methods Based on LuGre Friction Mode. Manuf. Technol. Mach. Tool 2024, 04, 30–39. [Google Scholar]
- Jiang, H.; Wang, J.; Ding, F. Least-squares Iterative Identification of A Class of Inhomogeneous Sampling Systems. Syst. Eng. Electron. Technol. 2008, 30, 1535–1539. [Google Scholar]
- Cai, L. Research on Visual Axis Stabilization Technology of Carrier-based Photoelectric Theodolite Based on Gyro. Ph.D. Thesis, Changchun Institute of Optics, Fine Mechanics and Physics, Chinese Academy of Sciences, Changchun, China, 2011. [Google Scholar]
Disclaimer/Publisher’s Note: The statements, opinions and data contained in all publications are solely those of the individual author(s) and contributor(s) and not of MDPI and/or the editor(s). MDPI and/or the editor(s) disclaim responsibility for any injury to people or property resulting from any ideas, methods, instructions or products referred to in the content. |
© 2024 by the authors. Licensee MDPI, Basel, Switzerland. This article is an open access article distributed under the terms and conditions of the Creative Commons Attribution (CC BY) license (https://creativecommons.org/licenses/by/4.0/).