The Impact of Exercise Order on Velocity Performance in the Bench Press and the Squat: A Comparative Study
Abstract
1. Introduction
2. Materials and Methods
2.1. Study Design
2.2. Participants
2.3. Procedures
2.3.1. Familiarization Session
2.3.2. Progressive Loading Test in the Bench Press and Squat
2.3.3. Resistance Training Protocols and Data Collection
2.4. Statistical Analysis
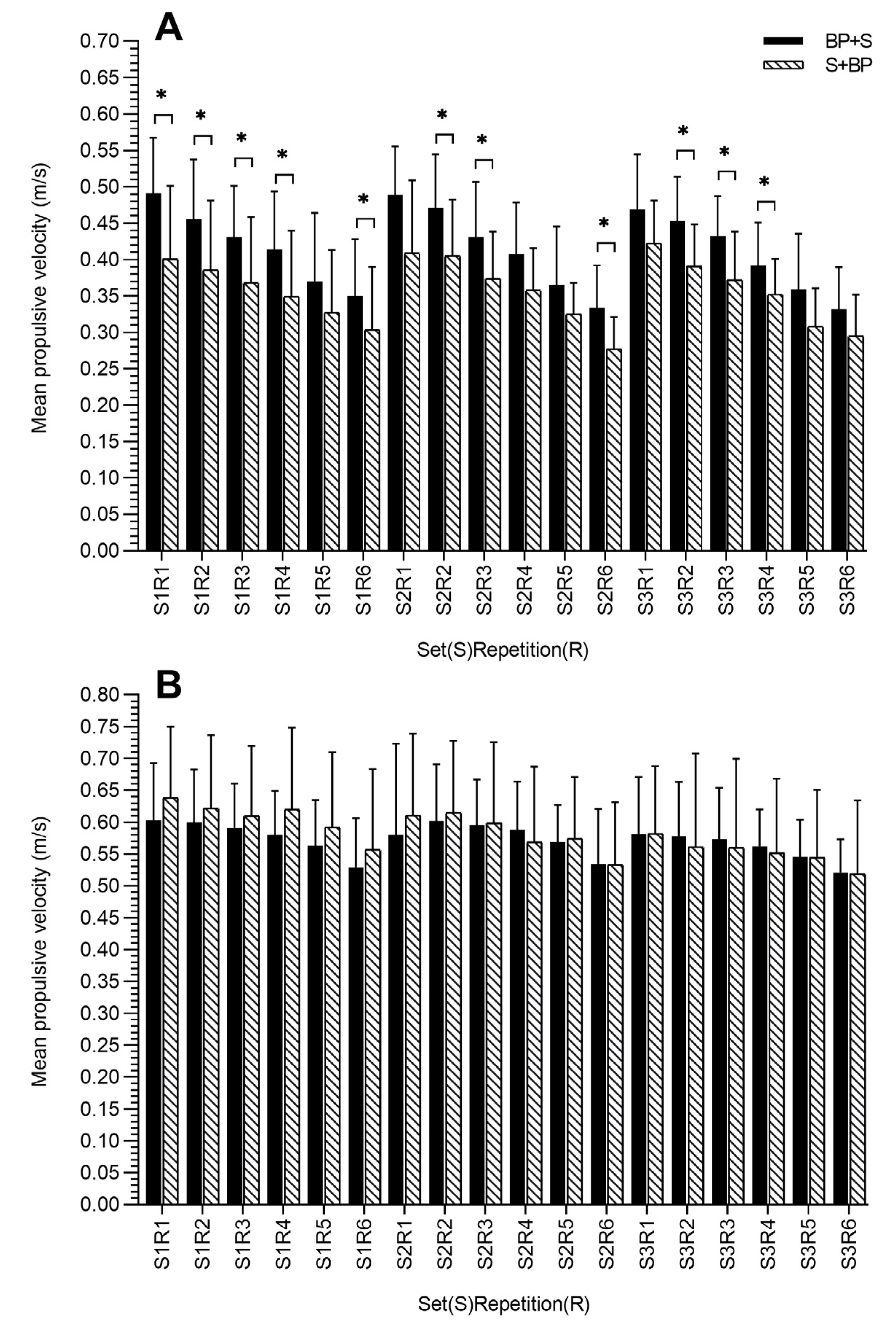
3. Results
3.1. Bench Press and Squat Velocity Performance
3.2. Blood Lactate and Heart Rate Responses
4. Discussion
5. Conclusions
Author Contributions
Funding
Institutional Review Board Statement
Informed Consent Statement
Data Availability Statement
Acknowledgments
Conflicts of Interest
References
- ACSM. Progression Models in Resistance Training for Healthy Adults. Med. Sci. Sports Exerc. 2009, 41, 687–708. [Google Scholar] [CrossRef] [PubMed]
- Kraemer, W.J.; Ratamess, N.A. Fundamentals of Resistance Training: Progression and Exercise Prescription. Med. Sci. Sports Exerc. 2004, 36, 674–688. [Google Scholar] [CrossRef] [PubMed]
- Nunes, J.P.; Grgic, J.; Cunha, P.M.; Ribeiro, A.S.; Schoenfeld, B.J.; De Salles, B.F.; Cyrino, E.S. What Influence Does Resistance Exercise Order Have on Muscular Strength Gains and Muscle Hypertrophy? A Systematic Review and Meta-analysis. Eur. J. Sport Sci. 2021, 21, 149–157. [Google Scholar] [CrossRef]
- Simão, R.; De Salles, B.F.; Figueiredo, T.; Dias, I.; Willardson, J.M. Exercise Order in Resistance Training. Sports Med. 2012, 42, 251–265. [Google Scholar] [CrossRef]
- Neves, P.P.; Alves, A.R.; Ferraz, R.; Faíl, L.B.; Marques, M.C.; Marinho, D.A.; Neiva, H.P. The Influence of the Order of Strength Training Exercises on Mechanical Power and Work. In Proceedings of the 10th Congress of the Portuguese Society of Biomechanics; Martins, A., Roseiro, L., Messias, A.L., Gomes, B., Almeida, H., António Castro, M., Neto, M.A., De Fátima Paulino, M., Maranha, V., Eds.; Lecture Notes in Bioengineering. Springer Nature Switzerland: Cham, Switzerland, 2023; pp. 471–479, ISBN 978-3-031-47789-8. [Google Scholar]
- Andrade, J.; Esteves, D.; Ferraz, R.; Marques, D.L.; Branquinho, L.; Marinho, D.A.; Marques, M.C.; Neiva, H.P. Acute Effects of Heavy Strength Training on Mechanical, Hemodynamic, Metabolic, and Psychophysiological Parameters in Young Adult Males. Sports 2022, 10, 195. [Google Scholar] [CrossRef]
- Sanchez-Medina, L.; Perez, C.E.; Gonzalez-Badillo, J.J. Importance of the Propulsive Phase in Strength Assessment. Int. J. Sports Med. 2010, 31, 123–129. [Google Scholar] [CrossRef] [PubMed]
- González-Badillo, J.J.; Sánchez-Medina, L. Movement Velocity as a Measure of Loading Intensity in Resistance Training. Int. J. Sports Med. 2010, 31, 347–352. [Google Scholar] [CrossRef] [PubMed]
- Lu, C.; Zhang, K.; Cui, Y.; Tian, Y.; Wang, S.; Cao, J.; Shen, Y. Development and Evaluation of a Full-Waveform Resistance Training Monitoring System Based on a Linear Position Transducer. Sensors 2023, 23, 2435. [Google Scholar] [CrossRef]
- García-Ramos, A.; Pestaña-Melero, F.L.; Pérez-Castilla, A.; Rojas, F.J.; Gregory Haff, G. Mean Velocity vs. Mean Propulsive Velocity vs. Peak Velocity: Which Variable Determines Bench Press Relative Load With Higher Reliability? J. Strength Cond. Res. 2018, 32, 1273–1279. [Google Scholar] [CrossRef]
- Jiménez-Reyes, P.; Pareja-Blanco, F.; Rodríguez-Rosell, D.; Marques, M.C.; González-Badillo, J.J. Maximal Velocity as a Discriminating Factor in the Performance of Loaded Squat Jumps. Int. J. Sports Physiol. Perform. 2016, 11, 227–234. [Google Scholar] [CrossRef]
- González-Badillo, J.J.; Marques, M.C. Relationship Between Kinematic Factors and Countermovement Jump Height in Trained Track and Field Athletes? J. Strength Cond. Res. 2010, 24, 3443–3447. [Google Scholar] [CrossRef] [PubMed]
- Pérez-Castilla, A.; Jiménez-Reyes, P.; Haff, G.G.; García-Ramos, A. Assessment of the Loaded Squat Jump and Countermovement Jump Exercises with a Linear Velocity Transducer: Which Velocity Variable Provides the Highest Reliability? Sports Biomech. 2021, 20, 247–260. [Google Scholar] [CrossRef] [PubMed]
- Moura, R.E.; Bezerra Da Silva, R.F.; Gomes, L.M.D.S.; Ramos Da Silva, J.L.; Henrique, R.D.S.; Sousa, F.A.D.B.; Fonseca, F.D.S. Monitoring Bar Velocity to Quantify Fatigue in Resistance Training. Int. J. Sports Med. 2024, 45, 624–632. [Google Scholar] [CrossRef]
- Davies, T.B.; Halaki, M.; Orr, R.; Helms, E.R.; Hackett, D.A. Changes in Bench Press Velocity and Power After 8 Weeks of High-Load Cluster- or Traditional-Set Structures. J. Strength Cond. Res. 2019, 34, 2734–2742. [Google Scholar] [CrossRef]
- Filip-Stachnik, A.; Krzysztofik, M.; Del Coso, J.; Wilk, M. Acute Effects of Two Caffeine Doses on Bar Velocity during the Bench Press Exercise among Women Habituated to Caffeine: A Randomized, Crossover, Double-Blind Study Involving Control and Placebo Conditions. Eur. J. Nutr. 2022, 61, 947–955. [Google Scholar] [CrossRef] [PubMed]
- Ribeiro, B.; Pereira, A.; Alves, A.R.; Neves, P.P.; Marques, M.C.; Marinho, D.A.; Neiva, H.P. Specific warm-up enhances movement velocity during bench press and squat resistance training. J. Mens. Health 2021, 17, 226–233. [Google Scholar] [CrossRef]
- Arifin, W.N. Sample Size Calculator (Version 2.0) [Spreadsheet File]. 2017. Available online: http://wnarifin.github.io (accessed on 20 June 2024).
- Sánchez-Medina, L.; Pallarés, J.; Pérez, C.; Morán-Navarro, R.; González-Badillo, J. Estimation of Relative Load From Bar Velocity in the Full Back Squat Exercise. Sports Med. Int. Open 2017, 01, E80–E88. [Google Scholar] [CrossRef]
- Sánchez-Medina, L.; González-Badillo, J.J. Velocity loss as an indicator of neuromuscular fatigue during resistance training. Med. Sci. Sports Exerc. 2011, 43, 1725–1734. [Google Scholar] [CrossRef]
- Pérez-Castilla, A.; Piepoli, A.; Delgado-García, G.; Garrido-Blanca, G.; García-Ramos, A. Reliability and Concurrent Validity of Seven Commercially Available Devices for the Assessment of Movement Velocity at Different Intensities During the Bench Press. J. Strength Cond. Res. 2019, 33, 1258–1265. [Google Scholar] [CrossRef]
- Ribeiro, B.; Pereira, A.; Neves, P.P.; Sousa, A.C.; Ferraz, R.; Marques, M.C.; Marinho, D.A.; Neiva, H.P. The Role of Specific Warm-up during Bench Press and Squat Exercises: A Novel Approach. Int. J. Environ. Res. Public Health 2020, 17, 6882. [Google Scholar] [CrossRef]
- Hopkins, W.G.; Marshall, S.W.; Batterham, A.M.; Hanin, J. Progressive statistics for studies in sports medicine and exercise science. Med. Sci. Sports Exerc. 2009, 41, 3–12. [Google Scholar] [CrossRef]
- Simão, R.; De Tarso Veras Farinatti, P.; Polito, M.D.; Viveiros, L.; Fleck, S.J. Influence of Exercise Order on the Number of Repetitions Performed and Perceived Exertion during Resistance Exercise in Women. J. Strength Cond. Res. 2007, 21, 23–28. [Google Scholar] [CrossRef]
- Simão, R.; Leite, R.D.; Speretta, G.F.; Maior, A.S.; de Salles, B.F.; de Souza Junior, T.P.; Vingren, J.L.; Willardson, J.M. Influence of upper-body exercise order on hormonal responses in trained men. Appl. Physiol. Nutr. Metab. 2013, 38, 177–181. [Google Scholar] [CrossRef] [PubMed]
- Farinatti, P.T.; Simão, R.; Monteiro, W.D.; Fleck, S.J. Influence of exercise order on oxygen uptake during strength training in young women. J. Strength Cond. Res. 2009, 23, 1037–1044. [Google Scholar] [CrossRef] [PubMed]
- Miranda, H.; Simão, R.; dos Santos Vigário, P.; de Salles, B.F.; Pacheco, M.T.; Willardson, J.M. Exercise order interacts with rest interval during upper-body resistance exercise. J. Strength Cond. Res. 2010, 24, 1573–1577. [Google Scholar] [CrossRef] [PubMed]
- Sforzo, G.A.; Touey, P.R. Manipulating exercise order affects muscular performance during a resistance exercise training session. J. Strength Cond. Res. 1996, 10, 20–24. [Google Scholar]
- Monteiro, E.R.; Steele, J.; Novaes, J.S.; Brown, A.F.; Cavanaugh, M.T.; Vingren, J.L.; Behm, D.G. Men Exhibit Greater Fatigue Resistance than Women in Alternated Bench Press and Leg Press Exercises. J. Sports Med. Phys. Fitness 2019, 59, 238–245. [Google Scholar] [CrossRef]
- Halperin, I.; Chapman, D.W.; Behm, D.G. Non-local muscle fatigue: Effects and possible mechanisms. Eur. J. Appl. Physiol. 2015, 115 (Suppl. 10), 2031–2048. [Google Scholar] [CrossRef]
- Van Cutsem, J.; Marcora, S.; De Pauw, K.; Bailey, S.; Meeusen, R.; Roelands, B. The Effects of Mental Fatigue on Physical Performance: A Systematic Review. Sports Med. 2017, 47, 1569–1588. [Google Scholar] [CrossRef]
- Aboodarda, S.J.; Copithorne, D.B.; Power, K.E.; Drinkwater, E.; Behm, D.G. Elbow flexor fatigue modulates central excitability of the knee extensors. Appl. Physiol. Nutr. Metab. 2015, 40 (Suppl. 9), 924–930. [Google Scholar] [CrossRef]
- Blazevich, A.J.; Babault, N. Post-activation Potentiation Versus Post-activation Performance Enhancement in Humans: Historical Perspective, Underlying Mechanisms, and Current Issues. Front. Physiol. 2019, 10, 1359. [Google Scholar] [CrossRef] [PubMed]
- Boullosa, D.; Beato, M.; Dello Iacono, A.; Cuenca-Fernández, F.; Doma, K.; Schumann, M.; Zagatto, A.M.; Loturco, I.; Behm, D.G. A New Taxonomy for Postactivation Potentiation in Sport. Int. J. Sports Physiol. Perform. 2020, 15, 1197–1200. [Google Scholar] [CrossRef] [PubMed]
- Spreuwenberg, L.P.; Kraemer, W.J.; Spiering, B.A.; Volek, J.S.; Hatfield, D.L.; Silvestre, R.; Vingren, J.L.; Fragala, M.S.; Häkkinen, K.; Newton, R.U.; et al. Influence of exercise order in a resistance-training exercise session. J. Strength Cond. Res. 2006, 20, 141–144. [Google Scholar] [PubMed]
- Cardozo, D.; Destro, D.D.S. Exercise order in resistance training—A brief review of the acute effects on cardiovascular response in the post-exercise period. Res. Soc. Dev. 2022, 11, e272111335489. [Google Scholar] [CrossRef]
- Avelar, A.; Ribeiro, A.S.; Nunes, J.P.; Schoenfeld, B.J.; Papst, R.R.; Trindade, M.C.C.; Bottaro, M.; Cyrino, E.S. Effects of order of resistance training exercises on muscle hypertrophy in young adult men. Appl. Physiol. Nutr. Metab. 2019, 44, 420–424. [Google Scholar] [CrossRef]




| Variable | Mean ± SD |
|---|---|
| Age (years) | 20.9 ± 0.7 |
| Height (cm) | 175.7 ± 9.7 |
| Body mass (kg) | 73.9 ± 7.3 |
| 1 RM bench press (kg) | 77.0 ± 18.3 |
| Bench press relative strength | 1.0 ± 0.2 |
| 1 RM squat (kg) | 91.0 ± 16.3 |
| Squat relative strength | 1.2 ± 0.3 |
| Variable | BP + S | S + BP | Difference (95% CI) | p | g-Value |
|---|---|---|---|---|---|
| MPV-S1 (m·s−1) | 0.50 ± 0.08 | 0.42 ± 0.08 | 0.07 (0.01 to 0.14) | 0.03 * | 0.81 |
| MPV-S2 (m·s−1) | 0.50 ± 0.07 | 0.42 ± 0.08 | 0.08 (0.01 to 0.14) | 0.03 * | 0.94 |
| MPV-S3 (m·s−1) | 0.47 ± 0.07 | 0.42 ± 0.06 | 0.05 (−0.01 to 0.11) | 0.07 | 0.73 |
| PV-S1 (m·s−1) | 0.75 ± 0.12 | 0.65 ± 0.12 | 0.09 (−0.01 to 0.20) | 0.08 | 0.72 |
| PV-S2 (m·s−1) | 0.74 ± 0.11 | 0.62 ± 0.10 | 0.11 (0.03 to 0.20) | 0.01 * | 1.03 |
| PV-S3 (m·s−1) | 0.68 ± 0.12 | 0.61 ± 0.08 | 0.07 (−0.01 to 0.15) | 0.09 | 0.59 |
| TPV-S1 (m·s−1) | 1040.30 ± 258.57 | 1162.40 ± 352.79 | −122.10 (−343.08 to 98.88) | 0.24 | −0.36 |
| TPV-S2 (m·s−1) | 1075.10 ± 202.98 | 1136.00 ± 267.14 | −60.90 (−254.25 to 132.45) | 0.49 | −0.23 |
| TPV-S3 (m·s−1) | 1043.20 ± 199.92 | 1109.80 ± 209.62 | −66.60 (−270.58 to 137.38) | 0.48 | −0.30 |
| Variable | BP + S | S + BP | Difference (95% CI) | p | g-Value |
|---|---|---|---|---|---|
| MPV-S1 (m·s−1) | 0.62 ± 0.09 | 0.65 ± 0.10 | −0.03 (−0.08 to 0.02) | 0.22 | −0.29 |
| MPV-S2 (m·s−1) | 0.63 ± 0.09 | 0.63 ± 0.12 | −0.01 (−0.07 to 0.06) | 0.86 | −0.05 |
| MPV-S3 (m·s−1) | 0.61 ± 0.07 | 0.61 ± 0.10 | 0.00 (−0.04 to 0.04) | 1.00 | 0.00 |
| PV-S1 (m·s−1) | 1.14 ± 0.14 | 1.21 ± 0.13 | −0.07 (−0.19 to 0.04) | 0.18 | −0.49 |
| PV-S2 (m·s−1) | 1.15 ± 0.11 | 1.16 ± 0.18 | −0.01 (−0.13 to 0.11) | 0.86 | −0.06 |
| PV-S3 (m·s−1) | 1.12 ± 0.10 | 1.11 ± 0.17 | 0.00 (−0.10 to 0.11) | 0.95 | 0.02 |
| TPV-S1 (m·s−1) | 735.50 ± 93.44 | 849.30 ± 311.05 | −113.80 (−324.17 to 96.57) | 0.25 | −0.45 |
| TPV-S2 (m·s−1) | 802.90 ± 149.38 | 810.00 ± 164.12 | −7.10 (−83.25 to 69.05) | 0.84 | −0.04 |
| TPV-S3 (m·s−1) | 806.20 ± 195.80 | 881.80 ± 216.52 | −75.60 (−191.78 to 40.58) | 0.18 | −0.34 |
Disclaimer/Publisher’s Note: The statements, opinions and data contained in all publications are solely those of the individual author(s) and contributor(s) and not of MDPI and/or the editor(s). MDPI and/or the editor(s) disclaim responsibility for any injury to people or property resulting from any ideas, methods, instructions or products referred to in the content. |
© 2024 by the authors. Licensee MDPI, Basel, Switzerland. This article is an open access article distributed under the terms and conditions of the Creative Commons Attribution (CC BY) license (https://creativecommons.org/licenses/by/4.0/).
Share and Cite
Pereira, R.M.; Marques, D.L.; Alves, A.R.; Marinho, D.A.; Neves, P.P.; Silva, A.J.; Neiva, H.P. The Impact of Exercise Order on Velocity Performance in the Bench Press and the Squat: A Comparative Study. Appl. Sci. 2024, 14, 7436. https://doi.org/10.3390/app14177436
Pereira RM, Marques DL, Alves AR, Marinho DA, Neves PP, Silva AJ, Neiva HP. The Impact of Exercise Order on Velocity Performance in the Bench Press and the Squat: A Comparative Study. Applied Sciences. 2024; 14(17):7436. https://doi.org/10.3390/app14177436
Chicago/Turabian StylePereira, Rogério Martins, Diogo Luís Marques, Ana Ruivo Alves, Daniel Almeida Marinho, Pedro Pombo Neves, António José Silva, and Henrique Pereira Neiva. 2024. "The Impact of Exercise Order on Velocity Performance in the Bench Press and the Squat: A Comparative Study" Applied Sciences 14, no. 17: 7436. https://doi.org/10.3390/app14177436
APA StylePereira, R. M., Marques, D. L., Alves, A. R., Marinho, D. A., Neves, P. P., Silva, A. J., & Neiva, H. P. (2024). The Impact of Exercise Order on Velocity Performance in the Bench Press and the Squat: A Comparative Study. Applied Sciences, 14(17), 7436. https://doi.org/10.3390/app14177436

