Next Article in Journal
Cu(II) Biosorption and Synthesis of CuO Nanoparticles by Staphylococcus epidermidis CECT 4183: Evaluation of the Biocidal Effect
Previous Article in Journal
Impact of Package Type on Selected Health Quality Parameters of Organic, Conventional and Wild Raspberries (Rubus idaeus L.) Frozen Stored
 
 
Font Type:
Arial Georgia Verdana
Font Size:
Aa Aa Aa
Line Spacing:
Column Width:
Background:
Article

Aerodynamic Optimization Design of a Supergravity Centrifuge: A Low-Resistance Strategy

by
Yi-Nan Guo
1,2,3,
Yi Yang
1,2,3,*,
Wei-An Lin
1,
Jian-Qun Jiang
1 and
De Ding
2,3
1
College of Civil Engineering and Architecture, Zhejiang University, Hangzhou 310058, China
2
Center for Balance Architecture, Zhejiang University, Hangzhou 310028, China
3
The Architectural Design & Research Institute of Zhejiang University Co., Ltd., Hangzhou 310063, China
*
Author to whom correspondence should be addressed.
Appl. Sci. 2024, 14(17), 7613; https://doi.org/10.3390/app14177613
Submission received: 29 June 2024 / Revised: 17 August 2024 / Accepted: 23 August 2024 / Published: 28 August 2024

Abstract

Wind resistance optimization is crucial for enhancing the rotational speed of supergravity centrifuges. We conducted a study using computational fluid dynamics on the Centrifugal Hypergravity and Interdisciplinary Experiment Facility (CHIEF) under construction at Zhejiang University and validated it experimentally using a ZJU400gt centrifuge. Our findings indicate significant reductions in wind resistance through structural modifications of the CHIEF. Reducing the outer radius from 4650 to 4150 mm decreased wind resistance by 16%, primarily due to reduced effective viscosity in the wake region’s gases. More substantial reductions were achieved by lowering the height of the outer wall from 2200 to 1400 mm, which cut wind resistance by 25%. This height reduction suppressed vortex shedding and Kármán vortex street development via the Venturi effect. Adjustments to the roughness height of wall surfaces further decreased wind resistance, with minimal impact from arm roughness. A critical roughness height was identified, below which no further reductions in wind resistance could be attained. Notably, using disc-shaped arms reduced wind resistance by approximately 73% because of their minimal pressure–resistance components and predominant frictional resistance, highlighting their potential in future high-speed centrifuge designs.

1. Introduction

The supergravity centrifuge (Figure 1) provides essential experimental conditions for fields such as slope and dam engineering, rock–soil seismic engineering, deep-sea engineering, deep-earth engineering and environments, geological structures, and material preparation and is considered the most effective and advanced scientific testing platform for rock–soil seismic engineering and soil dynamics [1,2,3,4]. Currently, the leading international integrated multidisciplinary supergravity experimental platforms include the U.S. Army Corps of Engineers’ supergravity centrifuge with a maximum capacity of 1200 gt and maximum acceleration of 350 g; the University of California, Davis’ centrifuge with a maximum capacity of 1080 gt and maximum acceleration of 300 g; Cambridge University’s centrifuge with a maximum capacity of 140 gt and maximum acceleration of 155 g; the Korea Institute of Science and Technology Information’s centrifuge with a maximum capacity of 240 gt and maximum acceleration of 130 g; and ETH Zurich’s centrifuge with a maximum capacity of 40 gt and maximum acceleration of 1500 g. Furthermore, the China Institute of Water Resources and Hydropower Research is currently constructing a heavy-duty machine with a maximum capacity of 1000 gt and maximum acceleration of 350 g, as well as a high-speed machine with a maximum capacity of 300 gt and maximum acceleration of 1000 g. Meanwhile, Zhejiang University is planning to build the world’s largest supergravity centrifuge known as the Centrifugal Hypergravity and Interdisciplinary Experiment Facility (CHIEF). Upon completion, CHIEF will boast a maximum capacity ranging from 1500 to 2200 gt and a maximum acceleration of 1500 g. This project represents a major scientific and technological infrastructure initiative at the national level. As the acceleration and capacity of supergravity centrifuges increase, the windage power sharply rises. For instance, in the case of the supergravity centrifuge CHIEF, in which air serves as the working fluid under atmospheric pressure, the design-related windage power will reach the megawatt level. Under stable operating conditions, all windage power is converted into heat, resulting in a rapid rise in temperature within the centrifuge chamber, severely impacting both the safety of experiments and the accuracy of experimental data. Optimizing windage power is crucial for reducing drive motor power consumption as well as for lowering cooling heat dissipation. With the increase in acceleration levels, the optimization of windage power becomes imperative.
Theoretical research on the windage power requirements of supergravity centrifuges was initially performed by Kutter [5], who introduced the concept of flow ratio and derived a theoretical formula for calculating the windage power based on the assumption that the flow ratio of the entrained gas does not change along the radial direction. However, Kutter did not consider nonlinear factors such as turbulence. Wang et al. [6] developed an empirical formula for windage by fitting a large amount of experimental data; however, the drawback of this formula lies in its inclusion of empirical coefficients, which must be experimentally determined and cannot be directly applied. Lin et al. [7] focused on a high-speed centrifuge with an acceleration of 1500 g and conducted scaled-down model tests to investigate the factors affecting the windage and room temperature of the centrifuge. Their research mainly concentrated on the influence of the vacuum degree on windage and temperature rise. Guo et al. [8] employed numerical simulation methods, such as computational fluid dynamics (CFD), to study the effects of different degrees of vacuum on the windage of supergravity centrifuges. Gao et al. [9] studied the effects of annular cooler surface roughness on the wind resistance and thermal environment inside a high-speed geotechnical centrifuge chamber using CFD methods. Rotating machinery, such as flywheel energy storage systems, electric motors, and centrifugal pumps, faces analogous challenges in reducing drag and heat dissipation. Relevant research on these machines is also worth discussing. Miyazaki et al. [10] applied and developed superconducting magnetic bearings in flywheel energy storage systems, highlighting that evacuating the system and filling it with helium are significant measures to reduce windage in flywheels. Wei et al. [11] measured the windage power of an electric motor shaft rotating at high speeds under different vacuum conditions and demonstrated that vacuuming can significantly reduce the windage power.
Okada et al. [12] conducted a study on the design of rotor windage loss for a high-efficiency permanent magnet synchronous motor (HEFSM) to analyze the windage losses for various rotor shapes and determine the optimal HEFSM rotor configuration for short stack length and long core length applications. Seshadri and Chokkalingam [13] and Nachouane et al. [14] also used CFD simulations to investigate the windage in electric motors, and their steady-state simulations showed good agreement with the experimental results, thereby validating the feasibility of using CFD to simulate rotating machinery. Shadab et al. [15] used CFD simulation methods to investigate centrifugal pumps and demonstrated that the SST k–ω turbulence model more accurately captures small eddies within the viscous sublayer than the RNG k–ε turbulence model.
Systematic studies dedicated to optimizing wind resistance in supergravity centrifuges have been relatively sparse, primarily for two reasons: (1) historically, supergravity centrifuges have been operated at accelerations or rotational speeds that were not particularly high, resulting in relatively low windage, and issues such as heat accumulation and vibrations were less pronounced, and (2) the fluid dynamics equations governing supergravity centrifuges are nonlinear, precluding the derivation of precise analytical solutions. Moreover, experimental research on these centrifuges is considerably more expensive than that on conventional rotating machinery, such as motors, leading to a limited number of both theoretical and experimental investigations in this field. Because the designed acceleration and capacity of Zhejiang University’s CHIEF supergravity centrifuge are 1500 g and 1900 gt, respectively, optimizing the wind resistance to reduce heat dissipation and drive motor power consumption becomes a critical issue in the design process. This involves designing the experimental chamber body shape, arm geometry, and surface roughness of the supergravity centrifuge. Consequently, research on the design of supergravity centrifuges based on wind resistance optimization has become increasingly necessary.
Because of the inability to obtain analytical solutions for supergravity centrifuges and the substantial costs associated with experimental research on different accelerations and configurations, we employed CFD simulations, which have wide applications in the field of rotating machinery. The CFD model was experimentally validated using a ZJU400 centrifuge at Zhejiang University, and the overall trend correlation was considerably high. Consequently, the analysis of the factors influencing windage in this study regarding supergravity centrifuges carries a significant reference and guiding value. The research methods and results herein are also applicable and informative for similar rotating machinery, such as electric motors and flywheel energy storage systems.

2. Materials and Methods

2.1. CHIEF Supergravity Centrifuge

The CHIEF under construction at Zhejiang University is a supergravity centrifuge, as depicted schematically in Figure 1. The motor-driven experimental capsule rotates about its axis to generate the required acceleration. The high-speed version of the CHIEF can achieve a maximum acceleration of up to 1500 g. As the acceleration increases, the windage resistance increases exponentially in proportion to the angular velocity. Excessive windage can lead to a rapid increase in temperature and vibration, consequently escalating sensor errors and compromising the safety of the mainframe and experimental models housed within the capsule. Thus, effectively reducing windage is a prerequisite for ensuring both experimental accuracy and safety.
Dimensional drawings of the CHIEF high-speed centrifuge are shown in Figure 2a,b, and the simplified models are presented in Figure 2c,d. Given the lower impact of the central rotating shaft on windage power, this component was simplified in the simulation. The simplified model retains the arm assembly, sidewalls, and top and bottom wall surfaces while neglecting the central bearing.

2.2. Theoretical Method

The simulation results yielded a maximum Reynolds number scale of 109, corresponding to turbulent flow conditions. The k–ω shear stress transport (SST) turbulence model equation is strongly applicable for numerically calculating turbulent flow situations under rotational conditions. For instance, both Anderson et al. [16] and Fertahi et al. [17] independently applied the k–ω SST turbulence model to simulate electric motors and a hydro turbine, respectively, and they substantiated these simulations using experimental data. Compared with the RNG k–ε turbulence model, the SST k–ω turbulence model more accurately captures small eddies within the viscous sublayer [15]. Therefore, we adopted the k–ω SST computational equations. The following is the set of conservation equations along with the k–ω SST turbulence model equations [18]:
Mass conservation equation, as follows:
ρ t + ρ U = 0 ,
where U is the velocity vector and ρ is the density.
Momentum conservation equation, as follows:
( ρ U ) t + · ρ U U = p + μ e f f 2 U + F ,
where F is a miscellaneous body force term, μ is the dynamic viscosity, μ t is the eddy viscosity, and μ e f f = μ + μ t is the effective kinetic viscosity.
Energy conservation equation, as follows:
t ρ E + · U ρ E + p = · k e f f T + U · τ e f f + S ,
where p denotes static pressure; E represents total energy; k signifies the thermal conductivity; k t denotes the turbulent thermal conductivity; k e f f = k + k t represents the effective thermal conductivity; T is the temperature; S accounts for the heat source term that includes both heat from chemical reactions and volumetric heat sources; and τ e f f signifies the viscous heating term, as presented in Equation (4).
τ e f f = μ e f f u j x i + u i x j = ρ v e f f ( u j x i + u i x j ) ,
where v e f f =   μ e f f / ρ represents the effective kinematic viscosity. The variable μ t can be determined by solving the two k–ω SST turbulence model equations, as shown in Equations (5) and (6).
( ρ k ) t + ( ρ k u i ) x i = x i Γ k k x j + G k Y k + S k
and
( ρ ω ) t + ( ρ ω u i ) x i = x i Γ ω ω x j + G ω Y ω + D ω + S ω ,
where G ω denotes the generation of ω; G k is the production of turbulent kinetic energy; Γ k   and Γ ω are the effective diffusivities of k and ω, respectively; Y k and Y ω denote the dissipation of k and ω due to turbulence, respectively; S k and S ω are user-defined source terms; and D ω denotes the cross-diffusion term.
μ t = ρ k ω 1 m a x   [ 1 α * , S F 2 a 1 ω ]   ,
α * = α * ( α 0 * + R e t / R k 1 + R e t / R k ) ,
and
R e t = ρ k μ ω ,
where R k = 6 , α 0 * = β i / 3 , and β i = 0.072 .
F 2 = tanh ( Φ 2 2 ) ,
and
Φ 2 = m a x   [ 2 k 0.09 ω y 500 μ ρ y 2 ω ] .
The default settings for the kω SST model specify α 1 to be 0.31 and α * to be 1. Notably, the boundary condition equation for the kω SST model is applicable to a low-Reynolds-number regime. Consequently, the first boundary layer should reside within the viscous bottom layer.

2.3. Numerical Simulation Geometry, Mesh, and Boundary Conditions

Simcenter STAR-CCM+2402 software was utilized as a CFD simulation tool (a premium multiphysics simulation and CFD analysis software developed by Siemens Digital Industries Software, located in Munich, Germany.). Based on the actual dimensions of CHIEF, a simplified CFD model was constructed, as depicted in Figure 2, where the sidewalls were modeled as water-cooled surfaces. As the thermal resistances of water cooling and wall conduction are much smaller than those of gas-to-wall heat transfer, we assumed that the sidewall temperatures were close to the coolant temperature, which was set to a constant temperature of 300 K, representing stainless-steel walls in contact with cooled water. The heat transfer boundary conditions on the top and bottom walls were configured for natural convection with the surrounding environment at a temperature of 300 K and an associated natural convection heat transfer coefficient of 5 W/m2-K. Under the simulated conditions, the maximum Reynolds number reached 109, falling within the turbulent regime. Anderson et al. [16] and Fertahi et al. [17] independently employed the k–ω SST turbulence model in simulations of electric motors and hydro turbines, respectively, and performed experimental validation. Their findings indicated that the SST model offers high accuracy in computations involving high-Reynolds-number rotation. Hence, the SST model was adopted in this study. The viscous heating option accounts for frictional heating effects. To address the compressibility of the gas owing to high-speed rotation, a pressure-based coupled solver method was used, with second-order accuracy for pressure and third-order accuracy for other variables. Ideal gas laws were employed to account for changes in the properties of helium and air. The roughness height of the inner walls and the outer surfaces of the rotating bodies was set to a common value for stainless steel, which was 0.05 mm.
Mesh quality is a critical factor that determines whether the simulation results converge. Concli et al. [19] performed comparative simulations of a rotating gear using both sliding mesh and multiple reference frame (MRF) approaches and demonstrated that the MRF method yields higher accuracy with a smaller computational burden. Therefore, this study adopted the MRF method and employed the Simcenter STAR-CCM+2402 software for mesh generation. Unstructured meshes were used because of the irregularity of the arms. As shown in Figure 3, the computational domain was divided into rotating and stationary domains. The MRF zoning is depicted in Figure 3a, where the darker-shaded region represents the rotating domain encompassing the arms and experimental capsule. Figure 3b shows a cross-sectional view of the mesh layout. The rotating parts interface with the stationary parts through a boundary layer, transferring the computation values across them. As shown in Figure 3c, the boundary layer is refined, with the first layer node height near the rotating body and the internal wall set to 0.05 mm to satisfy the requirements for low-Reynolds-number modeling near the wall. Figure 4a illustrates the independence of the simulation results from the number of boundary layers. For a total boundary layer thickness of 0.02 m, the torque due to wind resistance no longer varies significantly (with a change of less than 0.5%) after the boundary layer contains 10 layers. Thus, the number of boundary mesh layers was set at 10 in this study, as indicated by the arrow points. Figure 4b demonstrates the independence of wind resistance torque from the total number of mesh elements. When the mesh count exceeds 17 million (as indicated by the arrow), the torque due to wind resistance stabilizes with a variation of less than 0.5%. To maximize computational cost savings and time efficiency, this study used a mesh count of 17 million elements for the final calculations.

2.4. Experimental Verification

Because the high-speed machine at CHIEF has not yet been built, its experimental verification is currently impossible. Therefore, we employed the same modeling approach to conduct CFD calculations on ZJU400, a supergravity geotechnical centrifuge already constructed at Zhejiang University (Figure 5), under environmental temperatures ranging from 295 to 300 K, and subsequently verified the results experimentally.
Table 1 [20] presents the theoretical expression for the windage resistance of a rotating motor, where R is the rotor radius, L denotes the rotor length, ρ is the density, and μ represents the dynamic viscosity. Given the similarities in the processes involved in deriving the windage power for high-speed rotation, the equations in Table 1 hold referential significance for estimating the windage power of supergravity centrifuges. Wang et al. [6] proposed an empirical formula (Equation (12)) for the windage resistance of a supergravity centrifuge, where D and n are constants under normal atmospheric pressure conditions. Table 1 shows that the simplified windage formulas listed can be represented by Equation (12). Therefore, in this study, Equation (12) was used as the fitting formula.
P w = D ρ ω n .
A comparison chart of the measured motor power versus the simulated windage loss power for ZJU400 at varying accelerations and atmospheric pressures with air as the working fluid is shown in Figure 6. The purple spheres represent the windage power calculated through the CFD simulation, whereas the yellow circles indicate the experimentally measured motor power. The purple curve depicts the fitted curve based on the simulation results, with the fitting formula referenced from Equation (12). The fitting result is given by Equation (13), with a correlation coefficient R2 of 0.996.
P w = 19.84 ρ ω 3.11
The dashed line represents the deviation curve associated with the fitted curve. At rotational speeds below 10 rad/s, the maximum deviation between the fitted curve and the experimental motor power measurement was approximately 35%. When the angular velocity surpassed 14 rad/s, the deviation decreased to within 15%. The triangle symbol represents the wind resistance power obtained by the k–ε turbulence model simulation, and it is smaller than that obtained by the k–ω SST model and deviates more from the experimental value. Therefore, the k–ω SST model more accurately simulates the rotation of the supergravity centrifuge, further demonstrating that the k–ω SST turbulence model is a more accurate choice.
Table 2 presents a comparison of the experimental data with the simulation results. The first column lists the centrifugal acceleration values, and the second column presents the experimentally determined motor power. The third column represents the windage power derived from the simulations, while the fourth column gives the deviation value, which reflects the difference between the simulated windage power and the actual motor power as measured in the experiments. Notably, the deviation values illustrated in Figure 6 were derived from the experimental motor power via a fitted curve, which is distinct from the deviation definition used in the fourth column of Table 2. The calculation of the actual windage power requires subtracting both the motor efficiency loss and bearing friction loss from the measured motor power. A brief discussion regarding the estimation of these two types of losses follows. According to data provided by the motor manufacturer, the efficiency of the ZJU400 motor was approximately 90%. A direct measurement of the bearing friction power on the ZJU400 experimental platform is currently quite challenging. Thus, estimations were made based on two assumptions:
  • The deviation between the actual wind resistance power and simulated windage power varies from −30% to +15%;
  • An exponential relationship with an exponent of 1.5 exists between the bearing friction loss power and angular velocity.
As the deviation values of the simulated windage power and motor power in Table 2 consistently lie within the range of −28.7% to −7.8%, hypothesis 1 is thereby supported as being reasonable. Hypothesis 2 pertains to the calculation method for bearing friction power loss proposed by Calasan et al. [21]. Based on this method, we deduce that the potential range for bearing friction power under an acceleration of 10 g might extend from 0 to 1.95 kW (bearing friction loss power = measured motor power × motor efficiency − simulated windage power/(from 0.7 to 1.15)). Subsequently, by leveraging the established exponential relationship of the 1.5th power between the bearing friction loss power and the angular velocity, we estimated the probable range for the bearing friction loss power, which is presented in the fifth column of Table 2. The sixth column in Table 2 presents the error between the simulated windage power and corrected power (where the corrected power refers to the measured actual motor power after deducting both the motor efficiency and bearing friction losses). After considering both the motor efficiency and bearing friction losses, the positive deviation in the simulated windage power clearly does not exceed 15%. At an acceleration of 10 g, the maximum negative deviation reaches −20.7%. Note that the actual error is expected to be less than −20.7% owing to the inherent uncertainty in estimating the bearing friction loss. For instance, at 10 g, assuming that the potential range of the bearing friction power lies between 0 and 1.95 kW, the maximum error of −20.7% would only occur if the friction loss was assumed to be 0, which is clearly unrealistic because friction loss cannot be zero in practice. The error decreases with increasing angular velocity, reaching a maximum range of −15% to 12.2% when the gravitational acceleration exceeds 60 g (Table 2). This is because bearing friction loss increases proportionally with angular velocity raised to the power of 1.5, whereas windage loss, according to Equation (13), increases proportionally with the angular velocity raised to the power of 3.11. As the angular velocity increases, the proportion of bearing friction loss in the total loss diminishes, thereby reducing the influence of the estimation uncertainty associated with friction loss on the overall error. Consequently, the −15% to 12.2% error for gravitational accelerations greater than 60 g more accurately reflects the precision of the simulation. The close match between the simulated windage power values and experimental data strongly confirm the accuracy of the simulation results. These findings validate the reliability of the CFD model for accurately simulating windage losses in a supergravity centrifuge, making it suitable for analyzing such losses under various angular velocity conditions.

3. Results and Discussion

3.1. Relationship between Wind Resistance and Experimental Capsule Radius

This study mainly focused on the wind resistance optimization of the CHIEF high-speed machine with a maximum acceleration of 1500 g. Therefore, the effect of the radius was investigated under the operating condition of an angular velocity of 57 rad/s, corresponding to 1500 g. This study considered a radius range of 4350–4650 mm. We simulated the torque resistance of an armature with various radii. Figure 7 presents the relationship between the wind resistance torque, average sectional speed within the MRF motion reference system, and average effective viscosity across sections as they vary with the radius. A schematic of the section location is shown in the upper-left corner of Figure 7. Figure 7 shows that as the radius increases, the wind resistance exhibits an upward trend, with a maximum increase of approximately 19%. This finding agrees with the results obtained by Kutter [5]. However, notably, Kutter attributed the increase in wind resistance to the growing mass of entrained air and the reduction in entrainment speed of the air as the radius expands, which leads to an increased relative velocity between the entrained air and the armature, thereby enhancing the wind resistance. Nevertheless, within the radius range of 4350–4650 mm, the simulation results did not lead to a reduction in the entrainment speed. We used the average sectional speed to visually represent the variation in the air entrainment speed, as indicated by the solid blue circles in Figure 7. The average sectional speed remained at approximately 140 m/s, without any noticeable decline.
To analyze the reasons for the increase in the simulated wind resistance, the expression for windage power in Table 1 was examined, revealing that only the dynamic viscosity appears in the formula. However, during high-speed rotational motion, turbulent shear stress cannot be neglected. The turbulent shear stress can be represented by Equation (14) [22], as follows:
τ t = ρ ε M u ¯ y ,
where ε M represents the eddy diffusivity coefficient and u ¯ denotes the turbulent mean velocity. Combining the turbulent shear stress with the laminar viscous shear stress results in an effective shear stress, as expressed in Equation (15), as follows:
τ = ρ ( υ + ε M ) u ¯ y = ρ υ e f f u ¯ y .
In the equation, υ e f f represents the effective dynamic viscosity, whereas υ denotes the dynamic viscosity. For high-Reynolds-number flows, in the viscous sublayer of the boundary layer, υ is significantly larger than ε M , where laminar viscosity losses dominate. In contrast, outside the boundary layer in the turbulent region, ε M is much greater than υ , where the viscous losses caused by turbulent shear stresses become dominant. Notably, ε M is not a constant physical property but depends on spatial coordinates and is determined by the conditions of the flow field.
The wind resistance power was analyzed based on the Reynolds transport theorem. By employing tensor notations in Cartesian coordinates, the Reynolds transport equation can be given as follows [22]:
t ( ρ E ) + x i   [ u i ( ρ E + p ) ] = x i   [ k e f f T x i + u j ( τ i j ) e f f ] + S h ,
where E represents the total energy, ρ denotes the density, k e f f represents the effective thermal conductivity, S h is a constant, and ( τ i j ) e f f signifies viscous heating.
( τ i j ) e f f = μ e f f ( u j x i + u i x j ) 2 3 μ e f f u k x k δ i j ,
where δ i j = 0 i j and δ i j = 1   ( i = j ) .
Under steady-state conditions, the wind resistance power should be entirely converted into viscous heat; therefore, studying the viscous heating term ( τ i j ) e f f is equivalent to investigating wind resistance power.
For ease of studying the relationship between wind resistance power, effective viscosity, and velocity distribution, Equation (17) is transformed into Equation (18) using the ideal gas equation, as follows:
( τ i j ) e f f = [ υ e f f ( u j x i + u i x j ) 2 3 υ e f f u k x k δ i j ]   P R T ,
where T, P, and R are the temperature, pressure, and gas constant, respectively. For fluids with constant density, the term u k x k is zero.
Equation (18) clearly indicates that under conditions where changes in the temperature and pressure spatial distributions are negligible, the viscous heating term is solely related to the effective dynamic viscosity and spatial distribution of velocities. In our simulation, we observed that the spatial distribution of velocity near the armature did not exhibit significant variations. Thus, we focused on another influencing factor: the effective dynamic viscosity. To visualize the changes in the effective dynamic viscosity throughout space, we utilized the average sectional effective dynamic viscosity, as indicated by the yellow circles in Figure 7. We noticed that the effective dynamic viscosity increased as the radius increased from 4350 to 4650 mm. Figure 8a,b shows the sectional contour plots of the effective viscosity within the MRF rotating domain at radii of 4350 and 4650 mm, respectively. These figures reveal that when the radius increases, the effective dynamic viscosity within the wake region behind the armature increases significantly.
Based on the above analysis, we discovered that when the radius increases from 4350 to 4650 mm, the increase in wind resistance is not due to a decrease in the air entrainment speed or an increase in the relative velocity between the armature and entrained air but to an increase in the effective viscosity within the wake region.

3.2. Relationship between Wind Resistance and Height of the Experimental Capsule

To investigate the impact of the height of the experimental capsule on wind resistance, scenarios at an angular velocity of 57 rads/s and heights ranging from 1400 to 2200 mm were studied. In Figure 9, the purple spheres represent the simulated wind resistance power at different heights. The figure reveals that wind resistance generally increases with increasing height, showing a maximum increase of approximately 34%. Compared to the influence of the radius, the effect of height on wind resistance is more pronounced. However, the influence of height on wind resistance did not increase linearly; we observed a notable increase in wind resistance when the height increased from 1600 to 1700 mm. Considering Equation (18), because the spatial distribution of the velocity undergoes relatively significant changes with an increase in height, it is not possible to directly analyze the cause of the increased wind resistance through the effective viscosity. Therefore, in this case, we utilized the Reynolds number to observe the changes in turbulence with increasing height. The yellow circles shown in Figure 9 indicate the average vertical sectional Reynolds numbers obtained from the simulations at different heights. We found that the Reynolds number gradually increased with increasing height and that there was a notable spike in the Reynolds number when the height increased from 1600 to 1700 mm.
To analyze the causes of the changes in the Reynolds number, we present the local Reynolds number contour maps near the armature at different heights (Figure 10). Figure 10a shows the Reynolds number contour map at a height of 1400 mm; in the observation area, the Reynolds numbers between the armature and wall surface are small, represented by blue shades of color. When the height increased from 1600 to 1700 mm, as shown in Figure 10b,c, in the observation areas, as the armature moves further away from the wall surface, the middle regions in the contour map rapidly change from blue to orange, indicating a rapid increase in the Reynolds numbers between the armature and wall surface. Finally, when the height increases from 1700 to 2000 mm, as illustrated in Figure 10c,d, the orange regions continue to expand, and the Reynolds numbers between the armature and wall surface continue to increase in the observation areas.
These results demonstrate that the development of the Reynolds number is suppressed when the armature is close to the wall. As the armature moves away from the wall, the Reynolds number gradually increases, and a specific height range exists in which the Reynolds number rapidly increases. Similar phenomena have been widely reported in studies on the von Kármán vortex street phenomenon. For instance, de Oliveira et al. [23] documented the aerodynamic behavior of a smooth circular cylinder near a fixed wall in a wind tunnel with a high-Reynolds-number flow and reported that as the cylinder approached the ground plane, the drag sharply decreased and then increased owing to the Venturi effect near the wall suppressing vortex shedding. The von Kármán vortex street phenomenon has not been previously reported in other supergravity centrifuge studies; therefore, to confirm its presence, we present vorticity cloud plots for a cylindrical cross-section with a radius R of 3500 mm in Figure 11. Figure 11a,b illustrates the vorticity cloud plot for the cylindrical cross-section at heights of 1400 and 2200 mm, respectively. Both figures exhibit vorticity in the wake region of the armature. When the wall is close to the armature, as shown in Figure 11a, the high-vorticity region develops inadequately because of the influence of the wall. Conversely, when the wall is farther away from the armature, as shown in Figure 11b, the high-vorticity region develops fully without being affected by the wall, and a longer wake region is observed.
Therefore, we conclude that the rapid decrease in torque resistance when the armature is close to the wall is also likely due to the Venturi effect near the wall, which inhibits the shedding of vortices, thereby suppressing the growth of the von Kármán vortex street and consequently reducing the wind resistance torque.

3.3. Relationship between Resistance Torque and Roughness Height

The roughness heights of the sidewalls, top and bottom walls, and armature also affect the torque resistance of the armature. To investigate the influence of the roughness height on the torque resistance, we simulated the torque resistance when the roughness heights of the sidewalls, top and bottom walls, and the armature varied at levels of 1 × 10−6, 1 × 10−5, 2.5 × 10−5, 5 × 10−5, and 1 × 10−4 m, as shown in Figure 12. The “Sidewall” subplot in Figure 12 depicts the changes in the torque resistance under different roughness heights of the sidewall when the roughness heights of the top and bottom walls and the armature are fixed at 1 × 10−5 m. The purple dots and yellow circles represent the torque resistance at an angular velocity of 57 and 40 rads/s, respectively. The graph shows that as the roughness height decreases, the torque resistance initially decreases and then stabilizes. At 57 rads/s, the torque resistance decreases by approximately 10.5%, whereas at 40 rads/s, it decreases by approximately 8%. Notably, the torque resistance does not necessarily decrease at lower roughness heights; instead, a critical roughness height exists. Below this threshold, the sidewall surface is effectively considered smooth, and torque resistance no longer decreases with decreasing roughness height. At an angular velocity of 57 rads/s, the critical roughness height is 1 × 10−5 m, whereas at 40 rads/s, it is 2.5 × 10−5 m. The critical roughness height is related to the angular velocity or rotational speed of the armature; higher speeds correspond to smaller critical roughness heights, a phenomenon that has also been verified by Avci and Karagoz [24]. The “Top and bottom walls” subplot in Figure 12 indicates a similar situation in which the torque resistance initially decreases and then stabilizes as the roughness height diminishes. At 57 rads/s, the resistance torque decreases by approximately 9.5%, whereas at 40 rads/s, it decreases by approximately 8.5%. Furthermore, a critical roughness height exists here as well, which decreases as the rotational speed increases. Consequently, when the rotational speed requirements for the supergravity centrifuge increase, to minimize the torque resistance as much as possible, the smoothness requirements of the sidewalls must be reduced, i.e., the roughness height must be reduced.
The “Rotating arm” subplot in Figure 12 illustrates the variation in torque resistance under different roughness heights of the armature when the roughness heights of the top and bottom walls and sidewalls are fixed at 5 × 10−5 m. The effect of the armature roughness height on the torque resistance is minimal compared with that of the roughness height of the sidewalls and top and bottom walls. At 57 rads/s, the torque resistance decreases by only 2.4%, and at 40 rads/s, it decreases by a mere 0.8%. This is primarily because, in the torque resistance components obtained from simulations, the shape (or pressure) component dominates the armature’s contribution, accounting for over 96% of the total resistance, whereas the friction (or viscous) component constitutes less than 4%. This partition of components is consistent with similar findings from a study by Achenbach [25] on the resistance components of a streamlined cylindrical body, where they reported that the shape (or pressure) component accounted for over 98% of the resistance, whereas the friction component accounted for less than 2%. Clearly, the roughness height does not alter the shape (or pressure) of the resistance but only affects the friction component. Consequently, for the armature, the roughness height has a relatively minor impact on the torque resistance.

3.4. Relationship between Wind Resistance and Armature Geometry

In the analysis described in Section 3.3, the shape (or pressure) component contributes predominantly to the torque resistance of the armature. Hence, the shape of the armature has a significant effect on the torque resistance. Given the impossibility of exhaustively examining every conceivable armature shape, we selected five typical armature geometries for comparative analysis, as shown in the accompanying figure. Here, Figure 14a represents the actual armature shape of the CHIEF device, Figure 14b depicts an armature with no chamfer treatment, Figure 14c shows an armature design with rounded fillet corners, Figure 14d presents an armature with chamfers at the edges, and Figure 14e shows an armature in a disc-shaped configuration.
Figure 13 shows the variation curves of torque resistance with angular velocity for the five aforementioned armature geometries. As shown in the figure, the torque resistances ranked from largest to smallest, corresponding to the armatures in the following order: Figure 14b features an armature with no chamfers, Figure 14a depicts the actual armature, Figure 14c displays an armature with rounded fillets, and Figure 14e presents a disc-shaped armature. Among these, the torque resistances under different angular velocities are relatively close for the armatures shown in Figure 14a–c. Figure 14d shows an armature with chamfers, which exhibits a notably reduced torque resistance with a maximum decrease of approximately 20% compared to the armature without chamfers, as shown in Figure 14b. However, this armature design has the disadvantage of having a smaller volume. If used as an armature in a supergravity centrifuge, it would significantly reduce the space available for the experimental capsules. Finally, Figure 14e indicates that the disc-shaped armature experienced the most significant reduction in torque resistance, with a maximum decrease of approximately 73% compared to the armature without chamfers in Figure 14b. This substantial decrease is mainly because of the absence of pressure-induced resistance in the disc-shaped armature, which only incurs frictional resistance.
Figure 15 shows the vorticity cross-sectional contour plots of the flow field around different armature geometries at an angular velocity of 40 rads/s. The greater the vorticity, the larger the vortex losses within the flow field. In Figure 15, colors closer to red indicate higher vorticity values, whereas colors closer to blue indicate the lowest vorticity values. Large vorticity regions are concentrated in the vicinity of the armature and its wake area. By observing the images in Figure 15a–d, the high-vorticity regions gradually decrease. For a more direct comparison of the vorticity magnitudes among the different shapes, we calculated the volumetric average vorticity values. These values were found to be 263.8, 257.8, 235.7, and 129/s in Figure 15a–d, respectively. In descending order, the volumetric average vorticity corresponds to armatures with no chamfers, armatures with rounded fillet corners, armatures with chamfers, and the disc-shaped armature, which aligns with the descending order of torque resistance. Thus, we conclude that different armature geometries result in varying vorticities in the surrounding flow field. The greater the vorticity, the larger the vortex losses, and hence, the larger the torque resistance. In comparison, the disc-shaped armature exhibits a much lower vorticity in its wake flow field.
To analyze the impact and contributions of different parts of the armature on the torque resistance, the armature was divided into four segments: end wall surface, sidewall surface, top wall surface, and bottom wall surface, as shown in Figure 16a–d.
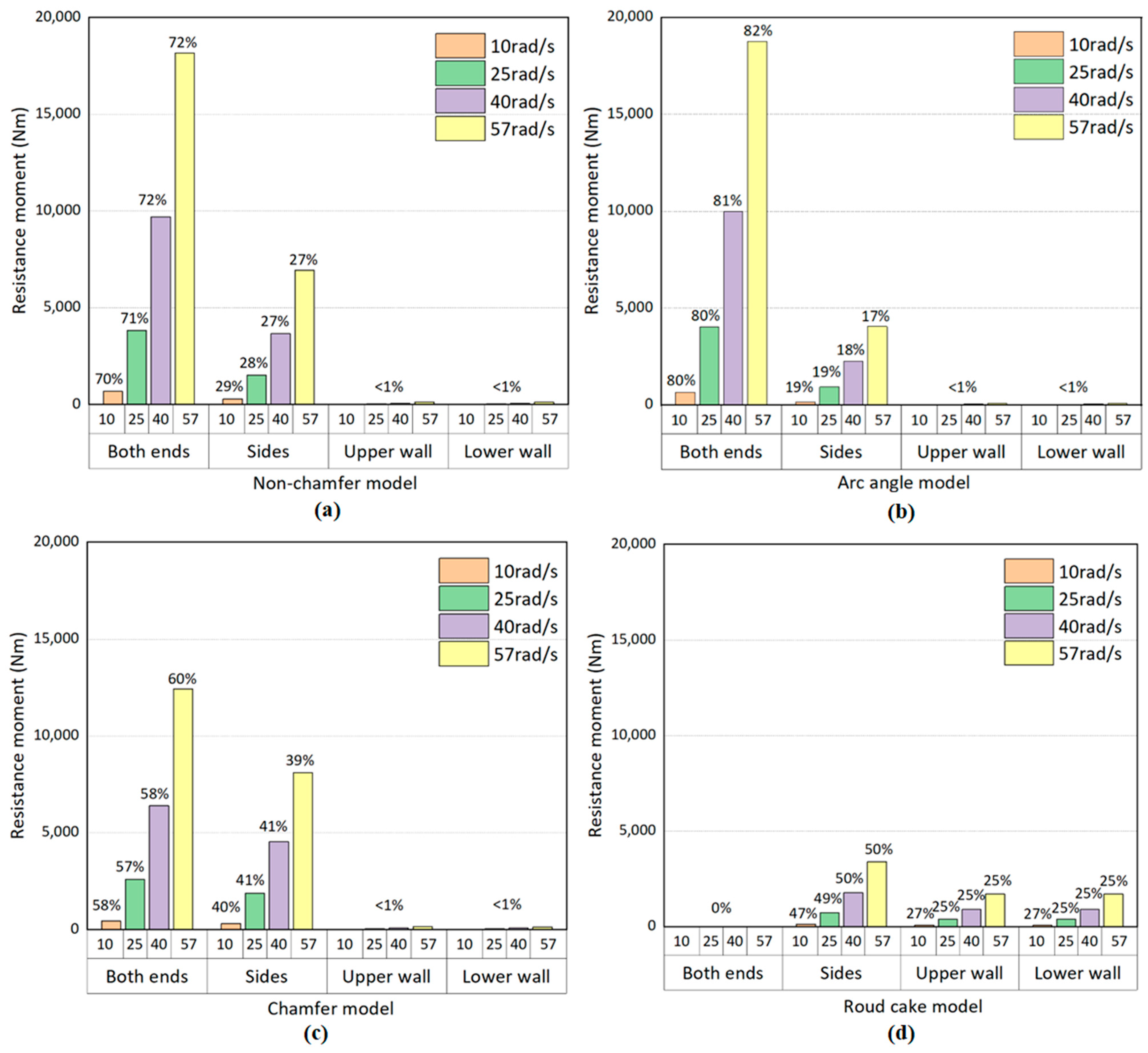
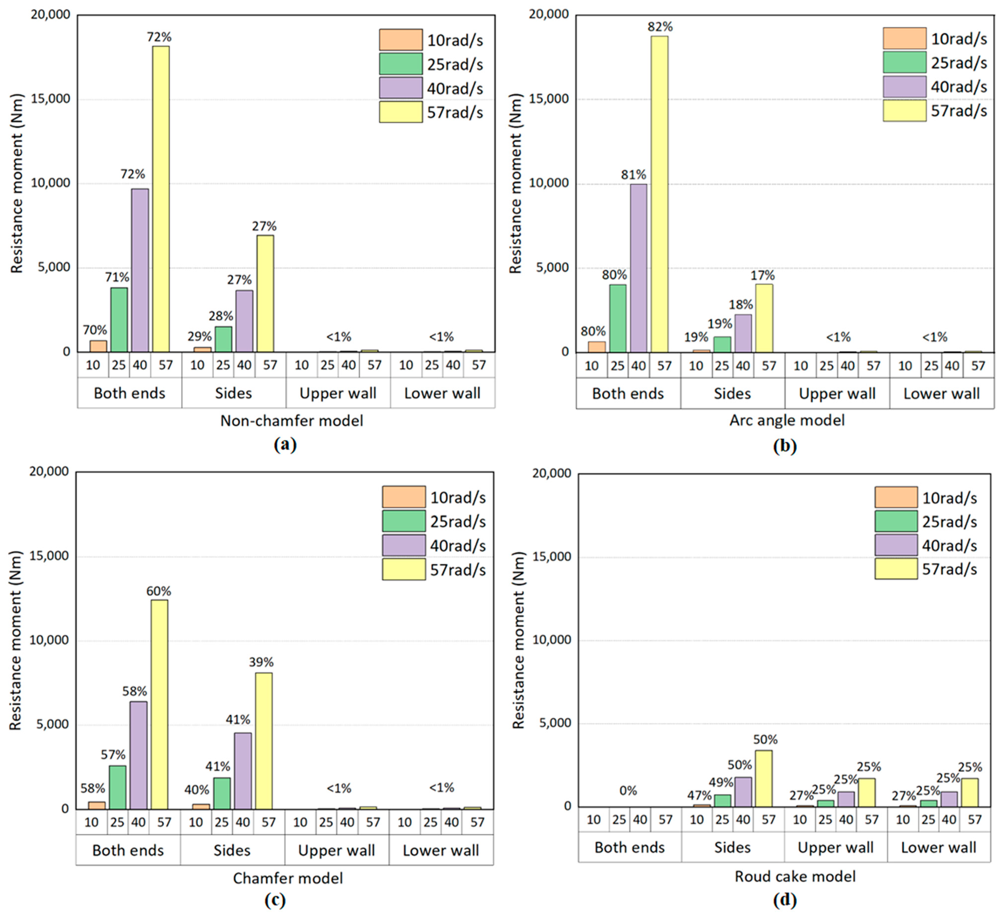
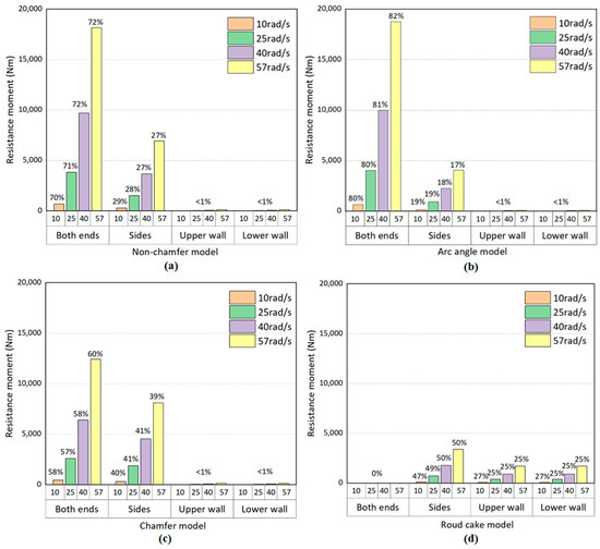
Figure 17 presents bar charts of the resistance contributions of different armature segments, with Figure 17a–d representing the armatures without chamfers, armatures with rounded fillet corners, armatures with chamfers, and disc-shaped armatures, respectively. For non-disc-shaped armatures, according to Figure 17a–c, the end portions contributed the largest proportion of the resistance, followed by the sidewall surfaces, with the contributions of both the top and bottom wall surfaces being negligible and not exceeding 1%. Among the end portions, the rounded fillet corner armature had the highest resistance share at (81 ± 1)%, followed by the armature with no chamfers at (71 ± 1)%, and the share of the chamfered armature with a head portion ranged from 57% to 60%. Regarding the contributions of the sidewall surface to the resistance for non-disc-shaped armatures, the chamfered armature tops the list with a resistance share of approximately (40 ± 1)%, followed by the armature with no chamfers, with a sidewall resistance share of around (28 ± 1)%, and the armature with rounded fillet corners, which has the smallest contribution with a sidewall resistance share of (18 ± 1)%. Because the disc-shaped armature lacks end portions, the sidewall surfaces account for approximately 50% of the resistance, whereas the top and bottom wall surfaces each contribute approximately 25% of the resistance.
In summary, we found that the disc-shaped armature dramatically reduces resistance because it lacks pressure–resistance components, possesses only frictional resistance, and exhibits a much smaller vorticity in the surrounding fluid flow. The resistance contribution from the sidewall segment of the disc-shaped armature is comparable to the combined contribution from the top and bottom wall segments. For the non-disc-shaped armatures, the ends of the armature contributed the most to the resistance, followed by the sidewalls, with the contributions from the top and bottom walls being incredibly small (less than 1%). The resistance contributions from different segments remained largely unchanged with variations in angular velocity. In the case of a disc-shaped arm under actual implementation, certain issues arise, such as difficulties in casting a solid arm of this shape while maintaining balance as well as challenges in casting and installation. However, we propose considering the use of a disc-shaped shell that simply envelops the existing arm configuration, with an access hatch atop the shell designed for disassembling the hypergravity experimental apparatus. With this approach, the primary concern would be the secure fixation of the shell itself. Therefore, we believe that the solution involving a hollow shell structure is practically feasible.

3.5. Potential Limitations of the Study

Although the credibility of the simulation method was validated through experiments using the ZJU400 Supergravity Centrifuge, notably, simulations can only provide approximate predictions and do not yield precise measurements of resistance under different operating conditions. However, the conclusions drawn above require validation using experimental data. Considering the substantial cost associated with conducting various real-world experiments on a supergravity centrifuge and the fact that many of the conclusions reached herein are supported by evidence in the relevant literature, we believe that these findings are credible and hold valuable guidance implications.

4. Conclusions

This paper presents a systematic study on the optimization of the resistance in supergravity centrifuges, acknowledging the considerable cost of experimentation. By employing CFD methods, this study was substantiated by experimental data from the ZJU400 centrifuge at Zhejiang University.
This study examined the impact of the sidewall radius of an experimental capsule in a supergravity centrifuge on wind resistance, revealing that a smaller radius leads to a smaller wind resistance (with a maximum reduction of approximately 15% within the simulated radius range). Within this simulated radius range, the increase in torque resistance caused by a larger radius was not due to a decrease in the flow ratio but rather due to an increase in the effective viscosity of the trailing fluid. Therefore, during the design process, the sidewall radius of the outer wall should be minimized as much as possible while ensuring a safe distance between the armature and the outer wall surface.
This study investigated the effect of the height of an experimental capsule in a supergravity centrifuge on wind resistance and found that the influence of height was more pronounced than that of radius. Lower heights result in smaller resistance; a reduction from 2200 to 1400 mm in height led to a decrease of approximately 25% in resistance, and at a certain height, the resistance dropped sharply. The analysis revealed that this was because of the von Kármán vortex street phenomenon. When the armature approaches the top and bottom walls, the Venturi effect suppresses vortex shedding, thereby reducing resistance. However, above this height, the suppression effect from the top or bottom walls quickly dissipates, allowing the von Kármán vortex street phenomenon to develop fully and leading to a rapid increase in resistance. Therefore, during design, the height should be minimized as much as possible while maintaining a safe distance between the armature and top and bottom walls, ideally lowering it to a range that suppresses vortex shedding.
The study also examined the effect of the roughness of the sidewalls, top and bottom walls, and armature on the resistance, demonstrating that the resistance decreases with a reduction in the roughness of the sidewalls and top and bottom walls; however, below a critical roughness level, the torque resistance stops decreasing. This critical roughness level decreases with an increase in rotational speed. However, the roughness of the armature has a minimal impact on the resistance, as the armature’s resistance components are predominantly pressure-driven and are not influenced by roughness. Thus, as the acceleration and rotational speed requirements for supergravity centrifuges increase, designers should focus on further improving the smoothness requirements for the side, top, and bottom walls, whereas the roughness requirement for the armature is less crucial.
An investigation into the impact of five representative armature shapes showed that a disc-shaped armature significantly reduced resistance (up to approximately 73%). This is because the disc-shaped armature lacks pressure–resistance components and only experiences frictional resistance, and the vorticity in the trailing fluid is much smaller. Although this type of armature has not yet been employed in supergravity centrifuges, simulations suggest that, from a resistance optimization standpoint, disc-shaped armatures could offer significant advantages in the design of high-speed supergravity centrifuges in the future.
This study has validated the accuracy of the model using the ZJU400 centrifuge. However, owing to the higher linear velocity of CHIEF, the findings of this study require further examination and verification. In the future, we will conduct actual wind resistance measurements on the soon-to-be-completed CHIEF and further refine the model to develop a more accurate one.

Author Contributions

Conceptualization, Y.Y.; formal analysis, Y.-N.G.; investigation, Y.-N.G.; resources, Y.Y., W.-A.L., J.-Q.J. and D.D.; data curation, Y.-N.G.; writing—original draft preparation, Y.-N.G.; writing—review and editing, Y.-N.G.; supervision, Y.Y.; funding acquisition, Y.Y. All authors have read and agreed to the published version of the manuscript.

Funding

The authors declare that this study received funding from [Key R&D Program of Zhejiang] grant number [No. 2024C03247]. The funder was not involved in the study design, collection, analysis, interpretation of data, the writing of this article or the decision to submit it for publication.

Institutional Review Board Statement

Not applicable.

Informed Consent Statement

Not applicable.

Data Availability Statement

Data sharing is not applicable to this article as no new data were created or analyzed in this study.

Acknowledgments

The authors wish to thank the authorities of the College of Civil Engineering and Architecture, Zhejiang University, for providing the experimental data used in this study. We also wish to thank Jiang Jianqun and Lin Weian for the support provided with the experimental data.

Conflicts of Interest

Authors Yi-Nan Guo Yi Yang and De Ding were employed by the company The Architectural Design & Research Institute of Zhejiang University Co., Ltd. The remaining authors declare that the research was conducted in the absence of any commercial or financial relationships that could be construed as a potential conflict of interest.

References

  1. Kumar, P.; Viswanadham, B.V.S. Centrifuge model studies on the performance of earthen dams with geocomposite internal drain subjected to pseudostatic seismic loading. Soil Dyn. Earthq. Eng. 2023, 170, 107907. [Google Scholar] [CrossRef]
  2. Ma, X.; Liu, C.; Wang, L.; Yuan, J. Analysis of earth pressure distribution on deep circular shafts in composite geological strata using centrifuge modelling. Bull. Eng. Geol. Environ. 2021, 80, 4089–4096. [Google Scholar] [CrossRef]
  3. Guo, X.; Nian, T.; Zhao, W.; Gu, Z.; Liu, C.; Liu, X.; Jia, Y. Centrifuge experiment on the penetration test for evaluating undrained strength of deep-sea surface soils. Int. J. Min. Sci. Technol. 2022, 32, 363–373. [Google Scholar] [CrossRef]
  4. Tian, C.; Li, Y.; Zhang, X.; Zhang, Z.; Hu, J.; Song, J.; Zhang, X. Dynamic centrifuge experimental study on dam-reservoir interaction in concrete-face rockfill dams under earthquake loading. Int. J. Geomech. 2023, 23, 04023224. [Google Scholar] [CrossRef]
  5. Kutter, B.L. Performance and instrumentation of the large centrifuge at Davis. In Centrifuge 91: Proceedings of the International Conference Centrifuge 1991; A.A. Balkema: Rotterdam, The Netherlands, 1991; pp. 19–26. [Google Scholar]
  6. Wang, Y.; Zhang, M.; Zhang, X.; Wang, T.; Ran, G. Cause and estimation approach of disturbing force on hypergravity centrifuge foundation. China Civ. Eng. J. 2023, 56, 103–113. [Google Scholar]
  7. Lin, W.A.; Zheng, C.X.; Jiang, J.Q. Temperature control test of scaled model of high capacity hypergravity centrifuge. J. Zhejiang Univ. (Eng. Sci.) 2020, 54, 1587–1592. [Google Scholar]
  8. Guo, Y.N.; Yang, Y.; Yu, J.X.; Ding, D.; Wang, Y.L. A computational fluid dynamic-based method for analyzing the nonlinear relationship between windage loss and pressure in a geotechnical centrifuge. SN Appl. Sci. 2021, 3, 791. [Google Scholar] [CrossRef]
  9. Gao, Q.H.; Zhang, J.Z.; Sun, W.J. Effects of annular-cooler surface-roughness on wind resistance and thermal environment in a high-speed geotechnical centrifuge chamber. Case Stud. Therm. Eng. 2021, 28, 101464. [Google Scholar] [CrossRef]
  10. Miyazaki, Y.; Mizuno, K.; Yamashita, T.; Ogata, M.; Hasegawa, H.; Nagashima, K.; Mukoyama, S.; Matsuoka, T.; Nakao, K.; Horiuch, S.; et al. Development of superconducting magnetic bearing for flywheel energy storage system. Cryogenics 2016, 80, 234–237. [Google Scholar] [CrossRef]
  11. Wei, C.; Xu, Y.; Zhang, K.; Lv, C.; Dong, X.; Zhang, S.; Wu, J. Research on windage losses of smooth rotor supported by active magnetic bearings in a vacuum chamber. Vacuum 2019, 159, 76–81. [Google Scholar] [CrossRef]
  12. Okada, Y.; Kosaka, T.; Matsui, N. Windage loss reduction for hybrid excitation flux switching motors based on rotor structure design. In Proceedings of the 2017 IEEE International Electric Machines and Drives Conference (IEMDC), Miami, FL, USA, 21–24 May 2017; pp. 1–8. [Google Scholar] [CrossRef]
  13. Seshadri, A.; Chokkalingam, L.N. Influence of rotor slot profile on the windage loss in a Switched Reluctance Motor for an electric autorickshaw. Eng. Sci. Technol. Int. J. 2023, 46, 101493. [Google Scholar] [CrossRef]
  14. Nachouane, A.B.; Abdelli, A.; Friedrich, G.; Vivier, S. Estimation of windage losses inside very narrow air gaps of high speed electrical machines without an internal ventilation using CFD methods. In Proceedings of the 2016 XXII International Conference on Electrical Machines (ICEM), Lausanne, Switzerland, 4–7 September 2016; pp. 2704–2710. [Google Scholar] [CrossRef]
  15. Shadab, M.; Karimipour, M.; Najafi, A.F.; Paydar, R.; Nourbakhsh, S.A. Effect of impeller shroud trimming on the hydraulic performance of centrifugal pumps with low and medium specific speeds. Eng. Appl. Comput. Fluid Mech. 2022, 16, 514–535. [Google Scholar] [CrossRef]
  16. Anderson, K.; Lin, J.; Wong, A. Experimental and numerical study of windage losses in the narrow gap region of a high-speed electric motor. Fluids 2018, 3, 22. [Google Scholar] [CrossRef]
  17. Fertahi, S.D.; Belhadad, T.; Kanna, A.; Samaouali, A.; Kadiri, I. Assessment of fairing geometry effects on H-Darrieus hydro turbine performance using 2D URANS CFD simulations. Energy Convers. Manag. 2023, 293, 117434. [Google Scholar] [CrossRef]
  18. Menter, F.R. Two-equation eddy-viscosity turbulence models for engineering applications. AIAA J. 1994, 32, 1598–1605. [Google Scholar] [CrossRef]
  19. Concli, F.; Gorla, C.; Torre, A.D.; Montenegro, G. Windage power losses of ordinary gears: Different CFD approaches aimed to the reduction of the computational effort. Lubricants 2014, 2, 162–176. [Google Scholar] [CrossRef]
  20. Raymond, M.S.; Kasarda, M.E.F.; Allaire, P.E. Windage power loss modeling of a smooth rotor supported by homopolar active magnetic bearings. J. Tribol. 2008, 130, 021101. [Google Scholar] [CrossRef]
  21. Calasan, M.; Ostojic, M.; Petrovic, D. The retardation method for bearings loss determination. In Proceedings of the International Symposium on Power Electronics Power Electronics, Electrical Drives, Automation and Motion, Sorrento, Italy, 20–22 June 2012; pp. 25–29. [Google Scholar] [CrossRef]
  22. Siemens Digital Industries Software Inc. Simcenter STAR-CCM+2402 User Guide. Available online: https://starccm.jachwang.co.uk (accessed on 13 August 2024).
  23. de Oliveira, M.A.; de Moraes, P.G.; de Andrade, C.L.; Bimbato, A.M.; Pereira, L.A.A. Control and suppression of vortex shedding from a slightly rough circular cylinder by a discrete vortex method. Energies 2020, 13, 4481. [Google Scholar] [CrossRef]
  24. Avci, A.; Karagoz, I. A new explicit friction factor formula for laminar, transition and turbulent flows in smooth and rough pipes. Eur. J. Mech. B Fluids 2019, 78, 182–187. [Google Scholar] [CrossRef]
  25. Achenbach, E. Influence of surface roughness on cross-flow around a circular cylinder. J. Fluid Mech. 1971, 46, 321–335. [Google Scholar] [CrossRef]
Figure 1. Schematic of the Centrifugal Hypergravity and Interdisciplinary Experiment Facility (CHIEF) supergravity geotechnical high-speed centrifuge.
Figure 1. Schematic of the Centrifugal Hypergravity and Interdisciplinary Experiment Facility (CHIEF) supergravity geotechnical high-speed centrifuge.
Applsci 14 07613 g001
Figure 2. Dimensions of the CHIEF high-speed machine and simplified model, where (a) represents the lateral dimensioned view, (b) is the top plan with dimensions, (c) is the simplified model side view, and (d) is the simplified model top view.
Figure 2. Dimensions of the CHIEF high-speed machine and simplified model, where (a) represents the lateral dimensioned view, (b) is the top plan with dimensions, (c) is the simplified model side view, and (d) is the simplified model top view.
Applsci 14 07613 g002
Figure 3. Multiple reference frame (MRF) configuration and mesh partition scheme, where (a) represents the schematic diagram of MRF division, (b) is the grid schematic diagram of A-A cross-section, and (c) is the boundary layer grid schematic diagram.
Figure 3. Multiple reference frame (MRF) configuration and mesh partition scheme, where (a) represents the schematic diagram of MRF division, (b) is the grid schematic diagram of A-A cross-section, and (c) is the boundary layer grid schematic diagram.
Applsci 14 07613 g003
Figure 4. Results show (a) boundary layer number independence and (b) grid number independence.
Figure 4. Results show (a) boundary layer number independence and (b) grid number independence.
Applsci 14 07613 g004
Figure 5. ZJU400 ultra-gravity centrifuge.
Figure 5. ZJU400 ultra-gravity centrifuge.
Applsci 14 07613 g005
Figure 6. Comparison of the measured motor power and computational fluid dynamics (CFD) simulated windage loss.
Figure 6. Comparison of the measured motor power and computational fluid dynamics (CFD) simulated windage loss.
Applsci 14 07613 g006
Figure 7. Wind resistance torque, average sectional velocity, and average effective viscosity versus radius change.
Figure 7. Wind resistance torque, average sectional velocity, and average effective viscosity versus radius change.
Applsci 14 07613 g007
Figure 8. Effective viscosity at different radii, where (a) represents 4350 mm effective viscosity diagram, and (b) is 4650 mm effective viscosity diagram.
Figure 8. Effective viscosity at different radii, where (a) represents 4350 mm effective viscosity diagram, and (b) is 4650 mm effective viscosity diagram.
Applsci 14 07613 g008
Figure 9. Resistance torque and Reynolds number variation with height.
Figure 9. Resistance torque and Reynolds number variation with height.
Applsci 14 07613 g009
Figure 10. Reynolds number cloud plots at different heights, where (a) represents 1400 mm height, (b) is 1600 mm height, (c) is 1700 mm height, and (d) is 2000 mm height.
Figure 10. Reynolds number cloud plots at different heights, where (a) represents 1400 mm height, (b) is 1600 mm height, (c) is 1700 mm height, and (d) is 2000 mm height.
Applsci 14 07613 g010
Figure 11. Cylindrical cross-section vorticity magnitude diagram, where (a) represents the vorticity diagram at a height of 1400 mm for a cylindrical cross-section with radius R = 3500 mm, and (b) represents the vorticity diagram at a height of 2200 mm for a cylindrical cross-section with radius R = 3500 mm.
Figure 11. Cylindrical cross-section vorticity magnitude diagram, where (a) represents the vorticity diagram at a height of 1400 mm for a cylindrical cross-section with radius R = 3500 mm, and (b) represents the vorticity diagram at a height of 2200 mm for a cylindrical cross-section with radius R = 3500 mm.
Applsci 14 07613 g011
Figure 12. Changes in torque resistance at various roughness heights of the sidewall, top and bottom walls, and arm.
Figure 12. Changes in torque resistance at various roughness heights of the sidewall, top and bottom walls, and arm.
Applsci 14 07613 g012
Figure 13. Resistance torque versus angular velocity for different armature geometries.
Figure 13. Resistance torque versus angular velocity for different armature geometries.
Applsci 14 07613 g013
Figure 14. Different armature geometries, where (a) is actual model, (b) is non-chamfer model, (c) is rounded fillet model, (d) is chamfer model and (e) disc-shaped model.
Figure 14. Different armature geometries, where (a) is actual model, (b) is non-chamfer model, (c) is rounded fillet model, (d) is chamfer model and (e) disc-shaped model.
Applsci 14 07613 g014
Figure 15. Vorticity cloud plots for different armature geometries, where (a) is the vorticity cloud plot for the non-chamfer model, (b) is for the arc angle model, (c) is for the chamfer model, and (d) is for the round cake model.
Figure 15. Vorticity cloud plots for different armature geometries, where (a) is the vorticity cloud plot for the non-chamfer model, (b) is for the arc angle model, (c) is for the chamfer model, and (d) is for the round cake model.
Applsci 14 07613 g015
Figure 16. Armature component segments, where (a) represents both ends, (b) represents the sides, (c) represents upper wall, and (d) represents lower all.
Figure 16. Armature component segments, where (a) represents both ends, (b) represents the sides, (c) represents upper wall, and (d) represents lower all.
Applsci 14 07613 g016
Figure 17. Resistance contributions from different armature segments, where (a) is for the non-chamfer model, (b) is for the arc angle model, (c) is for the chamfer model, and (d) is for the round cake model.
Figure 17. Resistance contributions from different armature segments, where (a) is for the non-chamfer model, (b) is for the arc angle model, (c) is for the chamfer model, and (d) is for the round cake model.
Applsci 14 07613 g017
Table 1. Available calculation formulas for windage resistance.
Table 1. Available calculation formulas for windage resistance.
Windage LossSimplified Formula
P W = 0.074 ρ L π R 4 v 2 π R 2 0.2 ω 2.8 C ρ ω 2.8
P W = 0.455 ρ L π R 4 ω 3 log 2 π R 2 ω v 2.58 C ρ ω 3 log ω 2.58
P W = 0.0303 ρ L π R 4 v 2 π R 2 1 7 ω 2.86 C ρ ω 2.86
P W = [ 0.523 ρ L π R 4 ] ω 3 l n [ 0.06 2 π R 2 ω v ] 2 C ρ ω 3 l n ( ω ) 2
P W = [ 1.328 ρ L π R 4 v 2 π R 2 1 2 ] ω 2.5 C ρ ω 2.5
Table 2. Comparison of simulated results and experimental data.
Table 2. Comparison of simulated results and experimental data.
Centrifugal Acceleration
(m2/s)
Motor Power
(kW)
Simulation Results
(kW)
Deviations
(%)
Presumed Bearing Friction Power (kW)Error
(%)
10 g6.984.98−28.70–1.95−20.7 to 15
20 g16.6012.24−26.30–3.28−18.1 to 5.0
30 g25.4120.75−18.30–4.45−9.3 to 12.6
45 g41.7636.25−13.20–6.02−3.5 to 14.8
60 g60.4051.21−15.20–7.48−5.8 to 9.2
75 g95.5773.1−23.50–8.84−15.0 to −5.3
90 g105.1090.71−13.70–10.13−4.1 to 7.4
120 g160.55148.1−7.80–12.572.5 to 12.2
Disclaimer/Publisher’s Note: The statements, opinions and data contained in all publications are solely those of the individual author(s) and contributor(s) and not of MDPI and/or the editor(s). MDPI and/or the editor(s) disclaim responsibility for any injury to people or property resulting from any ideas, methods, instructions or products referred to in the content.

Share and Cite

MDPI and ACS Style

Guo, Y.-N.; Yang, Y.; Lin, W.-A.; Jiang, J.-Q.; Ding, D. Aerodynamic Optimization Design of a Supergravity Centrifuge: A Low-Resistance Strategy. Appl. Sci. 2024, 14, 7613. https://doi.org/10.3390/app14177613

AMA Style

Guo Y-N, Yang Y, Lin W-A, Jiang J-Q, Ding D. Aerodynamic Optimization Design of a Supergravity Centrifuge: A Low-Resistance Strategy. Applied Sciences. 2024; 14(17):7613. https://doi.org/10.3390/app14177613

Chicago/Turabian Style

Guo, Yi-Nan, Yi Yang, Wei-An Lin, Jian-Qun Jiang, and De Ding. 2024. "Aerodynamic Optimization Design of a Supergravity Centrifuge: A Low-Resistance Strategy" Applied Sciences 14, no. 17: 7613. https://doi.org/10.3390/app14177613

APA Style

Guo, Y.-N., Yang, Y., Lin, W.-A., Jiang, J.-Q., & Ding, D. (2024). Aerodynamic Optimization Design of a Supergravity Centrifuge: A Low-Resistance Strategy. Applied Sciences, 14(17), 7613. https://doi.org/10.3390/app14177613

Note that from the first issue of 2016, this journal uses article numbers instead of page numbers. See further details here.

Article Metrics

Back to TopTop