Next Article in Journal
A Closer Look at Few-Shot Classification with Many Novel Classes
Previous Article in Journal
Direct Solar Thermal Water-Splitting Using Iron and Iron Oxides at High Temperatures: A Review
 
 
Font Type:
Arial Georgia Verdana
Font Size:
Aa Aa Aa
Line Spacing:
Column Width:
Background:
Article

Continuous-Thrust Circular Orbit Phasing Optimization of Deep Space CubeSats

by
Alessandro A. Quarta
Department of Civil and Industrial Engineering, University of Pisa, I-56122 Pisa, Italy
Appl. Sci. 2024, 14(16), 7059; https://doi.org/10.3390/app14167059
Submission received: 4 July 2024 / Revised: 3 August 2024 / Accepted: 9 August 2024 / Published: 12 August 2024
(This article belongs to the Section Aerospace Science and Engineering)

Abstract

The recent technology advancements in miniaturizing the primary components of spacecraft allow the classic CubeSats to be considered as a valid option in the design of a deep space scientific mission, not just to support a main typical interplanetary spacecraft. In this context, the proposed ESA M-ARGO mission, whose launch is currently planned in 2026, will use the electric thruster installed onboard of a 12U CubeSat to transfer the small satellite from the Sun–Earth second Lagrangian point to the orbit of a small and rapidly spinning asteroid. Starting from the surrogate model of the M-ARGO propulsion system proposed in the recent literature, this paper analyzes a simplified thrust vector model that can be used to study the heliocentric optimal transfer trajectory with a classical indirect approach. This simplified thrust model is a variation of the surrogate one used to complete the preliminary design of the trajectory of the M-ARGO mission, and it allows to calculate, in an analytical form, the typical Euler–Lagrange equations without singularities. The thrust model is then used to study the performance of a M-ARGO-type CubeSat (MTC) in a different scenario (compared to that of the real mission), in which the small satellite moves along a circular heliocentric orbit in the context of a classic phasing maneuver. In this regard, the work discusses a simplified study of the optimal constrained MTC transfer towards one of the two Sun–Earth triangular Lagrangian points. Therefore, the contributions of this paper are essentially two: the first is the simplified thrust model that can be used to analyze the heliocentric trajectory of a MTC; the second is a novel mission application of a CubeSat, equipped with an electric thruster, moving along a circular heliocentric orbit in a phasing maneuver.

1. Introduction

Since the pioneering and successful mission of NASA’s Mars Cube One (MarCO) [1,2], which in 2018 provided an in situ communication relay to NASA’s InSight lander [3,4,5] during its descent phase through the atmosphere of the Red Planet, CubeSats have demonstrated their capabilities in supporting future scientific missions beyond near-Earth space [6]. In this context, the scientific outcomes obtained by the panoramic pictures of the impact between NASA’s DART spacecraft and asteroid Dimorphos [7,8,9], which have been provided by the Light Italian CubeSat for Imaging of Asteroids (LICIACube) of the Italian Space Agency [10], are probably the clearest proof of the importance and the potentialities of CubeSats in the design of complex and ambitious interplanetary missions [11]. The near future hopefully will see another two CubeSats investigating the binary asteroid 65803 Didymos after the impact of the DART spacecraft, thanks to the ESA’s Hera mission whose launch date is planned in October 2024 [12,13]. In particular, Hera spacecraft will carry the two CubeSats named Milani and Juventas, the first one dedicated to the memory of Prof. Andrea Milani Comparetti from the University of Pisa, which are designed to obtain the geophysical characterization and the global mapping of the asteroid by operating in close proximity to this celestial body [14,15,16].
To date, CubeSats used in interplanetary missions have been designed to be transported inside a sort of main, mother, spacecraft and then released near the target celestial body. This is the case, for example, of the two pioneering (twin) CubeSats MarCO-A and MarCO-B, the more recent LICIACube, and the upcoming Milani and Juventas. The next step in the practical employment of CubeSats in deep space scientific missions is, therefore, the use of an own propulsion system to perform the entire (or a consistent part of the) interplanetary transfer required to reach the target solar system’s body or the target heliocentric orbit. In this context, the proposed ESA’s The Miniaturised Asteroid Remote Geophysical Observer (M-ARGO) mission can be considered a milestone in the use of CubeSats for the solar system’s scientific exploration [17,18]. In fact, the M-ARGO demonstration mission, whose launch is currently scheduled for 2026, will use the electric propulsion system installed on board a 12U CubeSat (parked at the Sun–Earth collinear Lagrangian point L 2 ) to trace a heliocentric trajectory that will achieve a rendezvous with a small and rapidly spinning (near-Earth) asteroid. The latter has yet to be selected in a set of recently identified targets as discussed in the interesting work by Franzese et al. [19]. The (continuous-thrust) miniaturized electric thruster (i.e., a single radiofrequency gridded ion thruster) is one of the CubeSat advanced subsystems [20] as, for example, a multispectral camera and a laser altimeter, which will be used to obtain the in situ observation of the target celestial body, or the flat-panel antenna (also called “reflectarray” [21,22,23]) for deep space communications. Figure 1 shows an artistic concept of the CubeSat M-ARGO approaching a potential target asteroid.
Starting from the procedure described by Topputo et al. [18], which is detailed at the beginning of Section 2, this paper uses the surrogate model for the propulsive performance of the M-ARGO electric thruster in order to develop an approximated (and simplified) analytical thrust model, which can be used to optimize the heliocentric transfer trajectory of a M-ARGO-type CubeSat (MTC), when the classical calculus of variations is employed to solve the optimization problem. In particular, as will be discussed in Section 3.1, the proposed (analytical) thrust model is used to obtain a closed form of the Euler–Lagrange equations which are employed, together with the optimal control law obtained with the aid of the well-known Pontryagin’s maximum principle, to simulate the optimal performance of a MTC in a pair of typical two-dimensional heliocentric mission scenarios.
In the context of a rapid orbit transfer in which the performance index to be minimized is the total flight time, a classical circle-to-circle (planar) orbit raising and lowering is firstly considered (see Section 3.2) with the aim to test the effectiveness of the proposed simplified thrust model. Then, the phasing maneuver along a circular orbit with a radius of one astronomical unit is analyzed in detail as illustrated in Section 4. The second mission scenario, in fact, models the orbital repositioning of a MTC along the Earth’s heliocentric trajectory when the eccentricity of the planet’s orbit around the Sun is neglected. In particular, the MTC optimal performance results are studied in that scenario by using a parametric approach, and considering the typical CubeSat design constraints as, for example, the maximum propellant mass expenditure and the maximum value of the flight time.
The results of the optimization of a generic (circular) orbit phasing maneuver are finally used to study, in a simplified trajectory design framework, the transfer of a MTC towards one of the two triangular Lagrangian points of the Sun–Earth system [24] as discussed in Section 4.1. In particular, considering a phasing ahead (or behind) maneuver of 60 deg with respect to the initial CubeSat position, which is assumed to be coincident with that of the starting planet, the Earth– L 4 (or the Earth– L 5 ) optimal transfer of a MTC is analyzed by considering the constraints on the maximum admissible value of the required propellant mass. In this context, numerical simulations will show that a (rapid) transfer towards a triangular Lagrangian point of the Sun–Earth system, in which the flight time reach its minimum value, requires a propellant expenditure greater than the maximum admissible value. However, a trade-off study, in which the (optimization) condition on minimum flight time is relaxed in favor of decreasing the required propellant mass, reveals that a transfer towards a triangular Lagrangian point is still possible with a flight time slightly higher than the global minimum value. This aspect is illustrated at the end of Section 4.1, which precedes the Conclusions section, and constitutes a new mission application of the MTC.

2. Simplified Thrust Model

This section illustrates the simplified MTC thrust model that has been used to optimize the CubeSat transfer trajectory in two deep space mission scenarios discussed later in this paper; see Section 3.2 and Section 4. This specific thrust model can be considered a variation of the elegant surrogate model proposed by Topputo et al. [18] in their interesting work regarding the selection of the possible set of target asteroids during the preliminary design of the M-ARGO interplanetary mission [25]. In that paper [18], in fact, the authors consider the actual characteristics (at that design stage, at least) of the M-ARGO CubeSat in order to derive a simple mathematical model of the spacecraft thrust vector, which can be used to perform the trajectory analysis with a reduced computational effort.
In particular, the mathematical model presented in ref. [18] considers a CubeSat whose total mass at the beginning of the heliocentric transfer towards the target asteroid is m 0 = 22.6 kg , of which m p max = 2.8 kg is the maximum propellant mass stored onboard. This value, which gives a propellant mass fraction of 12.4 % , can be used to complete the interplanetary transfer with a flight time less than or equal to a maximum value of Δ t max 3 years . The continuous-thrust electric propulsion system modeled in ref. [18] gives a maximum thrust magnitude T max that linearly depends on the (local) engine input power P in with a simple relationship, which is obtained through a best-fit procedure of the available experimental data. The value of P in , for technological reasons, ranges in the interval P in [ P in min , P in max ] , where P in min 20 W and P in max 120 W are the minimum and the maximum values of the thruster input power, respectively. Assuming that the thruster is switched off when P in < P in min , the maximum thrust magnitude T max is given by the following equation:
T max = 0 if P in < P in min a 0 + a 1 P in if P in [ P in min , P in max ] a 0 + a 1 P in max if P in > P in max
where { a 0 , a 1 } are two best-fit coefficients defined as (see the second column in Table 3 of ref. [18])
a 0 = 0.7253 mN , a 1 = 0.02481 mN W
Note that a 0 + a 1 P in max 2.25 mN and, according to Equation (1), one has T max [ 0 , 2.25 ] mN .
A similar approach is used to describe the variation in the specific impulse I sp with P in , which is modeled by the three-order polynomial function
I sp = b 0 + b 1 P in + b 2 P in 2 + b 3 P in 3 if P in [ P in min , P in max ] b 0 + b 1 P in max + b 2 P in max 2 + b 3 P in max 3 if P in > P in max
where { b 0 , b 1 , b 2 , b 3 } are best-fit (dimensional) coefficients defined as
b 0 = 2652 s , b 1 = 18.123 s W , b 2 = 0.3887 s W 2 , b 3 = 0.00174 s W 3
Note that the case of P in < P in min is not considered in Equation (3) because that condition gives a zero value of the maximum thrust magnitude T max as described by the first row of Equation (1). The condition T max = 0 , which is, for example, consistent with a shut-down electric thruster, gives a zero value of the propellant mass flow rate. Moreover, from Equation (3), observing that I sp / P in > 0 for P in [ P in min , P in max ] and bearing in mind that b 0 + b 1 P in max + b 2 P in max 2 + b 3 P in max 3 3068 s , one has that I sp 3068 s during the entire interplanetary transfer.
The thruster input power P in depends on the spacecraft solar panels power output that, in its turn, can be approximately considered a function of the Sun–spacecraft distance r as analyzed in refs. [26,27] by using a simplified model for the performance of the power subsystem unit in a typical interplanetary transfer, which is derived from the more refined model proposed by Sauer [28,29]. In this context, Equation (3) of ref. [18] provides a useful polynomial formula that directly expresses the power P in absorbed by the electric thruster as a function of the solar distance r [ 0.75 , 1.25 ] AU . That formula, in fact, bypasses the introduction of a mathematical model for the solar panels performance as a function of both the Sun–spacecraft distance and the flight time [30]. In this case, the simplified function P in = P in ( r ) proposed by ref. [18], which refines the classical relationship P in r 2 , can be written in a compact form as
P in = 0 if P in < P in min P in if P in [ P in min , P in max ] P in max if P in > P in max
where P in is a sort of reference value of the electric thruster input power given by the polynomial expression
P in = c 0 + c 1 r + c 2 r 2 + c 3 r 3 + c 4 r 4
in which the best-fit coefficients { c 0 , c 1 , c 2 , c 3 , c 4 } are defined as
c 0 = 840.11 W , c 1 = 1754.3 W AU , c 2 = 1625.01 W AU 2 , c 3 = 739.87 W AU 3 , c 4 = 134.45 W AU 4
Note that the surrogate model described in Ref. [18] is designed to be consistent with the M-ARGO expected performance in its nominal interplanetary transfer. In this regard, the design parameters of that specific CubeSat indicates a constraint in the solar distance in terms of a maximum (or minimum) value of r equal to 1.25 AU (or 0.75 AU ). Accordingly, in order to be consistent with the results of the best-fit procedure used to obtain the analytical relationships illustrated in ref. [18], in the rest of this paper, we will consider the additional constraint regarding the distance of the spacecraft from the Sun in the form
r [ r min , r max ] with r min 0.75 AU and r max 1.25 AU
Therefore, observing that P in / r < 0 and bearing in mind that
c 0 + c 1 r min + c 2 r min 2 + c 3 r min 3 + c 4 r min 4 168.86 W > P in max
and
c 0 + c 1 r max + c 2 r max 2 + c 3 r max 3 + c 4 r max 4 69.5 W > P in min
the expression of P in given by Equation (5) is simplified as
P in = P in if P in [ P in min , P in max ] P in max if P in > P in max
The expression of P in = P in ( r ) given by Equation (11) can be combined with the expressions of T max = T max ( P in ) and I sp = I sp ( P in ) given by Equations (1) and (3) to obtain the variation in the pair { T max , I sp } with the Sun–spacecraft distance r. In this regard, Figure 2 shows the functions P in = P in ( r ) , T max = T max ( r ) , and I sp = I sp ( r ) obtained with the mathematical model previously described. Note that the graphs in Figure 2 are consistent with the curves sketched in Figure 1 of ref. [18].
The analysis of the curves shown in Figure 2 indicates that the derivative of the function T max = T max ( r ) presents a discontinuity of the first kind when r 0.93 AU . This behavior is due to the value of P in , which reaches 120 W at that solar distance, according to Equation (5). This aspect is more evident in Figure 3, which shows the variation with r in the two derivatives T max / r and I sp / r . The figure also shows that the derivative I sp / r is a continuous function of r because one has I sp / r 0 when r 0.93 AU .
In the next section, the MTC optimal transfer trajectory is analyzed using an indirect approach, in which the spacecraft equations of motion and the Euler–Lagrange equations [31,32] are numerically integrated with a suitable set of initial conditions. In particular, the derivative T max / r appears in one of the Euler–Lagrange equations. Therefore, in order to facilitate the numerical integration of the (coupled and non-linear) Euler–Lagrange equations, an approximation of the function T max = T max ( r ) is now proposed to avoid the presence of the discontinuity in its derivative with respect to r. To this end, the Curve Fitting Toolbox of Matlab [33] is employed to obtain an approximation of T max = T max ( r ) by using a rational function in the form
T max = T max d N 1 ( r / r ) 4 + d N 2 ( r / r ) 3 + d N 3 ( r / r ) 2 + d N 4 ( r / r ) + d N 5 ( r / r ) 3 + d D 1 ( r / r ) 2 + d D 2 ( r / r ) + d D 3
where r 1 AU is a reference distance, and T max 1.8897 mN is the actual value of T max when r = r [the latter is obtained by using Equation (1)], while { d N i , d D j } with i { 1 , 2 , , 5 } and j { 1 , 2 , 3 } are dimensionless best-fit coefficients defined as
d N 1 = 1.6239 , d N 2 = 6.6115 , d N 3 = 9.7377 , d N 4 = 6.1927 , d N 5 = 1.4378 , d D 1 = 2.4888 , d D 2 = 2.0463 , d D 3 = 0.5527
Note that Equation (12) gives a derivative T max / r which is continuous in the range r [ 0.75 , 1.25 ] AU . Although not strictly necessary, for reasons of consistency of the thrust model, we also use an analytical approximation of the function I sp = I sp ( r ) with a rational function similar to that described in Equation (12). In this regard, the approximated expression obtained by using the Curve Fitting Toolbox is
I sp = I sp e N 1 ( r / r ) 4 + e N 2 ( r / r ) 3 + e N 3 ( r / r ) 2 + e N 4 ( r / r ) + e N 5 ( r / r ) 3 + e D 1 ( r / r ) 2 + e D 2 ( r / r ) + e D 3
where I sp 3022.6 s is the actual value of I sp when r = r , which is obtained from Equation (3), and { e N i , e D j } is a set of eight dimensionless best-fit coefficients given by
e N 1 = 0.3556 , e N 2 = 2.2133 , e N 3 = 4.0643 , e N 4 = 2.9771 , e N 5 = 0.7599 , e D 1 = 2.5148 , e D 2 = 2.0994 , e D 3 = 0.5740
The accuracy of Equations (12) and (14) in approximating the expressions of the MTC surrogate thrust model given by Equations (1) and (3) is confirmed by Figure 4, which shows that the proposed model substantially gives a thrust (and specific impulse) variation with the solar distance, which is superimposed with the results illustrated in ref. [18].
Accordingly, the two Equations (12) and (14) can be used to analytically describe the electric thruster-induced propulsive acceleration vector a of the MTC. Assuming that the thrust vector can be freely steered during the flight, and introducing the dimensionless control variable τ [ 0 , 1 ] which models the thrust magnitude level (the case of τ = 0 indicates a zero thrust, while τ = 1 indicates a full throttle level), according to Equation (12), the propulsive acceleration vector is written as
a = τ T max m τ T max m d N 1 ( r / r ) 4 + d N 2 ( r / r ) 3 + d N 3 ( r / r ) 2 + d N 4 ( r / r ) + d N 5 ( r / r ) 3 + d D 1 ( r / r ) 2 + d D 2 ( r / r ) + d D 3 a ^
where a ^ is the thrust unit vector, and m is the local value of the spacecraft mass. The derivative of m with respect to the time t can be written, as usual, using the expression of the thrust magnitude and the specific impulse as
d m d t = τ T max g 0 I sp d N 1 ( r / r ) 4 + d N 2 ( r / r ) 3 + d N 3 ( r / r ) 2 + d N 4 ( r / r ) + d N 5 e N 1 ( r / r ) 4 + e N 2 ( r / r ) 3 + e N 3 ( r / r ) 2 + e N 4 ( r / r ) + e N 5 × × ( r / r ) 3 + e D 1 ( r / r ) 2 + e D 2 ( r / r ) + e D 3 ( r / r ) 3 + d D 1 ( r / r ) 2 + d D 2 ( r / r ) + d D 3
where g 0 = 9.80665 m / s 2 is the standard gravity. Bearing in mind Equations (16) and (17), the dimensionless control terms are the throttle parameter τ and the thrust unit vector a ^ . The expressions of { τ , a ^ } are obtained by solving the optimization problem described in the next section.

3. Spacecraft Dynamics and Trajectory Optimization

Consider a two-dimensional, heliocentric mission scenario in which the MTC moves in the interplanetary space under the effect of the electric thruster-induced propulsive acceleration ( a ) and the Sun’s gravitational attraction. In this context, the orbital perturbations and uncertainty propagation [34] are neglected as is usually assumed in a preliminary phase of the trajectory analysis and design. Introduce a typical polar reference frame T ( O ; r , θ ) whose origin coincides with the Sun’s center of mass O, in which the polar angle θ 0 is measured counterclockwise from the Sun–spacecraft direction at the initial time t 0 0 ; see the scheme in Figure 5.
Bearing in mind the expression of the propulsive acceleration vector a given by Equation (16), the MTC equations of motion in T are
d r d t = u , d θ d t = v r , d u d t = μ r 2 + v 2 r + a · r ^ , d v d t = u v r + a · θ ^
while the time variation in the spacecraft mass m is given by Equation (17) as a function of the solar distance r and the engine throttle dimensionless parameter τ . In Equation (18), u (or v) is the radial (or transverse) component of the MTC inertial velocity, μ is the Sun’s gravitational parameter, and r ^ (or θ ^ ) is the radial (or transverse) unit vector, which is in the positive direction of the Sun–spacecraft line (or the inertial velocity vector). The initial conditions, which are required to complete the differential system given by Equations (17) and (18), model the flight of the MTC along the initial parking orbit, whose plane contains at any time instant the thrust unit vector a ^ . In this regard, we assume a typical circular parking orbit of radius equal to r , which approximates the Earth’s heliocentric orbit with a zero value of the orbital eccentricity. Bearing in mind that the spacecraft initial mass is m 0 = 22.6 kg , and assuming an initial polar angle equal to zero, the five (scalar) initial conditions are
r ( t 0 ) = r , θ ( t 0 ) = 0 , u ( t 0 ) = 0 , v ( t 0 ) = μ r , m ( t 0 ) = m 0
The final conditions, i.e., the value of the spacecraft state variables at the end of the flight (time instant t = t f > t 0 ), depend on the specific mission scenario to be analyzed. In this section, for example, we consider the typical case of a rapid circular orbit rising (or lowering), which also allows us to determine the optimal control law in terms of time variation in the pair { τ , a ^ } . The optimal control law and the mathematical model used to optimize the spacecraft trajectory is employed (with minor changes) in the next section to analyze the MTC performance in a heliocentric phasing maneuver along a circular orbit. In the context of a rapid circle-to-circle orbit transfer, when the value of the final polar angle is left free and assuming a circular target orbit of assigned radius r f r , the three final (scalar) conditions related to the spacecraft state variables { r , u , v } are
r ( t f ) = r f , u ( t f ) = 0 , v ( t f ) = μ r f
in which t f is an output of the optimization process. In particular, the value of t f coincides with the scalar performance index J to be maximized during the interplanetary transfer, that is, J t f .

3.1. Trajectory Optimization and Optimal Control Law

The maximization of J is obtained by using an indirect approach [35,36], in which the adjoint variables are { λ r , λ θ , λ u , λ v , λ m } and the Euler–Lagrange equations are
d λ r d t = d H d r , d λ θ d t = d H d θ , d λ u d t = d H d u , d λ v d t = d H d v , d λ m d t = d H d m
where H is the scalar Hamiltonian function defined as
H = λ r u + λ θ v r + λ u μ r 2 + v 2 r + a · r ^ + λ v u v r + a · θ ^ + λ m d m d t
in which the expression of d m / d t is given by the right side of Equation (17). The expressions of the Euler–Lagrange equations are calculated in a closed form by using the simplified surrogate model of the MTC propulsion system, which is illustrated in the previous section. The explicit form of that equations are omitted for the sake of brevity. Taking Equation (22) into account and bearing in mind the expression of a given by Equation (16), we observe that the first of the Euler–Lagrange Equation (21) contains, as expected, the derivative T max / r .
The boundary conditions of Equation (21) are obtained by enforcing the transversality condition as described in the textbook by Bryson and Ho [31]. In this case, recalling that (1) the flight time t f is unconstrained; (2) the adjoint variable λ θ is a constant of motion; (3) the final value of the polar angle is left free; and (4) the MTC total mass at the end of the transfer is unconstrained, and according to the second of the Euler–Lagrange Equation (21), the transversality condition gives
λ θ = 0 , λ m ( t f ) = 0 , H ( t f ) = 1
Therefore, Equations (19), (20), and (23) give 11 scalar boundary conditions (recall that the value of t f is unknown), which complete the two-point boundary value problem associated with the optimization process. That boundary value problem is numerically solved by using a shooting procedure [33], with a tolerance of 10 8 , in which the initial guess of the unknowns initial costates [37] is obtained by adapting the method proposed in refs. [38,39,40]. In particular, the ideal model of the electric propulsion system proposed in [38] was adapted to the characteristics of the MTC, while a continuation procedure was employed to obtain the initial guess during the parametric study of the mission scenarios.
Finally the optimal control law, that is, the optimal variation in the two control terms { τ , a ^ } is obtained by employing the classical Pontryagin’s maximum principle [36]. To this end, Equations (16) and (17) are more conveniently rewritten as
a = τ T max m N T D T a ^ , d m d t = τ T max g 0 I sp N T D I N I D T ,
where { N T , D T , N I , D I } are defined as
N T d N 1 ( r / r ) 4 + d N 2 ( r / r ) 3 + d N 3 ( r / r ) 2 + d N 4 ( r / r ) + d N 5
D T ( r / r ) 3 + d D 1 ( r / r ) 2 + d D 2 ( r / r ) + d D 3
N I e N 1 ( r / r ) 4 + e N 2 ( r / r ) 3 + e N 3 ( r / r ) 2 + e N 4 ( r / r ) + e N 5
D I ( r / r ) 3 + e D 1 ( r / r ) 2 + e D 2 ( r / r ) + e D 3
Taking Equations (22) and (24) into account, the part H c of the Hamiltonian function which depends on the control terms { τ , a ^ } is written as
H c = τ T max N T m D T λ u a ^ · r ^ + λ v a ^ · θ ^ m λ m D I g 0 I sp N I
where the dimensionless ratio N T / D T is always positive during the transfer according to Equation (16). The maximization of H c with respect to the thrust unit vector a ^ gives the well-known result (the superscript ★ indicates the optimal control law)
a ^ = a ^ λ u r ^ + λ v θ ^ λ u 2 + λ v 2
Substituting the last equation in the expression of H c given by Equation (29), observing that H c is a linear function of τ and neglecting the singular arcs during the transfer [41,42], the optimal value of the engine throttle parameter τ is given by
τ = τ 1 if 1 m λ m D I g 0 I sp N I 0 0 if 1 m λ m D I g 0 I sp N I < 0
Equations (30) and (31) are used to express the MTC control terms in both the equations of motion and the Euler–Lagrange equations during the numerical simulation of the optimal trajectory. The results of the optimization process are illustrated in the next section as a function of the value of the target orbit radius.

3.2. Numerical Results: Classical Case of the Circular Orbit Raising or Lowering

The optimal transfer trajectory of the MTC has been calculated assuming a circle-to-circle orbit lowering (or raising) in which the radius of the coplanar target orbit is r f [ 0.75 , 0.99 ] AU (or r f [ 1.01 , 1.25 ] AU ) with a step of 0.01 AU . In other terms, the numerical simulations consider an orbit transfer, in which the radius of the target orbit ranges in the interval r f [ 0.75 , 1.25 ] AU , which coincides with the validity interval of the original propulsion system surrogate model [18]. The final mass of the spacecraft is left free so that the results of the optimization process give the truly minimum flight time required to complete the circle-to-circle orbit transfer, without any constraints on the maximum value of the propellant mass. The solution of the boundary value problem gives the results which are summarized in Figure 6, in terms of minimum flight time t f and the corresponding (required) propellant mass m p m 0 m ( t f ) .
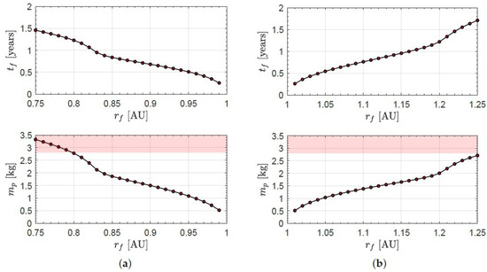
The red highlighted regions of Figure 6 indicate the zones in which the condition m p m p max on the maximum value of the admissible propellant mass is violated. In particular, Figure 6b shows that a circle-to-circle orbit raising is always possible if r f 1.25 AU , while a truly rapid orbit lowering with r f [ 0.75 , 0.8 ) AU requires a propellant mass greater than 2.8 kg ; see the bottom part of Figure 6a. In that case, however, the orbit lowering is still possible by assuming (a priori) a greater value of the flight time and minimizing the required propellant mass as discussed in ref. [43]. Note that a slightly different procedure, which can be used to obtain a feasible transfer trajectory when the nominal value of the required propellant mass exceeds m p max , is illustrated in the next section for a circular orbit phasing in a heliocentric mission scenario. Finally, from Figure 6, one has that the value of the optimal flight time is well below the reference value of 3 years .
For example, consider the case in which the radius of the target circular orbit is r f { 0.8 , 1.2 } AU , that is, the case in which the minimum (unconstrained) flight time is t f { 1.228 , 1.22 } years . In that case, the optimal transfer trajectories are shown in Figure 7, which shows that the MTC completes a single revolution around the Sun during the transfer in both the orbit raising and lowering. The variation with time t in the total spacecraft mass m and the components of the control vector { τ , a ^ } are shown in Figure 8, where one can observe that the propulsion system is switched on (i.e., τ = 1 ) during all the transfer as expected. In particular, the green line in Figure 7b indicates that the thrust unit vector a ^ is substantially aligned with the transverse direction (i.e., aligned with θ ^ ) during the optimal orbit raising. Finally, the upper part of Figure 8 confirms that when τ = 1 and the solar distance remains close to the radius of the parking orbit, the value of the derivative m / t is roughly constant during the optimal orbit transfer.

4. Circular Orbit Phasing Maneuver

This section analyzes the MTC optimal performance results in a heliocentric circular orbit phasing. The latter is a classical mission application in the case of a multiple-impulse transfer trajectory [44,45]. In fact, this specific scenario has been already studied in the context of a propellantless propulsion system as, for example, a photonic solar sail [46,47] or Janhunen’s Electric Solar Wind Sail [48,49]. More precisely, in this context, the phasing maneuver models the azimuthal repositioning of the MTC along a heliocentric circular orbit of assigned radius. That radius is assumed to be equal to r so that the scenario is consistent with a mission in which the MTC moves along the Earth’s orbit with the aim of modifying its angular position with respect to the (starting) planet. Without loss of generality, we assume that at the beginning of the transfer, the Earth and the MTC share the same heliocentric position and velocity, with a zero value of the polar angle θ . This situation models the escape of the CubeSat from the Earth by using a classical parabolic orbit. The transfer starts at time t 0 = 0 and ends at time t f > t 0 , i.e., at the time instant in which the MTC returns to the circular parking orbit (of radius r ) with an assigned angular displacement (with respect to the Earth) equal to Δ θ 0 . In particular, we assume that Δ θ > 0 (or Δ θ < 0 ) refers to a phasing ahead (or behind) with respect to the planet.
The minimum time transfer trajectory in this specific mission scenario can be obtained using the mathematical model illustrated in the previous section, with the only difference regarding the expressions of the boundary conditions given by Equation (23) being in the case of a circle-to-circle orbit transfer. In a circular orbit phasing maneuver without constraints on the maximum propellant mass, according to ref. [49], Equation (23) is substituted by the following equation
θ ( t f ) = t f μ r 3 + Δ θ , λ m ( t f ) = 0 , H ( t f ) = 1 + λ θ μ r 3
in which the term t f μ / r 3 indicates the angle swept by the Sun–Earth line in the time interval Δ t t f t 0 t f . The boundary value problem has been solved for a number of mission scenarios defined by the value of the phasing angle in the range Δ θ [ 60 , 60 ] deg , with a step of 1 deg and excluding the trivial case Δ θ = 0 . The numerical results, in terms of the minimum flight time t f and the required propellant mass m p , are reported in Figure 9, in which the red highlighted zone indicates again the condition m p > m p max .
The optimal transfer trajectory for the case of Δ θ { 40 , 20 , 20 , 40 } deg is shown in Figure 10. In particular, the left side of the figure clearly indicates that a phasing behind maneuver (i.e., a maneuver in which Δ θ < 0 ) requires a MTC transfer trajectory which “evolves outside” the Earth’s circular orbit, while in a phasing ahead maneuver (i.e., when Δ θ > 0 ) the Sun–MTC distance is less than or equal to r during all the heliocentric transfer; see, for example, the right side of Figure 10.
According to the graph in Figure 9a (or in Figure 9b), a minimum-time phasing trajectory with Δ θ 57 deg (or Δ θ 43 deg ) requires a propellant mass less than the maximum admissible value of 2.8 kg . However, in cases where the constraint on the maximum permissible value of the propellant mass is violated, i.e., when Δ θ [ 60 , 58 ] deg and Δ θ [ 44 , 60 ] deg , the circular orbit phasing maneuver of the MTC is still possible considering a flight time greater than the minimum value obtained with the solution of the optimization process. In this regard, a possible approach to the study of a feasible phasing trajectory when Δ θ [ 60 , 58 ] deg and Δ θ [ 44 , 60 ] deg is to constrain the required propellant mass to its maximum value m p max . This corresponds to removing the constraint λ m ( t f ) = 0 and to enforcing the following condition at the (free) final time
m ( t f ) = m 0 m p max if Δ θ [ 60 , 58 ] deg or Δ θ [ 44 , 60 ] deg
Therefore, in such a suboptimal transfer problem, Equation (32) is substituted by
θ ( t f ) = t f μ r 3 + Δ θ , m ( t f ) = m 0 m p max , H ( t f ) = 1 + λ θ μ r 3
which is then used to complete the associated two-point boundary value problem. In this case, the numerical solution of the optimization problem when Δ θ [ 60 , 58 ] deg and Δ θ [ 44 , 60 ] deg gives the results summarized in Table 1. In particular, for comparative purposes, the table also shows the results of the unconstrained optimization problem (i.e., an optimization procedure with a free value of the propellant mass).
As emerges from Table 1, the presence of a constraint on the mass of propellant required to complete the transfer leads to a small increase in the flight time compared to the unconstrained case. For example, when Δ θ = 55 deg , the “constrained” case gives a flight time of about 508.6 days , while the truly minimum transfer time is 506 days , that is, an increase of roughly 2.5 days . This small rise in flight time allows a propellant saving of approximately 0.25 kg , which allows the constraint on the maximum allowable propellant mass m p max to be satisfied. This aspect will also be evident in the next paragraph, which will analyze the transfer trajectories towards the triangular Lagrangian points { L 4 , L 5 } of the Sun–Earth system, taking into account the constraint on the maximum available propellant mass.

4.1. Case Study: Transfer towards the Sun–Earth Triangular Lagrangian Points

The mathematical model discussed in the last section can be used to obtain the (constrained) minimum flight time of a MTC in a transfer towards one of the two Sun–Earth triangular Lagrangian points { L 4 , L 5 } . The latter are approximately located at a distance of 1 AU from both the Earth and the Sun (see Figure 11) so that a transfer of a MTC towards point L 4 (or point L 5 ) can be approximated with a phasing ahead (or behind) maneuver of an angle Δ θ = 60 deg (or Δ θ = 60 deg ) along a circular heliocentric orbit with radius r .
In this case, the optimal performance in terms of minimum flight time and required propellant mass can be obtained from the first and the last rows of Table 1. Accordingly, the propellant-constrained optimal transfer towards point L 4 (or point L 5 ) requires a flight time of about 1.45 years (or 1.63 years ) and a propellant mass of 2.8 kg . In this scenario, the optimal transfer trajectory is reported in Figure 12, while the time variation in the control terms is shown in Figure 13. Note that the active constraint on the final mass of the MTC introduces a coasting arc almost halfway through the transfer, whose duration is roughly 13 days (or 82 days ) for the Earth– L 5 (or the Earth– L 4 ) transfer.
In particular, Figure 13 shows the radial and transverse components of the thrust unit vector a ^ as obtained from the optimal guidance law, even when τ = 0 only to facilitate the visualization of the curves. In fact, when τ = 0 , the orbital motion of the MTC is purely Keplerian so that its heliocentric trajectory is a conic arc and can be obtained by using a classical approach.

5. Conclusions

The current technological level allows the CubeSat to be effectively used in complex interplanetary missions. This work illustrates a simplified thrust model that can be used to analyze the optimal transfer trajectory of a CubeSat modeled on the M-ARGO spacecraft in a heliocentric scenario. The thrust vector description, which is a refinement of a recently proposed mathematical model, was used to simulate both a classical circle-to-circle orbit transfer and a phasing maneuver along a heliocentric circular orbit of assigned radius.
Simulation results indicate that a phasing maneuver along a circular orbit, which is consistent with the heliocentric trajectory of the Earth, is possible even when the phasing angle is on the order of 60 degrees. In particular, considering the typical spacecraft constraints related to the propellant mass, this work analyzes the propellant-constrained optimal transfers towards one of the two triangular Lagrangian points of the Sun–Earth system. In this context, simulations show that a rapid transfer is possible when a coasting arc appears near the middle of the heliocentric transfer. The proposed refined thrust model can be easily extended to a general three-dimensional case in order to obtain a simple tool for the CubeSat trajectory optimization, which can be used to explore the spacecraft performance in more complex mission scenarios.

Funding

This research received no external funding.

Institutional Review Board Statement

Not applicable.

Informed Consent Statement

Not applicable.

Data Availability Statement

The original contributions presented in the study are included in the article, further inquiries can be directed to the corresponding author.

Conflicts of Interest

The author declares no conflicts of interest.

References

  1. Schoolcraft, J.; Klesh, A.T.; Werne, T. MarCO: Interplanetary mission development on a cubesat scale. In Proceedings of the SpaceOps 2016 Conference, Daejeon, Republic of Korea, 16–20 May 2016. [Google Scholar] [CrossRef]
  2. Klesh, A.T. MARCO: Flight results from the first interplanetary CubeSat mission. In Proceedings of the International Astronautical Congress (IAC), Washington, DC, USA, 21–25 October 2019. [Google Scholar]
  3. Banks, M. NASA launches Mars Insight mission. Phys. World 2018, 31, 10. [Google Scholar] [CrossRef]
  4. Giardini, D.; Ceylan, S.; Clinton, J.; Lognonné, P.; Stähler, S. The Seismicity of Mars Observed by the NASA InSight Mission. Eur. Rev. 2022, 30, 639–656. [Google Scholar] [CrossRef]
  5. Knapmeyer-Endrun, B.; Kawamura, T. NASA’s InSight mission on Mars–first glimpses of the planet’s interior from seismology. Nat. Commun. 2020, 11, 1451. [Google Scholar] [CrossRef] [PubMed]
  6. Malphrus, B.K.; Freeman, A.; Staehle, R.; Klesh, A.T.; Walker, R. Interplanetary CubeSat missions. In CubeSat Handbook: From Mission Design to Operations; Cappelletti, C., Battistini, S., Malphrus, B.K., Eds.; Academic Press: Cambridge, MA, USA, 2021; Chapter 4; pp. 85–121. [Google Scholar] [CrossRef]
  7. Deshapriya, J.; Hasselmann, P.; Gai, I.; Hirabayashi, M.; Dotto, E.; Rossi, A.; Zinzi, A.; Corte, V.D.; Bertini, I.; Ieva, S.; et al. Characterization of the DART Impact Ejecta Plume on Dimorphos from LICIACube Observations. Planet. Sci. J. 2023, 4, 231. [Google Scholar] [CrossRef]
  8. Elisabetta, D.; Angelo, Z. Impact observations of asteroid Dimorphos via Light Italian CubeSat for imaging of asteroids (LICIACube). Nat. Commun. 2023, 14, 3055. [Google Scholar] [CrossRef]
  9. Dotto, E.; Deshapriya, J.; Gai, I.; Hasselmann, P.; Mazzotta Epifani, E.; Poggiali, G.; Rossi, A.; Zanotti, G.; Zinzi, A.; Bertini, I.; et al. The Dimorphos ejecta plume properties revealed by LICIACube. Nature 2024, 627, 505–509. [Google Scholar] [CrossRef]
  10. Gutierrez, G.; Riccobono, D.; Bruno, E.; Bonariol, T.; Vigna, L.; Reverberi, G.; Fazzoletto, E.; Cotugno, B.; Vitiello, A.; Saita, G.; et al. LICIACube: Mission Outcomes of Historic Asteroid Fly-By Performed by a CubeSat. In Proceedings of the 2024 IEEE Aerospace Conference, Big Sky, MT, USA, 2–9 March 2024. [Google Scholar] [CrossRef]
  11. Freeman, A.; Malphrus, B.K.; Staehle, R. CubeSat science instruments. In CubeSat Handbook: From Mission Design to Operations; Cappelletti, C., Battistini, S., Malphrus, B.K., Eds.; Academic Press: Cambridge, MA, USA, 2021; Chapter 3; pp. 67–83. [Google Scholar] [CrossRef]
  12. Dias, N.G.; Nadal Arribas, B.; Gordo, P.; Sousa, T.; Marinho, J.; Melicio, R.; Amorim, A.; Michel, P. LIDAR altimeter conception for HERA spacecraft. Aircr. Eng. Aerosp. Technol. 2021, 93, 1018–1028. [Google Scholar] [CrossRef]
  13. Gramigna, E.; Lasagni Manghi, R.; Zannoni, M.; Tortora, P.; Park, R.S.; Tommei, G.; Le Maistre, S.; Michel, P.; Castellini, F.; Kueppers, M. The Hera Radio Science Experiment at Didymos. Planet. Space Sci. 2024, 246, 105906. [Google Scholar] [CrossRef]
  14. Ferrari, F.; Franzese, V.; Pugliatti, M.; Giordano, C.; Topputo, F. Trajectory Options for Hera’s Milani CubeSat Around (65803) Didymos. J. Astronaut. Sci. 2021, 68, 973–994. [Google Scholar] [CrossRef]
  15. Ferrari, F.; Franzese, V.; Pugliatti, M.; Giordano, C.; Topputo, F. Preliminary mission profile of Hera’s Milani CubeSat. Adv. Space Res. 2021, 67, 2010–2029. [Google Scholar] [CrossRef]
  16. Karatekin, O.; Goldberg, H.; Prioroc, C.L.; Villa, V.M.M. Juventas: Exploration of a binary asteroid system with a CubeSat. In Proceedings of the International Astronautical Congress (IAC), Washington, DC, USA, 21–25 October 2019. [Google Scholar]
  17. Franzese, V.; Topputo, F.; Ankersen, F.; Walker, R. Deep-Space Optical Navigation for M-ARGO Mission. J. Astronaut. Sci. 2021, 68, 1034–1055. [Google Scholar] [CrossRef]
  18. Topputo, F.; Wang, Y.; Giordano, C.; Franzese, V.; Goldberg, H.; Perez-Lissi, F.; Walker, R. Envelop of reachable asteroids by M-ARGO CubeSat. Adv. Space Res. 2021, 67, 4193–4221. [Google Scholar] [CrossRef]
  19. Franzese, V.; Giordano, C.; Wang, Y.; Topputo, F.; Goldberg, H.; Gonzalez, A.; Walker, R. Target selection for M-ARGO interplanetary cubesat. In Proceedings of the International Astronautical Congress (IAC), Virtual Event, 12–14 October 2020. [Google Scholar]
  20. Franzese, V.; Topputo, F. Celestial Bodies Far-Range Detection with Deep-Space CubeSats. Sensors 2023, 23, 4544. [Google Scholar] [CrossRef] [PubMed]
  21. Machida, M.; Tomura, T.; Sakamoto, H.; Fukao, T. Stretchable-Substrate-Impregnated Fabric: Deployable Reflectarray Antennas for CubeSats. IEEE Access 2024, 12, 58562–58572. [Google Scholar] [CrossRef]
  22. Tresoldi, A.; Shore, J.; Austin, A.C.; Aglietti, G.S. Development of a deployable Synthetic Aperture Radar antenna for a nanosatellite conceptual design. Acta Astronaut. 2023, 210, 488–497. [Google Scholar] [CrossRef]
  23. Rubaek, T.; Jorgensen, E.; Zhou, M.; Ericsson, A.; Bilgic, M.M. Reflectarrays for CubeSat Applications. In Proceedings of the 2023 International Workshop on Antenna Technology (iWAT), Aalborg, Denmark, 15–17 May 2023. [Google Scholar] [CrossRef]
  24. Szebehely, V. Theory of Orbits: The Restricted Problem of Three Bodies; Academic Press: New York, NY, USA, 1967; pp. 587–602. [Google Scholar]
  25. Cervone, A.; Topputo, F.; Franzese, V.; Pérez-Silva, A.R.; Leon, B.B.; Garcia, B.D.; Minacapilli, P.; Rosa, P.; Bay, G.; Radu, S. The path towards increasing RAMS for novel complex missions based on CubeSat technology. CEAS Space J. 2023, 16, 203–224. [Google Scholar] [CrossRef]
  26. Mengali, G.; Quarta, A.A. Fuel-optimal, power-limited rendezvous with variable thruster efficiency. J. Guid. Control Dyn. 2005, 28, 1194–1199. [Google Scholar] [CrossRef]
  27. Quarta, A.A.; Mengali, G. Minimum-Time Space Missions with Solar Electric Propulsion. Aerosp. Sci. Technol. 2011, 15, 381–392. [Google Scholar] [CrossRef]
  28. Sauer, C.G., Jr. Modeling of Thruster and Solar Array Characteristics in the JPL Low-Thrust Trajectory Analysis. In Proceedings of the 13th International Electric Propulsion Conference, San Diego, CA, USA, 25–27 April 1978. [Google Scholar] [CrossRef]
  29. Sauer, C.G., Jr.; Atkins, K.G. Potential Advantages of Solar Electric Propulsion for Outer Planet Orbiters. In Proceedings of the AIAA 9th Electric Propulsion Conference, Bethesda, MD, USA, 17–19 April 1972. [Google Scholar] [CrossRef]
  30. Rayman, M.D.; Williams, S.N. Design of the First Interplanetary Solar Electric Propulsion Mission. J. Spacecr. Rocket. 2002, 39, 589–595. [Google Scholar] [CrossRef]
  31. Bryson, A.E.; Ho, Y.C. Applied Optimal Control; Hemisphere Publishing Corporation: New York, NY, USA, 1975; Chapter 2; pp. 71–89. ISBN 0-891-16228-3. [Google Scholar]
  32. Stengel, R.F. Optimal Control and Estimation; Dover Books on Mathematics; Dover Publications, Inc.: New York, NY, USA, 1994; pp. 222–254. [Google Scholar]
  33. Yang, W.Y.; Cao, W.; Kim, J.; Park, K.W.; Park, H.H.; Joung, J.; Ro, J.S.; Hong, C.H.; Im, T. Applied Numerical Methods Using MATLAB; John Wiley & Sons, Inc.: Hoboken, NJ, USA, 2020; Chapters 3 and 6; pp. 158–165, 312. [Google Scholar]
  34. Luo, Y.z.; Yang, Z. A review of uncertainty propagation in orbital mechanics. Prog. Aerosp. Sci. 2017, 89, 23–39. [Google Scholar] [CrossRef]
  35. Prussing, J.E. Optimal Spacecraft Trajectories; Oxford University Press: Oxford, UK, 2018; Chapter 4; pp. 32–40. [Google Scholar]
  36. Ross, I.M. A Primer on Pontryagin’s Principle in Optimal Control; Collegiate Publishers: San Francisco, CA, USA, 2015; Chapter 2; pp. 127–129. [Google Scholar]
  37. Taheri, E.; Arya, V.; Junkins, J.L. Costate mapping for indirect trajectory optimization. Astrodynamics 2021, 5, 359–371. [Google Scholar] [CrossRef]
  38. Quarta, A.A. Initial costate approximation for rapid orbit raising with very low propulsive acceleration. Appl. Sci. 2024, 14, 1124. [Google Scholar] [CrossRef]
  39. Quarta, A.A. Fast initialization of the indirect optimization problem in the solar sail circle-to-circle orbit transfer. Aerosp. Sci. Technol. 2024, 147, 109058. [Google Scholar] [CrossRef]
  40. Quarta, A.A. Warm start for optimal transfer between close circular orbits with first generation E-sail. Adv. Space Res. 2024, in press. [CrossRef]
  41. Park, C. Necessary conditions for the optimality of singular arcs of spacecraft trajectories subject to multiple gravitational bodies. Adv. Space Res. 2013, 51, 2125–2135. [Google Scholar] [CrossRef]
  42. Morelli, A.C.; Giordano, C.; Bonalli, R.; Topputo, F. Characterization of Singular Arcs in Spacecraft Trajectory Optimization. arXiv 2023, arXiv:2311.04123. [Google Scholar] [CrossRef]
  43. Mengali, G.; Quarta, A.A. Optimal trade studies of interplanetary electric propulsion missions. Acta Astronaut. 2008, 62, 657–667. [Google Scholar] [CrossRef]
  44. Curtis, H.D. Orbital Mechanics for Engineering Students; Elsevier: Oxford, UK, 2014; Chapter 6; pp. 298–303. [Google Scholar] [CrossRef]
  45. Chobotov, V.A. (Ed.) Orbital Mechanics; AIAA Education Series: Reston, VA, USA, 2002; Chapter 7. [Google Scholar] [CrossRef]
  46. McInnes, C.R. Azimuthal repositioning of payloads in heliocentric orbit using solar sails. J. Guid. Control Dyn. 2003, 26, 662–664. [Google Scholar] [CrossRef][Green Version]
  47. Quarta, A.A.; Mengali, G.; Denti, E. Optimal in-orbit repositioning of Sun-pointing Smart Dust. Acta Astronaut. 2019, 154, 278–285. [Google Scholar] [CrossRef]
  48. Janhunen, P.; Toivanen, P.K.; Polkko, J.; Merikallio, S. Electric solar wind sail: Toward test missions. Rev. Sci. Instrum. 2010, 81, 111301-1–111301-11. [Google Scholar] [CrossRef]
  49. Mengali, G.; Quarta, A.A.; Aliasi, G. Heliocentric Phasing Performance of Electric Sail Spacecraft. Acta Astronaut. 2016, 127, 474–481. [Google Scholar] [CrossRef]
Figure 1. Artistic concept of the CubeSat M-ARGO approaching the target asteroid. Image: © ESA-Jacky Huart.
Figure 1. Artistic concept of the CubeSat M-ARGO approaching the target asteroid. Image: © ESA-Jacky Huart.
Applsci 14 07059 g001
Figure 2. Variation in the MTC thrust model characteristics { P in , T max , I sp } as a function of the solar distance r, according to the mathematical model proposed in the recent literature by Topputo et al. [18].
Figure 2. Variation in the MTC thrust model characteristics { P in , T max , I sp } as a function of the solar distance r, according to the mathematical model proposed in the recent literature by Topputo et al. [18].
Applsci 14 07059 g002
Figure 3. Variation with r in the two derivatives T max / r and I sp / r . Note that the function T max / r has a jump discontinuity when r 0.93 AU , while the derivative I sp / r is a continuous function of r.
Figure 3. Variation with r in the two derivatives T max / r and I sp / r . Note that the function T max / r has a jump discontinuity when r 0.93 AU , while the derivative I sp / r is a continuous function of r.
Applsci 14 07059 g003
Figure 4. Comparison between the surrogate thrust model described by Equations (1) and (3) (black lines) and the simplified mathematical model given by Equations (12) and (14) (dash red lines).
Figure 4. Comparison between the surrogate thrust model described by Equations (1) and (3) (black lines) and the simplified mathematical model given by Equations (12) and (14) (dash red lines).
Applsci 14 07059 g004
Figure 5. Heliocentric polar reference frame T ( O ; r , θ ) , in which the azimuthal angle θ is measured from the Sun–spacecraft direction (green dash line) at the initial time instant. The unit vectors r ^ and θ ^ indicate the radial and transverse directions, respectively, while a is the MTC-induced propulsive acceleration vector.
Figure 5. Heliocentric polar reference frame T ( O ; r , θ ) , in which the azimuthal angle θ is measured from the Sun–spacecraft direction (green dash line) at the initial time instant. The unit vectors r ^ and θ ^ indicate the radial and transverse directions, respectively, while a is the MTC-induced propulsive acceleration vector.
Applsci 14 07059 g005
Figure 6. Results of the optimization process in a circle-to-circle coplanar MTC orbit transfer without constraints on the propellant mass, in terms of the minimum flight time t f and propellant mass m p as a function of the target orbit radius r f . The light red region indicates the zone in which the condition m p m p max on the maximum value of the admissible propellant mass is violated ( m p max = 2.8 kg ). (a) Case of orbit lowering; (b) case of orbit raising.
Figure 6. Results of the optimization process in a circle-to-circle coplanar MTC orbit transfer without constraints on the propellant mass, in terms of the minimum flight time t f and propellant mass m p as a function of the target orbit radius r f . The light red region indicates the zone in which the condition m p m p max on the maximum value of the admissible propellant mass is violated ( m p max = 2.8 kg ). (a) Case of orbit lowering; (b) case of orbit raising.
Applsci 14 07059 g006
Figure 7. Optimal circle-to-circle coplanar orbit transfer of a MTC when the radius of the parking orbit is r = 1 AU . Radial distances are in astronomical units. Black line → rapid transfer trajectory; blue line → parking circular orbit; red line → target circular orbit; black circle → start point; red square → arrival point; orange circle → the Sun. (a) Case of an orbit lowering with r f = 0.8 AU ; (b) case of an orbit raising with r f = 1.2 AU .
Figure 7. Optimal circle-to-circle coplanar orbit transfer of a MTC when the radius of the parking orbit is r = 1 AU . Radial distances are in astronomical units. Black line → rapid transfer trajectory; blue line → parking circular orbit; red line → target circular orbit; black circle → start point; red square → arrival point; orange circle → the Sun. (a) Case of an orbit lowering with r f = 0.8 AU ; (b) case of an orbit raising with r f = 1.2 AU .
Applsci 14 07059 g007
Figure 8. Variation with time t in the spacecraft total mass m and the control terms { τ , a ^ } . Black line →m; magenta line → τ ; blue line → a ^ · r ^ ; green line → a ^ · θ ^ ; black circle → start point; red square → arrival point. (a) Case of an orbit lowering with r f = 0.8 AU ; (b) case of an orbit raising with r f = 1.2 AU .
Figure 8. Variation with time t in the spacecraft total mass m and the control terms { τ , a ^ } . Black line →m; magenta line → τ ; blue line → a ^ · r ^ ; green line → a ^ · θ ^ ; black circle → start point; red square → arrival point. (a) Case of an orbit lowering with r f = 0.8 AU ; (b) case of an orbit raising with r f = 1.2 AU .
Applsci 14 07059 g008
Figure 9. Results of the optimization process in a circular orbit phasing maneuver (with radius equal to r ), as a function of the desired phasing angle Δ θ [ 60 , 60 ] deg of the MTC with respect to the Earth, with Δ θ 0 . The numerical results are in terms of the minimum flight time t f and propellant mass m p . The light red region indicates the zone in which the constraint m p m p max on the maximum value of the admissible propellant mass is violated ( m p max = 2.8 kg ). (a) Case of phasing behind ( Δ θ < 0 ); (b) case of phasing ahead ( Δ θ > 0 ).
Figure 9. Results of the optimization process in a circular orbit phasing maneuver (with radius equal to r ), as a function of the desired phasing angle Δ θ [ 60 , 60 ] deg of the MTC with respect to the Earth, with Δ θ 0 . The numerical results are in terms of the minimum flight time t f and propellant mass m p . The light red region indicates the zone in which the constraint m p m p max on the maximum value of the admissible propellant mass is violated ( m p max = 2.8 kg ). (a) Case of phasing behind ( Δ θ < 0 ); (b) case of phasing ahead ( Δ θ > 0 ).
Applsci 14 07059 g009
Figure 10. Optimal circular orbit phasing trajectory when Δ θ { 40 , 20 , 20 , 40 } deg . Radial distances are in astronomical units. Black line → MTC transfer trajectory; blue line → Earth’s circular orbit with r = r = 1 AU ; black circle → start point; red square → MTC arrival point; blue circle → Earth at the end of the transfer; orange circle → the Sun.
Figure 10. Optimal circular orbit phasing trajectory when Δ θ { 40 , 20 , 20 , 40 } deg . Radial distances are in astronomical units. Black line → MTC transfer trajectory; blue line → Earth’s circular orbit with r = r = 1 AU ; black circle → start point; red square → MTC arrival point; blue circle → Earth at the end of the transfer; orange circle → the Sun.
Applsci 14 07059 g010
Figure 11. Approximate position of the triangular Lagrangian points { L 4 , L 5 } of the Sun–Earth system, which has been considered for the study of the MTC transfer trajectory.
Figure 11. Approximate position of the triangular Lagrangian points { L 4 , L 5 } of the Sun–Earth system, which has been considered for the study of the MTC transfer trajectory.
Applsci 14 07059 g011
Figure 12. Optimal MTC transfer trajectory towards Sun–Earth triangular Lagrangian points { L 4 , L 5 } . Radial distances are in astronomical units. Black line → MTC transfer trajectory; blue line → Earth’s circular orbit with r = r = 1 AU ; black circle → start point; red square → MTC arrival point; blue circle → Earth at the end of the transfer; orange circle → the Sun.
Figure 12. Optimal MTC transfer trajectory towards Sun–Earth triangular Lagrangian points { L 4 , L 5 } . Radial distances are in astronomical units. Black line → MTC transfer trajectory; blue line → Earth’s circular orbit with r = r = 1 AU ; black circle → start point; red square → MTC arrival point; blue circle → Earth at the end of the transfer; orange circle → the Sun.
Applsci 14 07059 g012
Figure 13. Variation in the control terms { τ , a ^ } with time t in a MTC transfer towards the Sun–Earth triangular Lagrangian points L 4 or L 5 . Magenta line → τ ; blue line → a ^ · r ^ ; green line → a ^ · θ ^ ; black circle → start point; red square → arrival point.
Figure 13. Variation in the control terms { τ , a ^ } with time t in a MTC transfer towards the Sun–Earth triangular Lagrangian points L 4 or L 5 . Magenta line → τ ; blue line → a ^ · r ^ ; green line → a ^ · θ ^ ; black circle → start point; red square → arrival point.
Applsci 14 07059 g013
Table 1. Simulation results of the circular orbit optimal phasing maneuver with a constraint on the maximum propellant mass; see also Equation (34).
Table 1. Simulation results of the circular orbit optimal phasing maneuver with a constraint on the maximum propellant mass; see also Equation (34).
UnconstrainedConstrained
Δ θ t f   [Years] m p   [kg] t f   [Years] m p   [kg]
60 1.6342.8471.6352.8
59 1.6222.8311.6232.8
58 1.6102.8151.6102.8
441.2842.8201.2842.8
451.2932.8421.2942.8
461.3032.8641.3042.8
471.3122.8861.3142.8
481.3222.9081.3242.8
491.3312.9291.3342.8
501.3402.9511.3432.8
511.3492.9721.3532.8
521.3592.9941.3632.8
531.3683.0151.3732.8
541.3773.0361.3832.8
551.3863.0571.3932.8
561.3953.0791.4032.8
571.4043.1001.4142.8
581.4133.1211.4252.8
591.4223.1421.4362.8
601.4313.1631.4482.8
Disclaimer/Publisher’s Note: The statements, opinions and data contained in all publications are solely those of the individual author(s) and contributor(s) and not of MDPI and/or the editor(s). MDPI and/or the editor(s) disclaim responsibility for any injury to people or property resulting from any ideas, methods, instructions or products referred to in the content.

Share and Cite

MDPI and ACS Style

Quarta, A.A. Continuous-Thrust Circular Orbit Phasing Optimization of Deep Space CubeSats. Appl. Sci. 2024, 14, 7059. https://doi.org/10.3390/app14167059

AMA Style

Quarta AA. Continuous-Thrust Circular Orbit Phasing Optimization of Deep Space CubeSats. Applied Sciences. 2024; 14(16):7059. https://doi.org/10.3390/app14167059

Chicago/Turabian Style

Quarta, Alessandro A. 2024. "Continuous-Thrust Circular Orbit Phasing Optimization of Deep Space CubeSats" Applied Sciences 14, no. 16: 7059. https://doi.org/10.3390/app14167059

APA Style

Quarta, A. A. (2024). Continuous-Thrust Circular Orbit Phasing Optimization of Deep Space CubeSats. Applied Sciences, 14(16), 7059. https://doi.org/10.3390/app14167059

Note that from the first issue of 2016, this journal uses article numbers instead of page numbers. See further details here.

Article Metrics

Back to TopTop