Long-Term Amendment with Sewage Sludge: Effects on Nutrient Value and Trace-Metal Content in Different Parts of Maize Plants
Abstract
1. Introduction
2. Materials and Methods
2.1. Site Description
2.2. Experimental Design
2.3. Field Samplings and Analytical Methods
2.4. Statistical Analyses
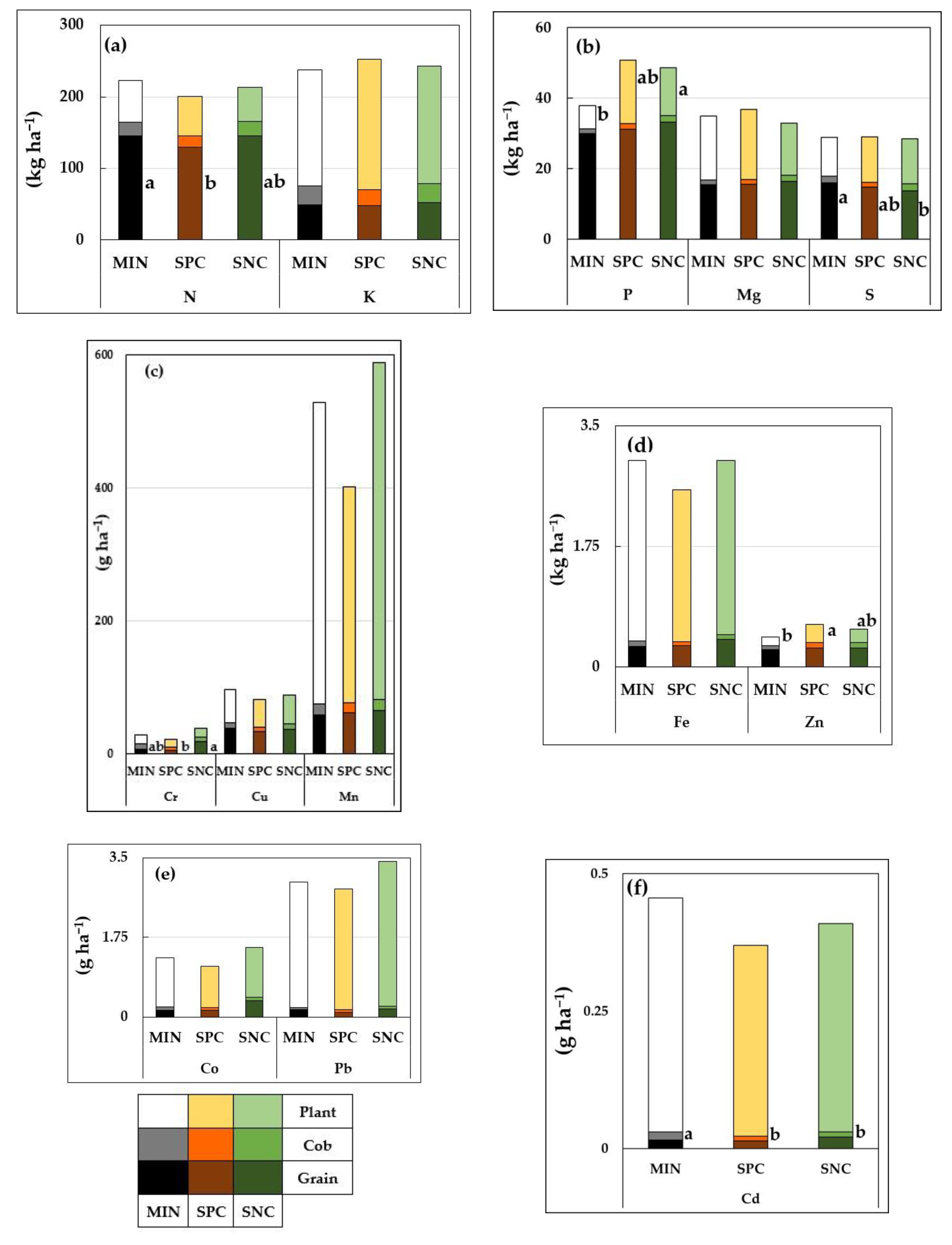
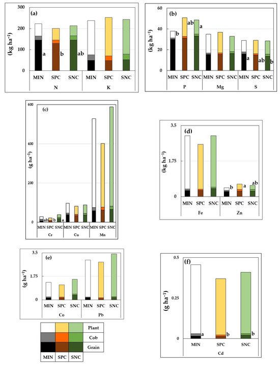
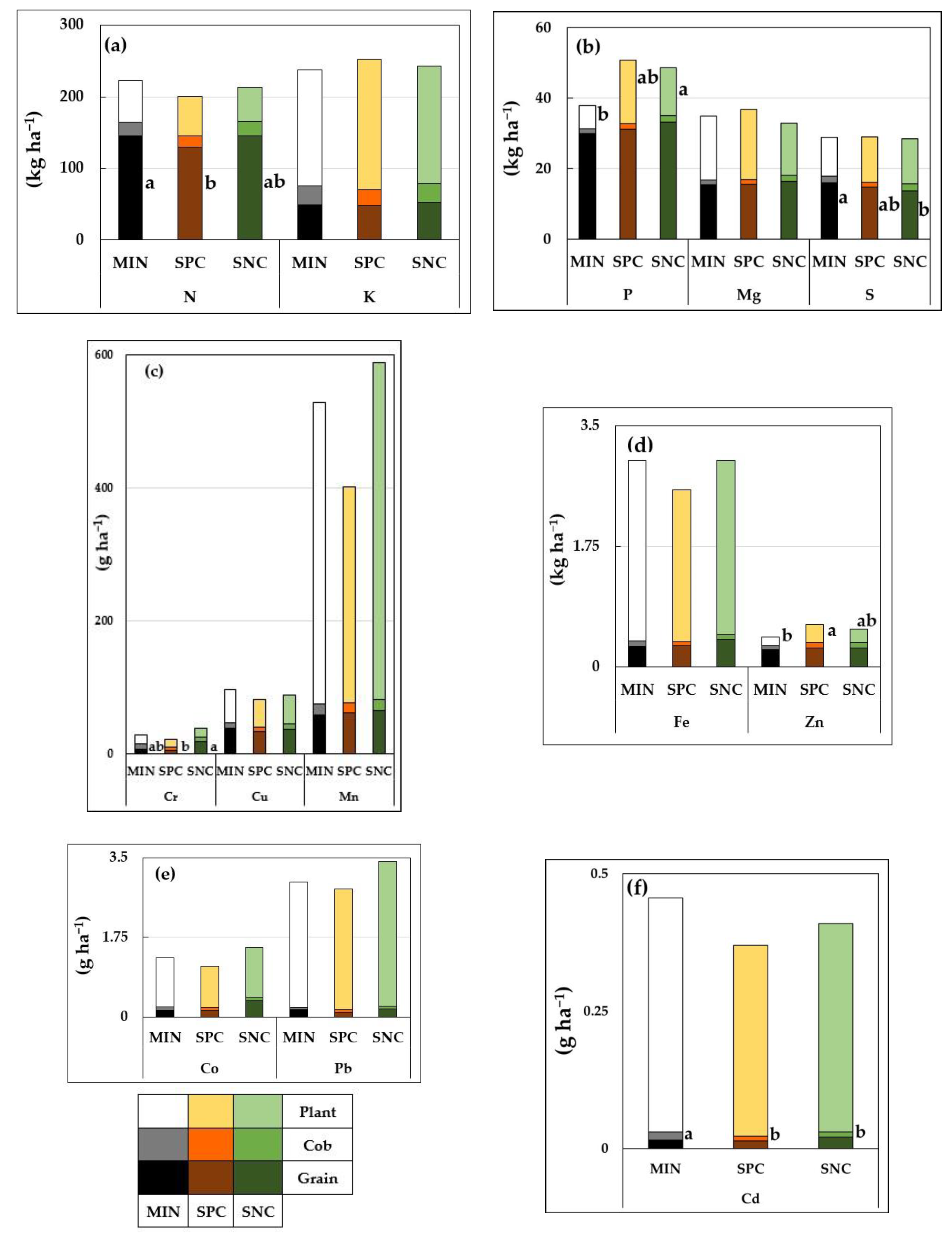
3. Results
4. Discussion
4.1. DTPA-Extractable Soil Elements
4.2. Fractioned Plant Concentrations and Extractions
5. Conclusions
Author Contributions
Funding
Institutional Review Board Statement
Informed Consent Statement
Data Availability Statement
Acknowledgments
Conflicts of Interest
Appendix A
| Source | df | Fe | Cd | Cu | Mn | Pb | Zn | ||||||
|---|---|---|---|---|---|---|---|---|---|---|---|---|---|
| SS | p | SS | p | SS | p | SS | p | SS | p | SS | p | ||
| FT | 2 | 166,754,162 | 0.001 | 60.01 | 0.027 | 19,971,891 | 0.0006 | 6,487,079 | 0.0003 | 1299 | 0.71 | 16,075,643 | 0.0015 |
| Block | 3 | 63,827,415 | 0.020 | 22.33 | 0.230 | 1,327,846 | 0.2320 | 39,040 | 0.8494 | 10,967 | 0.21 | 660,911 | 0.0001 |
| Error | 5 | 12,344,073 | - | 18.46 | - | 1,104,125 | - | 247,114 | - | 10,748 | - | 39,031 | - |
| Source | df | Grain | Cob | Plant | |||
|---|---|---|---|---|---|---|---|
| SS | p | SS | p | SS | p | ||
| FT | 2 | 33,685,844 | 0.10 | 686,344 | 0.11 | 2,230,355 | 0.65 |
| Block | 3 | 7,652,462 | 0.68 | 79,896 | 0.85 | 22,793,825 | 0.11 |
| Error | 6 | 29,169,874 | - | 617,864 | - | 14,631,015 | - |
| Source | df | N (Grain) | N (Cob) | N (Plant) | P (Grain) | P (Cob) | P (Plant) | ||||||
|---|---|---|---|---|---|---|---|---|---|---|---|---|---|
| SS | p | SS | p | SS | p | SS | p | SS | p | SS | p | ||
| FT | 2 | 0.011 | 0.56 | 0.058 | 0.09 | 0.0378 | 0.51 | 123,428 | 0.60 | 169,711 | 0.01 | 1,850,631 | 0.20 |
| Block | 3 | 0.007 | 0.85 | 0.045 | 0.23 | 0.0202 | 0.84 | 269,318 | 0.53 | 15,468 | 0.66 | 2,450,452 | 0.23 |
| Error | 6 | 0.051 | - | 0.048 | - | 0.1479 | - | 665,227 | - | 54,989 | - | 2,602,463 | - |
| Source | df | K (Grain) | K (Cob) | K (Plant) | Mg (Grain) | Mg (Cob) | Mg (Plant) | ||||||
|---|---|---|---|---|---|---|---|---|---|---|---|---|---|
| SS | p | SS | p | SS | p | SS | p | SS | p | SS | p | ||
| FT | 2 | 67,144 | 0.74 | 3,781,861 | 0.50 | 920,903 | 0.81 | 10,770 | 0.88 | 132,405 | 0.12 | 285,445 | 0.42 |
| Block | 3 | 364,965 | 0.41 | 4,347,902 | 0.64 | 11,757,136 | 0.24 | 58,825 | 0.72 | 61,896 | 0.47 | 308,251 | 0.57 |
| Error | 6 | 649,401 | - | 14,393,586 | - | 12,615,651 | - | 251,639 | - | 128,177 | - | 841,306 | - |
| Source | df | Fe (Grain) | Fe (Cob) | Fe (Plant) | Mn (Grain) | Mn (Cob) | Mn (Plant) | ||||||
|---|---|---|---|---|---|---|---|---|---|---|---|---|---|
| SS | p | SS | p | SS | p | SS | p | SS | p | SS | p | ||
| FT | 2 | 137,678,135 | 0.01 | 32,487,362 | 0.69 | 6,143,637,854 | 0.07 | 845,844 | 0.18 | 1,971,321 | 0.03 | 794,809,440 | 0.25 |
| Block | 3 | 122,150,343 | 0.04 | 119,603,932 | 0.46 | 609,140,208 | 0.84 | 1,023,623 | 0.23 | 1,003,678 | 0.20 | 242,565,589 | 0.79 |
| Error | 6 | 31,904,124 | - | 242,419,913 | - | 4,427,044,422 | - | 1,083,892 | - | 935,025 | - | 1,363,654,625 | - |
| Source | df | S (Grain) | S (Cob) | S (Plant) | Cu (Grain) | Cu (Cob) | Cu (Plant) | ||||||
|---|---|---|---|---|---|---|---|---|---|---|---|---|---|
| SS | p | SS | p | SS | p | SS | p | SS | p | SS | p | ||
| FT | 2 | 104,348 | 0.23 | 23,981 | 0.75 | 57,029 | 0.27 | 108,496 | 0.52 | 106,571 | 0.59 | 2,906,122 | 0.19 |
| Block | 3 | 37,308 | 0.73 | 49,200 | 0.75 | 65,748 | 0.37 | 118,848 | 0.67 | 663,169 | 0.16 | 967,543 | 0.70 |
| Error | 6 | 165,273 | - | 237,930 | - | 105,677 | - | 440,236 | - | 548,684 | - | 3,911,138 | - |
| Source | df | Zn (Grain) | Zn (Cob) | Zn (Plant) | |||
|---|---|---|---|---|---|---|---|
| SS | p | SS | p | SS | p | ||
| FT | 2 | 16,527,972 | 0.53 | 454,364,435 | 0.16 | 324,683,832 | 0.08 |
| Block | 3 | 15,949,474 | 0.73 | 154,910,276 | 0.65 | 119,972,412 | 0.44 |
| Error | 6 | 70,675,662 | - | 541,500,685 | - | 188,169,463 | - |
| Source | df | Cd (Grain) | Cd (Cob) | Cd (Plant) | Co (Grain) | Co (Cob) | Co (Plant) | ||||||
|---|---|---|---|---|---|---|---|---|---|---|---|---|---|
| SS | p | SS | p | SS | p | SS | p | SS | p | SS | p | ||
| FT | 2 | 0.50 | 0.53 | 4.66 | 0.17 | 240 | 0.07 | 628 | 0.05 | 32 | 0.80 | 1199 | 0.03 |
| Block | 3 | 0.12 | 0.95 | 1.09 | 0.78 | 76 | 0.49 | 338 | 0.25 | 90 | 0.73 | 155 | 0.65 |
| Error | 6 | 2.13 | - | 5.83 | - | 166 | - | 375 | - | 411 | - | 541 | - |
| Source | df | Cr (Grain) | Cr (Cob) | Cr (Plant) | Pb (Grain) | Pb (Cob) | Pb (Plant) | ||||||
|---|---|---|---|---|---|---|---|---|---|---|---|---|---|
| SS | p | SS | p | SS | p | SS | p | SS | p | SS | p | ||
| FT | 2 | 3,407,017 | 0.016 | 269,658 | 0.88 | 132,999 | 0.045 | 67 | 0.48 | 8.9 | 0.95 | 8783 | 0.003 |
| Block | 3 | 751,588 | 0.354 | 1,445,869 | 0.71 | 130,856 | 0.09 | 224 | 0.28 | 389.5 | 0.33 | 1800 | 0.151 |
| Error | 6 | 114,5954 | - | 6,109,310 | - | 73,775 | - | 108 | - | 438.6 | - | 1406 | - |
| Source | df | N (Grain) | N (Cob) | N (Plant) | P (Grain) | P (Cob) | P (Plant) | ||||||
|---|---|---|---|---|---|---|---|---|---|---|---|---|---|
| SS | p | SS | p | SS | p | SS | p | SS | p | SS | p | ||
| FT | 2 | 2798 | 0.036 | 16.7 | 0.38 | 68.0 | 0.90 | 19.3 | 0.63 | 0.40 | 0.08 | 271.6 | 0.07 |
| Block | 3 | 7415 | 0.008 | 137.1 | 0.03 | 638.0 | 0.60 | 522 | 0.01 | 0.99 | 0.03 | 146.4 | 0.31 |
| Error | 6 | 1375 | - | 43.5 | - | 1923.7 | - | 116 | - | 0.31 | - | 194.9 | - |
| Source | df | K (Grain) | K (Cob) | K (Plant) | Mg (Grain) | Mg (Cob) | Mg (Plant) | ||||||
|---|---|---|---|---|---|---|---|---|---|---|---|---|---|
| SS | p | SS | p | SS | p | SS | p | SS | p | SS | p | ||
| FT | 2 | 151 | 0.33 | 7.3 | 0.82 | 2014.3 | 0.31 | 9.9 | 0.297 | 0.25 | 0.38 | 39.2 | 0.40 |
| Block | 3 | 1096 | 0.03 | 92.5 | 0.27 | 2014.1 | 0.47 | 112.3 | 0.007 | 0.10 | 0.82 | 14.3 | 0.85 |
| Error | 6 | 340 | - | 109.0 | - | 4206.4 | - | 19.9 | - | 0.65 | - | 108.8 | - |
| Source | df | S (Grain) | S (Cob) | S (Plant) | Cu (Grain) | Cu (Cob) | Cu (Plant) | ||||||
|---|---|---|---|---|---|---|---|---|---|---|---|---|---|
| SS | p | SS | p | SS | p | SS | p | SS | p | SS | p | ||
| FT | 2 | 53.5 | 0.05 | 0.27 | 0.58 | 18.8 | 0.11 | 204.1 | 0.12 | 4.9 | 0.18 | 80.2 | 0.86 |
| Block | 3 | 24.8 | 0.30 | 0.61 | 0.49 | 9.9 | 0.40 | 433.1 | 0.06 | 23.2 | 0.02 | 547.3 | 0.59 |
| Error | 6 | 32.7 | - | 1.36 | - | 16.9 | - | 198.5 | - | 6.5 | - | 1568.3 | - |
| Source | df | Fe (Grain) | Fe (Cob) | Fe (Plant) | Mn (Grain) | Mn (Cob) | Mn (Plant) | ||||||
|---|---|---|---|---|---|---|---|---|---|---|---|---|---|
| SS | p | SS | p | SS | p | SS | p | SS | p | SS | p | ||
| FT | 2 | 12,141 | 0.17 | 697.6 | 0.32 | 217,687 | 0.55 | 0.00006470 | 0.583 | 0.00000086 | 0.678 | 0.062 | 0.35 |
| Block | 3 | 44,910 | 0.04 | 2437.8 | 0.10 | 167,888 | 0.80 | 0.00219073 | 0.005 | 0.00003411 | 0.008 | 0.037 | 0.69 |
| Error | 6 | 11,979 | - | 1522.6 | - | 1,000,876 | - | 0.00032780 | - | 0.00000621 | - | 0.147 | - |
| Source | df | Zn (Grain) | Zn (Cob) | Zn (Plant) | |||
|---|---|---|---|---|---|---|---|
| SS | p | SS | p | SS | p | ||
| Treatments | 2 | 729 | 0.82 | 986 | 0.41 | 52,518.96 | 0.08 |
| Block | 3 | 31,361 | 0.03 | 415 | 0.83 | 16,797.76 | 0.49 |
| Error | 6 | 11,025 | - | 2867 | - | 30,398.92 | - |
| Source | df | Cd (Grain) | Cd (Cob) | Cd (Plant) | Co (Grain) | Co (Cob) | Co (Plant) | ||||||
|---|---|---|---|---|---|---|---|---|---|---|---|---|---|
| SS | p | SS | p | SS | p | SS | p | SS | p | SS | p | ||
| FT | 2 | 147 | 0.55 | 49.7 | 0.04 | 7834 | 0.63 | 142 | 0.16 | 233,305,991 | 0.66 | 66.5 | 0.18 |
| Block | 3 | 206 | 0.63 | 31.1 | 0.18 | 7752 | 0.81 | 124 | 0.31 | 2,201,358,897 | 0.13 | 79.9 | 0.24 |
| Error | 6 | 672 | - | 27.3 | - | 47,660 | - | 169 | - | 1,554,154,077 | - | 87.1 | - |
| Source | df | Cr (Grain) | Cr (Cob) | Cr (Plant) | Pb (Grain) | Pb (Cob) | Pb (Plant) | ||||||
|---|---|---|---|---|---|---|---|---|---|---|---|---|---|
| SS | p | SS | p | SS | p | SS | p | SS | p | SS | p | ||
| FT | 2 | 734.5 | 0.049 | 5.47 | 0.54 | 3.4 | 0.66 | 8188 | 0.54 | 32.0 | 0.97 | 625,875 | 0.41 |
| Block | 3 | 351.9 | 0.275 | 27.54 | 0.18 | 4.6 | 0.75 | 46,296 | 0.20 | 4438.2 | 0.15 | 1,191,436 | 0.36 |
| Error | 6 | 426.1 | - | 24.03 | - | 22.6 | - | 16,027 | - | 2720.1 | - | 1,837,439 | - |
References
- European Comission. Proposal for a Directive of the European Parliament and of the Council Concerning Urban Wastewater Treatment (Recast). Available online: https://eur-lex.europa.eu/legal-content/EN/TXT/?uri=CELEX%3A52022PC0541&qid=1668778087100 (accessed on 5 August 2024).
- Directive 2008/98/EC of the European Parliament and of the Council of 19 November 2008 on Waste and Repealing Certain Directives. Available online: http://data.europa.eu/eli/dir/2008/98/2024-02-18 (accessed on 5 August 2024).
- Ministerio de Medio Ambiente y Medio Rural y Marino. Caracterización de los Lodos de Depuradoras Generados en España; MARM: Madrid, Spain, 2009; Available online: https://www.miteco.gob.es/es/calidad-y-evaluacion-ambiental/publicaciones/lodos.html (accessed on 5 August 2024).
- Lodos de Depuración de Aguas Residuales. Available online: https://www.miteco.gob.es/en/calidad-y-evaluacion-ambiental/temas/prevencion-y-gestion-residuos/flujos/lodos-depuradora.html (accessed on 5 August 2024).
- Nkinahamira, F.; Suanon, F.; Chi, Q.; Li, Y.; Feng, M.; Huang, X.; Yu, C.-P.; Sun, Q. Occurrence, geochemical fractionation, and enviornmental risk assessment of major and trace elements in sewage sludge. J. Environ. Manag. 2019, 249, 109427. [Google Scholar] [CrossRef] [PubMed]
- Navarro-Pedreño, J.; Almendro-Candel, M.B.; Jordán-Vidal, M.M.; Mataix-Solera, J.; García-Sánchez, E. Mobility of cadmium, chromium, and nickel through the profile of a calcisol treated with sewage sludge in the southeast of Spain. Environ. Earth Sci. 2003, 44, 545–553. [Google Scholar] [CrossRef]
- Pascual, I.; Antolín, M.C.; García, C.; Polo, A.; Sánchez-Díaz, M. Plant availability of heavy metals in a soil amended with a high dose of sewage sludge under drought conditions. Biol. Fertil. Soil 2004, 40, 291–299. [Google Scholar] [CrossRef]
- Morera, M.Y.; Echevarría, J.C.; Garrido, J.J. Mobility of heavy metals in soils amended with sewage sludge. Can. J. Soil Sci. 2011, 81, 405–414. [Google Scholar] [CrossRef]
- Wierzbowska, J.; Sienkiewicz, S.; Załuski, D. Nitrogen fractions in soil fertilized with waste organic materials. Agronomy 2021, 11, 1474. [Google Scholar] [CrossRef]
- Nepal, A.; Antonious, G.F.; Bebe, F.N.; Webster, T.C.; Gyawali, B.R.; Neupane, B. Heavy metal accumulation in three varieties of mustard grown under five soil management practices. Environments 2024, 11, 77. [Google Scholar] [CrossRef]
- Hamdia, H.; Hechmia, S.; Khelilb, M.N.; Zoghlamia, I.R.; Benzartic, S.; Mokni-Tlilia, S.; Hassena, A.; Jedidia, N. Repetitive land application of urban sewage sludge: Effect of amendment rates and soil texture on fertility and degradation parameters. Catena 2018, 172, 11–20. [Google Scholar] [CrossRef]
- Arrobas, M.; Meneses, R.; Gusmão, A.G.; da Silva, J.M.; Correia, C.M.; Rodrigues, M.Â. Nitrogen-Rich Sewage Sludge Mineralized Quickly, Improving Lettuce Nutrition and Yield, with Reduced Risk of Heavy Metal Contamination of Soil and Plant Tissues. Agronomy 2024, 14, 924. [Google Scholar] [CrossRef]
- Rodrigues, M.Â.; Sawimbo, A.; da Silva, J.M.; Correia, C.M.; Arrobas, M. Sewage sludge increased lettuce yields by releasing valuable nutrients while keeping heavy metals in soil and plants at levels well below international legislative limits. Horticulturae 2024, 10, 706. [Google Scholar] [CrossRef]
- Namdari, M.; Soleimani, M.; Mirghaffari, N.; Kharrazi, S.M. Effect of biological sewage sludge and its derived biochar on accumulation of potentially toxic elements by corn (Zea mays L.). Sci. Rep. 2024, 14, 5985. [Google Scholar] [CrossRef]
- Demitrelos, E.; Koukoulakis, P.H.; Kyritsis, S.S.; Bountla, A.; Isari, E.; Kalavrouziotis, I.K. Impact of elemental interactions on soil metal availability and growth of ryegrass (Lolium perenne L.) under wastewater and biosolids. Water Air Soil Pollut. 2022, 233, 96. [Google Scholar] [CrossRef]
- Zaragüeta, A.; Enrique, A.; Virto, I.; Antón, R.; Urmeneta, H.; Orcaray, L. Effect of the long-term application of sewage sludge to a calcareous soil on its total and bioavailable content in trace elements, and their transfer to the crop. Minerals 2021, 11, 356. [Google Scholar] [CrossRef]
- Iglesias, M.; Marguí, E.; Camps, F.; Hidalgo, M. Extractability and crop transfer of potentially toxic elements from mediterranean agricultural soils following long-term sewage sludge applications as a fertilizer replacement to barley and maize crops. J. Waste Manag. 2018, 75, 312–318. [Google Scholar] [CrossRef]
- Kanengoni, A.T.; Chimonyo, M.; Ndimba, B.K.; Dzama, K. Potential of using maize cobs in pig diets—A review. Asian Australas. J. Anim. Sci. 2015, 28, 1669–1679. [Google Scholar] [CrossRef]
- Real Decreto 1310/1990, de 29 de Octubre, por el que se Regula la Utilización de los Lodos de Depuración en el Sector Agrario. Available online: https://www.boe.es/eli/es/rd/1990/10/29/1310/con (accessed on 5 August 2024).
- Real Decreto 1051/2022, de 27 de Diciembre, por el que se Establecen Normas para la Nutrición Sostenible en los Suelos Agrarios. Available online: https://www.boe.es/eli/es/rd/2022/12/27/1051 (accessed on 5 August 2024).
- Directive 2002/32/EC of the European Parliament and of the Council of 7 May 2002 on Undesirable Substances in Animal Feed. Available online: http://data.europa.eu/eli/dir/2002/32/2019-11-28 (accessed on 5 August 2024).
- Commission Regulation (EU) 2023/915 of 25 April 2023 on Maximum Levels for Certain Contaminants in Food and Repealing Regulation (EC) No 1881/2006. Available online: http://data.europa.eu/eli/reg/2023/915/2024-04-25 (accessed on 5 August 2024).
- UNE 77322:2003; Soil Quality. Extraction of Trace Elements Soluble in Agua Regia. Available online: https://www.une.org/encuentra-tu-norma/busca-tu-norma/norma/?c=N0028932 (accessed on 5 August 2024).
- Feng, M.-H.; Shan, X.-Q.; Zhang, S.; Wen, B. A comparison of the rhizosphere-based method with DTPA, EDTA, CaCl2, and NaNO3 extraction methods for prediction of bioavailability of metals in soil to barley. Environ. Pollut. 2005, 137, 231–240. [Google Scholar] [CrossRef]
- DECRET 136/2009, d’1 de Setembre, d’Aprovació del Programa d’Actuació Aplicable a les Zones Vulnerables en Relació amb la Contaminació de Nitrats que Procedeixen de Fonts Agràries i de Gestió de les Dejeccions Ramaderes. Available online: https://portaljuridic.gencat.cat/eli/es-ct/d/2009/09/01/136 (accessed on 5 August 2024).
- Soil Survey Staff. Keys to Soil Taxonomy, 13th ed.; USDA-Natural Resources Conservation Services: Washington, DC, USA, 2022. [Google Scholar]
- Camps-Sagué, F. (IRTA Mas Badia, Agricultural Experimental Station Mas Badia, La Tallada d’Empordà, Girona, Spain). Personal communication, 2024. [Google Scholar]
- Walkley, A.; Black, I.A. An examination of the Degtjareff method for determining soil organic matter, and a proposed modification of the chromic acid titration method. Soil Sci. 1934, 37, 29–38. [Google Scholar] [CrossRef]
- Pansu, M.; Gautheyrou, J. Chapter 29: Phosphorus. In Handbook of Soil Analysis. Mineralogical, Organic and Inorganic Methods; Pansu, M., Gautheyrou, J., Eds.; Springe: Dordrecht, The Netherlands, 2003; p. 809. [Google Scholar]
- Hendershot, W.H.; Lalande, H.; Duquette, M. Ion exchange and exchangeable cations. In Soil Sampling and Methods of Analysis, 2nd ed.; Carter, M.R., Gregorich, E.G., Eds.; Canadian Society of Soil Science, CRC Press and Taylor and Francis Group: Boca Raton, FL, USA, 2008; pp. 197–206. [Google Scholar]
- UNE.EN 16174; Sludge, Treated Biowaste and Soil—Digestion of Aqua Regia Soluble Fractions of Elements. Asociación Española de Normalización y Certificación: Madrid, España, 2012.
- Baker, D.E.; Amacher, M.C. Nickel, copper, zinc and cadmium. In Methods of Soil Analysis, Part 2, Chemical and Microbiological Properties, 2nd ed.; Page, A.L., Ed.; ASA, SSSA: Madison, WI, USA, 1982; pp. 323–336. [Google Scholar]
- González, D.; Almendros, P.; Álvarez, J.M. Métodos de análisis de elementos en suelos: Disponibilidad y fraccionamiento. An. Quím. RSEQ 2009, 105, 205–212. [Google Scholar]
- UNE-EN 16171; Sludge, Treated Biowaste and Soil—Determination of Elements Using Inductively Coupled Plasma Mass Spectrometry (ICP-MS). Asociación Española de Normalización y Certificación: Madrid, España, 2012.
- McGill, W.B.; Figuereido, C.T. Chapter 22: Total Nitrogen. In Soil Sampling and Method of Analysis; Carter, M., Ed.; CRC Press: Boca Raton, FL, USA, 1993; pp. 201–207. [Google Scholar]
- UNE-EN 15621; Alimentos para Animales. Métodos de Muestreo y Análisis. Determinación del Calcio, Sodio, Fósforo, Magnesio, Potasio, Azufre, Hierro, Zinc, Cobre, Manganeso y Cobalto tras Digestión bajo Presión mediante ICP-AES. Asociación Española de Normalización y Certificación: Madrid, España, 2018.
- UNE-EN ISO 6869:2001; Alimentos para Animales. Determinación del Contenido de Calcio, Cobre, Hierro, Magnesio, Manganeso, Potasio, Sodio y Zinc. Método por Espectrometría de Absorción Atómica. Asociación Española de Normalización y Certificación: Madrid, España, 2001.
- SAS Institute Inc. SAS/TAT; Software V 9.4; SAS Institute: Cary, NC, USA, 2002. [Google Scholar]
- Decree 153/2019, of 3rd July, on the Management of Soil Fertilization and Manure, and the Implementation of the Action Program in Vulnerable Areas in Relation to Nitrate Pollution from Agricultural Sources. Available online: https://portaljuridic.gencat.cat/eli/es-ct/d/2019/07/03/153 (accessed on 26 August 2024).
- Epstein, E. Land Application of Sewage Sludge and Biosolids, 1st ed.; CRC Press: Boca Raton, FL, USA, 2002. [Google Scholar]
- Shakoor, A.; Bosch-Serra, À.D.; Olarieta Alberdi, J.R.; Herrero, C. Seven years of pig slurry fertilization: Impacts on soil chemical properties and the element content of winter barley plants. Environ. Sci. Pollut. Res. 2022, 29, 74655–74668. [Google Scholar] [CrossRef]
- Ortiz, C.; Pierotti, S.; Molina, M.G.; Bosch-Serra, À.D. Soil fertility and phosphorus leaching in irrigated calcareous soils of the mediterranean region. Environ. Monit. Assess. 2023, 195, 1376. [Google Scholar] [CrossRef] [PubMed]
- Martens, D.C.; Lindsay, W.L. Testing soils for copper, iron, manganese, and zinc. In Soil Testing and PLANT analysis, 3rd ed.; Westermann, R.L., Ed.; SSSA: Madison, WI, USA, 1990; pp. 229–264. [Google Scholar]
- Loué, A. Les Oligo-Éléments en Agriculture, 7th ed.; Agri-Nathan International: Paris, France, 1986. [Google Scholar]
- Gu, X.; Sun, J.; Evans, L.J. The development of a multi-surface soil speciation model for Cd (II) and Pb (II): Comparison of two approaches for metal adsorption to clay fractions. Appl. Geochem. 2014, 47, 99–108. [Google Scholar] [CrossRef]
- Pardo, F.; Jordán, M.M.; Sanfeliu, T.; Pina, S. Distribution of Cd, Ni, Cr, and Pb in amended soils from Alicante province (SE, Spain). Water Air Soil Pollut. 2011, 217, 535–543. [Google Scholar] [CrossRef]
- Abadía, J.; Millán, E.; Montañés, L.; García, L. DTPA and NH4 HCO3-DTPA extractable Fe, Mn and Zn levels in the Ebro Valley. An. Estac. Exp. 1980, 15, 181–193. Available online: https://digital.csic.es/bitstream/10261/22044/1/ANALES15-1-2Abad%c3%adaJ%2cMill%c3%a1nL.pdf (accessed on 5 August 2024).
- Moral, R.; Gilkes, R.J.; Jordán, M.M. Distribution of heavy metals in calcareous and non-calcareous soils in Spain. Water Air Soil Pollut. 2005, 162, 127–142. [Google Scholar] [CrossRef]
- Sánchez Alcalá, I. Bioavailability of Iron in Calcareous Soils: Microbial Reduction and Nanofertilizer Application. Ph.D. Thesis, Universidad de Córdoba, Córdoba, Spain, 2012. [Google Scholar]
- Jones, J.B. Plant Nutrition and Soil Fertility Manual: How to Make Soil Fertility Plant Nutrition Principles Work, 2nd ed.; CRC Press: Boca Raton, FL, USA, 2012. [Google Scholar]
- Macnicol, R.D.; Beckett, P.H.T. Critical tissue concentrations of potentially toxic elements. Plant Soil 1985, 85, 107–129. [Google Scholar] [CrossRef]
- Ling, T.; Gao, Q.; Dua, H.; Zhao, Q.; Ren, J. Growing, physiological responses and Cd uptake of corn (Zea mays L.) under different Cd supply. Chem. Spec. Bioavailab. 2017, 29, 216–221. [Google Scholar] [CrossRef]
- Shim, S.C.; Vose, P.B. Varietal differences in the kinetics of iron uptake by excised roots. J. Exp. Bot. 1965, 16, 216–232. [Google Scholar] [CrossRef]
- Aref, F. Manganese, iron and copper contents in leaves of maize plants (Zea mays L.) grown with different boron and zinc micronutrients. Afr. J. Biotechnol. 2012, 11, 896–903. [Google Scholar] [CrossRef]
- Reuter, D.J.; Robinson, J.B. Plant Analysis: An Interpretation Manual, 2nd ed.; CSIRO: Collingwood, ON, USA, 1997. [Google Scholar]
- Keigler, J.I.; Wiesinger, J.A.; Flint-Garcia, S.A.; Glahn, R.P. Iron bioavailability of maize (Zea mays L.) after removing the germ fraction. Front. Plant Sci. 2023, 14, 1114760. [Google Scholar] [CrossRef]
- Hindu, V.; Palacios-Rojas, N.; Babu, R.; Suwarno, W.B.; Zerka, R.; Usha, R.; Saykhedkar, G.R.; Nair, S.K. Identificaction and validaton of genomic regions influencing kernel zinc and iron in maize. Theor. Appl. Genet. 2018, 131, 1443–1457. [Google Scholar] [CrossRef]
- Bratakos, M.S.; Lazos, E.S.; Bratakos, S.M. Chromium content of selected Greek foods. Sci. Total Environ. 2002, 290, 47–58. [Google Scholar] [CrossRef]
- Bryan, M.A.; Socha, M.T.; Tomlinson, D.J. Supplementing intensively grazed late-gestation and early lactation dairy cattle with chromium. J. Dairy. Sci. 2004, 87, 4269–4277. [Google Scholar] [CrossRef] [PubMed]
- Lashkari, S.; Habibian, M.; Jensen, S.K. A review on the role of chromium supplementation in rumiant nutrition-effects on productive performance, blood metabolite, antioxidant status, and immunocompetence. Biol. Trace Elem. Res. 2018, 186, 305–321. [Google Scholar] [CrossRef]
- European Food Safety Authority (EFSA). Scientific Opinion on the substantiation of health claims related to chromium and contribution to normal macronutrient metabolism (ID 260, 401, 4665, 4666, 4667), maintenance of normal blood glucose concentrations (ID 262, 4667), contribution to the maintenance or achievement of a normal body weight (ID 339, 4665, 4666), and reduction of tiredness and fatigue (ID 261) pursuant to Article 13(1) of Regulation (EC) No 1924/2006. EFSA J. 2010, 8, 1723–1746. [Google Scholar] [CrossRef][Green Version]
- Sauvant, D.; Pérez, J.M.; Tran, G. Tablas de Composición y de Valor Nutritivo de las Materias Primas Destinadas a los Animales de Interés Ganadero, 1st ed.; Mundiprensa: Madrid, Spain, 2004. [Google Scholar]
- Degryse, F.; Baird, R.; da Silva, R.C.; Holzapfel, C.B.; Kappes, C.; Tysko, M.; McLaughlin, M.J. Sulfur uptake from fertilizer fortified with sulfate and elemental S in three contrasting climatic zones. Agronomy 2020, 10, 1035. [Google Scholar] [CrossRef]
- Barber, S.A. Soil Nutrient Bioavailability: A Mechanistic Approach, 2nd ed.; Wiley and Sons: Hoboken, NJ, USA, 1995; pp. 301–310. [Google Scholar]
- Camps-Sagué, F.; Lavaquiol, B.; Bosch-Serra, À.D.; Molina, M.G.; Domingo-Olivé, F. Sustainability assessment after twenty years of sewage sludge application on calcareous soil following N or P criterion. Sustainability 2024, 16, 2304. [Google Scholar] [CrossRef]
- Mortvedt, J.J. Heavy Metals in Fertilisers: Their ffect on Soil and Plant Health. In Proceedings of the No: 575. The International Fertiliser Society, Cambridge, UK, 8 December 2005. [Google Scholar]
- Kayser, A.; Wenger, K.; Keller, A.; Attinger, W.; Felix, H.R.; Gupta, S.K.; Schulin, R. Enhancement of phytoextraction of Zn, Cd, and Cu from calcareous soil: The use of NTA and sulfur amendments. Environ. Sci. Technol. 2000, 34, 1778–1783. [Google Scholar] [CrossRef]
- Brodowska, M.S.; Wyszkowski, M.; Karsznia, M. Application of urea and ammonium nitrate solution with potassium thiosulfate as a factor determining macroelement contents in plants. Agronomy 2024, 14, 1097. [Google Scholar] [CrossRef]
- Barker, A.V. Fertilizers. In Encyclopedia of Analytical Science, 3rd ed.; Worsfold, P., Poole, C., Townshend, A., Miró, M., Eds.; Elsevier: Amsterdam, The Netherlands, 2019; pp. 134–144. [Google Scholar] [CrossRef]
- Sommers, L.E.; Tabatabai, M.A.; Nelson, D.W. Forms of sulfur in sewage sludge. J. Environ. Qual. 1977, 6, 42–46. [Google Scholar] [CrossRef]




| Source | Oxidizable-OM | Olsen-P | K (NH4OAc) | Total-Cd | Total-Cu | Total-Cr | Total-Pb | Total-Zn |
|---|---|---|---|---|---|---|---|---|
| (g kg−1) | (mg kg−1) | |||||||
| MIN-Soil | 12 | 14.9 | 99 | <0.5 | 44.3 | 18 | 17.8 | 72.2 |
| SPC-Soil | 15 | 39.2 | 96 | <0.5 | 52.4 | 19.5 | 18.6 | 82.2 |
| SNC-Soil | 16 | 57.1 | 87 | <0.5 | 52.5 | 17.4 | 19.1 | 82.8 |
| Sludge | 69.2 | 19.5 | 3.04 | 1.16 | 668 | 38 | 68 | 1208 |
Disclaimer/Publisher’s Note: The statements, opinions and data contained in all publications are solely those of the individual author(s) and contributor(s) and not of MDPI and/or the editor(s). MDPI and/or the editor(s) disclaim responsibility for any injury to people or property resulting from any ideas, methods, instructions or products referred to in the content. |
© 2024 by the authors. Licensee MDPI, Basel, Switzerland. This article is an open access article distributed under the terms and conditions of the Creative Commons Attribution (CC BY) license (https://creativecommons.org/licenses/by/4.0/).
Share and Cite
Camps-Sagué, F.; Bosch-Serra, À.D.; Cifuentes-Almeida, A.D.; Boixadera-Bosch, M.M.; Domingo-Olivé, F. Long-Term Amendment with Sewage Sludge: Effects on Nutrient Value and Trace-Metal Content in Different Parts of Maize Plants. Appl. Sci. 2024, 14, 8105. https://doi.org/10.3390/app14188105
Camps-Sagué F, Bosch-Serra ÀD, Cifuentes-Almeida AD, Boixadera-Bosch MM, Domingo-Olivé F. Long-Term Amendment with Sewage Sludge: Effects on Nutrient Value and Trace-Metal Content in Different Parts of Maize Plants. Applied Sciences. 2024; 14(18):8105. https://doi.org/10.3390/app14188105
Chicago/Turabian StyleCamps-Sagué, Francesc, Àngela Dolores Bosch-Serra, Alicia Daniela Cifuentes-Almeida, Montserrat Maria Boixadera-Bosch, and Francesc Domingo-Olivé. 2024. "Long-Term Amendment with Sewage Sludge: Effects on Nutrient Value and Trace-Metal Content in Different Parts of Maize Plants" Applied Sciences 14, no. 18: 8105. https://doi.org/10.3390/app14188105
APA StyleCamps-Sagué, F., Bosch-Serra, À. D., Cifuentes-Almeida, A. D., Boixadera-Bosch, M. M., & Domingo-Olivé, F. (2024). Long-Term Amendment with Sewage Sludge: Effects on Nutrient Value and Trace-Metal Content in Different Parts of Maize Plants. Applied Sciences, 14(18), 8105. https://doi.org/10.3390/app14188105

