Analytical Determination of Stick–Slip Whirling Vibrations and Bifurcations in Rotating Machinery
Abstract
1. Introduction
2. Friction-Induced Nonlinear System
3. Friction-Induced Vibration
3.1. Friction-Induced Bifurcations
3.2. Sliding Vibrations
3.3. Cross-Coupling Stiffness Effects
4. Existence of Backward Whirling
5. Discussion and Conclusions
5.1. Discussion
5.2. Conclusions
- (1)
- In such a rotor/stator-coupled nonlinear system, pure rolling vibration (), continuous crossing vibration (), and grazing–sliding-bifurcation-induced vibration can occur;
- (2)
- If the coefficient () of the dry friction is very large or the cross-coupling stiffness () is very small, the pure rolling vibration may occur;
- (3)
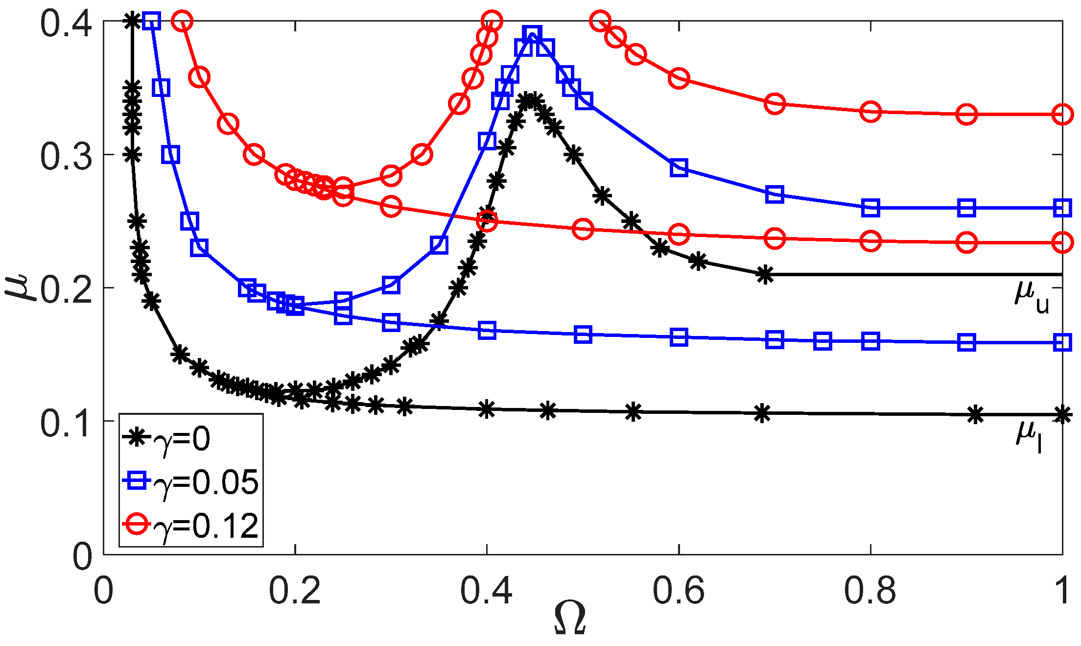
- If the angular velocity () is very low, the backward whirling oscillation induced by dry friction can be produced in the rotor/stator system, and the pure rolling vibration may also happen. Meanwhile, if he cross-coupling stiffness is in the low range, pure rolling exists for larger ranges;
- (4)
- When increases, the pure rolling vibration at the sliding time length () happens for the larger friction coefficient;
- (5)
- The stick–slip vibrations that happen are associated with grazing–sliding bifurcations for the range in which the coefficients of the dry friction are smaller than and larger than ;
- (6)
- As the cross-coupling stiffness coefficient () increases from 0 to 0.12, the limit friction coefficient of the existence conditions of backward whirling oscillation induced by dry friction in the rotor/stator system is increased from 0.11 to 0.23.
Author Contributions
Funding
Institutional Review Board Statement
Informed Consent Statement
Data Availability Statement
Conflicts of Interest
Nomenclature
| Damping of shaft, N·s/m | |
| e | Rotor mass eccentricity, m |
| Contact stiffness | |
| Stiffness of shaft, N/m | |
| Mass of disk, kg | |
| Cross-coupling stiffness of shaft, N/m | |
| Clearance between disk and stator, m | |
| Nondimensional clearance | |
| r | Displacement of disk geometric center, m |
| R | Nondimensional deflection of the shaft |
| Radius of disk at contact point, m | |
| Nondimensional radius of the rotor | |
| t | Time, s |
| Relative velocity of the disk, m/s | |
| Normalized relative velocity of the disk | |
| Normalized contact stiffness ratio = | |
| Normalized cross-coupling stiffness of rotor | |
| Whirling angle at contact point, rad | |
| Friction coefficient | |
| Nondimensional time | |
| Relative sliding duration in one period of oscillation | |
| Rotating speed of the disk, rad/s | |
| Normalized rotating speed of rotor = | |
| Critical rotating speed of the rotor for backward whirl induced by dry friction | |
| Natural frequency of the rotor with zero clearance, rad/s | |
| Damping ratio of the shaft |
References
- Di Bernardo, M.; Kowalczyk, P.; Nordmark, A. Sliding bifurcations: A novel mechanism for the sudden onset of chaos in dry friction oscillators. Int. J. Bifurc. Chaos 2003, 13, 2935–2948. [Google Scholar] [CrossRef]
- Erazo, C.; Homer, M.E.; Piiroinen, P.T.; Di Bernardo, M. Dynamic cell mapping algorithm for computing basins of attraction in planar filippov systems. Int. J. Bifurc. Chaos 2017, 27, 1730041. [Google Scholar] [CrossRef]
- Filippov, A.F. Differential Equations with Discontinuous Righthand Sides; Springer Netherlands: Dordrecht, The Netherlands, 1988. [Google Scholar]
- Utkin, V.I. Sliding Modes in Control and Optimization; Springer: Berlin/Heidelberg, Germany, 1992. [Google Scholar]
- Di Bernardo, M.; Budd, C.J.; Champneys, A.R.; Kowalczyk, P. Piecewise-Smooth Dynamical Systems: Theory and Applications; Springer: Berlin/Heidelberg, Germany, 2008. [Google Scholar]
- Michalopoulos, D.; Asphagathos, N.; Dimarogonas, A.D. Analytical investigation of a turning gear mechanism during engagement due to stick-slip. Mech. Mach. Theory 1986, 21, 145–151. [Google Scholar] [CrossRef]
- Feeny, B.; Ardeshir, G.; Nikolaus, H.; Karl, P. A historical review on dry friction and stick-slip phenomena. Appl. Mech. Rev. 1998, 15, 321–341. [Google Scholar] [CrossRef]
- Aidanpaa, J.O. Multiple solutions in an amplitude limited flexible rotor including rubbing and stick-slip effect. In Proceedings of the International Design Engineering Technical Conferences and Computers and Information in Engineering Conference, Long Beach, CA, USA, 24–28 September 2005; Volume 47381, pp. 1091–1096. [Google Scholar]
- Vlajic, N.; Liao, C.M.; Karki, H.; Balachandran, B. Draft: Stick-slip motions of a rotor-stator system. J. Vib. Acoust. 2014, 136, 021005. [Google Scholar] [CrossRef]
- Yadav, J.; Agnihotri, G. Proposed critical damping for a spring mass system to avoid stick slip. J. Inst. Eng. (India) Ser. C 2015, 96, 331–335. [Google Scholar] [CrossRef]
- Bently, D.E.; Yu, J.J.; Goldman, P.; Muszynska, A. Full annular rub in mechanical seals, Part I: Experimental results. Int. J. Rotating Mach. 2007, 8, 319–328. [Google Scholar] [CrossRef]
- Vlajic, N.; Champneys, A.R.; Balachandran, B. Nonlinear dynamics of a flexible rotor with torsional deformations and rotor-stator contact. Int. J. Non-Linear Mech. 2017, 92, 102–110. [Google Scholar] [CrossRef]
- Jiang, J. Determination of the global responses characteristics of a piecewise smooth dynamical system with contact. Nonlinear Dyn. 2009, 57, 351–361. [Google Scholar] [CrossRef]
- Shang, Z.; Jiang, J.; Hong, L. The global responses characteristics of a rotor/stator rubbing system with dry friction effects. J. Sound Vib. 2011, 330, 2150–2160. [Google Scholar] [CrossRef]
- Won, H.I.; Chung, J. Stick–slip vibration of an oscillator with damping. Nonlinear Dyn. 2016, 86, 257–267. [Google Scholar] [CrossRef]
- Wang, S.; Hong, L.; Jiang, J. Characteristics of stick-slip vibrations in dry friction backward whirl of piecewise smooth rotor/stator rubbing systems. Mech. Syst. Signal Process. 2020, 135, 106387. [Google Scholar] [CrossRef]
- Wang, S.; Hong, L.; Jiang, J. Analytical prediction on stick-slip whirling vibrations induced by dry friction between a rotating imbalanced rotor and a flexibly supported stator. J. Sound Vib. 2021, 511, 116333. [Google Scholar] [CrossRef]
- Zhou, R.; Gu, Y.; Ren, G.; Yu, S. Modeling and stability characteristics of bump-type gas foil bearing rotor systems considering stick–slip friction. Int. J. Mech. Sci. 2022, 219, 107091. [Google Scholar] [CrossRef]
- Huang, Q.; Liu, H.; Ding, Z. Impact factors on friction induced vibration of shaft-bearing system considering stick-slip behavior. Mar. Struct. 2022, 84, 103226. [Google Scholar] [CrossRef]
- Zhang, X.; Cui, Y.; Yang, Y.; Lu, J.; Sun, J. Design, analysis, and experiment of a piezoelectric stick–slip rotary actuator with asynchronous-driven dual stators. Mech. Syst. Signal Process. 2023, 200, 110524. [Google Scholar] [CrossRef]
- Pavlenko, I.; Savchenko, I.; Pitel, J.; Ivanov, V.; Ruban, A. Diagnostics of the Rotor-Stator Contact by Spectral Analysis of the Vibration State for Rotor Machines. In Advanced Manufacturing Processes III, Proceedings of the 3rd Grabchenko’s International Conference on Advanced Manufacturing Processes (InterPartner-2021), Odessa, Ukraine, 7–10 September 2021; Springer: Cham Switzerland, 2022. [Google Scholar] [CrossRef]
- Jiang, J.; Ulbrich, H. The Physical Reason and the Analytical Condition for the Onset of Dry Whip in Rotor-to-Stator Contact Systems. J. Vib. Acoust. 2005, 127, 594–603. [Google Scholar] [CrossRef]











Disclaimer/Publisher’s Note: The statements, opinions and data contained in all publications are solely those of the individual author(s) and contributor(s) and not of MDPI and/or the editor(s). MDPI and/or the editor(s) disclaim responsibility for any injury to people or property resulting from any ideas, methods, instructions or products referred to in the content. |
© 2024 by the authors. Licensee MDPI, Basel, Switzerland. This article is an open access article distributed under the terms and conditions of the Creative Commons Attribution (CC BY) license (https://creativecommons.org/licenses/by/4.0/).
Share and Cite
Lu, D.; Wang, M.; Xu, Y.; Wang, X.; Wang, S. Analytical Determination of Stick–Slip Whirling Vibrations and Bifurcations in Rotating Machinery. Appl. Sci. 2024, 14, 7338. https://doi.org/10.3390/app14167338
Lu D, Wang M, Xu Y, Wang X, Wang S. Analytical Determination of Stick–Slip Whirling Vibrations and Bifurcations in Rotating Machinery. Applied Sciences. 2024; 14(16):7338. https://doi.org/10.3390/app14167338
Chicago/Turabian StyleLu, Duhui, Mukai Wang, Yeyin Xu, Xinya Wang, and Shunzeng Wang. 2024. "Analytical Determination of Stick–Slip Whirling Vibrations and Bifurcations in Rotating Machinery" Applied Sciences 14, no. 16: 7338. https://doi.org/10.3390/app14167338
APA StyleLu, D., Wang, M., Xu, Y., Wang, X., & Wang, S. (2024). Analytical Determination of Stick–Slip Whirling Vibrations and Bifurcations in Rotating Machinery. Applied Sciences, 14(16), 7338. https://doi.org/10.3390/app14167338
