Multi-Criteria Decision-Making Method for Simple and Fast Dimensioning and Selection of Glass Tube Collector Type Based on the Iterative Thermal Resistance Calculation Algorithm with Experimental Validation
Abstract
1. Introduction
2. Research Area
- SGTC with air layer (collector type S1);
- SGTC with a vacuum layer (type S2 collector);
- DGTC with air layer (collector type S3);
- DGTC with a vacuum layer (collector type S4).
3. Materials and Methods
3.1. General Thermal Resistance Model for GTCs
3.1.1. Thermal Resistance Model for SGTCs
3.1.2. Thermal Resistance Model for DGTCs
3.2. Experimental Model
3.3. Multi-Criteria Decision-Making Method
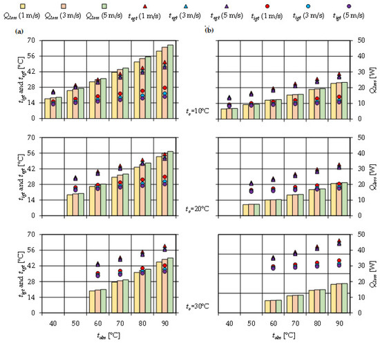
4. Results and Discussion
5. Conclusions
Author Contributions
Funding
Institutional Review Board Statement
Informed Consent Statement
Data Availability Statement
Conflicts of Interest
References
- Ajeena, A.M.; Víg, P.; Farkas, I. A comprehensive analysis of nanofluids and their practical applications for flat plate solar collectors: Fundamentals, thermophysical properties, stability, and difficulties. Energy Rep. 2022, 8, 4461–4490. [Google Scholar] [CrossRef]
- Sabiha, M.A.; Saidur, R.; Mekhilef, S.; Mahian, O. Progress and latest developments of evacuated tube solar collectors. Renew. Sustain. Energy Rev. 2015, 51, 1038–1054. [Google Scholar] [CrossRef]
- Martínez-Rodríguez, G.; Fuentes-Silva, A.L.; Picón-Núñez, M. Solar thermal networks operating with evacuated-tube collectors. Energy 2018, 146, 26–33. [Google Scholar] [CrossRef]
- Mazarrón, F.R.; Porras-Prieto, C.J.; García, J.L.; Benavente, R.M. Feasibility of active solar water heating systems with evacuated tube collector at different operational water temperatures. Energy Convers. Manag. 2016, 113, 16–26. [Google Scholar] [CrossRef]
- Aramesh, M.; Shabani, B. Performance evaluation of an enhanced self-storing evacuated tube solar collector in residential water heating application. J. Energy Storage 2023, 71, 108118. [Google Scholar] [CrossRef]
- Walker, A.; Mahjouri, F.; Stiteler, R. Evacuated-tube heat-pipe solar collectors applied to the recirculation loop in a federal building (No. NREL/CP-710-36149). In Proceedings of the American Solar Energy Society Conference, Portland, OR, USA, 11–14 July 2004. [Google Scholar]
- García, J.L.; Porras-Prieto, C.J.; Benavente, R.M.; Gómez-Villarino, M.T.; Mazarrón, F.R. Profitability of a solar water heating system with evacuated tube collector in the meat industry. Renew. Energy 2019, 131, 966–976. [Google Scholar] [CrossRef]
- Hassanien, R.H.E.; Li, M.; Tang, Y. The evacuated tube solar collector assisted heat pump for heating greenhouses. Energy Build. 2018, 169, 305–318. [Google Scholar] [CrossRef]
- Bellos, E.; Papavasileiou, L.; Kekatou, M.; Karagiorgas, M. A comparative energy and economic analysis of different solar thermal domestic hot water systems for the Greek climate zones: A multi-objective evaluation approach. Appl. Sci. 2022, 12, 4566. [Google Scholar] [CrossRef]
- Shoeibi, S.; Kargarsharifabad, H.; Rahbar, N.; Khosravi, G.; Sharifpur, M. An integrated solar desalination with evacuated tube heat pipe solar collector and new wind ventilator external condenser. Sustain. Energy Technol. Assess. 2022, 50, 101857. [Google Scholar] [CrossRef]
- Mehta, J.R.; Rane, M.V. Liquid desiccant based solar air conditioning system with novel evacuated tube collector as regenerator. Procedia Eng. 2013, 51, 688–693. [Google Scholar] [CrossRef]
- Al-Falahi, A.; Alobaid, F.; Epple, B. A new design of an integrated solar absorption cooling system driven by an evacuated tube collector: A case study for Baghdad, Iraq. Appl. Sci. 2020, 10, 3622. [Google Scholar] [CrossRef]
- Chen, F.; Xia, E.T.; Bie, Y. Comparative investigation on photo-thermal performance of both compound parabolic concentrator and ordinary all-glass evacuated tube absorbers: An incorporated experimental and theoretical study. Sol. Energy 2019, 184, 539–552. [Google Scholar] [CrossRef]
- Abo-Elfadl, S.; Hassan, H.; El-Dosoky, M.F. Energy and exergy assessment of integrating reflectors on thermal energy storage of evacuated tube solar collector-heat pipe system. Sol. Energy 2020, 209, 470–484. [Google Scholar] [CrossRef]
- Mao, C.; Li, M.; Li, N.; Shan, M.; Yang, X. Mathematical model development and optimal design of the horizontal all-glass evacuated tube solar collectors integrated with bottom mirror reflectors for solar energy harvesting. Appl. Energy 2019, 238, 54–68. [Google Scholar] [CrossRef]
- Chen, X.; Yang, X.; Li, M. Combining horizontal evacuated tubes with booster mirror reflector to achieve seasonal reverse output: Technical and experimental investigation. Renew. Energy 2022, 188, 450–464. [Google Scholar] [CrossRef]
- Mori, Y.; Hijikata, K.; Himeno, N.; Nakayama, W. Fundamental research on heat transfer performances of solar focusing and tracking collector. Sol. Energy 1977, 19, 595–600. [Google Scholar] [CrossRef]
- Mosleh, H.J.; Mamouri, S.J.; Shafii, M.B.; Sima, A.H. A new desalination system using a combination of heat pipe, evacuated tube and parabolic trough collector. Energy Convers. Manag. 2015, 99, 141–150. [Google Scholar] [CrossRef]
- Nešović, A.; Lukić, N.; Taranović, D.; Nikolić, N. Theoretical and experimental investigation of the glass tube solar collector with inclined NS axis and relative EW single-axis tracking flat absorber. Appl. Therm. Eng. 2024, 236, 121842. [Google Scholar] [CrossRef]
- Hayek, M.; Assaf, J.; Lteif, W. Experimental investigation of the performance of evacuated-tube solar collectors under eastern mediterranean climatic conditions. Energy Procedia 2011, 6, 618–626. [Google Scholar] [CrossRef]
- Kaya, H.; Arslan, K. Numerical investigation of efficiency and economic analysis of an evacuated U-tube solar collector with different nanofluids. Heat Mass Transf. 2019, 55, 581–593. [Google Scholar] [CrossRef]
- Liang, R.; Ma, L.; Zhang, J.; Zhao, D. Theoretical and experimental investigation of the filled-type evacuated tube solar collector with U tube. Sol. Energy 2011, 85, 1735–1744. [Google Scholar] [CrossRef]
- Ditta, A.; Tabish, A.N.; Mujtaba, M.A.; Amjad, M.; Yusuf, A.A.; Chaudhary, G.Q.; Kalam, M.A. Experimental investigation of a hybrid configuration of solar thermal collectors and desiccant indirect evaporative cooling system. Front. Energy Res. 2022, 10, 979942. [Google Scholar] [CrossRef]
- Kurhe, N.; Pathak, A.; Deshpande, K.; Jadkar, S. Compound parabolic solar collector–performance evaluation as per standard test method and actual field conditions for industrial process heat application in Indian context. Energy Sustain. Dev. 2020, 57, 98–108. [Google Scholar] [CrossRef]
- Supankanok, R.; Sriwong, S.; Ponpo, P.; Wu, W.; Chandra-Ambhorn, W.; Anantpinijwatna, A. Modification of a solar thermal collector to promote heat transfer inside an evacuated tube solar thermal absorber. Appl. Sci. 2021, 11, 4100. [Google Scholar] [CrossRef]
- Alqaed, S.; Mustafa, J.; Almehmadi, F.A.; Alharthi, M.A.; Sharifpur, M.; Cheraghian, G. Investigating the Effect of Tube Diameter on the Performance of a Hybrid Photovoltaic–Thermal System Based on Phase Change Materials and Nanofluids. Materials 2022, 15, 7613. [Google Scholar] [CrossRef]
- Chai, S.; Yao, J.; Liang, J.D.; Chiang, Y.C.; Zhao, Y.; Chen, S.L.; Dai, Y. Heat transfer analysis and thermal performance investigation on an evacuated tube solar collector with inner concentrating by reflective coating. Sol. Energy 2021, 220, 175–186. [Google Scholar] [CrossRef]
- Ma, L.; Lu, Z.; Zhang, J.; Liang, R. Thermal performance analysis of the glass evacuated tube solar collector with U-tube. Build. Environ. 2010, 45, 1959–1967. [Google Scholar] [CrossRef]
- Chopra, K.; Tyagi, V.V.; Pandey, A.K.; Sari, A. Global advancement on experimental and thermal analysis of evacuated tube collector with and without heat pipe systems and possible applications. Appl. Energy 2018, 228, 351–389. [Google Scholar] [CrossRef]
- Sulaiman, N.; Ihsan, S.I.; Bakar, S.N.S.A.; Majid, Z.A.A.; Zakaria, Z.A. Evacuated tubes solar air collectors: A review on design configurations, simulation works and applications. Prog. Energy Environ. 2023, 25, 10–32. [Google Scholar] [CrossRef]
- Nešović, A.M.; Lukić, N.S.; Josijević, M.M.; Jurišević, N.M.; Nikolić, N.N. Novel flat-plate solar collector with an inclined NS axis and relative EW tracking absorbers and the numerical analysis of its potentials. Therm. Sci. 2024, 28, 2905–2916. [Google Scholar] [CrossRef]
- Nešović, A.; Kowalik, R.; Bojović, M.; Janaszek, A.; Adamczak, S. Elevational Earth-Sheltered Buildings with Horizontal Overhang Photovoltaic-Integrated Panels—New Energy-Plus Building Concept in the Territory of Serbia. Energies 2024, 17, 2100. [Google Scholar] [CrossRef]
- Janaszek, A.; Silva, A.F.d.; Jurišević, N.; Kanuchova, M.; Kozáková, Ľ.; Kowalik, R. The Assessment of Sewage Sludge Utilization in Closed-Loop Economy from an Environmental Perspective. Water 2024, 16, 383. [Google Scholar] [CrossRef]
- Porowski, R.; Kowalik, R.; Grzmiączka, M.; Jurišević, N.; Gawdzik, J. Influence of initial temperature on laminar burning velocity in hydrogen-air mixtures as potential for green energy carrier. Int. Commun. Heat Mass Transf. 2023, 146, 106861. [Google Scholar] [CrossRef]
- EnergyPlus Software. Available online: https://energyplus.net (accessed on 20 January 2024).
- Jinzhou Innovation Jiacheng Optoelectronics Technology. Available online: https://srla.shengbangdaquartz.com (accessed on 12 April 2024).
- Huang, X.; Wang, Q.; Yang, H.; Zhong, S.; Jiao, D.; Zhang, K.; Li, M.; Pei, G. Theoretical and experimental studies of impacts of heat shields on heat pipe evacuated tube solar collector. Renew. Energy 2019, 138, 999–1009. [Google Scholar] [CrossRef]
- Rajput, R.K. Engineering Thermodynamics: A Computer Approach, 3rd ed.; Jones & Bartlett Learning: Boston, MA, USA, 2010. [Google Scholar]
- Rabl, A. Active Solar Collectors and Their Applications, 1st ed.; Oxford University Press: New York, NY, USA, 1985. [Google Scholar]
- Stine, W.B.; Harrigan, R.W. Solar Energy Fundamentals and Design: With Computer Applications, 1st ed.; Wiley: New York, NY, USA, 1985. [Google Scholar]
- Yazdanpanahi, J.; Sarhaddi, F.; Adeli, M.M. Experimental investigation of exergy efficiency of a solar photovoltaic thermal (PVT) water collector based on exergy losses. Sol. Energy 2015, 118, 197–208. [Google Scholar] [CrossRef]
- Chauhan, R.; Singh, T.; Thakur, N.S.; Kumar, N.; Kumar, R.; Kumar, A. Heat transfer augmentation in solar thermal collectors using impinging air jets: A comprehensive review. Renew. Sustain. Energy Rev. 2018, 82, 3179–3190. [Google Scholar] [CrossRef]
- Hawwash, A.A.; Rahman, A.K.A.; Nada, S.A.; Ookawara, S. Numerical investigation and experimental verification of performance enhancement of flat plate solar collector using nanofluids. Appl. Therm. Eng. 2018, 130, 363–374. [Google Scholar] [CrossRef]
- Kim, H.; Ham, J.; Park, C.; Cho, H. Theoretical investigation of the efficiency of a U-tube solar collector using various nanofluids. Energy 2016, 94, 497–507. [Google Scholar] [CrossRef]
- DeWinter, F. Solar Collectors, Energy Storage, and Materials, 1st ed.; MIT Press: Cambridge, MA, USA, 1991. [Google Scholar]
- Nešović, A. Theoretical model of solar incident angle for an optionally oriented fixed flat surface. Tehnika 2022, 77, 328–333. [Google Scholar] [CrossRef]
- Dean, M. Multi-criteria analysis. Adv. Transp. Policy Plan. 2020, 6, 165–224. [Google Scholar]
- Mitra, S.; Goswami, S.S. Application of simple average weighting optimization method in the selection of best desktop computer model. Adv. J. Grad. Res. 2019, 6, 60–68. [Google Scholar] [CrossRef]
- Kumar, A.; Sah, B.; Singh, A.R.; Deng, Y.; He, X.; Kumar, P.; Bansal, R.C. A review of multi criteria decision making (MCDM) towards sustainable renewable energy development. Renew. Sustain. Energy Rev. 2017, 69, 596–609. [Google Scholar] [CrossRef]
- Ministry of Construction Transport and Infrastructure. Rulebook of energy efficiency. Available online: https://www.mgsi.gov.rs (accessed on 4 March 2024).
- Recycling Today. Available online: https://www.recyclingtoday.com (accessed on 5 June 2024).
- Ramesh, T.; Prakash, R.; Shukla, K.K. Life cycle approach in evaluating energy performance of residential buildings in Indian context. Energy Build. 2012, 54, 259–265. [Google Scholar] [CrossRef]
- Orman, Ł.J.; Chatys, R. Heat transfer augmentation possibility for vehicle heat exchangers. In Proceedings of the 15th International Conference “Transport Means”, Kaunas, Lithuania, 20–21 October 2011; pp. 9–12. [Google Scholar]
- Orman, Ł.J. Boiling heat transfer on single phosphor bronze and copper mesh microstructures. EPJ Web Conf. 2014, 67, 02087. [Google Scholar] [CrossRef]
- Kalogirou, S. Thermal performance, economic and environmental life cycle analysis of thermosiphon solar water heaters. Sol. Energy 2009, 83, 39–48. [Google Scholar] [CrossRef]











| Component | Material | ρ | cp | k | ε | L |
|---|---|---|---|---|---|---|
| ABS | Aluminum | 2700 | 900 | 203 | 0.25 | 0.8 |
| IGT | Glass | 2200 | 660 | 0.8 | 0.9 | |
| EGT |
| Criterion | Geometric | Economic | Ecological | C-sum | |||||
| wc | 14 | 50 | 36 | 100 | |||||
| Sub-criterion | m | SO | TSO | VO | CM | CE | Eemb | eCO2 | SC-sum |
| wsc | 5 | 5 | 2 | 2 | 35 | 15 | 18 | 18 | 100 |
| Main Components | |||||||||
|---|---|---|---|---|---|---|---|---|---|
| Element | V | m | SO | TSO | VO | CM | CE | Eemb | eCO2 |
| ABS | 0.000253 | 0.683 | 0.08 | 0.184 | 0.00049 | 25 | 13 | 1.81 | - |
| IGT | 0.000807 | 1.775 | 0.088 | 0.276 | 0.0076 | 76 | 38 | 2.29 | - |
| EGT | 0.000943 | 2.075 | 0.1024 | 0.322 | 0.0103 | 91 | 46 | 2.68 | - |
| Glass tube collector types | |||||||||
| Model | m | SO | TSO | VO | CM 1 | CE 2 | Eemb | eCO2 3 | |
| SGTC with an air layer | 2.458 | 0.088 | 0.276 | 0.0076 | 101 | 51 | 4.1 | 1303 | |
| SGTC with a vacuum layer | 111 | 56 | 809 | ||||||
| DGTC with an air layer | 4.533 | 0.1024 | 0.322 | 0.0103 | 192 | 96 | 6.78 | 2215 | |
| DGTC with a vacuum layer | 221 | 111 | 1418 | ||||||
| Specific Indicator | SGTC | DGTC | Sum | ||
|---|---|---|---|---|---|
| Air Layer | Vacuum Layer | Air Layer | Vacuum Layer | ||
| 7.84 | 4.87 | 7.23 | 4.63 | 24.56 | |
| 218.98 | 136.02 | 319.92 | 204.88 | 879.8 | |
| 69.82 | 43.37 | 101.74 | 65.16 | 280.08 | |
| 2535.53 | 1575 | 3180.58 | 2036.89 | 9328 | |
| 0.19 | 0.11 | 0.17 | 0.09 | 0.56 | |
| 0.38 | 0.21 | 0.34 | 0.19 | 1.12 | |
| 4.7 | 2.92 | 4.83 | 4.48 | 16.93 | |
| 0.01 | 0.01 | 0.01 | 0.01 | 0.06 | |
| Specific Indicator | SGTC | DGTC | Rank SGTC with a Vacuum Layer | ||
|---|---|---|---|---|---|
| Air Layer | Vacuum Layer | Air Layer | Vacuum Layer | ||
| 0.0160 | 0.0099 | 0.0147 | 0.0094 | 2 | |
| 0.0124 | 0.0077 | 0.0182 | 0.0116 | 1 | |
| 0.0050 | 0.0031 | 0.0073 | 0.0047 | 1 | |
| 0.0054 | 0.0034 | 0.0068 | 0.0044 | 1 | |
| 0.1184 | 0.0669 | 0.1058 | 0.0589 | 2 | |
| 0.0505 | 0.0286 | 0.0456 | 0.0253 | 2 | |
| 0.0500 | 0.0310 | 0.0514 | 0.0477 | 1 | |
| 0.0450 | 0.0450 | 0.0450 | 0.0450 | 1 | |
| Specific Indicator | SGTC | DGTC | ||
|---|---|---|---|---|
| Air Layer | Vacuum Layer | Air Layer | Vacuum Layer | |
| Final results | 0.30266 | 0.19563 | 0.29481 | 0.20690 |
| Final ranking | 4 | 1 | 3 | 2 |
Disclaimer/Publisher’s Note: The statements, opinions and data contained in all publications are solely those of the individual author(s) and contributor(s) and not of MDPI and/or the editor(s). MDPI and/or the editor(s) disclaim responsibility for any injury to people or property resulting from any ideas, methods, instructions or products referred to in the content. |
© 2024 by the authors. Licensee MDPI, Basel, Switzerland. This article is an open access article distributed under the terms and conditions of the Creative Commons Attribution (CC BY) license (https://creativecommons.org/licenses/by/4.0/).
Share and Cite
Nešović, A.; Kowalik, R.; Cvetković, D.; Janaszek, A. Multi-Criteria Decision-Making Method for Simple and Fast Dimensioning and Selection of Glass Tube Collector Type Based on the Iterative Thermal Resistance Calculation Algorithm with Experimental Validation. Appl. Sci. 2024, 14, 6603. https://doi.org/10.3390/app14156603
Nešović A, Kowalik R, Cvetković D, Janaszek A. Multi-Criteria Decision-Making Method for Simple and Fast Dimensioning and Selection of Glass Tube Collector Type Based on the Iterative Thermal Resistance Calculation Algorithm with Experimental Validation. Applied Sciences. 2024; 14(15):6603. https://doi.org/10.3390/app14156603
Chicago/Turabian StyleNešović, Aleksandar, Robert Kowalik, Dragan Cvetković, and Agata Janaszek. 2024. "Multi-Criteria Decision-Making Method for Simple and Fast Dimensioning and Selection of Glass Tube Collector Type Based on the Iterative Thermal Resistance Calculation Algorithm with Experimental Validation" Applied Sciences 14, no. 15: 6603. https://doi.org/10.3390/app14156603
APA StyleNešović, A., Kowalik, R., Cvetković, D., & Janaszek, A. (2024). Multi-Criteria Decision-Making Method for Simple and Fast Dimensioning and Selection of Glass Tube Collector Type Based on the Iterative Thermal Resistance Calculation Algorithm with Experimental Validation. Applied Sciences, 14(15), 6603. https://doi.org/10.3390/app14156603

