Enrichment of White Wine Vinegar with Aromatic Plants: The Impact on Aromatic, Polyphenolic, and Sensory Profiles
Abstract
Featured Application
Abstract
1. Introduction
2. Materials and Methods
2.1. Wine and Non-Flavored Vinegar Production
2.2. Herbs and Vinegar Flavoring Procedure
2.3. Volatile Compounds Analysis
2.4. Targeted Analysis of Polyphenolic Compounds
2.5. Sensory Analysis
2.6. Statistical Analysis
3. Results
3.1. Aromatic Profile
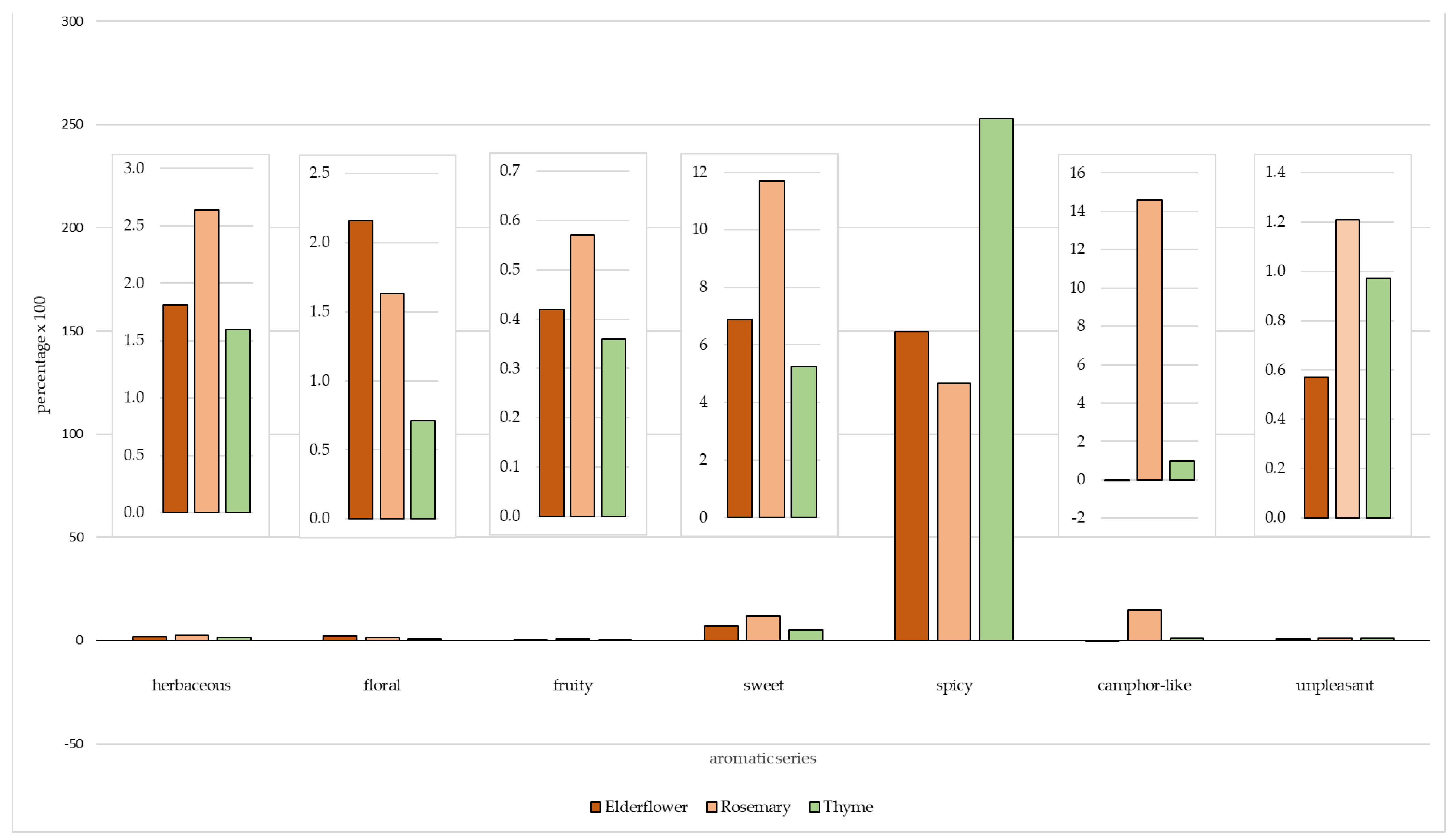
3.2. Odorant Series
3.3. Polyphenolic Profile
3.4. Principal Component Analysis (PCA)
3.5. Sensory Analysis
4. Discussion
5. Conclusions
Supplementary Materials
Author Contributions
Funding
Institutional Review Board Statement
Informed Consent Statement
Data Availability Statement
Acknowledgments
Conflicts of Interest
References
- Pecci, A.; Borgna, E.; Mileto, S.; Dalla Longa, E.; Bosi, G.; Florenzano, A.; Mercuri, A.M.; Corazza, S.; Marchesini, M.; Vidale, M. Wine consumption in bronze age Italy: Combining organic residue analysis. J. Archaeol. Sci. 2020, 123, 105256. [Google Scholar] [CrossRef]
- Solieri, L.; Giudici, P. Vinegars of the World; Springer: Milan, Italy, 2009. [Google Scholar]
- Budak, N.H.; Aykin, E.; Seydim, A.C.; Greene, A.K.; Guzel-Seydim, Z.B. Functional properties of vinegar. J. Food Sci. 2014, 79, 757–764. [Google Scholar] [CrossRef] [PubMed]
- Rana, A.; Samtiya, M.; Dhewa, T.; Mishra, V.; Aluko, R.E. Health benefits of polyphenols: A concise review. J. Food Biochem. 2022, 46, e14264. [Google Scholar] [CrossRef] [PubMed]
- Máthé, Á. Introduction: Utilization/significance of medicinal and aromatic plants. In Medicinal and Aromatic Plants of the World; Máthé, Á., Ed.; Springer: Dordrecht, The Netherlands, 2015; pp. 1–12. [Google Scholar] [CrossRef]
- Cejudo-Bastante, M.J.; Durán-Guerrero, E.; Natera-Marín, R.; Castro-Mejías, R.; García-Barroso, C. Characterisation of commercial aromatised vinegars: Phenolic compounds, volatile composition and antioxidant activity. J. Sci. Food Agric. 2013, 93, 1284–1302. [Google Scholar] [CrossRef] [PubMed]
- Cejudo-Bastante, M.J.; Durán, E.; Castro, R.; Rodríguez-Dodero, M.C.; Natera, R.; García-Barroso, C. Study of the volatile composition and sensory characteristics of new Sherry vinegar-derived products by maceration with fruits. LWT—Food Sci. Technol. 2013, 50, 469–479. [Google Scholar] [CrossRef]
- Perestrelo, R.; Silva, C.L.; Silva, P.; Câmara, J.S. Establishment of the volatile signature of wine-based aromatic vinegars subjected to maceration. Molecules 2018, 23, 499. [Google Scholar] [CrossRef] [PubMed]
- Christaki, E.; Bonos, E.; Giannenas, I.; Florou-Paneri, P. Aromatic plants as a source of bioactive compounds. Agriculture 2012, 2, 228–243. [Google Scholar] [CrossRef]
- Pinto, T.; Aires, A.; Cosme, F.; Bacelar, E.; Morais, M.C.; Oliveira, I.; Ferreira-Cardoso, J.; Anjos, R.; Vilela, A.; Gonçalves, B. Bioactive (Poly)Phenols, volatile compounds from vegetables, medicinal and aromatic plants. Foods 2021, 10, 106. [Google Scholar] [CrossRef] [PubMed]
- Embuscado, M.E. Spices and herbs: Natural sources of antioxidants—A mini review. J. Funct. Foods 2015, 18, 811–819. [Google Scholar] [CrossRef]
- Vallverdú-Queralt, A.; Regueiro, J.; Martínez-Huélamo, M.; Rinaldi Alvarenga, J.F.; Leal, L.N.; Lamuela-Raventos, R.M. A comprehensive study on the phenolic profile of widely used culinary herbs and spices: Rosemary, thyme, oregano, cinnamon, cumin and bay. Food Chem. 2014, 154, 299–307. [Google Scholar] [CrossRef]
- Młynarczyk, K.; Walkowiak-Tomczak, D.; Łysiak, G.P. Bioactive properties of Sambucus nigra L. as a functional ingredient for food and pharmaceutical industry. J. Funct. Foods 2018, 40, 377–390. [Google Scholar] [CrossRef]
- Pérez-Ochoa, M.L.; Vera-Guzmán, A.M.; Mondragón-Chaparro, D.M.; Sandoval-Torres, S.; Carrillo-Rodríguez, J.C.; Hernández-Delgado, S.; Chávez-Servia, J.L. Plant and growth condition interactions on the phenolic compound contents and antioxidant activity in Salvia circinata Cav., a medicinal sage. Diversity 2023, 15, 656. [Google Scholar] [CrossRef]
- Pichersky, E.; Raguso, R.A. Why do plants produce so many terpenoid compounds? New Phytol. 2018, 220, 692–702. [Google Scholar] [CrossRef] [PubMed]
- Cox-Georgian, D.; Ramadoss, N.; Dona, C.; Basu, C. Therapeutic and medicinal uses of terpenes. In Medicinal Plants; Springer International Publishing: Cham, Switzerland, 2019; pp. 333–359. [Google Scholar]
- de Souza, A.L.C.; de Matos, C.H.C.; Campos e Silva, R. Volatile allelochemicals. In Essential Oils; Springer International Publishing: Cham, Switzerland, 2022; pp. 247–261. [Google Scholar]
- Lin, X.; Haimeng, L.; Xiaoyun, J.; Yaoyao, R.; Xianqing, W.; Hezhong, J. A mini-review on the chemical composition, extraction and isolation techniques, and pharmacological activity of Rosmarinus officinalis L. Curr. Chin. Sci. 2024, 4, 85–94. [Google Scholar] [CrossRef]
- Sharmeen, J.; Mahomoodally, F.; Zengin, G.; Maggi, F. Essential oils as natural sources of fragrance compounds for cosmetics and cosmeceuticals. Molecules 2021, 26, 666. [Google Scholar] [CrossRef] [PubMed]
- Schwab, W.; Davidovich-Rikanati, R.; Lewinsohn, E. Biosynthesis of plant-derived flavor compounds. Plant J. 2008, 54, 712–732. [Google Scholar] [CrossRef] [PubMed]
- Mena, P.; Cirlini, M.; Tassotti, M.; Herrlinger, K.A.; Dall’Asta, C.; Del Rio, D. Phytochemical profiling of flavonoids, phenolic acids, terpenoids, and volatile fraction of a rosemary (Rosmarinus officinalis L.) extract. Molecules 2016, 21, 1576. [Google Scholar] [CrossRef] [PubMed]
- Lee, S.J.; Umano, K.; Shibamoto, T.; Lee, K.G. Identification of volatile components in basil (Ocimum basilicum L.) and thyme leaves (Thymus vulgaris L.) and their antioxidant properties. Food Chem. 2005, 91, 131–137. [Google Scholar] [CrossRef]
- Salvador, Â.C.; Silvestre, A.J.D.; Rocha, S.M. Unveiling elderflowers (Sambucus nigra L.) colatile terpenic and norisoprenoids profile: Effects of different postharvest conditions. Food Chem. 2017, 229, 276–285. [Google Scholar] [CrossRef]
- Kaack, K.; Christensen, L.P.; Hughes, M.; Eder, R. Relationship between sensory quality and volatile compounds of elderflower (Sambucus nigra L.) extracts. Eur. Food Res. Technol. 2006, 223, 57–70. [Google Scholar] [CrossRef]
- Maleš, I.; Dragović-Uzelac, V.; Jerković, I.; Zorić, Z.; Pedisić, S.; Repajić, M.; Garofulić, I.E.; Dobrinčić, A. Non-volatile and volatile bioactives of Salvia officinalis L., Thymus serpyllum L. and Laurus nobilis L. extracts with potential use in the development of functional beverages. Antioxidants 2022, 11, 1140. [Google Scholar] [CrossRef]
- Mikulic-Petkovsek, M.; Samoticha, J.; Eler, K.; Stampar, F.; Veberic, R. Traditional elderflower beverages: A rich source of phenolic compounds with high antioxidant activity. J. Agric. Food Chem. 2015, 63, 1477–1487. [Google Scholar] [CrossRef]
- International Organisation of Vine and Wine (OIV) Compendium of International Methods of Wine and Must Analysis 2020. Available online: https://www.oiv.int/public/medias/7372/oiv-compendium-volume-1-2020.pdf (accessed on 3 April 2024).
- International Organisation of Vine and Wine (OIV) Compendium of International Methods of Analysis for Vinegars 2023. Available online: https://www.oiv.int/sites/default/files/publication/2023-05/Compendium%20MA%20Vinaigre%20complet_EN.pdf (accessed on 3 April 2024).
- Adams, M.R. Vinegar. In Encyclopedia of Food Microbiology, 2nd ed.; Batt, C.A., Tortorello, M.L., Eds.; Academic Press: London, UK, 2014; Volume 3, pp. 717–721. [Google Scholar] [CrossRef]
- Cordeiro, T.; Viegas, O.; Silva, M.; Martins, Z.E.; Fernandes, I.; Ferreira, I.M.L.P.V.O.; Pinho, O.; Mateus, N.; Calhau, C. Inhibitory effect of vinegars on the formation of polycyclic aromatic hydrocarbons in charcoal-grilled pork. Meat Sci. 2020, 167, 108083. [Google Scholar] [CrossRef]
- Kumar, S.; Pandey, A.K. Chemistry and biological activities of flavonoids: An overview. Sci. World J. 2013, 2013, 162750. [Google Scholar] [CrossRef]
- Balahbib, A.; El Omari, N.; El Hachlafi, N.; Lakhdar, F.; El Menyiy, N.; Salhi, N.; Mrabti, H.N.; Bakrim, S.; Zengin, G.; Bouyahya, A. Health beneficial and pharmacological properties of p-cymene. Food Chem. Toxicol. 2021, 153, 112259. [Google Scholar] [CrossRef]
- Lakušić, D.V.; Ristić, M.S.; Slavkovska, V.N.; Šinžar-Sekulić, J.B.; Lakušić, B.S. Environment-related variations of the composition of the essential oils of rosemary (Rosmarinus officinalis L.) in the Balkan penninsula. Chem. Biodivers. 2012, 9, 1286–1302. [Google Scholar] [CrossRef]
- Celiktas, O.Y.; Kocabas, E.E.H.; Bedir, E.; Sukan, F.V.; Ozek, T.; Baser, K.H.C. Antimicrobial activities of methanol extracts and essential oils of Rosmarinus officinalis, depending on location and seasonal variations. Food Chem. 2007, 100, 553–559. [Google Scholar] [CrossRef]
- Satyal, P.; Murray, B.L.; McFeeters, R.L.; Setzer, W.N. Essential oil characterization of Thymus vulgaris from various geographical locations. Foods 2016, 5, 70. [Google Scholar] [CrossRef]
- Dauqan, E.M.A.; Abdullah, A. Medicinal and functional values of thyme (Thymus vulgaris L.) herb. J. Appl. Biol. Biotechnol. 2017, 5, 17–22. [Google Scholar] [CrossRef]
- Jørgensen, U.; Hansen, M.; Christensen, L.P.; Jensen, K.; Kaack, K. Olfactory and quantitative analysis of aroma compounds in elder flower (Sambucus nigra L.) drink processed from five cultivars. J. Agric. Food Chem. 2000, 48, 2376–2383. [Google Scholar] [CrossRef]
- Ferreira-Santos, P.; Badim, H.; Salvador, Â.C.; Silvestre, A.J.D.; Santos, S.A.O.; Rocha, S.M.; Sousa, A.M.; Pereira, M.O.; Wilson, C.P.; Rocha, C.M.R.; et al. Chemical characterization of Sambucus nigra L. flowers aqueous extract and its biological implications. Biomolecules 2021, 11, 1222. [Google Scholar] [CrossRef] [PubMed]
- Bistgani, Z.E.; Hashemi, M.; DaCosta, M.; Craker, L.; Maggi, F.; Morshedloo, M.R. Effect of salinity stress on the physiological characteristics, phenolic compounds and antioxidant activity of Thymus vulgaris L. and Thymus daenensis Celak. Ind. Crops Prod. 2019, 135, 311–320. [Google Scholar] [CrossRef]
- Mikulic-Petkovsek, M.; Ivancic, A.; Schmitzer, V.; Veberic, R.; Stampar, F. Comparison of major taste compounds and antioxidative properties of fruits and flowers of different Sambucus species and interspecific hybrids. Food Chem. 2016, 200, 134–140. [Google Scholar] [CrossRef]
- Bajer, T.; Bajerová, P.; Ventura, K. Effect of harvest and drying on composition of volatile profile of elderflowers (Sambucus nigra) from Wild. Nat. Prod. Commun. 2017, 12, 1934578X1701201. [Google Scholar] [CrossRef]
- Stahl-Biskup, E.; Venskutonis, R.P. Thyme. In Handbook of Herbs and Spices, 2nd ed.; Peter, K.V., Ed.; Woodhead Publishing: Cambridge, UK, 2012; pp. 499–525. [Google Scholar] [CrossRef]
- Díaz-Maroto, M.C.; Pérez-Coello, M.S.; Sánchez-Palomo, E.; González Viñas, M.A. Impact of drying and storage time on sensory characteristics of rosemary (Rosmarinus officinalis L.). J. Sens. Stud. 2007, 22, 34–48. [Google Scholar] [CrossRef]
- Slimestad, R.; Fossen, T.; Brede, C. Flavonoids and other phenolics in herbs commonly used in Norwegian commercial kitchens. Food Chem. 2020, 309, 125678. [Google Scholar] [CrossRef]




| Compounds (mg/L) | Treatments (Mean ± SD) | O.s. † | Sig. | |||
|---|---|---|---|---|---|---|
| Control | Elderflower | Rosemary | Thyme | |||
| Alcohols | ||||||
| 1-Nonanol | 0.99 ± 0.10 | 1.10 ± 0.16 | 0.95 ± 0.13 | 0.72 ± 0.24 | 2 | n.s. |
| 2,3-Butanediol | 1.29 ± 1.12 | 1.84 ± 0.16 | 1.51 ± 0.64 | 0.98 ± 0.87 | 3 | n.s. |
| 2-Phenylethanol | 0.76 ± 0.63 | 1.05 ± 0.01 | 0.95 ± 0.05 | 0.97 ± 0.05 | 2 | n.s. |
| Amyl vinyl carbinol | 0.03 ± 0.00 b | 0.06 ± 0.00 b | 1.95 ± 0.17 a | 1.68 ± 0.25 a | 7 | *** |
| Isoamyl alcohol | 0.97 ± 0.11 | 1.05 ± 0.06 | 0.92 ± 0.04 | 0.91 ± 0.06 | 7 | n.s. |
| Ʃ alcohols | 4.04 | 5.10 | 6.28 | 5.26 | n.s. | |
| Acids | ||||||
| Isovaleric acid | 0.74 ± 0.53 | 1.04 ± 0.08 | 0.88 ± 0.13 | 0.63 ± 0.31 | 7 | n.s. |
| 2-Methylbutanoic acid | 0.37 ± 0.48 | 1.16 ± 0.18 | 0.91 ± 0.138 | 0.93 ± 0.33 | 7 | n.s. |
| Ʃ acids | 1.11 | 2.20 | 1.79 | 1.56 | n.s. | |
| Esters | ||||||
| 2-Phenylethyl acetate | 1.13 ± 0.13 a | 0.89 ± 0.01 b | 0.91 ± 0.04 b | 1.08 ± 0.03 a | 2 | *** |
| 3-(Methylthio)propyl acetate | 1.14 ± 0.19 | 0.96 ± 0.10 | 0.99 ± 0.09 | 0.86 ± 0.11 | 1 | n.s. |
| Butyl acetate | 1.17 ± 0.24 | 0.96 ± 0.08 | 0.96 ± 0.04 | 0.96 ± 0.05 | 3 | n.s. |
| Diethyl succinate | 0.98 ± 0.09 | 1.14 ± 0.03 | 0.89 ± 0.06 | 0.74 ± 0.46 | 3 | n.s. |
| Ethyl heptanoate | 1.09 ± 0.17 | 1.17 ± 0.15 | 0.93 ± 0.10 | 0.94 ± 0.07 | 1, 3 | n.s. |
| Ethyl hexanoate | 2.14 ± 0.32 a | 0.75 ± 0.05 bc | 0.96 ± 0.12 b | 0.44 ± 0.05 c | 3 | *** |
| Isoamyl acetate | 1.22 ± 0.17 | 0.99 ± 0.00 | 0.96 ± 0.04 | 1.07 ± 0.13 | 3 | n.s. |
| Ʃ esters | 8.87 a | 6.86 b | 6.60 b | 6.09 b | ** | |
| Terpenes | ||||||
| γ-Terpinen | 0.037 ± 0.10 c | 0.09 ± 0.01 c | 2.11 ± 0.17 a | 1.71 ± 0.11 b | 3 | *** |
| 2-Carene | 0.04 ± 0.01 c | 0.10 ± 0.01 c | 1.95 ± 0.10 a | 1.52 ± 0.11 b | 3 | *** |
| Camphor | n.d. | n.d. | 2.57 ± 0.11 a | 0.06 ± 0.00 b | 6 | *** |
| D-Carvone | n.d. | 0.01 ± 0.00 c | 1.53 ± 0.08 a | 0.56 ± 0.03 b | 1,5 | *** |
| Eucalyptol | 0.02 ± 0.00 b | 0.03 ± 0.00 b | 2.10 ± 0.09 a | 0.06 ± 0.00 b | 1,6 | *** |
| Fenchol | 0.58 ± 0.14 b | 0.46 ± 0.02 b | 2.29 ± 0.16 a | 0.42 ± 0.03 b | 3,6 | *** |
| Isoterpinolene | 0.13 ± 0.04 d | 0.50 ± 0.03 c | 2.24 ± 0.21 a | 0.80 ± 0.03 b | 1 | *** |
| Linalool | 0.10 ± 0.01 c | 1.34 ± 0.06 a | 1.27 ± 0.14 ab | 1.05 ± 0.18 b | 2,3,4 | *** |
| p-Cymene | 0.03 ± 0.00 c | 0.03 ± 0.00 c | 1.06 ± 0.06 b | 2.74 ± 0.07 a | 1,3 | *** |
| Terpinen-4-ol | 0.01 ± 0.00 c | 0.02 ± 0.00 c | 2.08 ± 0.18 a | 1.35 ± 0.16 b | 1,2,5 | *** |
| α-Terpineol | 0.17 ± 0.02 b | 0.29 ± 0.01 b | 2.57 ± 0.19 a | 0.32 ± 0.04 b | 2,4 | *** |
| endo-Borneol | 0.01 ± 0.00 c | 0.02 ± 0.00 c | 2.51 ± 0.15 a | 0.68 ± 0.04 b | 6 | *** |
| Linalool oxide | 0.38 ± 0.09 b | 2.58 ± 0.23 a | 0.63 ± 0.14 b | 0.55 ± 0.13 b | 2 | *** |
| p-Thymol | n.d. | 0.23 ± 0.01 b | 0.20 ± 0.03 b | 5.82 ± 0.16 a | 5 | *** |
| β-Ocimene | 0.13 ± 0.02 c | 1.46 ± 0.04 a | 1.14 ± 0.17 b | 1.08 ± 0.08 c | 1,4 | *** |
| Hotrienol | 0.05 ± 0.00 b | 4.05 ± 0.26 a | 0.08 ± 0.02 b | 0.10 ± 0.02 b | 1,2,3 | *** |
| Ʃ terpenes | 1.68 d | 11.21 c | 26.34 a | 18.82 b | *** | |
| Other | ||||||
| Acetoin Acetate | 0.85 ± 0.50 | 1.03 ± 0.01 | 0.90 ± 0.10 | 0.94 ± 0.13 | 3 | n.s. |
| Anisole | 0.01 ± 0.01 b | 4.34 ± 0.10 a | 0.02 ± 0.00 b | 0.01 ± 0.01 b | 5 | *** |
| Benzaldehyde | 1.11 ± 0.16 a | 1.17 ± 0.01 a | 0.93 ± 0.07 b | 0.93 ± 0.03 b | 3 | ** |
| Benzeneacetaldehyde | 0.94 ± 0.27 b | 1.72 ± 0.05 a | 0.72 ± 0.02 b | 0.71 ± 0.05 b | 1 | *** |
| Ʃ others | 2.92 b | 8.26 a | 2.57 b | 2.58 b | *** | |
| Compounds (mg/L) | Treatments (Mean ± SD) | Sig. | |||
|---|---|---|---|---|---|
| Control | Elderflower | Rosemary | Thyme | ||
| Anthocyanins | |||||
| Cyanidin-3-O-glucoside | n.d. | 0.05 ± 0.00 | n.d. | n.d. | |
| Malvidin-3-O-glucoside | n.d. | 14.32 ± 3.90 | n.d. | n.d. | |
| Petunidin-3-O-glucoside | n.d. | 0.15 ± 0.00 | n.d. | n.d. | |
| Ʃ anthocyanins | n.d. | 14.52 | n.d. | n.d. | |
| Flavones | |||||
| Apigenin | n.d. | n.d. | 0.28 ± 0.01 b | 1.00 ± 0.02 a | *** |
| Apigenin-4-O-glucoside | 0.03 ± 0.04 c | 0.20 ± 0.03 c | 16.45 ± 0.82 a | 2.11 ± 0.32 b | *** |
| Apigenin-7-O-glucoside | n.d. | 0.02 ± 0.01 c | 2.55 ± 0.14 a | 0.32 ± 0.04 b | *** |
| Baicalein | 0.39 ± 0.04 c | 0.33 ± 0.08 bc | 0.58 ± 0.09 a | 0.47 ± 0.03 ab | *** |
| Baicalein-7-O-glucuronide | 2.16 ± 1.61 | 2.12 ± 0.51 | 3.98 ± 1.28 | 4.25 ± 1.27 | n.s. |
| Luteolin | 0.15 ± 0.02 c | 0.13 ± 0.00 c | 1.76 ± 0.01 b | 3.02 ± 0.03 a | *** |
| Luteolin-4-O-glucoside | n.d. | n.d. | 0.01 ± 0.00 a | n.d. | |
| Luteolin-7-O-glucoside | 0.03 ± 0.02 c | n.d. | 1.81 ± 0.07 b | 16.95 ± 0.28 a | *** |
| Luteolin-7-O-rutinoside | n.d. | 0.03 ± 0.00 b | 5.55 ± 0.70 a | 5.31 ± 0.59 a | *** |
| Ʃ flavones | 2.76 b | 2.84 b | 32.98 a | 33.42 a | *** |
| Flavonols | |||||
| Isorhamnetin | 0.01 ± 0.00 b | 16.57 ± 0.45 a | 0.07 ± 0.04 b | 0.01 ± 0.01 b | *** |
| Isorhamnetin-3,4′-O-diglucoside | n.d. | 1.96 ± 0.05 a | 0.02 ± 0.01 b | n.d. | *** |
| Isorhamnetin-3-O-glucoside | n.d. | 54.11 ± 0.78 a | 0.02 ± 0.01 b | n.d. | *** |
| Isorhamnetin-3-O-rutinoside | n.d. | 0.55 ± 0.10 | n.d. | n.d. | |
| Isorhamnetin-4′-O-glucoside | n.d. | 98.61 ± 0.89 a | 0.06 ± 0.02 b | 0.01 ± 0.01 b | *** |
| Kaempferol | 0.28 ± 0.06 b | 4.94 ± 0.53 a | n.d. | n.d. | *** |
| Kaempferol-3-O-glucoside | 0.174 b | 8.16 ± 0.66 a | 0.05 ± 0.03 b | 0.11 ± 0.07 b | *** |
| Kaempferol-3-O-glucuronide | n.d. | n.d. | 0.12 ± 0.03 a | 0.04 ± 0.02 b | *** |
| Kaempferol-7-O-glucoside | n.d. | 0.49 ± 0.66 | n.d. | n.d. | |
| Kaempferol-7-O-neohesperidine | n.d. | 0.09 ± 0.10 | n.d. | n.d. | n.s. |
| Quercetin | 0.15 ± 0.08 b | 148.62 ± 11.85 a | 0.84 ± 0.34 b | 0.27 ± 0.12 b | *** |
| Quercetin-3,4′-O-diglucoside | 0.04 ± 0.00 b | 0.11 ± 0.01 a | 0.04 ± 0.00 b | 0.04 ± 0.00 b | *** |
| Quercetin-3,7-O-diglucoside | n.d. | 1.03 ± 0.04 a | n.d. | n.d. | |
| Quercetin-3-O-glucoside | n.d. | 26.94 ± 0.52 a | 0.11 ± 0.02 b | n.d. | *** |
| Quercetin-3-O-glucuronide | 0.05 ± 0.00 d | 0.07 ± 0.00 c | 0.11 ± 0.01a | 0.09 ± 0.01 b | *** |
| Quercetin-3-O-rhamnoside | 0.04 ± 0.00 a | 0.02 ± 0.00 b | 0.04 ± 0.00 a | 0.04 ± 0.00 a | *** |
| Quercetin-3-O-rutinoside | n.d. | 0.06 ± 0.01 a | 0.03 ± 0.00 b | n.d. | *** |
| Quercetin-4′-O-glucoside | 0.01 ± 0.00 b | 0.04 ± 0.01 a | 0.01 ± 0.00 b | 0.01 ± 0.00 b | *** |
| Quercetin-7-O-glucoside | 0.03 ± 0.01 d | 5.35 ± 0.36 b | 3.460 ± 0.26 c | 31.68 ± 0.80 a | *** |
| Ʃ flavonols | 0.77 c | 367.74 a | 4.97 c | 32.30 b | *** |
| Flavan-3-ol | |||||
| Catechin | 0.04 ± 0.00 b | 0.05 ± 0.00 a | 0.03 ± 0.00 b | 0.03 ± 0.00 b | *** |
| Dihydroflavonols | |||||
| Dihydroquercetin | 0.14 b | 0.11 c | 0.13 bc | 0.70 a | *** |
| Hydroxybenzoic acids | |||||
| Gallic acid | 2.24 ± 0.06 b | 3.64 ± 0.03 a | 2.22 ± 0.02 b | 2.21 ± 0.04 b | *** |
| Gentisic acid | 0.12 ± 0.01 c | 0.26 ± 0.04 a | 0.14 ± 0.03 bc | 0.16 ± 0.01 b | *** |
| p-hydroxybenzoic acid | 2.47 ± 0.08 c | 17.22 ± 0.09 a | 2.79 ± 0.04 b | 2.53 ± 0.08 c | *** |
| Protocatehuic acid | 0.77 ± 0.03 b | 22.83 ± 0.08 a | 0.77 ± 0.01 b | 0.83 ± 0.07 b | *** |
| Syringic acid | 0.25 ± 0.02 b | 0.27 ± 0.02 b | 0.26 ± 0.01 b | 0.50 ± 0.04 a | *** |
| Vanillic acid | 0.20 ± 0.00 d | 2.37 ± 0.05 a | 0.58 ± 0.03 b | 0.28 ± 0.01 c | *** |
| Ʃ hydroxybenzoic acids | 6.04 d | 46.58 a | 6.76 b | 6.52 c | *** |
| Hydroxycinnamic acids | |||||
| Caffeic acid | 2.46 ± 0.07 d | 25.22 ± 0.41 a | 11.13 ± 0.16 c | 13.79 ± 0.13 b | *** |
| Chlorogenic acid | n.d. | 219.10 ± 3.90 a | 0.36 ± 0.04 b | 0.26 ± 0.03 b | *** |
| Ferulic acid | 0.47 ± 0.01 d | 1.13 ± 0.03 a | 0.52 ± 0.02 c | 0.60 ± 0.001 b | *** |
| Isoferulic acid | 0.18 ± 0.01 | 0.25 ± 0.03 | 0.19 ± 0.04 | 0.20 ± 0.02 | n.s. |
| Neochlorogenic acid | 0.17 ± 0.00 c | 24.40 ± 0.28 a | 0.50 ± 0.01 b | 0.18 ± 0.00 c | *** |
| p-Coumaric acid | 0.35 ± 0.07 d | 1.02 ± 0.04 a | 0.79 ± 0.03 b | 0.64 ± 0.03 c | *** |
| Sinapic acid | 0.04 ± 0.00 c | 0.12 ± 0.00 a | 0.06 ± 0.01 b | 0.05 ± 0.00 c | *** |
| Verbascoside | 0.01 ± 0.01 b | 0.02 ± 0.01 b | 0.08 ± 0.04 a | 0.02 ± 0.01 b | ** |
| Ʃ hydroxycinnamic acids | 3.69 ± 0.12 c | 271.258 ± 4.13 a | 13.63 ± 0.22 b | 15.74 ± 0.11 b | *** |
| Hydroxyphenylpropanoic acids | |||||
| Dihydro-p-coumaric acid | 0.39 ± 0.15 | 0.40 ± 0.08 | 0.45 ± 0.20 | 0.39 ± 0.16 | n.s. |
| Other | |||||
| Polydatin | 0.04 ± 0.02 | 0.02 ± 0.01 | 0.03 ± 0.01 | 0.03 ± 0.00 | n.s. |
| Vanillin | 0.04 ± 0.01 c | 0.16 ± 0.02 a | 0.08 ± 0.01 b | 0.08 ± 0.00 b | *** |
| Hydroxytyrosol | 0.15 ± 0.00 c | 0.23 ± 0.00 a | 0.18 ± 0.01 b | 0.19 ± 0.00 b | *** |
| Ʃ other | 0.23 c | 0.40 a | 0.29 b | 0.30 b | *** |
Disclaimer/Publisher’s Note: The statements, opinions and data contained in all publications are solely those of the individual author(s) and contributor(s) and not of MDPI and/or the editor(s). MDPI and/or the editor(s) disclaim responsibility for any injury to people or property resulting from any ideas, methods, instructions or products referred to in the content. |
© 2024 by the authors. Licensee MDPI, Basel, Switzerland. This article is an open access article distributed under the terms and conditions of the Creative Commons Attribution (CC BY) license (https://creativecommons.org/licenses/by/4.0/).
Share and Cite
Krapac, M.; Major, N.; Plavša, T.; Jeromel, A.; Tomaz, I.; Poljuha, D. Enrichment of White Wine Vinegar with Aromatic Plants: The Impact on Aromatic, Polyphenolic, and Sensory Profiles. Appl. Sci. 2024, 14, 6909. https://doi.org/10.3390/app14166909
Krapac M, Major N, Plavša T, Jeromel A, Tomaz I, Poljuha D. Enrichment of White Wine Vinegar with Aromatic Plants: The Impact on Aromatic, Polyphenolic, and Sensory Profiles. Applied Sciences. 2024; 14(16):6909. https://doi.org/10.3390/app14166909
Chicago/Turabian StyleKrapac, Marin, Nikola Major, Tomislav Plavša, Ana Jeromel, Ivana Tomaz, and Danijela Poljuha. 2024. "Enrichment of White Wine Vinegar with Aromatic Plants: The Impact on Aromatic, Polyphenolic, and Sensory Profiles" Applied Sciences 14, no. 16: 6909. https://doi.org/10.3390/app14166909
APA StyleKrapac, M., Major, N., Plavša, T., Jeromel, A., Tomaz, I., & Poljuha, D. (2024). Enrichment of White Wine Vinegar with Aromatic Plants: The Impact on Aromatic, Polyphenolic, and Sensory Profiles. Applied Sciences, 14(16), 6909. https://doi.org/10.3390/app14166909

