Analysis of Inundation Flow Characteristics and Risk Assessment in a Subway Model Using Flow Simulations
Abstract
1. Introduction
2. Methodology
2.1. Numerical Model Description
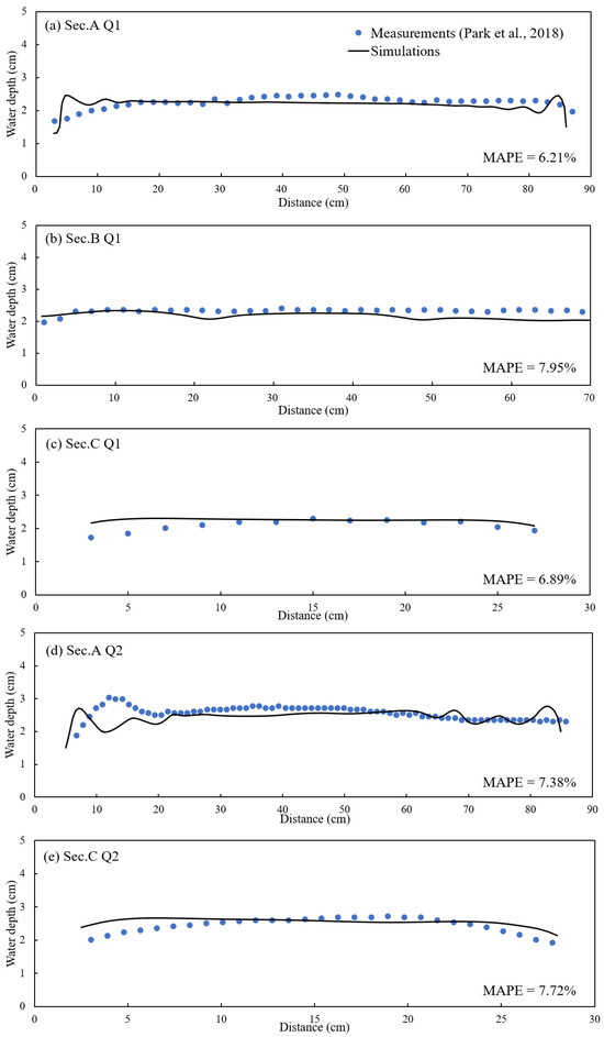
2.2. Model Setting and Validation
2.3. Safety Index
3. Results
3.1. Simulation Results
3.2. Flood Hazard Area Analysis
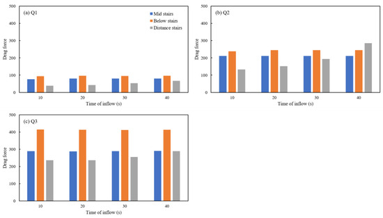
3.3. Flow Analysis and Drag Force at Human Models
4. Discussions
4.1. Temporal Variations of Pedestrian Safety near Staircase
4.2. Evaluations of Uncertainty in Flood Hazard Assessments According to Safety Indices
5. Conclusions
Author Contributions
Funding
Institutional Review Board Statement
Informed Consent Statement
Data Availability Statement
Acknowledgments
Conflicts of Interest
References
- Joo, J.; Kim, T.-H. An experimental study on evacuation ability during underground space inundation. J. Korean Soc. Hazard Mitig. 2015, 15, 189–196. (In Korean) [Google Scholar] [CrossRef]
- Shin, E.; Kim, H.J.; Rhee, D.S.; Eom, T.; Song, C.G. Spatiotemporal flood risk assessment of underground space considering flood intensity and escape route. Nat. Hazards 2021, 109, 1539–1555. [Google Scholar] [CrossRef]
- Wang, G.; Liu, Y.; Hu, Z.; Zhang, G.; Liu, J.; Lyu, Y.; Gu, Y.; Huang, X.; Zhang, Q.; Liu, L. Flood Risk Assessment of Subway Systems in Metropolitan Areas under Land Subsidence Scenario: A Case Study of Beijing. Remote Sens. 2021, 13, 637. [Google Scholar] [CrossRef]
- Gong, Y.; Xu, X.; Tian, K.; Li, Z.; Wang, M.; Li, J. Subway station flood risk management level analysis. J. Hydrol. 2024, 638, 131473. [Google Scholar] [CrossRef]
- Jiang, Y.; Gao, Y.; Yuan, Q.; Li, X.; Sun, K.; Sun, L. Simulation and Risk Assessment of Flood Disaster at the Entrance to a Rail Transit Station under Extreme Weather Conditions—A Case Study of Wanqingsha Station of Guangzhou Line 18. Water 2024, 16, 2024. [Google Scholar] [CrossRef]
- Shirvani, M.; Kesserwani, G. Flood–pedestrian simulator for modelling human response dynamics during flood-induced evacuation: Hillsborough stadium case study. Nat. Hazards Earth Syst. Sci. 2021, 21, 3175–3198. [Google Scholar] [CrossRef]
- Cao, S.; Wang, M.; Zeng, G.; Li, X. Simulation of Crowd Evacuation in Subway Stations Under Flood Disasters. IEEE Trans. Intell. Transp. Syst. 2024, 25, 11858–11867. [Google Scholar] [CrossRef]
- Abt, S.R.; Wittler, R.J.; Taylor, A.; Love, D.J. Human stability in a high flood hazard zone. J. Am. Water Resour. Assoc. 1989, 25, 881–890. [Google Scholar] [CrossRef]
- RESCDAM. The Use of Physical Models in Dam-Break Flood Analysis: Rescue Actions Based on Dam-Break Flood Analysis; Final Report of Helsinki University of Technology; Helsinki University of Technology: Helsinki, Finland, 2000. [Google Scholar]
- Penning-Rowsell, E.C.; Floyd, P.; Ramsbottom, D.; Surendran, S. Estimating injury and loss of life in floods: A deterministic framework. Nat. Hazards 2005, 36, 43–64. [Google Scholar] [CrossRef]
- Department of the Environment, Food and Rural Affairs (DEFRA) and Environment Agency (EA). Flood Risks to People (Phase 2): Methodology; DEFRA: London, UK, 2006.
- Kreibich, H.; Piroth, K.; Seifert, I.; Maiwald, H.; Kunert, U.; Schwarz, J.; Merz, B.; Thieken, A.H. Is flow velocity a significant parameter in flood damage modelling? Nat. Hazards Earth Syst. Sci. 2009, 9, 1679–1692. [Google Scholar] [CrossRef]
- Mani, P.; Chatterjee, C.; Kumar, R. Flood hazard assessment with multiparameter approach derived from coupled 1D and 2D hydrodynamic flow model. Nat. Hazards 2014, 70, 1553–1574. [Google Scholar] [CrossRef]
- Jonkman, S.N.; Penning-Rowsell, E. Human instability in flood flows. J. Am. Water Resour. Assoc. 2008, 44, 1208–1218. [Google Scholar] [CrossRef]
- Xia, J.; Falconer, R.A.; Wang, Y.; Xiao, X. New criterion for the stability of a human body in floodwaters. J. Hydraul. Res. 2014, 52, 93–104. [Google Scholar] [CrossRef]
- Musolino, G.; Ahmadian, R.; Falconer, R.A. Comparison of flood hazard assessment criteria for pedestrians with a refined mechanics-based method. J. Hydrol. X 2020, 9, 100067. [Google Scholar] [CrossRef]
- Zhu, Z.; Zhang, Y.; Gou, L.; Peng, D.; Pang, B. On the physical vulnerability of pedestrians in urban flooding: Experimental study of the hydrodynamic instability of a human body model in floodwater. Urban Clim. 2023, 48, 101420. [Google Scholar] [CrossRef]
- Martínez-Gomariz, E.; Gómez, M.; Russo, B. Experimental study of the stability of pedestrians exposed to urban pluvial flooding. Nat. Hazards 2016, 82, 1259–1278. [Google Scholar] [CrossRef]
- Ishigaki, T.; Asai, Y.; Nakahata, Y.; Shimada, H.; Baba, Y.; Toda, K. Evacuation of aged persons from inundated underground space. Water Sci. Technol. 2010, 62, 1807–1812. [Google Scholar] [CrossRef]
- Arrighi, C.; Oumeraci, H.; Castelli, F. Hydrodynamics of pedestrians’ instability in floodwaters. Hydrol. Earth Syst. Sci. 2017, 21, 515–531. [Google Scholar] [CrossRef]
- Lazzarin, T.; Viero, D.P.; Molinari, D.; Ballio, F.; Defina, A. Flood damage functions based on a single physics- and data-based impact parameter that jointly accounts for water depth and velocity. J. Hydrol. 2022, 607, 127485. [Google Scholar] [CrossRef]
- Arrighi, C.; Pregnolato, M.; Dawson, R.J.; Castelli, F. Preparedness against mobility disruption by floods. Sci. Total Environ. 2019, 654, 1010–1022. [Google Scholar] [CrossRef]
- Nakasaka, Y.; Ishigaki, T. Vulnerability to mega underground inundation and evacuation assuming devastating urban flood. J. Disaster Res. 2021, 16, 321–328. [Google Scholar] [CrossRef]
- Liu, F.; Ren, C.; Chen, Y. Flood risk investigation of pedestrians and vehicles in a mountainous city using a coupled coastal ocean and stormwater management model. J. Flood Risk Manag. 2024, 17, e12979. [Google Scholar] [CrossRef]
- Musolino, G.; Ahmadian, R.; Xia, J. Enhancing pedestrian evacuation routes during flood events. Nat. Hazards 2022, 112, 1941–1965. [Google Scholar] [CrossRef]
- Lin, Z.; Hu, S.; Lin, H. Flow pattern and escape hazards of people from flood intrusion into the staircase of underground spaces with multiple rest platforms. Buildings 2024, 14, 941. [Google Scholar] [CrossRef]
- Liang, C.; Guo, K.; Guan, M. Computational hydraulics and hazard assessment of flooding on underground staircases. Tunn. Undergr. Space Technol. 2024, 144, 105511. [Google Scholar] [CrossRef]
- Zhong, J.; Li, D.; Jiang, K. Assessment of urban underground spaces inundation during extreme rainfall events. Water Sci. Technol. 2024, 89, 2851. [Google Scholar] [CrossRef]
- Li, Q.; Xia, J.; Xie, Z.; Zhou, M.; Deng, S. Hazard and vulnerability in urban inundated underground space: Hydrodynamic analysis of human stability for stairway evacuation. Int. J. Disaster Risk Reduct. 2022, 70, 102754. [Google Scholar] [CrossRef]
- Musolino, G.; Ahmadian, R.; Xia, J.; Falconer, R.A. Mapping the danger to life in flash flood events adopting a mechanics based methodology and planning evacuation routes. J. Flood Risk Manag. 2020, 13, e12627. [Google Scholar] [CrossRef]
- El-Behery, S.M.; Hamed, M.H. A comparative study of turbulence models performance for separating flow in a planar asymmetric diffuser. Comput. Fluids 2011, 44, 248–257. [Google Scholar] [CrossRef]
- Kim, J.S.; Baek, D.; Park, I. Evaluating the impact of turbulence closure models on solute transport simulations in meandering open channels. Appl. Sci. 2020, 10, 2769. [Google Scholar] [CrossRef]
- Versteeg, H.K.; Malalasekera, W. An Introduction to Computational Fluid Dynamics the Finite Volume Method; Pearson Education: London, UK, 2007. [Google Scholar]
- Menter, F.R. Two-equation eddy-viscosity turbulence models for engineering applications. AIAA J. 1994, 32, 1598–1605. [Google Scholar] [CrossRef]
- Park, I.; Seong, H.; Ryu, Y.; Rhee, D.S. Measuring inundation depth in a subway station using the laser image analysis method. Water 2018, 10, 1558. [Google Scholar] [CrossRef]
- Maranzoni, A.; D’Oria, M.; Rizzo, C. Quantitative flood hazard assessment methods: A review. J. Flood Risk Manag. 2022, 16, e12855. [Google Scholar] [CrossRef]
- Xia, J.; Falconer, R.A.; Lin, B.; Tan, G. Numerical assessment of flood hazard risk to people and vehicles in flash floods. Environ. Model. Softw. 2011, 26, 987–998. [Google Scholar] [CrossRef]
- Haghani, M.; Yazdani, M. How simple behavioural modifications can influence evacuation efficiency of crowds: Part 1. Decision making of individuals. Transp. Res. Part C 2024, 166, 104763. [Google Scholar] [CrossRef]
- Haghani, M.; Yazdani, M. How simple behavioural modifications can influence evacuation efficiency of crowds: Part 2. Physical movement of individuals. Transp. Res. Part C 2024, 166, 104762. [Google Scholar] [CrossRef]
- Lyu, H.M.; Yin, Z.Y.; Zhou, A.; Shen, S.L. MCDM-based flood risk assessment of metro systems in smart city development: A review. Environ. Impact Assess. Rev. 2023, 101, 107154. [Google Scholar] [CrossRef]
- Kvočka, D.; Falconer, R.A.; Bray, M. Flood hazard assessment for extreme flood events. Nat. Hazards 2016, 84, 1569–1599. [Google Scholar] [CrossRef]
















Disclaimer/Publisher’s Note: The statements, opinions and data contained in all publications are solely those of the individual author(s) and contributor(s) and not of MDPI and/or the editor(s). MDPI and/or the editor(s) disclaim responsibility for any injury to people or property resulting from any ideas, methods, instructions or products referred to in the content. |
© 2024 by the authors. Licensee MDPI, Basel, Switzerland. This article is an open access article distributed under the terms and conditions of the Creative Commons Attribution (CC BY) license (https://creativecommons.org/licenses/by/4.0/).
Share and Cite
Shin, J.; Rhee, D.S.; Park, I. Analysis of Inundation Flow Characteristics and Risk Assessment in a Subway Model Using Flow Simulations. Appl. Sci. 2024, 14, 8096. https://doi.org/10.3390/app14178096
Shin J, Rhee DS, Park I. Analysis of Inundation Flow Characteristics and Risk Assessment in a Subway Model Using Flow Simulations. Applied Sciences. 2024; 14(17):8096. https://doi.org/10.3390/app14178096
Chicago/Turabian StyleShin, Jaehyun, Dong Sop Rhee, and Inhwan Park. 2024. "Analysis of Inundation Flow Characteristics and Risk Assessment in a Subway Model Using Flow Simulations" Applied Sciences 14, no. 17: 8096. https://doi.org/10.3390/app14178096
APA StyleShin, J., Rhee, D. S., & Park, I. (2024). Analysis of Inundation Flow Characteristics and Risk Assessment in a Subway Model Using Flow Simulations. Applied Sciences, 14(17), 8096. https://doi.org/10.3390/app14178096

