Application of a Novel High-Order WENO Scheme in LES Simulations
Abstract
Featured Application
Abstract
1. Introduction
2. WENO-ZQ Scheme and Numerical Tests
2.1. Description of WENO-ZQ Scheme
2.2. Governing Equations and Numerical Method
2.3. Spectral Properties of the WENO-ZQ Scheme
2.4. The One-Dimensional Burgers Equation
2.5. Calibration the Coefficient Cw for the WALE Model
2.6. Unsteady Convergence Compared with WENO-JS Scheme
3. Application Cases
3.1. Turbulent Boundary Layer Simulation
3.2. Supersonic Compression Ramp
3.3. Pak B Low-Pressure Turbine Cascade
4. Conclusions
- (1)
- Spectral characteristic analysis and DHIT case calibration reveal that the WENO-ZQ scheme exhibits lower dissipation and dispersion errors, providing better resolution for high-frequency waves.
- (2)
- Numerical simulations of the three-dimensional viscous TGV reveal that the WENO-ZQ scheme captures more turbulence structures on the grid compared to the same-order WENO-JS scheme. The flow field predictions using the third-order WENO-ZQ scheme are analogous to those of the WENO-JS5 scheme, with the results on 643 cells for the WENO-ZQ scheme being comparable to those on 1283 cells for the WENO-JS scheme. This indicates that the WENO-ZQ scheme can deliver high-precision simulations with fewer grid points, significantly reducing computational resource requirements.
- (3)
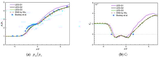
- The WENO-ZQ scheme accurately predicts complex physical phenomena such as transition, separation-induced transition, and SWTBLI. Its time-averaged results are in strong agreement with those reported in the existing literature. At the same grid resolution, the WENO-ZQ scheme captures more detailed flow field structures, proving its potential for application in LES studies of complex compressible flows.
Author Contributions
Funding
Institutional Review Board Statement
Informed Consent Statement
Data Availability Statement
Conflicts of Interest
References
- Li, R.L.; Gao, L.M.; Zhao, L.; Ma, C.; Lin, S.Y. Dominating unsteadiness flow structures in corner separation under high Mach number. AIAA J. 2019, 57, 2923–2932. [Google Scholar] [CrossRef]
- Sandberg, R.D.; Michelassi, V. Fluid dynamics of axial turbomachinery: Blade-and stage-level simulations and models. Annu. Rev. Fluid Mech. 2022, 54, 255–285. [Google Scholar] [CrossRef]
- Van Ingen, J.L. The en Method for Transition Prediction, Historical Review of Work at TU Delft. In Proceedings of the 38th Fluid Dynamics Conference and Exhibit, Seattle, WA, USA, 23–26 June 2008. [Google Scholar] [CrossRef]
- Li, X.; Zheng, Q.; Chi, Z.D.; Wang, S.M.; Zhou, Z.T.; Jiang, B. Research on the influence of spanwise cross-flow on the boundary layer transition of compressor cascade. Phys. Fluids 2024, 36, 014127. [Google Scholar] [CrossRef]
- Zhou, Q.H.; Zhao, W.; Sui, X.M.; Zhao, Q.J.; Xu, J.Z. A shock loss reduction method using a concave suction side profile for a zero inlet swirl turbine rotor. J. Turbomach. 2022, 144, 111010. [Google Scholar] [CrossRef]
- Liu, Y.Z.; Zhao, W.; Zhao, Q.J.; Zhou, Q.; Xu, J.Z. Passage shock wave/boundary layer interaction control for transonic compressors using bumps. Chin. J. Aeronaut. 2022, 35, 82–97. [Google Scholar] [CrossRef]
- Laskowski, G.M.; Kopriva, J.; Michelassi, V.; Shankaran, S.; Paliath, U.; Bhaskaran, R.; Wang, W.Q.; Talnikar, C.; Wang, Z.J.; Jia, F.L. Future Directions of High Fidelity CFD for Aerothermal Turbomachinery Analysis and Design. In Proceedings of the 46th AIAA Fluid Dynamics Conference, Washington, DC, USA, 13–17 June 2016. [Google Scholar] [CrossRef]
- Sandberg, R.D.; Michelassi, V. The current state of high-fidelity simulations for main gas path turbomachinery components and their industrial impact. Flow Turbul. Combust. 2019, 102, 797–848. [Google Scholar] [CrossRef]
- Riley, L.P.; Adler, M. RANS and wall-modeled LES predictions for the Sandia challenge on transonic, separated flow. In Proceedings of the AIAA Aviation 2021 Forum, Virtual Event, 2–6 August 2021. [Google Scholar] [CrossRef]
- Gourdain, N. Prediction of the unsteady turbulent flow in an axial compressor stage. Part 1: Comparison of unsteady RANS and LES with experiments. Comput. Fluids 2015, 106, 119–129. [Google Scholar] [CrossRef]
- Tyacke, J.; Vadlamani, N.R.; Trojak, W.; Watson, R.; Ma, Y.; Tucker, P.G. Turbomachinery simulation challenges and the future. Prog. Aerosp. Sci. 2019, 110, 100554. [Google Scholar] [CrossRef]
- Miki, K.; Ameri, A. Improved prediction of losses with large eddy simulation in a low-pressure turbine. J. Turbomach. 2022, 144, 071002. [Google Scholar] [CrossRef]
- Harten, A. High resolution schemes for hyperbolic conservation laws. J. Comput. Phys. 1983, 49, 357–393. [Google Scholar] [CrossRef]
- Harten, A.; Engquist, B.; Osher, S.; Chakravarthy, S.R. Uniformly high order essentially non-oscillatory schemes, III. J. Comput. Phys. 1987, 71, 231–303. [Google Scholar] [CrossRef]
- Harten, A. Preliminary results on the extension of ENO schemes to two-dimensional problems. Lect. Notes Math. 1987, 1270, 23–40. [Google Scholar] [CrossRef]
- Jiang, G.S.; Shu, C.W. Efficient implementation of weighted ENO schemes. J. Comput. Phys. 1996, 126, 202–228. [Google Scholar] [CrossRef]
- Liu, X.D.; Osher, S.; Chan, T. Weighted essentially non-oscillatory schemes. J. Comput. Phys. 1994, 115, 200–212. [Google Scholar] [CrossRef]
- Antoniadis, A.F.; Tsoutsanis, P.; Drikakis, D. Assessment of high-order finite volume methods on unstructured meshes for RANS solutions of aeronautical configurations. Comput. Fluids 2017, 146, 86–104. [Google Scholar] [CrossRef]
- Levy, D.; Puppo, G.; Russo, G. Central WENO schemes for hyperbolic systems of conservation laws. ESAIM: Math. Model. Numer. Anal. 1999, 33, 547–571. [Google Scholar] [CrossRef]
- Levy, D.; Puppo, G.; Russo, G. Compact central WENO schemes for multidimensional conservation laws. SIAM J. Sci. Comput. 2000, 22, 656–672. [Google Scholar] [CrossRef]
- Zhu, J.; Qiu, J.X. A new fifth order finite difference WENO scheme for solving hyperbolic conservation laws. J. Comput. Phys. 2016, 318, 110–121. [Google Scholar] [CrossRef]
- Zhu, J.; Qiu, J.X. A new type of finite volume WENO schemes for hyperbolic conservation laws. J. Sci. Comput. 2017, 73, 1–22. [Google Scholar] [CrossRef]
- Sheng, C.H.; Zhao, Q.Y.; Zhong, D.D.; Ge, N. A strategy to implement high-order WENO schemes on unstructured grids. In Proceedings of the AIAA Aviation 2019 Forum, Dallas, TX, USA, 17–21 June 2019. [Google Scholar] [CrossRef]
- Zhong, D.D.; Sheng, C.H. A new method towards high-order WENO schemes on structured and unstructured grids. Comput. Fluids. 2020, 200, 104453. [Google Scholar] [CrossRef]
- Zhu, J.; Qiu, J.X. A new type of modified WENO schemes for solving hyperbolic conservation laws. SIAM J. Sci. Comput. 2017, 39, A1089–A1113. [Google Scholar] [CrossRef]
- Ladeinde, F.; Cai, X.D.; Visbal, M.R.; Gaitonde, D.V. Turbulence spectra characteristics of high order schemes for direct and large eddy simulation. Appl. Numer. Math. 2001, 36, 447–474. [Google Scholar] [CrossRef]
- Toh, H.; Ragab, S. Large eddy simulation of supersonic twin-jet impingement. In Proceedings of the 42nd AIAA Aerospace Sciences Meeting and Exhibit, Reno, NV, USA, 5–8 January 2004. [Google Scholar] [CrossRef]
- Hahn, M.; Drikakis, D. Assessment of large-eddy simulation of internal separated flow. J. Fluids Eng. Trans. ASME 2009, 131, 071201. [Google Scholar] [CrossRef]
- Li, Z.; Ju, Y.; Zhang, C. Hybrid central-WENO scheme for the large eddy simulation of turbulent flows with shocks. Numer. Heat Tr. B. Fund. 2017, 72, 170–189. [Google Scholar] [CrossRef]
- Peng, J.; Zhai, C.L.; Ni, G.X.; Yong, H.; Shen, Y.Q. An adaptive characteristic-wise reconstruction WENO-Z scheme for gas dynamic Euler equations. Comput. Fluids. 2019, 179, 34–51. [Google Scholar] [CrossRef]
- Hoffmann, N.; Delorme, Y.; Frankel, S.H. High-order large eddy simulations of high-speed boundary layer transition. In Proceedings of the AIAA Scitech 2020 Forum, Orlando, FL, USA, 6–10 January 2020. [Google Scholar] [CrossRef]
- Shen, Y.; Zha, G. Large eddy simulation using a new set of sixth order schemes for compressible viscous terms. J. Comput. Phys. 2010, 229, 8296–8312. [Google Scholar] [CrossRef]
- Borges, R.; Carmona, M.; Costa, B.; Don, W.S. An improved weighted essentially non-oscillatory scheme for hyperbolic conservation laws. J. Comput. Phys. 2008, 227, 3191–3211. [Google Scholar] [CrossRef]
- Castro, M.; Costa, B.; Don, W.S. High order weighted essentially non-oscillatory WENO-Z schemes for hyperbolic conservation laws. J. Comput. Phys. 2011, 230, 1766–1792. [Google Scholar] [CrossRef]
- Don, W.S.; Borges, R. Accuracy of the weighted essentially non-oscillatory conservative finite difference schemes. J. Comput. Phys. 2013, 250, 347–372. [Google Scholar] [CrossRef]
- Shu, C.W.; Osher, S. Efficient implementation of essentially non-oscillatory shock-capturing schemes. J. Comput. Phys. 1988, 77, 439–471. [Google Scholar] [CrossRef]
- Cockburn, B.; Shu, C.W.; Johnson, C.; Tadmor, E. Essentially non-oscillatory and weighted essentially non-oscillatory schemes for hyperbolic conservation laws. In Advanced Numerical Approximation of Nonlinear Hyperbolic Equations; Quarteroni, A., Ed.; Springer: Berlin/Heidelberg, Germany, 1998; Volume 1697, pp. 325–432. [Google Scholar] [CrossRef]
- Shi, W.L. Investigation of large eddy simulation and coherent structure for the flow field of turbine vane. Ph.D. Thesis, Nanjing University of Aeronautics and Astronautics, Nanjing, China, 2012. [Google Scholar]
- Wang, G.L.; Ge, N.; Zhong, D.D. Numerical investigation of the wake vortex-related flow mechanisms in transonic turbines. Int. J. Aerospace Eng. 2020, 2020, 8825542. [Google Scholar] [CrossRef]
- Xue, Y.; Ge, N. Numerical simulation of shock wave/tip leakage vortex interaction for a transonic axial fan rotor. Int. J. Turbo Jet Eng. 2023, 40, 437–447. [Google Scholar] [CrossRef]
- Wang, X. A preconditioned algorithm for turbomachinery viscous flow simulation. Ph.D. Thesis, Mississippi State University, Starkville, MS, USA, 2005. [Google Scholar]
- Nicoud, F.; Ducros, F. Subgrid-scale stress modelling based on the square of the velocity gradient tensor. Flow Turbul. Combust. 1999, 62, 183–200. [Google Scholar] [CrossRef]
- Wang, S.Y.; Ge, M.M.; Deng, X.G.; Yu, Q.Y.; Wang, G.X. Blending of algebraic transition model and subgrid model for separated transitional flows. AIAA J. 2019, 57, 4684–4697. [Google Scholar] [CrossRef]
- Liou, M.S. A sequel to AUSM, part II: AUSM+-up for all speeds. J. Comput. Phys. 2006, 214, 137–170. [Google Scholar] [CrossRef]
- Pirozzoli, S. On the spectral properties of shock-capturing schemes. J. Comput. Phys. 2006, 219, 489–497. [Google Scholar] [CrossRef]
- Comte-Bellot, G.; Corrsin, S. Simple Eulerian time correlation of full-and narrow-band velocity signals in grid-generated, ‘isotropic’ turbulence. J. Fluid. Mech. 1971, 48, 273–337. [Google Scholar] [CrossRef]
- Rozema, W.; Bae, H.J.; Moin, P.; Verstappen, R. Minimum-dissipation models for large-eddy simulation. Phys. Fluids. 2015, 27, 085107. [Google Scholar] [CrossRef]
- Taylor, G.I.; Green, A.E. Mechanism of the production of small eddies from large ones. Proc. R. Soc. Lond. Ser. A Math. Phys. Sci. 1937, 158, 499–521. [Google Scholar] [CrossRef]
- Van Rees, W.M.; Leonard, A.; Pullin, D.I.; Koumoutsakos, P. A comparison of vortex and pseudo-spectral methods for the simulation of periodic vortical flows at high Reynolds numbers. J. Comput. Phys. 2011, 230, 2794–2805. [Google Scholar] [CrossRef]
- Bookey, P.; Wyckham, C.; Smits, A. Experimental Investigations of Mach 3 Shock-Wave Turbulent Boundary Layer Interactions. In Proceedings of the 35th AIAA Fluid Dynamics Conference and Exhibit, Toronto, ON, Canada, 6–9 June 2005. [Google Scholar] [CrossRef]
- Wu, M.; Martin, M.P. Direct numerical simulation of supersonic turbulent boundary layer over a compression ramp. AIAA J. 2007, 45, 879–889. [Google Scholar] [CrossRef]
- Sagaut, P.; Garnier, E.; Tromeur, E.; Larchevêque, L.; Labourass, E. Turbulent inflow conditions for large-eddy simulation of compressible wall-bounded flows. AIAA J. 2004, 42, 469–477. [Google Scholar] [CrossRef]
- Dawson, D.M.; Lele, S.K. Large Eddy Simulation of a Three-Dimensional Compression Ramp Shock-Turbulent Boundary Layer Interaction. In Proceedings of the 53rd AIAA Aerospace Sciences Meeting, Kissimmee, FL, USA, 5–9 January 2015. [Google Scholar] [CrossRef]
- Wagner, C.A.; Hüttl, T.; Sagaut, P. Large-Eddy Simulation for Acoustics, 1st ed.; Cambridge University Press: Cambridge, UK, 2007. [Google Scholar] [CrossRef]
- Priebe, S.; Wu, M.; Martin, M.P. Low frequency unsteadiness in shock wave–turbulent boundary layer interaction. J. Fluid Mech. 2012, 699, 1–149. [Google Scholar] [CrossRef]
- Tong, F.L.; Yu, C.P.; Tang, Z.G.; Li, X.L. Numerical studies of shock wave interactions with a supersonic turbulent boundary layer in compression corner: Turning angle effects. Comput. Fluids 2017, 149, 56–69. [Google Scholar] [CrossRef]
- Huang, P.; Coleman, G.N. Van driest transformation and compressible wall-bounded flows. AIAA J. 1994, 32, 2110–2113. [Google Scholar] [CrossRef]
- Head, M.R.; Bandyopadhyay, P. New aspects of turbulent boundary-layer structure. J. Fluid Mech. 1981, 107, 297–338. [Google Scholar] [CrossRef]
- Mahallati, A.; McAuliffe, B.R.; Sjolander, S.A.; Praisner, T.J. Aerodynamics of a low-pressure turbine airfoil at low Reynolds numbers-Part I: Steady flow measurements. J. Turbomach. 2013, 135, 011010. [Google Scholar] [CrossRef]
- Shyne, R.J. Experimental Study of Boundary Layer Behavior in a Simulated Low-Pressure Turbine. Ph.D. Thesis, The University of Toledo, Toledo, OH, USA, 1998. [Google Scholar]
- Huang, J.; Corke, T.C.; Thomas, F.O. Plasma actuators for separation control of low-pressure turbine blades. AIAA J. 2006, 44, 51–57. [Google Scholar] [CrossRef]
- Yang, P.; Chen, S.; Li, W.; Zeng, C. Large-eddy simulation of the boundary layer development in a low-pressure turbine cascade with passive flow control. Front. Energy Res. 2022, 10, 853166. [Google Scholar] [CrossRef]
- Sarkar, S. Effects of passing wakes on a separating boundary layer along a low-pressure turbine blade through large-eddy simulation. Proc. Inst. Mech. Eng. Part A J. Power Energy 2007, 221, 551–564. [Google Scholar] [CrossRef]




















| Schemes | N | L∞ Error | L∞ Order | L1 Error | L1 Order |
|---|---|---|---|---|---|
| WENO-JS | 20 | 4.09 × 10−3 | 1.53 × 10−4 | ||
| 40 | 1.29 × 10−4 | 4.9838 | 2.09 × 10−5 | 2.8746 | |
| 80 | 7.05 × 10−6 | 4.1977 | 2.80 × 10−6 | 2.8994 | |
| 160 | 3.33 × 10−7 | 4.4042 | 4.11 × 10−7 | 2.7698 | |
| WENO-ZQ | 20 | 2.70 × 10−3 | 7.69 × 10−5 | ||
| 40 | 1.34 × 10−4 | 4.3309 | 1.14 × 10−5 | 2.7530 | |
| 80 | 4.04 × 10−6 | 5.0576 | 1.65 × 10−6 | 2.7885 | |
| 160 | 1.17 × 10−7 | 5.1094 | 2.13 × 10−7 | 2.9535 |
| Grid Size | Dimensionless Time Step | Cores | WENO-JS5 Wallclock Time (h) | WENO-ZQ5 Wallclock Time (h) |
|---|---|---|---|---|
| 323 | 0.001tc | 2 | 0.9 | 0.8 |
| 643 | 0.0005tc | 6 | 5 | 4.5 |
| 1283 | 0.00025tc | 32 | 15 | 13 |
| 2563 | 0.000125tc | 128 | 80 | 70 |
| Calculation Domain Size Lx × Ly × Lz/δ3 | Grid Resolution Δx+ × Δy+ × Δz+ | Cells Nx × Ny × Nz | |
|---|---|---|---|
| DNS [55] | 8.3 × 2.0 × 8.2 | 7.5 × 4.3 × 0.2 | 410 × 160 × 112 |
| Present LES | 8.62 × 2.15 × 5.23 | 8.2 × 5.3 × 0.46 | 311 × 120 × 112 |
| T∞/K | Tw/K | Mint | θ/mm | Reθ | δ/mm | δ∗/mm | Cf | |
|---|---|---|---|---|---|---|---|---|
| Bookey et al. [50] | 108.1 | 307 | 2.9 | 0.43 | 2400 | 6.7 | 2.36 | 0.00225 |
| Wu et al. [51] | 108.1 | 307 | 2.9 | 0.38 | 2300 | 6.4 | 1.8 | 0.00217 |
| Tong et al. [56] | 108.1 | 307 | 2.9 | 0.41 | 2300 | 6.5 | 2.06 | 0.00256 |
| Dawson & Lele [53] | 108.1 | 307 | 2.9 | 0.50 | 2400 | 6.7 | 2.85 | 0.00203 |
| Present LES | 108.1 | 307 | 2.9 | 0.47 | 2400 | 6.5 | 2.37 | 0.00209 |
| Principal Domain Size Lx × Ly × Lz/δ3 | Grid Resolution Δx+ × Δy+ × Δz+ | Cells Nx × Ny × Nz | |
|---|---|---|---|
| DNS [51] | (9 + 7) × 2.0 × 8.2 | (3.4~7.2) × 4.1 × 0.2 | 1024 × 160 × 128 |
| LES-G1 | (7.73 + 7.73) × 2.15 × 5.23 | (6.1~11.0) × 7.2 × 0.46 | 392 × 89 × 112 |
| LES-G2 | (4.5~8.2) × 5.3 × 0.46 | 529 × 120 × 112 | |
| LES-G3 | (3.4~6.1) × 4.0 × 0.46 | 708 × 161 × 112 |
| Parameters | Values |
|---|---|
| Axial chord length (mm) | 159.5 |
| Blading pitch (mm) | 141.2 |
| Inflow angle (°) | 55 |
| Outflow angle (°) | 30 |
Disclaimer/Publisher’s Note: The statements, opinions and data contained in all publications are solely those of the individual author(s) and contributor(s) and not of MDPI and/or the editor(s). MDPI and/or the editor(s) disclaim responsibility for any injury to people or property resulting from any ideas, methods, instructions or products referred to in the content. |
© 2024 by the authors. Licensee MDPI, Basel, Switzerland. This article is an open access article distributed under the terms and conditions of the Creative Commons Attribution (CC BY) license (https://creativecommons.org/licenses/by/4.0/).
Share and Cite
Zhang, S.; Zhong, D.; Wang, H.; Wu, X.; Ge, N. Application of a Novel High-Order WENO Scheme in LES Simulations. Appl. Sci. 2024, 14, 7875. https://doi.org/10.3390/app14177875
Zhang S, Zhong D, Wang H, Wu X, Ge N. Application of a Novel High-Order WENO Scheme in LES Simulations. Applied Sciences. 2024; 14(17):7875. https://doi.org/10.3390/app14177875
Chicago/Turabian StyleZhang, Shuo, Dongdong Zhong, Hao Wang, Xingshuang Wu, and Ning Ge. 2024. "Application of a Novel High-Order WENO Scheme in LES Simulations" Applied Sciences 14, no. 17: 7875. https://doi.org/10.3390/app14177875
APA StyleZhang, S., Zhong, D., Wang, H., Wu, X., & Ge, N. (2024). Application of a Novel High-Order WENO Scheme in LES Simulations. Applied Sciences, 14(17), 7875. https://doi.org/10.3390/app14177875

