Next Article in Journal
A Lightweight CER-YOLOv5s Algorithm for Detection of Construction Vehicles at Power Transmission Lines
Previous Article in Journal
Research on Pupil Center Localization Detection Algorithm with Improved YOLOv8
Previous Article in Special Issue
Exact Mathematical Solution for Maximum Transient Offtracking Calculation of a Single-Unit Vehicle Negotiating Circular Curves
 
 
Font Type:
Arial Georgia Verdana
Font Size:
Aa Aa Aa
Line Spacing:
Column Width:
Background:
Article

Determining the Safety Level of State Roads: An Italian Case Study

by
Mariano Pernetti
1,
Arianna Antoniazzi
2,*,
Misagh Ketabdari
2,
Maurizio Crispino
2 and
Emanuele Toraldo
2
1
Department of Engineering, Università degli Studi della Campania “Luigi Vanvitelli”, 81100 Caserta, Italy
2
Department of Civil and Environmental Engineering, Politecnico di Milano, 20133 Milano, Italy
*
Author to whom correspondence should be addressed.
Appl. Sci. 2024, 14(15), 6663; https://doi.org/10.3390/app14156663
Submission received: 9 July 2024 / Revised: 26 July 2024 / Accepted: 27 July 2024 / Published: 30 July 2024
(This article belongs to the Special Issue Innovations in Road Safety and Transportation)

Abstract

This study aims to establish an effective approach for evaluating the safety performance of road infrastructure. Road safety levels are typically quantified using safety performance indicators. However, due to the stochastic nature of accidents, many safety performance indicators cannot adequately and completely describe reality. Therefore, predictive methods based on regression models are widely used. This approach also allows for the identification of latent risk conditions in the infrastructure, even in the absence of accidents. Among available approaches, the Highway Safety Manual (HSM) methodology is chosen for its synthesis of validated highway research and best practices for incorporating safety into both new design and rehabilitation. For this study, a preliminary new version of HSM is used. The application of this method, which combines a predictive model with observed accidents through an empirical Bayesian approach, requires a calibration process that is crucial to tailoring this method to the specific study context. In this research, the predictive model is calibrated for single carriageway roads with one lane per direction across the Italian national network. Following calibration, the safety indicators are evaluated. The results obtained according to different indicators are compared to show the importance of adopting this method to counteract the regression to the mean of observed crashes. In fact, the method, supported by empirical Bayesian analysis, enables the identification of high-risk sections of the road network, selecting more sections that would be neglected by traditional indicators based solely on observed crashes. Finally, a possible approach to prioritizing sites for inspection based both on the excess of crashes and the Safety Potential (SAPO) is proposed. In addition, SAPO is adjusted to local conditions to account for the specific context and the decreasing trend of accidents over the years.

1. Introduction

Road traffic crashes (or accidents) are the eighth leading cause of death worldwide and the leading cause of death among children and young adults (aged 5–29 years) [1]. The European Union has set a goal of “Vision Zero” to eliminate all road traffic fatalities. To achieve this goal, the target for the 10-year period between 2020 and 2030 is to reduce the number of road deaths and serious injuries by 50% [2]. Similarly, Italy has set a crash reduction objective in line with the EU target [3]. However, Italian roads are still far from achieving the desired goal. In fact, according to the Italian Institute of Statistics, when comparing 2022 with the previous year, there is an increasing trend in road accidents (+7.2%) and road fatalities (+12.2%) on rural roads [4]. Moreover, comparing 2022 with the pre-pandemic situation, a slightly decreasing trend in road fatalities is recorded (3173 road fatalities in 2019 versus 3159 in 2022).
Road managers have the duty to carry out numerous activities to improve the level of road safety. In Italy, some guidelines for road management activities have been published [5]. At the international level, other approaches are available, such as the one proposed in the Highway Safety Manual [6]. To manage an extensive road network, the first crucial step is to identify the most dangerous road sections so that a more detailed inspection can be planned. In fact, due to the vast scale of the national road network, it would be impossible to intervene simultaneously on the entire infrastructure, but some degree of priority should be assigned to different road sections. To assign a gradual level of priority to different road sections, the road network should first be divided into elementary sections of constant length to be analyzed. Then, each section should be evaluated in terms of safety level by adopting safety performance indicators. These indicators can quantify the actual level of safety by referring to different aspects. In fact, there are several safety performance indicators that can be taken into account, depending on the data available on the road network. In general, it is always preferable to consider more than one safety indicator at a time. Once safety performance indicators are associated with constant-length segments, these segments can be ordered from the most dangerous to the least so that field inspections can be planned accordingly.
Italian guidelines [5] for road safety management usually refer to safety performance indicators based on the actual crashes that have occurred on the road in question. However, observed crashes are affected by the phenomenon of regression to the mean, meaning the fluctuation of the number of crashes around the average value. This is because crashes are rare, random, and independent events that should be carefully evaluated using statistical tools. The Italian reference also introduces the concept of Safety Potential (SAPO), which is the potential economic benefit that could be achieved on a road section thanks to the reduction of crashes by adopting idoneous measures. The SAPO is calculated based on the number of fatalities and injuries, the associated costs, and the risk exposure, which is evaluated by the Annual Average Daily Traffic ( A A D T ). SAPO also depends on the base value of accident cost density, which is defined by the Italian guidelines developed in 2012 [5] and may need to be updated. However, SAPO is quite effective in providing an immediate result in terms of the road sections that should be urgently inspected.
To overcome problems related to the random nature of crashes, the empirical Bayesian (EB) approach, based on predictive methods and observed crashes, can be adopted. These methods are usually an alternative to a reactive or preventive approach to road safety. The reactive approach usually involves the idea that infrastructure interventions to improve safety are planned in response to a very critical accident trend, involving significant ethical and social costs due to loss of life and economic costs from overburdened healthcare systems [7,8,9]. The preventive approach, instead [10,11,12,13], aims to intervene at critical points in the road infrastructure before accidents occur, typically using methods like the Road Safety Audit [14], which assesses road safety through checklists [15].
The approach adopted for this study is the empirical Bayesian approach presented in the Highway Safety Manual. It was developed in the USA and is a synthesis of validated highway research and best practices for integrating safety into both new design and rehabilitation projects. In this procedure, the best estimate of expected crashes for segments and intersections is obtained by combining the crashes predicted by a Safety Performance Function (SPF) and the observed crashes. Then the HSM safety performance indicator, the excess of expected accidents over predicted accidents, is calculated. The SPFs included in the HSM, which can describe the level of safety as a function of input variables depending on the specific characteristics of the road (traffic volume and functional-geometric characteristics), are not fully valid outside the subset of states where they were defined. Two alternatives are possible to overcome this problem: to develop new SPFs appropriately for the study context, but this requires knowledge of a very large database, or to adapt the functions already proposed by the HSM to the study context through a calibration process. For the present study, the latter alternative is chosen. After calibrating the functions and obtaining the excess of expected over-predicted crashes, a comparison is performed between traditional safety performance indicators (based on observed crashes) and indicators based on the HSM approach to show the possible impact of this approach. Finally, the different results in terms of safety ranking based on the various safety indicators are compared, and a possible prioritization method based on both the excess of crashes and the SAPO is proposed.

2. Literature Review

Improving road safety is a priority both at the Italian national level [3,5] and the international level [16]. To enhance road infrastructure safety, it is necessary to develop a method that identifies critical conditions for road users, allowing for intervention even before serious consequences arise. This is the general principle of the safe system approach, which aims to create intrinsically safe roads that mitigate the consequences of human error. To achieve this, various international frameworks have been proposed to address road safety. Several countries have developed specific guidelines for road safety and maintenance management, including the USA [6], Australia [17,18,19,20], Canada [21,22], the UK [23,24], and Switzerland [25]. In addition, numerous international associations are developing useful safety management tools, such as iRAP (International Road Assessment Programme) [26] and PIARC (World Road Association) [27].
The most widely used framework is the American approach detailed in the HSM, first published in 2010 [6] by the American Association of State Highway and Transportation Officials (AASHTO). An update of the HSM is also planned, and a preliminary document has already been shared [28]. This update will facilitate the application and adaptation of the US HSM methodology to various international contexts. The main improvement related to this update is that the predictive models are differentiated for levels of accident severity. This makes it easier to adapt the US method to the Italian reality, where only accidents with fatalities and injuries are recorded, as opposed to the US, where accidents with property damage are also considered.
The safety level of a road or road network can be quantified by the number of accidents that occur on it. However, accidents are rare, random, and independent events subject to regression to the mean, so relying solely on observed accidents can distort reality. This issue can be addressed by using an empirical Bayesian (EB) approach that quantifies the expected number of accidents, combining observed accidents with the ones obtained by predictive models based on the real site conditions (i.e., traffic volume and geometric-functional road characteristics). The predictive model referenced below is the one used in the HSM.
In order to transfer the HSM methodology to other contexts, as mentioned previously, two approaches can be followed. The first approach consists of developing new safety performance functions for the specific case study, as already happened for a case study conducted in Italy [29]. The second approach, which is selected for the present study, consists of adapting HSM safety performance functions to the study context through calibration. In this case, the reliability of the model depends on the accuracy of the calibration process that is required to adapt the HSM to the Italian context. The transferability of the HSM model has been repeatedly assessed by international studies [30,31,32,33,34,35,36,37,38,39,40,41]. For the optimization of the calibration procedure and the evaluation of its goodness, a specific tool has been developed [42]. In Italy, the HSM model has already been adopted for various purposes [43,44,45,46,47], showing that the model is not always immediately transferable to the Italian context. Thus, a stratified calibration process for different geographical areas might be appropriate. In this way, the model would be applied to geographical sub-areas with homogeneous characteristics. This would make the model more functional, as the input data would be less scattered in terms of terrain, orographic characteristics, and behavioral habits. The appropriately calibrated model, applied across the entire managed road network, would enable the number of accidents on different sections of road to be estimated and particularly high-risk locations to be identified.
This approach offers a more reliable assessment of the road safety level than traditional safety performance indicators (such as SAPO, crash rate, and crash frequency) based on observed crashes [5]. In fact, while observed crashes are affected by randomness and regression to the mean, the EB approach, based on both predictive methods and observed crashes, takes into account the actual site conditions and provides a more stable result.
Safety performance indicators based on predictive methods are widely used worldwide to identify the most critical road sections, also known as black spots [48]. Moreover, alternative safety performance indicators have been considered for specific case studies [49]. Given the presence of numerous variables affecting the existence of black spots, artificial intelligence and deep learning have been adopted [50]. Performance indicators have proven to be essential in road safety ranking to assign a priority level to each road section for field inspections [51].
Additionally, predictive models would allow us to assess the potential effects of maintenance interventions before implementing them [52]. There are studies in the literature that have evaluated the potential effectiveness of maintenance interventions on individual infrastructure characteristics, such as pavements [53,54,55], lighting [56,57], left-turn maneuver signals [58], shoulder paving [59], medians [60], and rumble strips [61].

3. Research Objectives

This study aims to evaluate the effectiveness of different safety performance indicators in identifying the most critical sections of a managed road network. Various safety performance indicators are considered and applied to an Italian case study. In particular, the following safety performance indicators are considered: (i) the traditional safety indicators based on observed crashes (observed crash frequency and observed crash rate), (ii) the safety potential, which is the safety indicator proposed by the Italian guidelines [5], (iii) the traditional safety indicators transferred to the EB approach (expected crash frequency and expected crash rate), and (iv) the safety indicator proposed by the HSM (excess of expected crashes over predicted crashes).
In order to use the HSM safety performance indicator, the US HSM predictive model must be adapted to the specific application context. In fact, the most appropriate safety performance function describing the model is selected, and the calibration process is performed to adapt it to the Italian context. An extensive calibration of a wide portion of the national road network for single carriageway roads with one lane per direction is performed. The calibration of the HSM method allows its further application for quantifying the safety level of various road network sites. In fact, the safety of different road locations is quantified in terms of the number of crashes predicted by the model. Then, the empirical Bayesian method is used to determine the expected number of crashes for each location, and the HSM safety indicator is calculated.
At this stage, each road section is associated with various safety performance indicators, which lead to different safety rankings. In fact, by ranking the sites in descending order of risk, it is possible to prioritize them for inspection and, if necessary, maintenance intervention. The reliability of the safety ranking is critical to properly prioritizing the sites for maintenance activities. In fact, a comparison of the safety ranking for different locations of the road network according to alternative safety performance indicators is determined. This allows us to highlight the importance of implementing predictive methods to overcome the limitations of traditional safety ranking procedures, mainly related to the random nature of observed crashes. In addition, a possible approach for prioritization based on both the SAPO and HSM indicators (excess of expected accidents over predicted accidents) is proposed.
The paper is organized into a first part explaining the method adopted (Section 4), a second phase of application to an Italian case study (Section 5), followed by the section devoted to the presentation and discussion of the results (Section 6), and, finally, the conclusions (Section 7).

4. Analysis Method

Considerable effort is required to calculate the safety indicators proposed by the HSM (i.e., expected crash frequency, expected crash rate, and excess of expected crashes over predicted crashes) based on the predictive models and observed crashes. Therefore, to perform a safety analysis of an existing road network, the procedure described below, which consists of several steps, is adopted. In particular, the overall procedure flowchart is synthesized in Figure 1. Three main phases are identified: (i) the preliminary activity, (ii) the calibration, and (iii) the safety indicator evaluation.

4.1. Preliminary Activity

First, the preliminary activity must be carried out. This is essential to characterize the study context by collecting all necessary data and information to apply predictive methods. Thus, the preliminary activity consists of two main stages: the characterization of the study context and the adoption of the HSM predictive model. The study context is determined by collecting traffic data, accident data, and geometric-functional road characteristics data. Then, the predictive approach is employed, and the analyzed road section is divided into homogeneous segments based on the aforementioned information. Since the HSM predictive model is selected as the most appropriate for this analysis, the HSM ‘base’ conditions are considered, along with Crash Modification Factors ( C M F s ) to evaluate the effect of different characteristics of each specific segment with respect to ‘base’ conditions. In fact, the combination of crash prediction under ‘base’ conditions defined by the Safety Performance Functions ( S P F s ) and the C M F s allows to determine the crash prediction for each specific site. It should be noted that this crash prediction, being developed in the USA, does not account for specific characteristics of the study context. This limitation is overcome by a specific calibration procedure.

4.2. Calibration

The predictive model calibration is necessary to adapt the model to the Italian national context. For this calibration activity, it is first necessary to assign the observed crashes to specific homogeneous segments. This makes it possible to compare, for each segment, the number of observed crashes and the number of predicted non-calibrated crashes and to optimize the calibration to make the prediction closer to reality. Thus, a calibration factor is determined for each study context, and the actual crash prediction is obtained. Given the extension of the study area, the calibration factor obtained could represent a sufficiently reliable value for further applications to Italian single carriageway roads with one lane per direction.

4.3. Safety Indicator Evaluation

At this stage, the safety indicator evaluation can be performed. Various safety indicators are considered and compared. The HSM safety indicator (excess of expected crashes over predicted crashes) involves the application of the calibrated predictive model to evaluate the actual safety level of each road section. First, the empirical Bayesian method is used to obtain the best estimate of crash frequency (expected crashes) for each homogeneous segment. The road network is divided into elementary sections of a constant length of 1 km to make them comparable in terms of safety level. Then, observed, predicted, and expected crashes are transferred from the road network divided into homogeneous segments to the same road divided into elementary sections. Different safety performance indicators are evaluated for each elementary segment, and different safety rankings are performed accordingly. The analyzed sections are ordered from the least dangerous to the most dangerous based on each safety performance indicator. These safety rankings are extremely useful for identifying the most critical road sections and for planning field inspections. Finally, a comparison between the results obtained with different safety indicators is carried out, and a possible approach to assigning priority to road sections is defined. The following section describes the procedure in detail and applies it to an Italian case study.

5. Case Study

The study has focused on a specific road category: Italian state roads with a single carriageway and one lane in each direction. This road typology is comparable to rural two-lane two-way roads discussed in Chapter 10 of Part C of the HSM [6], which is referenced in this study. The specific application involves approximately 130 km of a state road (SS16) running north-south along the east coast of Italy (crossing three different Italian regions: Emilia-Romagna, Marche, and Abruzzo). However, this procedure can be extended to other infrastructures nationwide.

5.1. Preliminary Activity—Study Context

The data required to apply the HSM predictive model is collected for the infrastructure being analyzed. This data includes:
  • Traffic data over a sufficiently long-time interval (at least 3 years);
  • Road accident data for the same interval, geo-referenced, and possibly classified by accident type;
  • Geometric-functional characteristics of the road (e.g., radius of curvature, lane width, shoulder width and typology, roadside hazard, driveway density).
For the application of the predictive model to the case study, a time interval of 3 years (from 2015 to 2017) is considered.

5.1.1. Traffic Data

The traffic volume on the analyzed road section is an essential input for the application of the predictive methods. In fact, the number of vehicles traveling daily on the analyzed road represents one of the variables of the model considered in the following. Traffic is expressed by the Annual Average Daily Traffic (AADT) and is collected for different sections of the investigated road. Since the traffic is recorded at specific sections, it is assumed to be constant for adjacent intervals. Starting from the known traffic value for 2016, it is assumed that traffic in the previous and following year does not differ significantly and is therefore constant for the three-year period from 2015 to 2017. The traffic volume for the analyzed section during the study period is illustrated in Figure 2.

5.1.2. Accident Data

To conduct the safety analysis, it is necessary to collect data on crashes that occurred on the road section under investigation. Specifically, information on the number of crashes, fatalities, and injuries recorded on the road during the analysis period must be gathered. For this study, micro-data on accidents was obtained from the Italian Statistics Institute (ISTAT). Observed crashes are then allocated to the corresponding homogenous segments of the road network (Section 5.3.1). It should be noted that since the analysis is solely performed for road segments without intersections, only accidents that occurred along road segments and not at intersections are considered. This approach allows for an accurate assessment of the safety level of road segments.

5.1.3. Geometric-Functional Road Characteristics

The geometric-functional characteristics of the road are assumed to remain constant over the three-year analysis period. To apply the HSM predictive model, the following information is required:
  • Planimetric curve radius and curve length;
  • Lane width;
  • Shoulder width and typology;
  • Roadside hazard;
  • Driveway density.
For this study, in the absence of data (for roadside hazards and driveway density), the HSM ‘base’ conditions (as expressed in the following Section 5.2.2) are assumed. A lane width of 3.5 m for Italian roads is assumed to be constant for all road sections.

5.2. Preliminary Activity—Predictive Method

After collecting data for the study context, the preliminary activity consists of a set of tasks that need to be completed to conduct the subsequent calibration and safety indicator evaluation. The preliminary activity procedure is schematized in the upper portion of the flowchart in Figure 1. It shows the steps to be followed to adapt the HSM model to the Italian context. The HSM predictive model allows for the calculation of the number of predicted crashes for a specific site according to its boundary conditions, as described in Equation (1).
N p r e d = N S P F · C M F s · C X
where N p r e d is the predicted average crash frequency for a specific site, N S P F is the predicted average crash frequency for ‘base’ conditions (obtained through the Safety Performance Function— S P F ), C M F s are the Crash Modification Factors to adapt the specific geometric-functional features of the site to ‘base’ conditions, and C X is the Calibration Factor to adjust the S P F for local conditions.

5.2.1. Segmentation

Once the geometric-functional characteristics and traffic data are collected, the segmentation of the analyzed road sections is performed. This step is essential to dividing the road layout into segments with homogeneous characteristics. For this study, 285 homogeneous segments were identified (147 straight lines and 138 curves). For each segment, the relative geometric-functional characteristics are measured, and the traffic volume is associated. The data collected for homogeneous segments is summarized in Table 1.

5.2.2. Crash Modification Factors— C M F s

As the proposed procedure involves the adoption of the HSM, it is necessary to consider the ‘base’ conditions defined by the HSM. The ‘base’ conditions represent some specific geometric-functional characteristics according to which the HSM model has been developed. The C M F s are then introduced to adapt the specific site conditions to the ‘base’ conditions. In fact, C M F s are multiplication factors that can assume values greater than one if the specific site conditions are worse than the ‘base’ conditions; conversely, the C M F value is less than one if the specific site conditions are better than the ‘base’ conditions. Table 2 summarizes the C M F s ‘base’ conditions and the relative values computed for the investigated segments. It should be noted that the highest average C M F value is reported for horizontal curvature, with an extremely high maximum value. This means that, on average, Italian roads are characterized by small curve radii, leading to an increase in the predicted number of crashes. In addition, as expected, the C M F s values for driveway density and roadside hazard rating are equal to one since the actual geometric conditions were unknown and the ‘base’ ones were assumed. Similarly, for lane width, a constant value slightly lower than the ‘base’ condition was assumed, so there is a constant C M F value slightly greater than one. Finally, for shoulder width and type, the average C M F value is greater than one, meaning that on average, Italian road conditions are more restricted than US roads.

5.2.3. Safety Performance Functions ( S P F s ) and Non-Calibrated Predicted Crashes ( N p r e d , n . c . )

Before performing the model calibration, it is necessary to select and employ one or more S P F s to calculate the number of predicted crashes in the ‘base’ conditions ( N S P F ). This number of crashes only depends on the AADT and the segment length ( L ), as shown in Equation (2). Then, to account for the actual geometric-functional characteristics of each site, the C M F s are applied, and the number of non-calibrated predicted crashes is obtained by Equation (3).
N S P F = f ( A A D T , L )
N p r e d , n . c . = N S P F · C M F s
For the present study, three alternatives S P F s are considered, as shown in Table 3: the S P F presented in the HSM [6], which refers to all crash severities, is considered, and two S P F s suggested by the HSM update [28], to account only for specific severity levels (KAB and KABC, where K is fatal injury, A is incapacitating injury, B is non-incapacitating injury, and C is possible injury). This allows us to be more consistent with the crash recording procedure adopted in Italy, which does not include Property Damage Only (PDO) crashes.
According to the results shown in Table 3, it is evident that by considering only more severe crash levels, the number of predicted crashes in ‘base’ conditions is lower, and thus, the number of non-calibrated predicted crashes is reduced.

5.3. Calibration

5.3.1. Allocation of Observed Crashes ( N o b s ) to Homogeneous Segments

To calibrate the predictive HSM model, it is necessary to collect data on crashes that occurred on the homogeneous segments identified above. In particular, the number of observed crashes is reported for each year of the study period (from 2015 to 2017). Table 4 synthetizes the total number of observed crashes for all investigated segments, but it is worth noting that each crash should be localized to the specific segment where it occurred. This step is essential to carrying out the calibration, which is based on a segment-by-segment comparison between the number of observed crashes and the number of non-calibrated predicted crashes.
By comparing the average number of observed crashes per year (92 crashes/year) with the number of non-calibrated predicted crashes obtained for the different S P F s considered in Table 3, it is clear that the most appropriate S P F is KAB (90.71 crashes/year). In fact, a closer value of the non-calibrated predicted crashes to the observed ones allows for a calibration factor closer to one, which makes a model more adherent to reality. Therefore, in the following section, only KAB S P F is accounted for the calibration step. In addition, by excluding the “C” severity level, which refers to possible injury, the crash prediction is more consistent with the Italian accident record system (only accounting for crashes with injuries and fatalities).

5.3.2. Calibration and Predicted Crashes ( N p r e d )

The calibration phase is necessary to adapt the US HSM model to the Italian context, and it allows for the determination of the number of predicted crashes for each site. Different methods can be used to calibrate the model: a calibration factor or a calibration function (composed of multiple parameters) can be considered. For the present study, both alternatives showed similar results in terms of reliability. Therefore, the single calibration factor is considered for simplicity. To calculate the calibration factor ( C X ), Equation (4) should be applied.
C X = a l l   s i t e s N o b s a l l   s i t e s N p r e d n . c .
Calibration results are optimized by filtering out some specific sites, defined as ‘outliers’, which are characterized by extremely different values of N o b s and N p r e d n . c . . This leads to satisfactory calibration results in terms of goodness-of-fit, as summarized in Table 5. In particular, the following goodness-of-fit parameters are considered: Coefficient of variation ( C V ), mean absolute deviation ( M A D ), dispersion parameter ( k ), and % CURE deviation ( %   C U R E   d e v ), as suggested by literature [42].
The goodness-of-fit is ensured by optimizing the calibration procedure, which consists of filtering the input data for calibration. By considering the cumulative residuals plot, it is possible to graphically represent the % CURE deviation, which is a goodness-of-fit parameter, as reported in Figure 3. In fact, it can be noted that the cumulative residuals plot is almost entirely comprised of the confidence limits, meaning that the % CURE deviation (0.35%) is below the maximum suggested value (5%) and, thus, the calibration result is reliable for the considered dataset. The exclusion of the aforementioned ‘outliers’ was essential to keeping the cumulative residuals plot within the confidence limits.
Once the model is properly calibrated, it can be employed to determine the number of predicted crashes for each site under study. In addition, the calibrated model can be applied for future projections even in the case of a change in boundary conditions, such as traffic volume. In fact, the calibration factor is a reliable reference for employing predictive methods in case studies characterized by a similar context. The successive steps are described in the following subsection dealing with the safety indicator evaluation.

5.4. Safety Indicator Evaluation

5.4.1. Empirical-Bayesian Method

The adoption of predictive models for the assessment of road safety levels aims at mitigating the phenomenon of regression to the mean of the actual crash trend. The selected and calibrated predictive model, as presented in Section 5.3, allows for the determination of the number of predicted crashes ( N p r e d ) according to the specific site conditions (traffic volume, geometric-functional road characteristics). Then, the predicted crashes should be combined with the actual number of observed crashes ( N o b s ). This is the typical approach of the empirical Bayesian (EB) method, calculating a weighted average between the predicted and observed crashes. The value obtained is usually referred to as the number of expected crashes ( N e x p ), which represents the best estimate of crash frequency for a given site, combining both the predictive model and reality. The formulation of the EB method is described by Equation (5).
N e x p = w · N p r e d + 1 w · N o b s
The weighting factor ( w ) depends on the accuracy of the model, which is derived from the goodness-of-fit of the calibration process. In fact, the weighting factor is a function of the overdispersion parameter ( k ) with inverse proportionality, as expressed in Equation (6).
w = 1 1 + k L · ( a l l   s t u d y   y e a r s N p r e d )
The summary of the EB analysis results obtained for the analyzed road sections is shown in Table 6. It can be observed that the total number of observed crashes is not perfectly equivalent to the total number of predicted crashes since the EB analysis also takes into account ‘outliers’ that were excluded during the calibration process. For the total length of the analyzed road section of about 148 km, 254.93 crashes are expected in three years, which corresponds to around 85 crashes per year. This value is based on both the predictive model and the actual crashes that occurred. In addition, the expected crashes can be attributed to each specific homogeneous segment and related to their characteristics. This step is essential to assign to each site the safety performance indicators capable of describing the local safety level. In this way, it is possible to identify and localize potential critical infrastructure conditions.
The overall effect of the EB method is summarized in Figure 4, where the frequency distribution of expected crashes is a combination of the distribution of observed and predicted crashes. The frequency distribution of observed crashes is influenced by the fact that, in reality, many segments (202) are characterized by zero crashes. On the other hand, the frequency distribution of predicted crashes is shifted to the right because the predictive model always leads to a value of crashes greater than one. Thus, since the expected crashes are derived from a weighted average of the observed crashes and predicted crashes, they are characterized by a frequency distribution that lies between those of the previously mentioned entities.

5.4.2. Elementary Sections

The results of the EB analysis, expressed in Table 6, refer to homogeneous segments of various lengths. This could be misleading when comparing the number of expected crashes at different sites to rank their actual safety conditions. To overcome this issue, the overall road layout is divided into elementary sections of constant length equal to 1 km. In particular, each 1 km section might be composed of portions of different homogeneous segments. The number of observed, predicted, and expected crashes is determined for each 1-km elementary section, as shown in Table 7. According to the results, it is evident that the variability of the number of crashes (observed, predicted, and expected) is reduced since the standard deviation values are reduced. This is because sections of constant length are considered instead of homogeneous segments of variable length.

5.4.3. Safety Performance Indicators

Once the road layout is divided into elementary sections of 1 km, a set of safety performance indicators is associated with each of them. In particular, the following safety performance indicators are considered:
  • Observed crash frequency [observed crashes/km/year] is calculated as the number of crashes that occurred in one year in each 1-km elementary section. In particular, the annual crashes are calculated as the average of the crashes that occurred during the period under study (from 2015 to 2017).
  • Observed crash rate [observed crashes/km/year/(AADT·365)·106], calculated by dividing the observed crash frequency for annual traffic and multiplying by 106 to obtain the number of observed crashes per one million vehicle passages. This indicator allows the exposure rate to be considered in terms of traffic volume.
  • Safety Potential (SAPO) [k€/km·year], which quantifies the potential economic benefit that could be achieved in the specific road section due to the reduction of road fatalities and injuries. It is determined according to the Italian guidelines [5], as expressed in Equation (7).
S A P O = N m · C m + N f · C f L ( B T C I · 365 · A A D T ) / 10 6
where N m and N f are the number of fatalities and injuries, respectively, that occurred in the considered road section, L is the length of the road section, and C m and C f are the average costs associated with each road fatality and road injury, respectively. According to the Italian guidelines [62], the average cost of a road fatality is equal to €1,503,990.00, while the average cost of a single road injury is equal to €42,219.00. Finally, the B T C I is the base value of accident cost density, equal to 24   / ( 1000 · v e i c · k m ) [5] suggested for the overall Italian rural roads. It should be noted that this value is determined by the Italian guidelines developed in 2012. In fact, the reference value is quite high and could be updated according to the local context and the decreasing accident trend (as proposed in the following).
  • Expected crash frequency [expected crashes/km/year] is calculated as the number of expected crashes for one year per 1 km elementary section.
  • Expected crash rate [expected crashes/km/year/(AADT·365)·106], calculated by dividing the expected crash frequency for annual traffic and multiplying by 106.
  • Excess of expected crashes over predicted crashes [crashes/year/km], calculated as the difference between the annual expected crashes and the annual predicted crashes, as detailed in Equation (8).
E x c e s s   o f   c r a s h e s = N e x p ,   1   k m N p r e d ,     1   k m
This indicator allows us to evaluate the safety level of each specific 1-km section with respect to the average safety of similar elementary sections (expressed in terms of predicted crashes). Positive values of this indicator represent a more dangerous section compared to the “average”, while negative values are associated with less dangerous locations. Basically, the predicted crashes represent the average conditions for the considered road section, taking into account the geometric and traffic conditions. The excess represents the inherent hazard of the site with respect to the average of similar sites.
The safety indicators presented above are calculated for the elementary sections under study. The results are summarized in Table 8. As mentioned above, the adoption of a single safety indicator may not be sufficient to assess the actual safety condition. However, the combination of different indicators allows for a more complete description of the site conditions.
For each safety performance indicator, the specific distribution of the total number of elementary sections considered (132 km) falling in each range can be represented by the frequency distribution. Figure 5a shows the distribution of safety rankings by crash frequency. When comparing the observed and expected crash frequencies, the expected one has a more gradual trend with respect to the observed one. For high values of crash frequency, sites have more critical conditions, while for lower values, the safety level increases. In fact, a few 1 km elementary sections have extremely high values of crash frequency and will be the first ones to be inspected. For less critical values of crash frequency, the corresponding number of sections increases, but the inspection is less urgent. A similar reasoning could be conducted for the crash rate according to the results in Figure 5b. The most critical elementary sections are those corresponding to higher values of crash rate. Note that elementary sections characterized by a high crash frequency are not necessarily characterized by a high crash rate. For this reason, it is crucial to evaluate different safety indicators simultaneously to select for further inspection all those sections that may present safety problems in terms of different indicators.
An additional safety indicator based on the HSM method is the excess of expected crashes over predicted crashes. Therefore, a safety ranking is performed for this indicator, and the results are shown in Figure 6a. The most critical safety condition is associated with high and positive values of the excess of crashes. Specifically, 60 sites exhibit a positive value for the excess of crashes. Sites with an excess of crashes value of zero (37 sites) have a safety level equivalent to the average of sites with similar characteristics. In fact, elementary sections commonly fall into this category of zero excess of crashes.
Sections with an excess of crashes greater than zero indicate specific site conditions worse than the average, suggesting that the elementary sections should be monitored. On the contrary, sections with an excess of crashes less than zero generally have safer conditions than the average of similar sites, implying fewer urgent inspection needs.
SAPO is also considered to express the potential economic benefit of crash reduction. Increasing positive values of SAPO are associated with critical safety conditions because the potential safety benefit is greater. Decreasing negative values of SAPO are associated with less critical conditions, which would result in smaller economic benefits. Figure 6b shows the distribution of the elementary sections of 1 km according to the SAPO. According to the figure, 18 sites exhibit a positive SAPO value, meaning a potential economic benefit from intervention due to initial critical safety conditions.
By considering different safety indicators, different safety rankings are obtained. In this way, the most critical road sections can be identified, and further inspections are planned. Road managers should be careful when considering alternative safety indicators so that potentially risky road sections are not neglected.

6. Results and Discussion

The present study applied the HSM method to an Italian case study to compare its safety indicator with alternative indicators. The study comprised mainly the preliminary activities, followed by the calibration process and the evaluation of the safety indicators. The preliminary activities were crucial for contextual characterization and data identification essential for applying the US HSM predictive model. Calibration was necessary to adapt the predictive model to the specific Italian study context, ensuring accurate results. Once calibrated, the model was used to evaluate safety indicators. Moreover, alternative safety indicators are computed for the same elementary sections, and the results are compared. Thus, the adopted procedure allowed for the following main results:
  • Determination of the calibration coefficient for the HSM predictive model in the Italian context.
  • Safety ranking of 1 km of elementary road sections within the managed network according to six safety performance indicators.
  • Comparative analysis of safety rankings based on different indicators.
  • Proposal of a method to prioritize road sections for field inspection, integrating SAPO and excess crash metrics.

6.1. Calibration Coefficient

The calibration results, discussed in Section 5.3, are applicable to similar roads belonging to the same road typology (single carriageway, with one lane per direction), located in the same study area. Thus, to adopt the HSM model based on the KAB safety performance function, a calibration coefficient equal to 0.90 can be considered. The properly calibrated model can then be employed repeatedly to perform the safety indicator evaluation, even with minor changes in the boundary conditions (traffic volume changes). However, in the event of significant changes in the boundary conditions of the analyzed road, the preliminary activity should be carried out again.

6.2. Safety Ranking

The safety indicator evaluation allows for the determination of the safety performance of the entire road network. Elementary sections of constant length (1 km) are associated with different safety performance indicators. This enables the safety level to be assessed in different terms and the most critical road sections within the network to be identified through a safety ranking. For each safety indicator, the elementary sections are sorted in descending criticality order. This method makes it possible to identify the most dangerous stretches of road so that on-site inspections can be planned accordingly. In fact, safety indicators allow us to highlight the presence of the problem, but to determine the potential cause, an inspection is always required.
Furthermore, by geo-referencing different elementary road sections, it is possible to graphically plot the safety ranking. Since six different safety performance indicators have been considered, as explained in Section 5.4.3, a specific safety ranking is performed for each of them. As a result, six different graphical representations can be produced for the analyzed area. The following graphical representations show only a portion of the entire area analyzed for illustrative purposes.
An example of a graphical representation of the safety ranking according to crash frequency is shown in Figure 7. This allows us to compare, for the same road section, the safety ranking according to the observed crash frequency (Figure 7a) and the expected crash frequency (Figure 7b). By applying the same color scale, it can be noted that the same elementary road sections have a slightly different level of danger according to different safety indicators. In particular, the observed crash frequency results in a slightly more critical safety performance with respect to the expected crash frequency. This discrepancy could be due to the phenomenon of regression to the mean affecting the observed crashes. Alternatively, it could be due to the fact that the observed crash frequency does not account for traffic volume, and perhaps a higher number of crashes could be due to high traffic volume, which implies high risk exposure.
Similarly, the safety ranking is performed in terms of crash rate. Figure 8a shows an example of a graphical representation of the safety ranking in relation to the observed crash rate, while Figure 8b shows the results in relation to the expected crash rate. When comparing the observed and expected crash rates, a more similar trend is observed with respect to crash frequency (Figure 7). The observed crash rate safety indicator also considers traffic volume, which was not considered in the observed crash frequency. This confirms the importance of combining different safety performance indicators.
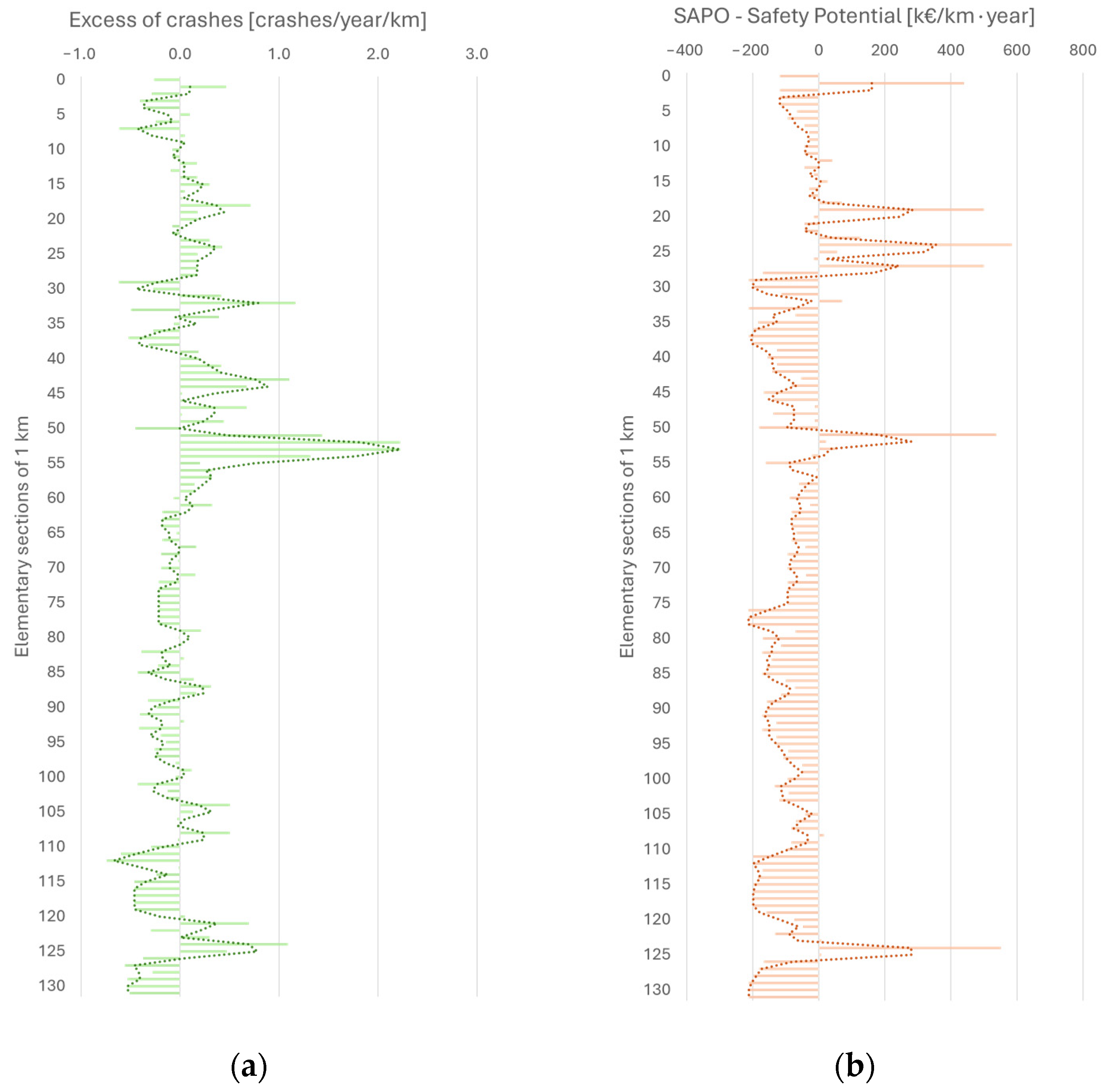
Finally, the graphical representation of the safety rankings according to the excess of expected crashes over predicted crashes and to the SAPO are shown in Figure 9a,b, respectively. Most of the elementary road sections have a positive value for the excess of crashes, which means a more critical condition with respect to the average of road sections with the same characteristics (traffic volume, geometric-functional characteristics). On the contrary, only a few of the elementary sections show positive SAPO values, which are associated with more critical safety conditions. Thus, the sole reference to the SAPO safety ranking could lead to the inability to identify risky infrastructure conditions, which are instead considered by the excess of crashes (based on the HSM method).

6.3. Comparison of Safety Indicators

By comparing the safety rankings of 1 km of elementary sections according to different safety performance indicators, it is possible to observe the influence of the methods. The analysis encompasses 132 elementary sections of 1 km each, evaluating the excess of expected crashes over predicted crashes (Figure 10a) alongside SAPO (Figure 10b). Both indicators exhibit a similar overall trend, with peaks aligning at corresponding road sections. However, the most critical sections according to the excess of crashes, characterized by positive values of the indicator (60 elementary sections), are more than the sections with positive values according to the SAPO (18 elementary sections). It is worth noting that all 18 sections considered dangerous by SAPO are included in the 60 critical sections identified by the excess of crashes. In addition, SAPO displays distinct peaks correlating with instances of road fatalities, confirming the high sensitivity of the indicator to this aspect.
The 60 most dangerous sections, according to the excess of accidents, are then analyzed in more detail to understand if the safety ranking is comparable to that obtained with SAPO. Since SAPO only classified 18 sections as dangerous, the remaining 42 sections classified as critical by the excess of crashes would be neglected. Thus, the SAPO is computed again (as detailed in Equation (9)) according to the local base value of accident cost density ( B T C I l o c a l ) and not based on the average Italian base value defined by the Italian guidelines ( B T C I ) [5].
S A P O l o c a l = N m · C m + N f · C f L ( B T C I l o c a l · 365 · A A D T ) / 10 6
The local base value of accident cost density ( B T C I l o c a l ) is computed according to average annual daily traffic ( A A D T ), the overall length of the analyzed road section ( L ), and the actual number of road fatalities ( N m ) and injuries ( N f ) that occurred on the analyzed road section. The obtained value for the present case study is equal to 11.70   / ( 1000 · v e i c · k m ) . Since this value is lower than the suggested national average, the road in question is generally less dangerous than the average proposed by the Italian guidelines [5] for Italian rural roads. For this reason, the local SAPO may classify some sections as dangerous that were excluded by the global SAPO.
It is then possible to compare the excess of crashes with the global SAPO and the local SAPO for the 60 most critical road sections, as represented by Figure 11, where elementary sections are sorted in ascending order by excess of crashes. Among the 60 sections with a positive excess of crashes, 18 have a positive value for global SAPO and 39 have a positive value for local SAPO. Therefore, the local SAPO exhibits a better capacity to identify critical road sections compared to the global SAPO.
Peaks in SAPO values (exceeding 400 k€/km·year) correlate with incidents involving road fatalities. Figure 12a,b illustrate the correlation between the excess of crashes and both global SAPO and local SAPO, respectively. Local SAPO shows a better correlation with the excess of crashes, likely due to its ability to account for specific study context characteristics rather than relying on the average cost density in Italy. Furthermore, it can be seen that almost no elementary section has positive values of SAPO and negative values of excess of crashes (upper left quadrants of the graphs in Figure 12a,b), which implies that the safety indicator “excess of crashes” is almost always effective in identifying critical road sections. In addition, the excess of crashes makes it possible to identify an additional number of potentially dangerous sections where crashes occurred without fatalities and would therefore be ignored by the SAPO. These sites are those that fall in the lower right quadrants of the graphs in Figure 12a,b.

6.4. Inspection Prioritization

With the aim of defining a possible approach to planning on-site inspections, a different scale of priority could be assigned according to the defined safety indicators. When considering the excess of crashes based on the HSM procedure and the SAPO proposed by the Italian guidelines, the following method could be adopted:
  • If both the SAPO and the excess of crashes are positive, the elementary sections certainly show a critical safety condition and should be assigned high priority for inspection.
  • If only one of the two indicators is positive and the other is negative, a moderate priority should be assigned, and the elementary sections with higher values of that specific safety indicator should be inspected first.
  • If both the SAPO and the excess of crashes are negative, the elementary sections have less critical conditions and can be assigned a low priority for inspection.
Considering the 132 elementary sections of 1 km, the subdivision into different classes of priority could be performed, as summarized in Figure 13. When using the global SAPO, 18 elementary sections are assigned to the high priority level, whereas when using the local SAPO, 39 elementary sections are assigned to the same level. In addition, almost no sites classified as potentially risky by SAPO are neglected by the excess of crashes. Conversely, 42 sites and 21 sites alerted by the excess of crashes are neglected by the global SAPO and local SAPO, respectively. This means that the HSM procedure leads to a more cautious safety assessment with respect to the SAPO, which is still affected by the regression to the mean.
It is important to note that the excess of expected crashes over predicted ones is more consistent with the goal for the 10-year period between 2020 and 2030, which is to reduce the number of road deaths and serious injuries by 50% [2]. The condition of SAPO greater than zero would, in practice, neglect crashes with only injuries, even if serious, and zero fatalities.

7. Conclusions

This study aimed to assess the effectiveness of various safety performance indicators in evaluating the actual safety level of the road network. This evaluation is crucial for prioritizing road sections for field inspections and, if necessary, subsequent maintenance.
Traditional safety indicators based on observed crashes are subject to regression to the mean and influenced by the stochastic nature of accidents. Therefore, safety indicators based on the US Highway Safety Manual approach were also considered. The application of the US HSM model to the Italian context required calibration to suit different average conditions. The calibration result can be applied to similar contexts unless significant boundary condition changes occur.
The study evaluated six different safety performance indicators across elementary road sections of constant length (1 km). These indicators enabled different safety rankings for the elementary sections. In particular, two safety indicators are compared: the excess of expected crashes over predicted crashes, based on the US HSM model, and the Safety Potential (SAPO) proposed by the Italian guidelines and relying solely on the observed crashes. As a result, the excess of expected crashes indicator is more conservative in identifying critical sections, with some sections classified as dangerous by this indicator being ignored by the SAPO. This disparity might be due to the fact that the SAPO is affected by the regression to the mean of observed crashes and is mainly focused on road fatalities.
Moreover, a local SAPO is proposed as an alternative to the safety indicator defined by the Italian guidelines (global SAPO). The local SAPO considers base cost density specific to roadway sections rather than relying on the national average value, as suggested by the Italian guidelines [5] for the global SAPO. In fact, the local SAPO shows a better capability to identify critical roadway sections with respect to the global one.
The excess of crashes effectively identifies potentially critical conditions in sections with both fatalities and injuries, whereas SAPO prioritizes crashes with fatalities.
The safety ranking is crucial for organizing field inspections, which are time-consuming but essential for determining the actual causes of accidents. Thus, safety indicators should be employed to assign a priority level to road sections. When available, it is always appropriate to rely on more than one safety indicator and possibly introduce the safety indicators based on the HSM procedure, which allow to overcome the issue related to the regression to the mean. A possible approach to assigning priority based on the excess of crashes and SAPO is detailed in Section 6.4. However, the proposed solution is based on just two safety performance indicators and represents one of the possible options. In fact, a more extensive and detailed analysis would be needed to include additional indicators in the method or even to adjust the approach according to the available indicators in order to refine the result and more precisely select the sites for on-site inspection.
Then field inspections can be conducted according to the assigned priority. In this way, if the on-site inspection reveals the presence of critical infrastructure conditions, maintenance interventions could be planned accordingly. Thanks to the safety ranking, it would be quicker and more immediate to focus attention on the most dangerous locations.
Utilizing predictive methods allows for assessing the potential impacts of maintenance interventions before implementation. Cost-benefit analyses aid in selecting the most beneficial intervention among different alternatives and prioritizing urgent needs across different locations based on safety considerations. A further agenda could focus on refining these predictive approaches to optimize resource allocation and enhance safety outcomes across the road network.

Author Contributions

Conceptualization, M.C. and M.P.; methodology, M.P. and E.T.; software, A.A. and M.K.; validation, E.T. and M.K.; formal analysis, M.P. and A.A.; investigation, A.A. and M.K.; resources, M.P. and A.A.; data curation, M.K. and E.T.; writing—original draft preparation, A.A.; writing—review and editing, M.K. and E.T.; visualization, A.A.; supervision, M.P. and E.T.; project administration, M.C. and E.T. All authors have read and agreed to the published version of the manuscript.

Funding

This research received no external funding.

Institutional Review Board Statement

Not applicable.

Informed Consent Statement

Not applicable.

Data Availability Statement

Data is contained within the article.

Acknowledgments

The authors would like to acknowledge ANAS S.p.A. (Italy) for its technical and financial support in this research, showing its primary interest in improving road safety.

Conflicts of Interest

The authors declare no conflicts of interest.

References

  1. WHO—World Health Organization. Global Status Report on Road Safety 2018; WHO: Geneva, Switzerland, 2018. [Google Scholar]
  2. European Commission—Mobility and Transport. EU Road Safety Policy Framework 2021–2030 Next Steps Towards ‘Vision Zero’; European Commission: Brussels, Belgium, 2020. [Google Scholar] [CrossRef]
  3. MIMS—Ministero delle Infrastrutture e della Mobilità Sostenibili. Piano Nazionale Sicurezza Stradale 2030 Indirizzi Generali e Linee Guida di Attuazione; MIMS: Singapore, 2021. [Google Scholar]
  4. Istat—Istituto Nazione di Statistica; ACI—Automobile Club d’Italia. Incidenti Stradali—Anno 2022; Ufficio stampa ACI, Ufficio stampa ISTAT: Rome, Italy, 2023. [Google Scholar]
  5. MIT—Ministero delle Infrastrutture e dei Trasporti. Linee Guida Per La Gestione Della Sicurezza Delle Infrastrutture Stradali—D.Lgs n.35/11; MIT: Cambridge, MA, USA, 2012. [Google Scholar]
  6. AASHTO—American Association of State Highway and Transportation Officials. Highway Safety Manual; AASHTO: Frederick, MD, USA, 2012. [Google Scholar]
  7. Zakeri, R.; Nosratnejad, S.; Sadeghi-Bazargani, H.; Dalal, K.; Yousefi, M. The economic burden of road traffic injuries until one-year after hospitalization: A survey study. Accid. Anal. Prev. 2021, 163, 106459. [Google Scholar] [CrossRef] [PubMed]
  8. Taniform, P.; Persia, L.; Usami, D.S.; Kunsoan, N.B.; Karumba, M.M.; Wijnen, W. An Assessment of the Social Costs of Road Traffic Crashes in Cameroon. Sustainability 2023, 15, 1316. [Google Scholar] [CrossRef]
  9. Wijnen, W. Socio-economic costs of road crashes in middle-income countries: Applying a hybrid approach to Kazakhstan. IATSS Res. 2021, 45, 293–302. [Google Scholar] [CrossRef]
  10. World Road Association—PIARC. Road Safety Manual a Guide for Practitioners: Road Safefy Management, 4th ed.; PIARC: Boston, MA, USA, 2019; pp. 1–213. [Google Scholar]
  11. European Commission. Network Wide Road Safety Assessment—Methodology and Implementation Handbook, 1st ed.; Publications Office of the European Union: Brussels, Belgium, 2023; pp. 1–181. [Google Scholar]
  12. Chang, A.; Saunier, N.; Laureshyn, A. Proactive Methods for Road Safety Analysis. SAE Technol. Pap. Ser. 2017, 1, 1–5. [Google Scholar] [CrossRef]
  13. Safarpour, H.; Khorasani-Zavareh, D.; Mohammadi, R. The common road safety approaches: A scoping review and thematic analysis. Chin. J. Traumatol. Engl. Ed. 2020, 23, 113–121. [Google Scholar] [CrossRef] [PubMed]
  14. U.S. Department of Transportation Federal Highway Administration. FHWA Road Safety Audit Guidelines; Federal Highway Administration: Washington, DC, USA, 2006. [Google Scholar]
  15. U.S. Department of Transportation—FHWA (Federal Highway Administration). Road Safety Audit Case Studies: Using Three-Dimensional Design Visualization in the Road Safety Audit Process; U.S. Department of Transportation: Washington, DC, USA, 2013. [Google Scholar]
  16. Direttiva 2019/1936/EC; Parlamento Europeo e del Consiglio. Gazzetta ufficiale dell’Unione europea: Bruxelles, Belgium, 2019; pp. 1–16.
  17. Guide to Road Safety: Set, 2021. Austroads, Sidney, New South Wales, Australia. Available online: https://austroads.com.au/publications/road-safety/agrs-set (accessed on 1 January 2022).
  18. Austroads. An Introductory Guide for Evaluating Effectiveness of Road Safety Treatments; Austroads: Sydney, Australia, 2012. [Google Scholar]
  19. Austroads. Measuring and Reporting the Value of Road Maintenance and Renewal Works; Austroads: Sydney, Australia, 2018. [Google Scholar]
  20. Austroads. Guide to Road Safety Part 8—Treatment of Crash Locations; Austroads: Sydney, Australia, 2015. [Google Scholar]
  21. Ministry of Transportation and Infrastructure—British Columbia. Benefit Cost Analysis Guidebook Guidelines for the Benefit Cost Analysis of Highway Improvement Projects in BC; Ministry of Transportation and Infrastructure: Victoria, BC, Canada, 2014. [Google Scholar]
  22. Sayed, T.; de Leur, P. Collision Prediction Models for British Columbia; Ministry of Transportation and Infrastructure: Victoria, BC, Canada, 2008. [Google Scholar]
  23. Highways England. Technology Management and Maintenance Manual Name; Highways England: Guildford, UK, 2017. [Google Scholar]
  24. Highways England. A Step by Step Guide to using GG104 Requirements for Safety Risk Assessment; Highways England: Guildford, UK, 2021. [Google Scholar]
  25. Ufficio federale delle strade USTRA. Rapporto Sullo Stato Delle Strade Nazionali; Ufficio federale delle strade USTRA: Hanover, Germany, 2019. [Google Scholar]
  26. International Road Assessment Programme (iRAP). iRAP Star Rating and Investment Plan Manual. 2021. Available online: www.irap.org/specifications (accessed on 1 January 2022).
  27. World Road Association. Road Safety Manual; Route to Market: Paris, France, 2003. [Google Scholar]
  28. The National Academies of Sciences Engineering Medicine. Improved Prediction Models for Crash Types and Crash Severities (2021); The National Academies of Sciences Engineering Medicine: Washington, DC, USA, 2021. [Google Scholar] [CrossRef]
  29. Cafiso, S.; Montella, A.; D’Agostino, C.; Mauriello, F.; Galante, F. Crash modification functions for pavement surface condition and geometric design indicators. Accid. Anal. Prev. 2021, 149, 105887. [Google Scholar] [CrossRef] [PubMed]
  30. Cunto, F.; Sobreira, L.; Ferreira, S. Assessing the transferability of the highway safety manual predictive method for urban roads in Fortaleza City, Brazil. J. Transp. Eng. 2015, 141, 04014072. [Google Scholar] [CrossRef]
  31. Mendes, O.B.B.; Larocca, A.P.C.; Silva, K.R.; Pirdavani, A. Assessing the Performance of Highway Safety Manual (HSM) Predictive Models for Brazilian Multilane Highways. Sustainability 2023, 15, 10474. [Google Scholar] [CrossRef]
  32. Barbosa, H.; Cunto, F.; Bezerra, B.; Nodari, C.; Jacques, M.A. Safety performance models for urban intersections in Brazil. Accid. Anal. Prev. 2014, 70, 258–266. [Google Scholar] [CrossRef] [PubMed]
  33. Al-Ahmadi, H.M.; Jamal, A.; Ahmed, T.; Rahman, M.T.; Reza, I.; Farooq, D. Calibrating the Highway Safety Manual Predictive Models for Multilane Rural Highway Segments in Saudi Arabia. Arab. J. Sci. Eng. 2021, 46, 11471–11485. [Google Scholar] [CrossRef]
  34. Cafiso, S.; Di Graziano, A.; Di Silvestro, G.; La Cava, G.; Persaud, B. Development of comprehensive accident models for two-lane rural highways using exposure, geometry, consistency and context variables. Accid. Anal. Prev. 2010, 42, 1072–1079. [Google Scholar] [CrossRef]
  35. La Torre, F.; Meocci, M.; Domenichini, L.; Branzi, V.; Tanzi, N.; Paliotto, A. Development of an accident prediction model for Italian freeways. Accid. Anal. Prev. 2019, 124, 1–11. [Google Scholar] [CrossRef] [PubMed]
  36. D’Agostino, C. Investigating transferability and goodness of fit of two different approaches of segmentation and model form for estimating safety performance of motorways. Procedia Eng. 2014, 84, 613–623. [Google Scholar] [CrossRef]
  37. Elagamy, S.R.; El-Badawy, S.M.; Shwaly, S.A.; Zidan, Z.M.; Shahdah, U.E. Segmentation effect on the transferability of international safety performance functions for rural roads in Egypt. Safety 2020, 6, 43. [Google Scholar] [CrossRef]
  38. Li, L.; Gayah, V.V.; Donnell, E.T. Development of regionalized SPFs for two-lane rural roads in Pennsylvania. Accid. Anal. Prev. 2017, 108, 343–353. [Google Scholar] [CrossRef] [PubMed]
  39. Farid, A.; Abdel-Aty, M.; Lee, J. Comparative analysis of multiple techniques for developing and transferring safety performance functions. Accid. Anal. Prev. 2019, 122, 85–98. [Google Scholar] [CrossRef]
  40. Rajabi, M.; Gerard, P.; Ogle, J. Highway Safety Manual Calibration: Estimating the Minimum Required Sample Size. Transp. Res. Rec. 2022, 2676, 510–523. [Google Scholar] [CrossRef]
  41. Giusto, C.; Toraldo, E.; Ketabdari, M.; Antoniazzi, A. Sensitivity analysis of the calibration factor resulting from the application of the HSM predictive method to Italian rural two-lane, two-way roads. The Emilia-Romagna case study. Results Eng. 2024, 22, 102258. [Google Scholar] [CrossRef]
  42. US Department of Transportation—FHWA (Federal Highway Administration). The Calibrator: An SPF Calibration and Assessment Tool Updated User Guide; Federal Highway Administration: Washington, DC, USA, 2018. [Google Scholar]
  43. Chen, Y.; Persaud, B.; Sacchi, E.; Bassani, M. Investigation of models for relating roundabout safety to predicted speed. Accid. Anal. Prev. 2013, 50, 196–203. [Google Scholar] [CrossRef]
  44. Bassani, M.; Sacchi, E. Experimental Investigation into Speed Performance and Consistency of Urban Roundabouts: An Italian Case Study. In Proceedings of the 3rd International Conference on Roundabouts, Carmel, IN, USA, 18–20 May 2011; pp. 18–20. [Google Scholar]
  45. Montella, A.; Colantuoni, L.; Lamberti, R. Crash prediction models for rural motorways. Transp. Res. Rec. 2008, 2083, 180–189. [Google Scholar] [CrossRef]
  46. Montella, A.; Imbriani, L.L. Safety performance functions incorporating design consistency variables. Accid. Anal. Prev. 2015, 74, 133–144. [Google Scholar] [CrossRef] [PubMed]
  47. Sacchi, E.; Persaud, B.; Bassani, M. Assessing international transferability of highway safety manual crash prediction algorithm and its components. Transp. Res. Rec. 2012, 2279, 90–98. [Google Scholar] [CrossRef]
  48. Shabani, S.; Ayoubinejad, J.; Rahmanian, N.B. Identification of Road Black Spots Based on the Sliding Window Optimization and Safety Performance Function Development. Balt. J. Road Bridg. Eng. 2024, 19, 88–113. [Google Scholar] [CrossRef]
  49. Darma, Y.; Isya, M.; Azan, S.A.; Rahmad, A. Identification of Black Spot Locations concerning the equivalent accident number and upper control limit methods: A case study of national highways in Banda Aceh, Indonesia. In Proceedings of the 3rd Aceh International Symposium on Civil Engineering: Towards the Sustainable and Green Construction Promoting Advanced Materials and Technology for Disaster Resilient Infrastructure and Environments, AISCE 2021, Jakarta, Indonesia, 28–29 October 2021; pp. 1–9. [Google Scholar]
  50. Karamanlis, I.; Kokkalis, A.; Profillidis, V.; Botzoris, G.; Kiourt, C.; Sevetlidis, V.; Pavlidis, G. Deep Learning-Based Black Spot Identification on Greek Road Networks. Data 2023, 8, 110. [Google Scholar] [CrossRef]
  51. Bonera, M.; Barabino, B.; Maternini, G. A Straightforward Framework for Road Network Screening to Lombardy Region (Italy). Sustainability 2022, 14, 12424. [Google Scholar] [CrossRef]
  52. Crispino, M.; Camozzi, K.; Ketabdari, M.; Antoniazzi, A.; Toraldo, E. Safety Impact Prediction of Redesigning National Roads Crossing Residential Areas: An Italian Case Study. Appl. Sci. 2024, 14, 4984. [Google Scholar] [CrossRef]
  53. Anarkooli, A.J.; Nemtsov, I.; Persaud, B. Safety effects of maintenance treatments to improve pavement condition on two-lane rural roads—Insights for pavement management. Can. J. Civ. Eng. 2021, 48, 1287–1294. [Google Scholar] [CrossRef]
  54. Zeng, H.; Fontaine, M.D.; Smith, B.L. Estimation of the safety effect of pavement condition on rural, two-lane highways. Transp. Res. Rec. 2014, 2435, 45–52. [Google Scholar] [CrossRef]
  55. Erwin, T.; Tighe, S.L. Safety effect of preventive maintenance: A case study of microsurfacing. Transp. Res. Rec. 2008, 2044, 79–85. [Google Scholar] [CrossRef]
  56. Abuzwidah, M.; Balwan, M.; Abdel-Aty, M.; Al-Kateeb, G. Traffic Safety Benefits of Using Highway Lighting Technology: (Case Study: 4-Lanes Expressways in the Rural Areas). In Proceedings of the 6th International Conference on Advanced Engineering and Technology (ICAET 2019), Incheon, Republic of Korea, 4–16 December 2019; Volume 811, p. 012023. [Google Scholar] [CrossRef]
  57. Gbologah, F.E.; Guin, A.; Purcell, R.; Rodgers, M.O. Benefit-to-Cost Analysis Framework for Intersection Illumination: A Case Study of Rural Conventional Intersections in Georgia. Transp. Res. Rec. 2019, 2673, 83–93. [Google Scholar] [CrossRef]
  58. Abaza, O.A.; Chowdhury, T.D. Effectiveness of Experimental Left-Turn Sign Usage in Terms of Crashes and Analyzing Severity of Left Turn Crashes in Alaska. Open Transp. J. 2018, 12, 21–32. [Google Scholar] [CrossRef]
  59. Li, Z.; Kepaptsoglou, K.; Lee, Y.; Patel, H.; Liu, Y.; Kim, H.G. Safety effects of shoulder paving for rural and urban interstate, multilane, and two-lane highways. J. Transp. Eng. 2013, 139, 1010–1019. [Google Scholar] [CrossRef]
  60. Zhou, H.; Zhao, J.; Hsu, P.; Huang, J. Safety effects of median treatments using longitudinal channelizers: Empirical bayesian before-and-after study. J. Transp. Eng. 2013, 139, 1149–1155. [Google Scholar] [CrossRef]
  61. Ahmed, I.U.; Gaweesh, S.M.; Ahmed, M.M. Assessing the Effectiveness of Centerline Rumble Strips Accounting for Winter Maintenance Operational Levels on Wyoming Highways Using Before–After Empirical Bayes. J. Transp. Eng. Part A Syst. 2022, 148, 04022062. [Google Scholar] [CrossRef]
  62. MIT—Ministero delle Infrastrutture e dei Trasporti. Studio di Valutazione dei Costi Sociali Dell’Incidentalità; MIT—Ministero delle Infrastrutture e dei Trasporti: Rome, Italy, 2010. [Google Scholar]
Figure 1. Methodology flowchart.
Figure 1. Methodology flowchart.
Applsci 14 06663 g001
Figure 2. Annual Average Daily Traffic (AADT) for the analyzed road section (only colored segments are included in the study).
Figure 2. Annual Average Daily Traffic (AADT) for the analyzed road section (only colored segments are included in the study).
Applsci 14 06663 g002
Figure 3. Cumulative residuals plot to express the goodness-of-fit of the calibration procedure.
Figure 3. Cumulative residuals plot to express the goodness-of-fit of the calibration procedure.
Applsci 14 06663 g003
Figure 4. Frequency distribution of the number of observed, predicted, and expected crashes for different segments (by considering 285 segments).
Figure 4. Frequency distribution of the number of observed, predicted, and expected crashes for different segments (by considering 285 segments).
Applsci 14 06663 g004
Figure 5. Safety performance indicator distribution for 1 km elementary sections according to: (a) Crash frequency for observed and expected crashes; (b) Crash rate for observed and expected crashes.
Figure 5. Safety performance indicator distribution for 1 km elementary sections according to: (a) Crash frequency for observed and expected crashes; (b) Crash rate for observed and expected crashes.
Applsci 14 06663 g005
Figure 6. Safety performance indicators distribution for 1 km elementary sections according to: (a) Excess of expected crashes over predicted crashes; (b) SAPO. The color gray represents a neutral condition, warm colors (yellow to red) represent a condition of increasing severity, and cool colors (light green to dark green) represent a gradually improving condition.
Figure 6. Safety performance indicators distribution for 1 km elementary sections according to: (a) Excess of expected crashes over predicted crashes; (b) SAPO. The color gray represents a neutral condition, warm colors (yellow to red) represent a condition of increasing severity, and cool colors (light green to dark green) represent a gradually improving condition.
Applsci 14 06663 g006
Figure 7. Example of graphical representation of safety ranking according to: (a) Observed crash frequency; (b) expected crash frequency.
Figure 7. Example of graphical representation of safety ranking according to: (a) Observed crash frequency; (b) expected crash frequency.
Applsci 14 06663 g007
Figure 8. Example of graphical representation of safety ranking according to: (a) Observed crash rate; (b) expected crash rate.
Figure 8. Example of graphical representation of safety ranking according to: (a) Observed crash rate; (b) expected crash rate.
Applsci 14 06663 g008
Figure 9. Example of graphical representation of safety ranking according to: (a) Excess of expected crashes over predicted crashes; (b) SAPO.
Figure 9. Example of graphical representation of safety ranking according to: (a) Excess of expected crashes over predicted crashes; (b) SAPO.
Applsci 14 06663 g009
Figure 10. Safety performance indicator values for all 132 elementary sections: (a) Excess of expected crashes over predicted crashes; (b) SAPO.
Figure 10. Safety performance indicator values for all 132 elementary sections: (a) Excess of expected crashes over predicted crashes; (b) SAPO.
Applsci 14 06663 g010
Figure 11. Comparison of the excess of crashes, SAPO, and local SAPO for the 60 most critical sections based on the excess of crashes, sorted in ascending order by excess of crashes.
Figure 11. Comparison of the excess of crashes, SAPO, and local SAPO for the 60 most critical sections based on the excess of crashes, sorted in ascending order by excess of crashes.
Applsci 14 06663 g011
Figure 12. Correlation between the excess of crashes and: (a) Global SAPO; (b) local SAPO.
Figure 12. Correlation between the excess of crashes and: (a) Global SAPO; (b) local SAPO.
Applsci 14 06663 g012
Figure 13. Subdivision of the 132 elementary sections into different levels of priority according to the excess of crashes and: (a) Global SAPO; (b) local SAPO.
Figure 13. Subdivision of the 132 elementary sections into different levels of priority according to the excess of crashes and: (a) Global SAPO; (b) local SAPO.
Applsci 14 06663 g013
Table 1. Summary statistics of the geometric-functional characteristic and traffic volume data.
Table 1. Summary statistics of the geometric-functional characteristic and traffic volume data.
ParameterUnitAverageStd DeviationMinMax
SegmentsAADT 1[vehicles/day]14,8856526491931,979
Length 1[m]5211018127861
Radius of horizontal curves 2[m]39925924948
Curve length 2[m]12611012601
Lane width 1[m]3.5003.503.50
Shoulder width 1[m]0.750.360.201.00
Driveway Density—DD 1[driveways/mile]5055
Roadside hazard rating 1[-]3033
Shoulder type 1[-]66% paved (376)
34% turf (194)
1 Average, standard deviation, minimum, and maximum values calculated from 285 segments. 2 Average, standard deviation, minimum and maximum values calculated from 138 curves.
Table 2. C M F s description, ‘base’ conditions (according to HSM [6]), and C M F s values for the investigated segments.
Table 2. C M F s description, ‘base’ conditions (according to HSM [6]), and C M F s values for the investigated segments.
C M F C M F Description‘Base’ Conditions C M F s for Investigated Segments 1
AverageStd DeviationMinMax
C M F 1 r Lane width12 feet1.030.001.031.03
C M F 2 r Shoulder width6 feet1.180.051.151.26
Shoulder typePaved
C M F 3 r Horizontal curvature None   ( R = )1.741.911.0027.08
C M F 6 r Driveway density (DD)5 driveways per mile1.000.001.001.00
C M F 10 r Roadside Hazard Rating (RHR)31.000.001.001.00
1 Average, standard deviation, minimum, and maximum values calculated from 285 segments.
Table 3. S P F s considered in the study and relative value of predicted crashes in ‘base’ conditions and non-calibrated predicted crashes.
Table 3. S P F s considered in the study and relative value of predicted crashes in ‘base’ conditions and non-calibrated predicted crashes.
Severity Level S P F —Safety Performance Function N S P F  1 [Crashes/Year] N p r e d , n . c .  1
[Crashes/Year]
All N S P F = A A D T · L · 365 · 10 6 · e ( 0.312 ) 375.38500.73
KABC N S P F = e x p 9.006 + 0.977 · ln A A D T + ln ( L ) 137.78183.85
KAB N S P F = e x p 8.499 + 0.852 · ln A A D T + ln ( L ) 67.8890.71
1 Total number of predicted crashes calculated for 285 segments.
Table 4. Summary statistics of crash data.
Table 4. Summary statistics of crash data.
Observed Crashes with Injuries and Fatalities 1
YearCrashes ( N o b s )InjuriesFatalities
2015941665
2016751291
20171071732
Total (3 years)2764688
Average (1 year)921563
1 Total number of observed crashes, injuries, and fatalities calculated for 285 segments.
Table 5. Calibration results for the KAB Safety Performance Function.
Table 5. Calibration results for the KAB Safety Performance Function.
N p r e d , n . c .  1
[Crashes/3 Years]
N o b s  1
[Crashes/3 Years]
C X  1 C V  1 M A D  1 k  1 % C U R E D e v  1
260.342340.900.180.850.610.35%
1 Predicted crashes, observed crashes, and Goodness-of-Fit parameters calculated for 283 segments (by filtering out 2 segments defined as ‘outliers’).
Table 6. Summary of empirical-Bayesian analysis results.
Table 6. Summary of empirical-Bayesian analysis results.
Segments 1Length [m] N o b s
[Crashes/3 Years]
N p r e d
[Crashes/3 Years]
k L w N e x p
[Crashes/3 Years]
Minimum120.000.040.120.030.01
Maximum786029.0014.0182.090.6221.54
Average5210.970.869.350.360.89
Standard deviation10192.801.5711.370.132.17
Total148,459 1276.00244.92--254.93
1 Minimum, maximum, average, standard deviation, and total values calculated for 285 segments.
Table 7. Summary of empirical-Bayesian analysis results for 1 km elementary sections.
Table 7. Summary of empirical-Bayesian analysis results for 1 km elementary sections.
Elementary Sections (1 km) 1Length N o b s , 1   k m N p r e d , 1   k m N e x p , 1   k m
[km][Crashes/3 Years][Crashes/3 Years][Crashes/3 Years]
Minimum10.000.620.38
Maximum112.003.478.78
Average11.831.631.72
Standard deviation02.280.641.57
Total132241.00214.52226.67
1 Minimum, maximum, average, standard deviation, and total values were calculated for 132 elementary sections of 1 km length.
Table 8. Safety performance indicators for 1 km elementary sections.
Table 8. Safety performance indicators for 1 km elementary sections.
Elementary
Sections (1 km) 1
Observed
Crash
Frequency
Observed
Crash Rate
SAPOExpected
Crash
Frequency
Expected
Crash Rate
Excess of Expected Crashes over
Predicted Crashes
[Crashes/Year/km][Crashes/Year/km/
/(AADT·365)·106]
[k€/km·Year][Crashes/Year/km][Crashes/Year/km/
/(AADT·365)·106]
[Crashes/Year/km]
Minimum0.000.00−212.560.130.02−0.74
Maximum4.001.11584.902.930.522.22
Average0.610.13−70.240.570.110.03
Std deviation0.760.17148.880.520.090.48
1 Minimum, maximum, average, and standard deviation values were calculated for 132 elementary sections of 1 km length.
Disclaimer/Publisher’s Note: The statements, opinions and data contained in all publications are solely those of the individual author(s) and contributor(s) and not of MDPI and/or the editor(s). MDPI and/or the editor(s) disclaim responsibility for any injury to people or property resulting from any ideas, methods, instructions or products referred to in the content.

Share and Cite

MDPI and ACS Style

Pernetti, M.; Antoniazzi, A.; Ketabdari, M.; Crispino, M.; Toraldo, E. Determining the Safety Level of State Roads: An Italian Case Study. Appl. Sci. 2024, 14, 6663. https://doi.org/10.3390/app14156663

AMA Style

Pernetti M, Antoniazzi A, Ketabdari M, Crispino M, Toraldo E. Determining the Safety Level of State Roads: An Italian Case Study. Applied Sciences. 2024; 14(15):6663. https://doi.org/10.3390/app14156663

Chicago/Turabian Style

Pernetti, Mariano, Arianna Antoniazzi, Misagh Ketabdari, Maurizio Crispino, and Emanuele Toraldo. 2024. "Determining the Safety Level of State Roads: An Italian Case Study" Applied Sciences 14, no. 15: 6663. https://doi.org/10.3390/app14156663

APA Style

Pernetti, M., Antoniazzi, A., Ketabdari, M., Crispino, M., & Toraldo, E. (2024). Determining the Safety Level of State Roads: An Italian Case Study. Applied Sciences, 14(15), 6663. https://doi.org/10.3390/app14156663

Note that from the first issue of 2016, this journal uses article numbers instead of page numbers. See further details here.

Article Metrics

Back to TopTop