Ray Tracing of the New Multi-Modal X-ray Imaging Beamline PolyX at SOLARIS National Synchrotron Radiation Centre
Abstract
1. Introduction
2. Beamline Description
3. Methods
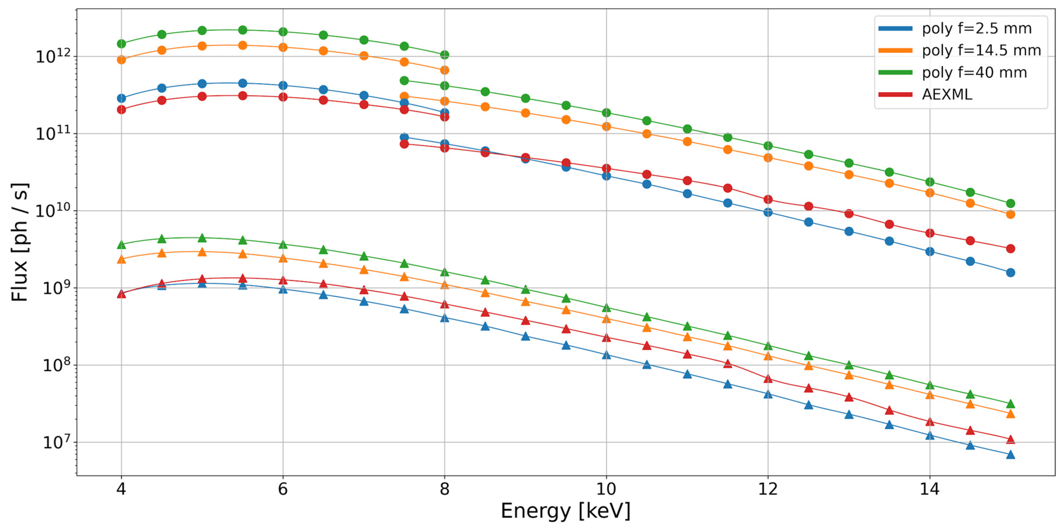
4. Results and Discussion
5. Conclusions
Supplementary Materials
Author Contributions
Funding
Institutional Review Board Statement
Informed Consent Statement
Data Availability Statement
Acknowledgments
Conflicts of Interest
References
- Szlachetko, J.; Szade, J.; Beyer, E.; Błachucki, W.; Ciochoń, P.; Dumas, P.; Freindl, K.; Gazdowicz, G.; Glatt, S.; Guła, K.; et al. SOLARIS National Synchrotron Radiation Centre in Krakow, Poland. Eur. Phys. J. Plus 2023, 138, 10. [Google Scholar] [CrossRef]
- Sowa, K.M.; Wróbel, P.; Kołodziej, T.; Błachucki, W.; Kosiorowski, F.; Zając, M.; Korecki, P. PolyX beamline at SOLARIS—Concept and first white beam commissioning results. Nucl. Instrum. Methods Phys. Res. Sect. B 2023, 538, 131–137. [Google Scholar] [CrossRef]
- Sowa, K.M.; Kujda, M.P.; Korecki, P. Plenoptic x-ray microscopy. Appl. Phys. Lett. 2020, 116, 014103. [Google Scholar] [CrossRef]
- del Rio, M.S.; Canestrari, N.; Jiang, F.; Cerrina, F. SHADOW3: A new version of the synchrotron X-ray optics modelling package. J. Synchrotron Radiat. 2011, 18, 708–716. [Google Scholar] [CrossRef] [PubMed]
- Klementiev, K.; Chernikov, R. Powerful scriptable ray tracing package xrt. In Advances in Computational Methods for X-ray Optics III, Proceedings of the SPIE Optical Engineering + Applications, San Diego, CA, USA, 17–21 August 2024; SPIE: Bellingham, WA, USA, 2024; Volume 9209. [Google Scholar] [CrossRef]
- Bergbäck Knudsen, E.; Prodi, A.; Baltser, J.; Thomsen, M.; Kjær Willendrup, P.; Sanchez del Rio, M.; Ferrero, C.; Farhi, E.; Haldrup, K.; Vickery, A.; et al. McXtrace: A Monte Carlo software package for simulating X-ray optics, beamlines and experiments. J. Appl. Crystallogr. 2013, 46, 679–696. [Google Scholar] [CrossRef]
- Tack, P.; Schoonjans, T.; Bauters, S.; Vincze, L. An X-ray ray tracing simulation code for mono- and polycapillaries: Description, advances and application. Spectrochim. Acta—Part B At. Spectrosc. 2020, 173, 105974. [Google Scholar] [CrossRef]
- Vincze, L.; Janssens, K.; Adams, F.; Rindby, A. Detailed ray-tracing code for capillary optics. X-ray Spectrom. 1995, 24, 27–37. [Google Scholar] [CrossRef]
- Yang, J.; Li, Y.D.; Wang, X.Y.; Zhang, X.Y.; Lin, X.Y. Simulation and application of micro X-ray fluorescence based on an ellipsoidal capillary. Nucl. Instrum. Methods Phys. Res. Sect. B 2017, 401, 25–28. [Google Scholar] [CrossRef]
- Lin, X.-Y.; Li, Y.-D.; Sun, T.-X.; Pan, Q.-L. Simulation of x-ray transmission through an ellipsoidal capillary. Chin. Phys. B 2010, 19, 070205. [Google Scholar] [CrossRef]
- Vincze, L.; Kukhlevsky, S.V.; Janssens, K. Simulation of polycapillary lenses for coherent and partially coherent X-rays. In Advances in Computational Methods for X-ray and Neutron Optics, Proceedings of the Optical Science and Technology, the SPIE 49th Annual Meeting, Denver, CO, USA, 2–6 August 2004; SPIE: Bellingham, WA, USA, 2004; Volume 5536. [Google Scholar] [CrossRef]
- Peng, S.; Liu, Z.; Sun, T.; Wang, K.; Yi, L.; Yang, K.; Chen, M.; Wang, J. Simulation of transmitted X-rays in a polycapillary X-ray lens. Nucl. Instrum. Methods Phys. Res. Sect. A 2015, 795, 186–191. [Google Scholar] [CrossRef]
- Hampai, D.; Dabagov, S.B.; Cappuccio, G.; Cibin, G. X-ray propagation through polycapillary optics studied through a ray tracing approach. Spectrochim. Acta B 2007, 62, 608–614. [Google Scholar] [CrossRef]
- Schoonjans, T.; Vincze, L.; Solé, V.A.; del Rio, M.S.; Brondeel, P.; Silversmit, G.; Appel, K.; Ferrero, C. A general Monte Carlo simulation of energy dispersive X-ray fluorescence spectrometers—Part 5: Polarized radiation, stratified samples, cascade effects, M-lines. Spectrochim. Acta Part B 2012, 70, 10–23. [Google Scholar] [CrossRef]
- Szczerbowska-Boruchowska, M. Sample thickness considerations for quantitative X-ray fluorescence analysis of the soft and skeletal tissues of the human body—Theoretical evaluation and experimental validation. X-ray Spectrom. 2012, 41, 328–337. [Google Scholar] [CrossRef]
- Sowa, K.M.; Jany, B.R.; Korecki, P. Multipoint-projection x-ray microscopy. Optica 2018, 5, 577. [Google Scholar] [CrossRef]
- Błachucki, W.; Sowa, K.M.; Kołodziej, T.; Wróbel, P.; Korecki, P.; Szlachetko, J. First white beam on a von Hámos spectrometer at the PolyX beamline of SOLARIS. Nucl. Instrum. Methods Phys. Res. Sect. B 2023, 542, 133–136. [Google Scholar] [CrossRef]














| Parameter | Value |
|---|---|
| Electron beam energy | 1.5 GeV |
| Maximum current | 500 mA |
| Electron beam sizes (σx, σz) | 44 μm, 30 μm |
| Electron beam emittance (εx, εz) | 8.05 nm·rad, 0.065 nm·rad |
| BM magnetic field | 1.31 T |
| Component | Distance from the Source [mm] | |
|---|---|---|
| 1 | Fixed mask 1 | 2314 |
| 2 | White beam slits | 5122.5 |
| 3 | Fixed mask 2 | 6704 |
| 4 | White beam filters | 8790 |
| 5 | Be window 1 (250 µm) | 9110 |
| 6 | Monochromator | 11,570 |
| 7 | Be window 2 (500 µm) | 12,625 |
| 8 | Capillary optics | ~14,450 (depending on the optic in use) |
| 9 | Sample | 14,500 |
| Alias | Working Distance [mm] | Optics Length [mm] | Optics Upstream Diameter [mm] | Optics Downstream Diameter [mm] | Upstream Capillary Channel Diameter [um] | No. of Capillaries |
|---|---|---|---|---|---|---|
| poly f = 2.5 | 2.5 | 37 | 4.2 | 0.83 | 0.75 | 313,136 |
| poly f = 14.5 | 14.5 | 63.75 | 6.4 | 2 | 3.3 | 97,801 |
| poly f = 40 | 40 | 41 | 6.5 | 4.5 | 7.5 | 101,144 |
| AEXML | 20.5 | 50 | 1 | 0.54 | - | 1 |
| Weight Fraction | DMM | White Beam Filtered with Al | |||||||
|---|---|---|---|---|---|---|---|---|---|
| Z | Elem. | Value | Unit | 5 keV | 10 keV | 15 keV | 0.5 mm | 1 mm | 2 mm |
| 1 | H | 8.1 | % | ||||||
| 6 | C | 64.8 | % | ||||||
| 7 | N | 9.8 | % | ||||||
| 8 | O | 13.7 | % | ||||||
| 11 | Na | 0.2 | % | 1600 | 23 | <1 | 380 | 47 | 4 |
| 12 | Mg | 620 | µg/g | 530 | 17 | <1 | 290 | 35 | 3 |
| 15 | P | 1.2 | % | 110k | 1800 | 45 | 30k | 3800 | 310 |
| 16 | S | 0.8 | % | 110k | 1800 | 46 | 30k | 3800 | 320 |
| 17 | Cl | 0.3 | % | 58k | 1000 | 26 | 16k | 2100 | 180 |
| 19 | K | 1.0 | % | 380k | 6900 | 180 | 120k | 15k | 1300 |
| 20 | Ca | 130 | µg/g | 6800 | 120 | 3 | 2100 | 270 | 22 |
| 25 | Mn | 10 | µg/g | - | 29 | <1 | 510 | 66 | 6 |
| 26 | Fe | 210 | µg/g | - | 770 | 21 | 13k | 1700 | 150 |
| 29 | Cu | 120 | µg/g | - | 710 | 21 | 11k | 1600 | 150 |
| 30 | Zn | 180 | µg/g | - | 1200 | 36 | 18k | 2800 | 250 |
| 34 | Se | 2 | µg/g | - | - | <1ss | 110 | 32 | 4 |
| 35 | Br | 3 | µg/g | - | - | <1 | 120 | 65 | 6 |
| 37 | Rb | 35 | µg/g | - | - | - | 700 | 310 | 67 |
| 38 | Sr | 95 | µg/g | - | - | - | 1200 | 600 | 160 |
| Elem. | Line | Weight Fraction [µg/g] | 1 mm Al | 2 mm Al | 4 mm Al | |
|---|---|---|---|---|---|---|
| 34 | Se | Kα | 100 | 120k | 17k | 990 |
| 38 | Sr | Kα | 92k | 24k | 2300 | |
| 40 | Zr | Kα | 50k | 17k | 2500 | |
| 42 | Mo | Kα | 19k | 8400 | 1700 | |
| 74 | W | Lα | 24k | 2400 | 130 | |
| 82 | Pb | Lα | 44k | 6800 | 440 | |
| 90 | Th | Lα | 30k | 8000 | 840 | |
| 92 | U | Lα | 23k | 7300 | 890 |
Disclaimer/Publisher’s Note: The statements, opinions and data contained in all publications are solely those of the individual author(s) and contributor(s) and not of MDPI and/or the editor(s). MDPI and/or the editor(s) disclaim responsibility for any injury to people or property resulting from any ideas, methods, instructions or products referred to in the content. |
© 2024 by the authors. Licensee MDPI, Basel, Switzerland. This article is an open access article distributed under the terms and conditions of the Creative Commons Attribution (CC BY) license (https://creativecommons.org/licenses/by/4.0/).
Share and Cite
Kosiorowski, F.; Wróbel, P.; Kołodziej, T.; Sowa, K.M.; Szczerbowska-Boruchowska, M.; Korecki, P. Ray Tracing of the New Multi-Modal X-ray Imaging Beamline PolyX at SOLARIS National Synchrotron Radiation Centre. Appl. Sci. 2024, 14, 7486. https://doi.org/10.3390/app14177486
Kosiorowski F, Wróbel P, Kołodziej T, Sowa KM, Szczerbowska-Boruchowska M, Korecki P. Ray Tracing of the New Multi-Modal X-ray Imaging Beamline PolyX at SOLARIS National Synchrotron Radiation Centre. Applied Sciences. 2024; 14(17):7486. https://doi.org/10.3390/app14177486
Chicago/Turabian StyleKosiorowski, Filip, Paweł Wróbel, Tomasz Kołodziej, Katarzyna M. Sowa, Magdalena Szczerbowska-Boruchowska, and Paweł Korecki. 2024. "Ray Tracing of the New Multi-Modal X-ray Imaging Beamline PolyX at SOLARIS National Synchrotron Radiation Centre" Applied Sciences 14, no. 17: 7486. https://doi.org/10.3390/app14177486
APA StyleKosiorowski, F., Wróbel, P., Kołodziej, T., Sowa, K. M., Szczerbowska-Boruchowska, M., & Korecki, P. (2024). Ray Tracing of the New Multi-Modal X-ray Imaging Beamline PolyX at SOLARIS National Synchrotron Radiation Centre. Applied Sciences, 14(17), 7486. https://doi.org/10.3390/app14177486

