Next Article in Journal
Enrichment of White Wine Vinegar with Aromatic Plants: The Impact on Aromatic, Polyphenolic, and Sensory Profiles
Previous Article in Journal
Sand Production Characteristics of Hydrate Reservoirs in the South China Sea
 
 
Font Type:
Arial Georgia Verdana
Font Size:
Aa Aa Aa
Line Spacing:
Column Width:
Background:
Article

The Effect of Neuromuscular Fatigue on the Spatiotemporal Coordination of Rowing

Department of Kinesiology, Brock University, 1812 Sir Isaac Brock Way, St. Catharines, ON L2S 3A1, Canada
*
Author to whom correspondence should be addressed.
Appl. Sci. 2024, 14(16), 6907; https://doi.org/10.3390/app14166907
Submission received: 9 July 2024 / Revised: 30 July 2024 / Accepted: 1 August 2024 / Published: 7 August 2024
(This article belongs to the Section Applied Biosciences and Bioengineering)

Abstract

Within rowing, lower back disorders (LBDs) are common, but the mechanisms underpinning LBDs are poorly understood. Considering this, it is essential to understand how coordination and motor control change under different constraints such as ergometer rowing and fatigue. This can help better inform movement features linked to LBDs. Measurement of the continuous relative phase (CRP) is a method used to quantify body segment and joint coordination, as CRP measures the spatiotemporal control of multi-joint movement. The purpose of this study was twofold: to examine the general spatiotemporal coordination aspects of ergometer rowing in an unfatigued state, and to quantify how the spatiotemporal coordination of a rowing movement changes in response to a fatigue-inducing rowing trial. Wearable IMUs monitored 20 participants’ movement during a 2000 m ergometer row. The Borg-10 Rating of Perceived Exertion (RPE) scale was used to quantify perceived fatigue. Despite significant RPE increases across all athletes, the spatiotemporal coordination of rowing revealed prevailing strategies for the lumbar spine and lower extremity but no significant effects (α = 0.05) of fatigue on CRP outcomes (MARP, DP), cross-correlation lag (RXY), or range of motion. These findings provide further insight into rowing movements and support the idea that heterogeneous responses to fatigue may exist, requiring further study.

1. Introduction

Muscle fatigue is known to reduce the force-generating capacity of muscles, which ultimately alters movement spatiotemporal coordination, thereby potentially increasing an individual’s risk of a musculoskeletal injury [1]. Despite a strong working knowledge regarding the effects of muscle fatigue, musculoskeletal disorders (MSDs) are still very common in both work and sport settings, with lower back disorders (LBDs) having the highest prevalence and socioeconomic impact [2,3]. These large burdens suggest that it is essential to understand how the spine is being controlled during a sport-specific movements, such as rowing, to understand if there are aspects of spatiotemporal control which may elevate injury risk in rowing athletes. Improper timing and pattern of movements across joints and segments could lead to inefficient force application and increased strain on joints and tissues, potentially leading to injuries [4]. Current technology such as conventional motion capture systems provide accurate and reliable data but are costly, complex, and are only available in laboratory settings, prohibiting their use in ecological environments such as those relevant to clinical, industry, and sport performance settings. To address this problem, wearable sensors such as inertial measurement units (IMUs) have been proposed to act as surrogates to measure changes in human movement resulting from fatigue [5]. These sensors are a portable and relatively inexpensive alternative to conventional laboratory-based motion capture systems and have the potential to be introduced into clinical, industrial, or performance settings as an objective tool to assess functional control of the spine. Recent validity and reliability studies found these sensors to be reliable in comparison to the gold-standard laboratory-based motion capture systems, further supporting their use in various settings [6,7].
Within the sport of rowing, LBDs are extremely common [3,8]. However, to this point, the specific risk factors for the development of LBDs in rowing athletes are unclear [9]. Previous work has quantified the kinematic and electrophysiological demands during a typical rowing stroke [10]. Specifically, Pollock and colleagues (2009) noted that the axial structures, such as the spine, are particularly vulnerable to injury during the early drive phase. This is due to the spine being loaded with a compressive force typically 4.6 times the rower’s body weight, all while in a flexed position, with these loads typically occurring 230–260 times during a single 2000 m race [10]. The cumulative microtrauma imposed by these repetitive stresses has the potential to result in mechanical injury to the passive tissues supporting the spinal column (e.g., intervertebral discs) [11], as well as the muscles surrounding the spine (e.g., transversospinales, paraspinals), thereby contributing to the high prevalence of LBDs reported in rowing athletes [10]. In addition to this, recent work has suggested that rowing-induced fatigue has the capacity to affect spine posture, resulting in enhanced forward flexion of the thoracic spine during fatigue, thereby exaggerating the mechanical loads placed on axial structures [12]. What has yet to be assessed in the context of rowing-specific movements is how neuromuscular fatigue affects the coordination between the multiple joints required to complete a rowing movement. Specifically, if fatigue results in reduced coordinative variability, as this may accelerate overuse injuries in rowing athletes due to increased cumulative loading of specific anatomical structures during a rowing bout or prolonged periods of training [13].
One method to quantify body segment and joint coordination is through the estimation of the continuous relative phase (CRP) [13]. CRP angles are obtained through the phase portraits, generated from the measured time-series (i.e., joint or segment angle) and the first time derivative (i.e., joint or segment angular velocity) [13]. CRP values derived from a phase portrait provide an understanding of the spatiotemporal sequencing of multiple segments and/or joints and are often represented as measures of the mean absolute relative phase (MARP) and deviation phase (DP) [14]. The MARP is calculated by taking the absolute average of the mean CRP curve, while the DP is calculated by taking the average of the standard deviation across a CRP curve ensemble [14]. Contextually, the MARP represents the movement pattern between pairs of segments/joints and can identify if segment/joint pairs are moving in or out of phase. In contrast, the DP can be interpreted as the variability in the coordination of the two segments/joints being compared and has been suggested to be related to overuse injury [13].
The purpose of this study was as follows: (1) to examine the prevailing spatiotemporal coordination of the spine and lower extremities during a rowing stroke in an unfatigued state, and (2) to quantify how the spatiotemporal coordination of a rowing movement changes in response to a fatigue-inducing rowing trial. It was hypothesized that rowers would (1) have a prevailing motor strategy with movement being initiated through the lumbar region, and (2) that in response to fatigue, inter-joint coordination patterns would change, specifically becoming more out of phase (increased MARP) and variable (increased DP) across all joint pairings.

2. Materials and Methods

2.1. Experimental Approach to the Problem

To understand the effects of neuromuscular fatigue on the spatiotemporal coordination of rowing, a cross-sectional repeated-measures study was designed to assess motor coordination pre- and post-fatigue. All participants were required to complete the research study during a single experimental visit, where they were required to complete a 2000 m rowing bout on an indoor ergometer at their perceived race pace. Detailed information about the movement protocol and instructions are presented below.

2.2. Subjects

A total of 20 participants (10 male and 10 female) were recruited to participate in the study using convenience sampling (Table 1). To be included in the study, the participants must have indicated that they were (1) aged 17–30 years old, (2) had rowing experience at the amateur or elite level, and (3) maintained a physical activity level of moderate physical exercise ≥ 2 times a week. Participants were excluded if they identified with any physical or cognitive impairment, any musculoskeletal injury, respiratory infection, or cardiovascular issues that could affect one’s ability to perform a 2000 m rowing trial at race pace. Further, participants were excluded if they noted a recent history of LBP in the last 3 months or any allergies to adhesives or rubbing alcohol. Participant data from both males and females were combined for analysis. All participants provided informed consent prior to data collection, and all procedures were approved by the institutional Research Ethics Board (REB 19-310).

2.3. Instrumentation

To measure whole-body kinematics, 17 IMUs were attached to the participants using an XSens Awinda (Movella Technologies N.A. Inc., El Segundo, CA, USA) full-body strap set on the following positions: head, sternum, pelvis, and bilaterally on the shoulders, upper arm, lower arm, hands, upper leg, lower leg, and feet. To construct and refine an XSens whole-body model, 12 anthropometric measurements of the participants were taken, which included body height, shoe length, shoulder height, shoulder width, elbow span, wrist span, arm span, hip height, hip width, knee height, ankle height, and extra shoe sole thickness. To calibrate the sensors, the participants followed the standard calibration method, which included standing in a neutral pose for four seconds, then walking forward for five seconds, and then making a smooth turn back to the starting position, in a normal fashion. The IMU sensors were sampled at 60 Hz and transmitted data wirelessly via the XSens MVN Awinda docking station and receiver. All raw data were HD reprocessed and exported as .xlsx files using the MVN Analyze software (version 2021.0.1) in accordance with the manufacturer’s guidelines. All equipment locations are depicted in Figure 1.

2.4. Movement Protocol

Prior to the 2000 m rowing bout, the participants were given 5 min to warm up on the rowing ergometer and were instructed to find a constant stroke rate that they would maintain throughout the entire duration of the trial. Following this, the participants performed a 2000 m row at their normal drag factor (resistance). The Borg-10 Rating of Perceived Exertion (RPE) scale was used to allow the participants to determine their perceived effort and fatigue during the row [15]. Participant RPE was assessed prior to and immediately following the 2000 m rowing bout to assess perceived fatigue.

2.5. Data Processing and Analysis

Following HD reprocessing (XSens MVN Analyze, software version 2021.0.1), joint angles were exported into MATLAB (v. R2021b, The MathWorks Inc., Natick, MA, USA), and the shoulder, lumbar, hip, knee, and ankle flexion–extension joint angles were taken for further analysis and were trimmed to the first 10–50 cycles (PRE) and the final 40 cycles (POST) of the rowing trial to represent periods of minimal and maximal neuromuscular fatigue. The first 10 cycles were excluded from any analyses to ensure that all the participants had reached a steady-state rowing movement. Further, all joint flexion–extension time-series data were segmented, with each stroke time-normalized to 101 frames (i.e., 0–100%) to facilitate further analyses. Time-normalized joint angle time series data were used to extract the average maximum, average minimum, and average range (i.e., maximum–minimum) joint angles across each 40-cycle pre- and post-fatigue timepoint.
For each of the joint angles, an amplitude-normalized joint angle was plotted against an amplitude-normalized joint angular velocity to yield the extraction of a phase angle. Amplitude normalization is a critical step, and the relative amplitude was observed to differ across segments and derivatives [16]. As such, these signals were amplitude-normalized from −1 (minimum) to +1 (maximum) using Equation (1) to ensure that the two phase portraits being compared were identical and comparable [14].
θ i ,   n o r m = 2 × θ i min ( θ ) max ( θ ) min ( θ ) 1
Once amplitude-normalized, the phase angle between adjacent points within the phase plot was calculated for each time point across the cycle [10]. The difference was then taken between each point in time between the two phase angles to yield a time-varying CRP angle (Equation (2)) [14].
CRPi = |φi,proximalφi,distal|
Joint pairs of interest included three pairs of neighboring joints: hip–knee (HK), lumbar–hip (LH), shoulder–lumbar (SL), and four joint pairs referenced to the movement of the ankle: shoulder–ankle (SA), lumbar–ankle (LA), hip–ankle (HA), and knee–ankle (KA). Once calculated, the time-varying CRP angles were further reduced into estimates of the mean absolute relative phase (MARP) and deviation phase (DP) to provide a better understanding of the spatiotemporal differences between segments/joints [11]. The MARP was calculated by taking the mean absolute value across all CRP cycles (Equation (3)), while the DP was calculated by taking the mean standard deviation obtained across all 40 cycles (Equation (4)) [14].
M A R P = i = 1 101   | φ r e l a t i v e   p h a s e |   i / 101
D P = i = 1 101   S D i / 101
To complement the CRP analyses, cross-correlations (RXY) were also computed to infer the mean time lag between joint pairs [17]. This was completed to provide additional detail surrounding the relative timing of joint flexion–extension movement across each stroke (i.e., drive–recovery) cycle. For all RXY analyses, the joint pairs mirrored those used for any CRP analyses.

2.6. Statistical Analysis

All statistical analysis were completed using SAS version 9.4 (SAS Institute Inc., Cary, NC, USA). Two separate two-way ANOVAs were completed. For the first, the independent variables were the timepoint (pre/post) and joint angle pair (i.e., HK, LH, SL, SA, LA, HA, KA). The dependent variables for the first ANOVA were the MARP, DP, and RXY lag. For the second two-way ANOVA, the independent variables were the timepoint (pre/post) and joint (Ankle, Hip, Knee, Lumbar, Shoulder), and the dependent variables were mean maximum, minimum, and range across each joint flexion extension angle timeseries. To compare time-point effects paired sample t-tests were used. Any significant main effects or main effect interactions for both two-way ANOVAs were further investigated using a Tukey–Kramer post hoc analysis. Assumptions of normality were evaluated using a Shapiro–Wilk test statistic, and all significant differences were interpreted at α = 0.05.

3. Results

3.1. Borg Rating of Perceived Exertion Scale

The results from the Borg-10 RPE scale revealed a mixed range of responses; however, on average, the RPE increased as the trial’s duration progressed (Figure 2). When averaged across the study’s samples, it was observed that there was a significant difference (p < 0.0001) between the pre- and post-trial RPE. Note that data from male and female participants were combined in this analysis.

3.2. Mean Absolute Relative Phase

A significant change was observed between the joint pairings; however, no significant main effects of timepoint nor main effect interactions were observed. Specifically, a significant difference in the MARP was observed between the HA-LA, HA-LH, HA-SA, HA-SL, HK-LA, HK-LH, HK-SA, HK-SL, KA-LA, KA-LH, KA-SA, and KA-SL joint segments (p ≤ 0.05). In comparing these joint pairs, a high MARP was seen for the LH, SL, LA, and SA joint pairings, while a low MARP was seen for the HK, KA, and HA joint pairings. Although the changes in the pre- vs. post-trial MARP were statistically insignificant, increases were observed for the HK, KA, HA, and SA pairings, while decreases were observed for the LH, SL, and LA pairings (Figure 3).

3.3. Deviation Phase

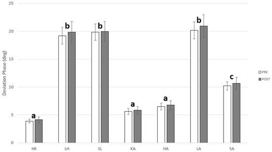
A significant change was observed between the joint pairings; however, no significant main effects of timepoint nor main effect interactions were observed. Specifically, a significant difference for the DP was observed between the HA-LA, HA-LH, HA-SA, HA-SL, HK-LA, HK-LH, HK-SA, HK-SL, KA-LA, KA-LH, KA-SA, KA-SL, LA-SA, LH-SA, and SA-SL joint segments (Figure 4). Generally, a high DP was observed for the LH, SL, and LA joint pairings, while a lower DP was seen for the HK, KA, HA, and SA joint segments. Further, an increase in the average pre- vs. post-trial DP was observed for all the joint segments; however, this change was statistically insignificant (p > 0.05) (Figure 4).

3.4. Cross-Correlation Analysis

The time lags identified from the cross-correlation analysis demonstrated a significant change between the joint pairings; however, no significant main effects of timepoint nor main effect interactions were observed. Specifically, significant differences were observed between the following joint pairs: HA-SL, HK-SL, KA-SL, LA-LH, LA-SA, LH-SL, and LA-SL. Although insignificant, the LH and LA pairings demonstrated increases of 0.15 ± 0.14 s and 0.16 ± 0.14 s pre- vs. post-trial, respectively. Collectively, the time lags obtained here suggest the following prevailing joint sequencing during the rowing (i.e., drive and recovery) movements: (1) lumbar spine → (2) hip → (3) ankle → (4) knee → (5) shoulder (Figure 5).

3.5. Joint Range of Motion

A significant change was observed between the joint-by-joint comparisons; however, no significant main effects of timepoint nor main effect interactions were observed. Specifically, a significant difference for the max ROM was seen between all the joint segments, while a significant difference for the minimum ROM was seen for all the joint segment pairs except for the lumbar spine and knee. As depicted in Table 2, the shoulder joint had the largest ROM (average max–min), while the lumbar region had the smallest ROM (average max–min). Relative to the neutral (i.e., standing) posture, the lumbar, hip, and knee are flexed at all points during a row. The shoulder showed flexion–extension movements with a higher ROM for flexion, while the ankle also showed flexion–extension movement with a higher ROM for dorsiflexion and a lower ROM for plantar flexion.

4. Discussion

The primary purpose of this study was to examine the general spatiotemporal coordinative aspects of rowing in an unfatigued state. The secondary purpose was to quantify how the spatiotemporal coordination of a rowing movement changes in response to a fatigue-inducing rowing trial. The analysis of the spatiotemporal coordinative aspects of rowing revealed significant differences between the joints and joint pairs but no significant effect of timepoint (i.e., PRE/POST fatigue) for the MARP, DP, RXY lag, and joint ROM.
To begin, the LH, SL, LA, and SA joint pairs showed a greater MARP, meaning that these joint pairings were more out of phase in comparison to the other joint pairings analyzed here. Further, a statistically insignificant increase in the pre- vs. post-fatigue MARP was seen for the HK, KA, HA, and SA pairings, while a decrease in the MARP was observed for the LH, SL, and LA pairings. This likely means that as a rower becomes fatigued, the movement of the HK, KA, HA, and SA joint segments tends to become more out of phase, while the LH, SL, and LA segments tend to become more in phase. The LH, SL, and LA joint pairings showed a statistically larger DP than the other joint pairings. This suggests more cycle–cycle variability for these joint pairs relative to the others. Further, there was a general trend towards an increasing DP across the pre/post timepoints. This suggests that as rowers become fatigued, their movement becomes more variable, which may be indicative of encumbered motor control. Collectively, the MARP and DP results suggest that the lumbar spine was both (1) more out of phase and (2) more variable in comparison to the other joints. This suggests that the lumbar spine plays an important role in the initiation of a rowing movement (i.e., drive or recovery), and the strategy to accomplish these movements tends to vary in comparison to the other joints analyzed. Currently, at the time of this publication, this is the first paper to our knowledge that has evaluated the spatiotemporal coordination of rowing in novice and elite level rowers.
The RXY lags suggest that the joints analyzed here followed the following prevailing sequence (relative to the ankle): (1) lumbar → (2) hip → (3) ankle → (4) knee → (5) shoulder. This coordination pattern fits the criteria of a rowing movement, with all the joint segments undergoing extension during the drive phase and flexion during the recovery phase. This suggests that the lumbar spine leads both the drive and recovery movements and has a fundamental role in the initiation (i.e., acceleration and deceleration) of the multi-segment spatiotemporal coordination of a rowing stroke. The assessment of joint posture throughout the row suggests that the lumbar spine, hip, and knee are more flexed relative to a standing neutral posture, while the shoulder and ankle are more extended at the finish position. Further, the overall joint ROM was larger for the shoulder, knee, and hip joints relative to the ankle and lumbar, but the relative ROM did not change when fatigued. Previous work has shown an increase in posterior pelvic tilt at the catch position [18] and increased thoracic curvature with muscle fatigue [12]; however, to the authors’ knowledge, no research has assessed the whole-body spatiotemporal coordination of a rowing movement. This study fills that gap by providing a comprehensive analysis of the coordination patterns across multiple joints and how these are affected by fatigue.
Collectively, the results summarized above suggest a distinct spatiotemporal coordination pattern between the shoulder, lumbar spine, hip, knee, and ankle during a rowing movement; however, the coordination pattern remained unchanged from the start to the end of the fatigue-inducing rowing bout. Although insignificant results were seen pre- vs. post-trial, these results suggest that changes to the spatiotemporal coordination of rowing could occur with fatigue. The results presented here suggest small pre/post trends in the MARP, DP, RXY lag, and joint posture outcomes; however, it is likely that individual factors prohibit the analysis of group effects. Specifically, the individual values of each participant showed a mix of responses (i.e., Figure 2), resulting in a non-significant difference between the timepoints. This mix of responses might be due to the variations in participant anthropometrics or specific sex effects [19] present within the dataset, causing individuals to adapt to any neuromuscular fatigue in different ways. Future work will be necessary to uncover individual response characteristics to a fatiguing rowing bout, including assessing the relative injury risk in those who respond with significant changes in joint posture or in the spatiotemporal coordination of multi-joint dynamics. Specifically, those who respond to fatigue by increasing spine flexion [12] and their deviation phase (i.e., variation) would potentially be at an added injury risk due to the incidence of high-flexion postures (which place the passive elements of the trunk into strain) coupled with more variable motor patterns, which may suggest poorer control, and thereby increase the potential for high-flexion tissue loads to exceed an underlying tissue tolerance.
The findings of this study provide insights into the spatiotemporal coordination patterns of rowers during ergometer training. The current findings demonstrate that the fatigue-related changes to the spatiotemporal coordination of a rowing movement were limited during a 2000 m near maximal effort row on an ergometer. It is possible that the changes to the spatiotemporal coordination of the rowing stroke were masked by the use of an indoor ergometer and may be present during less-constrained on-water rowing movements. However, since this study did not compare the two types of training (i.e., ergometer vs. on-water), future studies should investigate this claim by evaluating the differences in fatigue-related changes in the spatiotemporal coordination of rowing on an ergometer versus on-water rowing, as this could provide coaches with important information to improve the design of their coaching interventions. The results from these prospective studies could assist coaches in providing athletes with more optimal training interventions to enhance their performance while minimizing the likelihood of injury occurring. In addition to the constraints imposed from ergometer rowing, the heterogeneity of the responses to the 2000 m rowing bout should be emphasized, as this might have masked significant changes in coordination due to fatigue present within the aggregate data analyses. This would mean that individualized training is important, as different rowers may respond uniquely to various training stimuli.
When interpreting the results of this study, some limitations must be taken into consideration. First, due to limitations imposed by the COVID-19 pandemic, the convenience sample evaluated here was relatively small (n = 20). Despite this, this work builds on those published previously which assess posterior pelvic tilt at the catch position [18] and increased thoracic curvature with muscle fatigue [12] but only had a sample size of n = 8 and n = 10 participants, respectively. Second, most of the participants primarily rowed with the same coach, which could have resulted in their rowing movements being similar. An increase in the diversity of the participants could increase the generalizability of the study. Third, the fatigue measure implemented here was the Borg-10 RPE scale, which is inherently subjective. This could have resulted in a less accurate measure of fatigue, as people’s perception of fatigue is not the same [20]. In addition, this is a global measure of fatigue, which means that specific areas of the body of interest might not be fatigued. A solution to gauge fatigue for future studies could be to use heart rate monitors or sEMG sensors [21] to objectively quantify local muscle fatigue occurring within the paraspinal musculature or elsewhere. Fourth, the intensity and duration of movement might have introduced a minor drift due to the movement of the IMU sensors. If drift was present, it could have caused the measured joint angles to gradually deviate from their true values. To minimize the effects of drift, pre-processing steps such as bias removal, time-normalizing the data, and amplitude normalization were implemented. Future research should investigate how varying rowing durations might impact sensor drift and consider additional pre-processing steps like zeroing joint angles to mitigate drift effects. Finally, rowing on an ergometer is more spatially constrained than on-water rowing. The results of this study demonstrate that the movement strategy utilized on an ergometer is minimally affected by fatigue, and as a result, the findings from this paper should not be generalized to rowing on water. Future studies should use rowing on water to explore fatigue effects, as this induces added instability and may increase the freedom of the rowing movement, allowing fatigue-related changes to potentially be more distinguishable.

5. Conclusions

With a lack of knowledge about lower-back MSDs in the sport of rowing, the multi-segment spatiotemporal coordination of rowing movement was assessed in this study. The results demonstrated clear differences in the control of isolated joints and joint pairings, suggesting that the lumbar spine both leads the temporal coordination of a rowing movement and is often the most variable when compared to other joints. Despite this, no statistically significant effects of fatigue were observed regarding any of the spatiotemporal coordination variables assessed here. This may be partially due to the heterogeneity of the responses to fatigue or the constraints imposed by indoor ergometers, which themselves have been linked to elevated injury prevalence [22]. Future work is required to fully characterize the heterogeneity in fatigue responses during a rowing movement, ideally through the recruitment of a diverse sample size while completing on-water rowing movements.

Author Contributions

C.J.A., C.L.V., A.B., and S.M.B. conceived of the study, designed the procedure, collected, analyzed, and interpreted the data, and drafted the manuscript. All authors have read and agreed to the published version of the manuscript.

Funding

SMB is supported by the Natural Sciences and Engineering Research Council (NSERC) of Canada (RGPIN-2020-05195).

Institutional Review Board Statement

This study was conducted in accordance with the Declaration of Helsinki and approved by the Office of Research Ethics at Brock University (reference REB-19-310).

Informed Consent Statement

Informed consent was obtained from all subjects involved in this study.

Data Availability Statement

The data presented in this study are available on request from the corresponding author.

Conflicts of Interest

The authors declare no conflicts of interest. The funders had no role in the design of the study; in the collection, analyses, or interpretation of data; in the writing of the manuscript; or in the decision to publish the results.

References

  1. Enoka, R.M.; Duchateau, J. Muscle fatigue: What, why and how it influences muscle function. J. Physiol. 2008, 586, 11–23. [Google Scholar] [CrossRef] [PubMed]
  2. Wu, A.; March, L.; Zheng, X.; Huang, J.; Wang, X.; Zhao, J.; Blyth, F.M.; Smith, E.; Buchbinder, R.; Hoy, D. Global low back pain prevalence and years lived with disability from 1990 to 2017: Estimates from the Global Burden of Disease Study 2017. Ann. Transl. Med. 2020, 8, 299. [Google Scholar] [CrossRef] [PubMed]
  3. Fett, D.; Trompeter, K.; Platen, P. Back pain in elite sports: A cross-sectional study on 1114 athletes. PLoS ONE 2017, 12, e0180130. [Google Scholar] [CrossRef] [PubMed]
  4. Putnam, C.A. A segment interaction analysis of proximal-to-distal sequential segment motion patterns. Med. Sci. Sports Exerc. 1991, 23, 130–144. [Google Scholar] [CrossRef] [PubMed]
  5. Chan, V.C.H.; Beaudette, S.M.; Smale, K.B.; Beange, K.H.E.; Graham, R.B. A Subject-Specific Approach to Detect Fatigue-Related Changes in Spine Motion Using Wearable Sensors. Sensors 2020, 20, 2646. [Google Scholar] [CrossRef] [PubMed]
  6. Cudejko, T.; Button, K.; Al-Amri, M. Validity and reliability of accelerations and orientations measured using wearable sensors during functional activities. Sci. Rep. 2022, 12, 14619. [Google Scholar] [CrossRef] [PubMed]
  7. Kobsar, D.; Charlton, J.M.; Tse, C.T.F.; Esculier, J.F.; Graffos, A.; Krowchuk, N.M.; Thatcher, D.; Hunt, M.A. Validity and reliability of wearable inertial sensors in healthy adult walking: A systematic review and meta-analysis. J. Neuroeng. Rehabil. 2020, 17, 62. [Google Scholar] [CrossRef] [PubMed]
  8. Newlands, C.; Reid, D.; Parmar, P. The prevalence, incidence and severity of low back pain among international-level rowers. Br. J. Sports Med. 2015, 49, 951–956. [Google Scholar] [CrossRef]
  9. Trompeter, K.; Fett, D.; Platen, P. Prevalence of back pain in sports: A systematic review of the literature. Sports Med. 2017, 47, 1183–1207. [Google Scholar] [CrossRef]
  10. Pollock, C.L.; Jenkyn, T.R.; Jones, I.C.; Ivanova, T.D.; Garland, S.J. Electromyography and kinematics of the trunk during rowing in elite female rowers. Med. Sci. Sports Exerc. 2009, 41, 628–636. [Google Scholar] [CrossRef]
  11. Parkinson, R.J.; Callaghan, J.P. The role of dynamic flexion in spine injury is altered by increasing dynamic load magnitude. Clin. Biomech. 2009, 24, 148–154. [Google Scholar] [CrossRef] [PubMed]
  12. Willwacher, S.; Koopmann, T.; Dill, S.; Kurz, M.; Brüggemann, G.P. Dorsal muscle fatigue increases thoracic spine curvature in all-out recreational ergometer rowing. Eur. J. Sport Sci. 2021, 21, 176–182. [Google Scholar] [CrossRef] [PubMed]
  13. Hamill, J.; Palmer, C.; Van Emmerik, R.E. Coordinative variability and overuse injury. Sports Med. Arthrosc. Rehabil. Ther. Technol. SMARTT 2012, 4, 45. [Google Scholar] [CrossRef] [PubMed]
  14. Beange, K.H.; Chan, A.D.; Beaudette, S.M.; Graham, R.B. Concurrent validity of a wearable IMU for objective assessments of functional movement quality and control of the lumbar spine. J. Biomech. 2019, 97, 109356. [Google Scholar] [CrossRef] [PubMed]
  15. Shariat, A.; Cleland, J.A.; Danaee, M.; Alizadeh, R.; Sangelaji, B.; Kargarfard, M.; Ansari, N.N.; Sepehr, F.H.; Tamrin, S.B.M. Borg CR-10 scale as a new approach to monitoring office exercise training. Work 2018, 60, 549–554. [Google Scholar] [CrossRef]
  16. Lamb, P.F.; Stöckl, M. On the use of continuous relative phase: Review of current approaches and outline for a new standard. Clin. Biomech. 2014, 29, 484–493. [Google Scholar] [CrossRef] [PubMed]
  17. Nelson-Wong, E.; Howarth, S.; Winter, D.A.; Callaghan, J.P. Application of autocorrelation and cross-correlation analyses in human movement and rehabilitation research. J. Orthop. Sports Phys. Ther. 2009, 39, 287–295. [Google Scholar] [CrossRef] [PubMed]
  18. Trompeter, K.; Weerts, J.; Fett, D.; Firouzabadi, A.; Heinrich, K.; Schmidt, H.; Brüggemann, G.-P.; Platen, P. Spinal and pelvic kinematics during prolonged rowing on an ergometer vs. indoor tank rowing. J. Strength Cond. Res. 2021, 35, 2622–2628. [Google Scholar] [CrossRef]
  19. Hunter, S.K. Sex differences in human fatigability: Mechanisms and insight to physiological responses. Acta Physiol. 2014, 210, 768–789. [Google Scholar] [CrossRef]
  20. Steele, J.; Fisher, J.; McKinnon, S.; McKinnon, P. Differentiation between perceived effort and discomfort during resistance training in older adults: Reliability of trainee ratings of effort and discomfort, and reliability and validity of trainer ratings of trainee effort. J. Trainol. 2016, 6, 1–8. [Google Scholar] [CrossRef]
  21. Subbu, R.; Weiler, R.; Whyte, G. The practical use of surface electromyography during running: Does the evidence support the hype? A narrative review. BMJ Open Sport Exerc. Med. 2015, 1, e000026. [Google Scholar] [CrossRef] [PubMed]
  22. Maselli, F.; Ciuro, A.; Mastrosimone, R.; Cannone, M.; Nicoli, P.; Signori, A.; Testa, M. Low Back Pain Among Italian Rowers: A Cross-Sectional Survey. J. Back Musculoskelet. Rehabil. 2015, 28, 365–376. [Google Scholar] [CrossRef] [PubMed]
Figure 1. Representative participant demonstrating the locations of the IMU (Awinda) sensors (orange).
Figure 1. Representative participant demonstrating the locations of the IMU (Awinda) sensors (orange).
Applsci 14 06907 g001
Figure 2. Bar chart depicting the rating of perceived exertion level at the pre vs. post timepoints, plotted with individual markers. When averaged across participants, it was observed that there was a statistically significant difference between timepoints (p < 0.0001).
Figure 2. Bar chart depicting the rating of perceived exertion level at the pre vs. post timepoints, plotted with individual markers. When averaged across participants, it was observed that there was a statistically significant difference between timepoints (p < 0.0001).
Applsci 14 06907 g002
Figure 3. The change in the mean absolute relative phase pre vs. post fatigue. Joint pairings: HK (hip–knee), LH (lumbar–hip), SL (shoulder–lumbar), KA (knee–ankle), HA (hip–ankle), LA (lumbar–ankle), and SA (shoulder–ankle). Different letters indicate significance between different joint pairings (p ≤ 0.05). Note that joint segments with similar letters did not differ significantly (i.e., p > 0.05).
Figure 3. The change in the mean absolute relative phase pre vs. post fatigue. Joint pairings: HK (hip–knee), LH (lumbar–hip), SL (shoulder–lumbar), KA (knee–ankle), HA (hip–ankle), LA (lumbar–ankle), and SA (shoulder–ankle). Different letters indicate significance between different joint pairings (p ≤ 0.05). Note that joint segments with similar letters did not differ significantly (i.e., p > 0.05).
Applsci 14 06907 g003
Figure 4. The change in the deviation phase pre vs. post fatigue. Joint pairings: HK (hip–knee), LH (lumbar–hip), SL (shoulder–lumbar), KA (knee–ankle), HA (hip–ankle), LA (lumbar–ankle), and SA (shoulder–ankle). Different letters indicate significance between different joint segments (p ≤ 0.05). Note that joint segments with similar letters did not differ significantly (i.e., p > 0.05).
Figure 4. The change in the deviation phase pre vs. post fatigue. Joint pairings: HK (hip–knee), LH (lumbar–hip), SL (shoulder–lumbar), KA (knee–ankle), HA (hip–ankle), LA (lumbar–ankle), and SA (shoulder–ankle). Different letters indicate significance between different joint segments (p ≤ 0.05). Note that joint segments with similar letters did not differ significantly (i.e., p > 0.05).
Applsci 14 06907 g004
Figure 5. The change in the cross-correlation lag pre vs. post fatigue. Joint pairings: HK (hip–knee), LH (lumbar–hip), SL (shoulder–lumbar), KA (knee–ankle), HA (hip–ankle), LA (lumbar–ankle), and SA (shoulder–ankle). Different letters indicate significance between different joint segments (p < 0.05). Note that joint segments with similar letters do not differ significantly (i.e., p > 0.05).
Figure 5. The change in the cross-correlation lag pre vs. post fatigue. Joint pairings: HK (hip–knee), LH (lumbar–hip), SL (shoulder–lumbar), KA (knee–ankle), HA (hip–ankle), LA (lumbar–ankle), and SA (shoulder–ankle). Different letters indicate significance between different joint segments (p < 0.05). Note that joint segments with similar letters do not differ significantly (i.e., p > 0.05).
Applsci 14 06907 g005
Table 1. Characteristics of the study participants represented as the mean ± standard deviation.
Table 1. Characteristics of the study participants represented as the mean ± standard deviation.
DemographicTotalMaleFemale
n201010
Age (years)20.9 ± 0.621.4 ± 2.920.3 ± 1.6
Mass (kg)73.8 ± 3.085.2 ± 9.462.3 ± 4.2
Height (cm)179.5 ± 2.5188.2 ± 5.7168.8 ± 3.0
Table 2. Average ± standard deviation minimum, maximum, and flexion–extension range of motion for the shoulder, lumbar spine, hip, knee, and ankle. Note: positive values denote flexion relative to neutral and negative values denote extension. Note that elements within each column with similar letters do not differ significantly (i.e., p > 0.05).
Table 2. Average ± standard deviation minimum, maximum, and flexion–extension range of motion for the shoulder, lumbar spine, hip, knee, and ankle. Note: positive values denote flexion relative to neutral and negative values denote extension. Note that elements within each column with similar letters do not differ significantly (i.e., p > 0.05).
TimepointJointMinimum ROM (deg)Maximum ROM (deg)Range of Motion Mean (deg)
PreAnkle−50.97 ± 5.47 a23.83 ± 3.49 a74.80 ± 3.70 a
Hip24.23 ± 4.42 b117.79 ± 6.08 b93.56 ± 3.04 b
Knee15.98 ± 3.13 c134.68 ± 1.93 c118.70 ± 4.58 c
Lumbar16.50 ± 3.59 c44.87 ± 2.90 d28.37 ± 2.75 d
Shoulder−33.21 ± 3.14 d101.99 ± 3.22 e135.20 ± 4.96 e
PostAnkle−43.95 ± 4.31 a21.41 ± 3.03 a65.36 ± 1.96 a
Hip32.07 ± 2.30 b126.03 ± 3.33 b93.97 ± 2.43 b
Knee16.60 ± 1.51 c137.30 ± 1.72 c120.71 ± 2.19 c
Lumbar19.42 ± 3.21 c46.29 ± 3.22 d26.87 ± 1.53 d
Shoulder−31.97 ± 2.93 c100.55 ± 1.86 e132.52 ± 3.38 e
Disclaimer/Publisher’s Note: The statements, opinions and data contained in all publications are solely those of the individual author(s) and contributor(s) and not of MDPI and/or the editor(s). MDPI and/or the editor(s) disclaim responsibility for any injury to people or property resulting from any ideas, methods, instructions or products referred to in the content.

Share and Cite

MDPI and ACS Style

Alano, C.J.; Vellucci, C.L.; Battis, A.; Beaudette, S.M. The Effect of Neuromuscular Fatigue on the Spatiotemporal Coordination of Rowing. Appl. Sci. 2024, 14, 6907. https://doi.org/10.3390/app14166907

AMA Style

Alano CJ, Vellucci CL, Battis A, Beaudette SM. The Effect of Neuromuscular Fatigue on the Spatiotemporal Coordination of Rowing. Applied Sciences. 2024; 14(16):6907. https://doi.org/10.3390/app14166907

Chicago/Turabian Style

Alano, Carl J., Chris L. Vellucci, Aurora Battis, and Shawn M. Beaudette. 2024. "The Effect of Neuromuscular Fatigue on the Spatiotemporal Coordination of Rowing" Applied Sciences 14, no. 16: 6907. https://doi.org/10.3390/app14166907

APA Style

Alano, C. J., Vellucci, C. L., Battis, A., & Beaudette, S. M. (2024). The Effect of Neuromuscular Fatigue on the Spatiotemporal Coordination of Rowing. Applied Sciences, 14(16), 6907. https://doi.org/10.3390/app14166907

Note that from the first issue of 2016, this journal uses article numbers instead of page numbers. See further details here.

Article Metrics

Back to TopTop