Investigation of the Shear and Pore Structure Characteristics of Rubber Fiber-Reinforced Expansive Soil
Abstract
1. Introduction
2. Materials and Methods
2.1. Test Preparation
2.1.1. Test Materials
2.1.2. Sample Preparation and Saturation
2.2. Triaxial Test
2.3. Nuclear Magnetic Resonance (NMR) Test
3. Results and Discussion
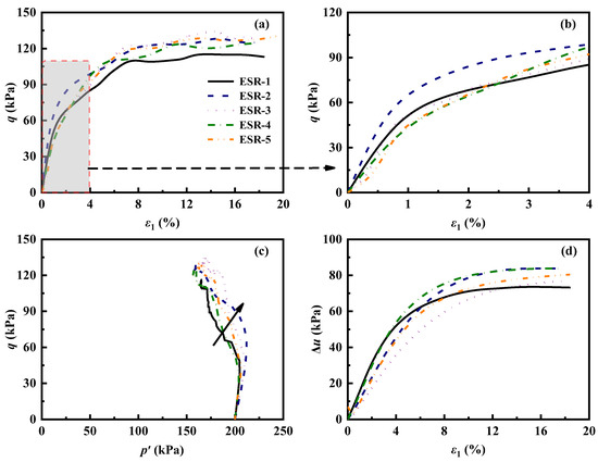
3.1. Undrained Behavior of Expansive Soil-Rubber Fiber (ESR)
3.2. Drained Behavior of ESR
3.3. Strength Characteristics
3.4. Stiffness Characteristics
3.4.1. Structural Characterization Based on Tangential Stiffness
3.4.2. Maximum Dilatation Angle
3.5. Effect of Rubber Fibers on Pore Size Distribution
3.6. Shear Shrinkage Analysis Based on Classical Dilatation Equation
4. Conclusions
- (1)
- With an increase in strain, the ESR deviator stress and pore water pressure for different rubber fiber contents increased nonlinearly. The ESR showed compressive behavior during the shearing process. The rubber fiber-reinforced expansive soil showed a higher initial contraction than the unreinforced expansive soil.
- (2)
- The shear strength of ESR was affected significantly by the drainage conditions, which were influenced by the pore water pressure and creep of the fiber–soil interface. Under the consolidated drained conditions, the deviator stress and effective cohesion of the ESR were higher than those under the undrained conditions. The converse was true for the internal friction angle.
- (3)
- After the addition of rubber fibers, the shear strength of the expansive soil improved. However, its stiffness reduced. After a significant addition of rubber fibers to the unreinforced soil, the stretching effect of the rubber inhibited the formation of a face-to-face arrangement of soil particles. This alleviated the yield phenomenon of the ESR.
- (4)
- The addition of an appropriate amount of rubber fiber (5–10%) reduced the proportion of small pores and micropores in the ESR, increased the proportion of ultra-micro pores, and inhibited the development of soil cracks. When the rubber content was excessively high (15%), the fibers interweaved into clusters. This resulted in an increased porosity and a weakened internal structure of the ESR.
Author Contributions
Funding
Institutional Review Board Statement
Informed Consent Statement
Data Availability Statement
Acknowledgments
Conflicts of Interest
References
- Ouyang, Q.; Xiao, H.; Li, Z.; Jiang, W.; Su, H.; Tian, X.; Ouyang, M. Experimental Study on the Influence of Microbial Content on Engineering Characteristics of Improved Expansive Soil. Front. Earth Sci. 2022, 10, 863357. [Google Scholar] [CrossRef]
- Liang, C.; Yin, Z.Z.; Zhang, P. Relationship of resistivity with water content and fissures of unsaturated expansive soils. J. China Univ. Min. Technol. 2007, 17, 537–540. [Google Scholar] [CrossRef]
- Fityus, S.; Smith, D.; Allman, M. Expansive soil test site near Newcastle. J. Geotech. Geoenviron. Eng. 2004, 130, 686–695. [Google Scholar] [CrossRef]
- Rabab’ah, S.; Al Hattamleh, O.; Aldeeky, H.; Alfoul, B.A. Effect of glass fiber on the properties of expansive soil and its utilization as subgrade reinforcement in pavement applications. Case Stud. Constr. Mater. 2021, 14, e00485. [Google Scholar] [CrossRef]
- Rezaei, M.; Ajalloeian, R.; Ghafoori, M. Geotechnical properties of problematic soils emphasis on collapsible cases. Int. J. Geosci. 2012, 3, 105–110. [Google Scholar] [CrossRef]
- Dai, Z.; Chen, S.; Li, J. The Failure Characteristics and Evolution Mechanism of the Expansive Soil Trench Slope; PanAm Unsaturated Soils 2017: Dallas, TX, USA, 2017; pp. 196–205. [Google Scholar] [CrossRef]
- Shi, B.; Jiang, H.; Liu, Z.; Fang, H. Engineering geological characteristics of expansive soils in China. Eng. Geol. 2002, 67, 63–71. [Google Scholar] [CrossRef]
- Estabragh, A.; Rafatjo, H.; Javadi, A. Treatment of an expansive soil by mechanical and chemical techniques. Geosynth. Int. 2014, 21, 233–243. [Google Scholar] [CrossRef]
- Mahedi, M.; Cetin, B.; White, D.J. Cement, lime, and fly ashes in stabilizing expansive soils: Performance evaluation and comparison. J. Mater. Civ. Eng. 2020, 32, 04020177. [Google Scholar] [CrossRef]
- Indiramma, P.; Sudharani, C.; Needhidasan, S. Utilization of fly ash and lime to stabilize the expansive soil and to sustain pollution free environment–An experimental study. Mater. Today Proc. 2020, 22, 694–700. [Google Scholar] [CrossRef]
- Lu, Y.; Liu, S.; Zhang, Y.; Li, Z.; Xu, L. Freeze-thaw performance of a cement-treated expansive soil. Cold Reg. Sci. Technol. 2020, 170, 102926. [Google Scholar] [CrossRef]
- Mahedi, M.; Cetin, B.; White, D.J. Performance evaluation of cement and slag stabilized expansive soils. Transp. Res. Rec. 2018, 2672, 164–173. [Google Scholar] [CrossRef]
- Tiwari, N.; Satyam, N. An experimental study on the behavior of lime and silica fume treated coir geotextile reinforced expansive soil subgrade. Eng. Sci. Technol. Int. J. 2020, 23, 1214–1222. [Google Scholar] [CrossRef]
- Ikeagwuani, C.C.; Nwonu, D.C. Emerging trends in expansive soil stabilisation: A review. J. Rock Mech. Geotech. Eng. 2019, 11, 423–440. [Google Scholar] [CrossRef]
- Al-Omari, R.R.; Fattah, M.Y.; Ali, H.A. Treatment of soil swelling using geogrid reinforced columns. Ital. J. Geosci. 2016, 135, 83–94. [Google Scholar] [CrossRef]
- Dessouky, S.H.; Oh, J.; Ilias, M.; Lee, S.I.; Park, D. Investigation of various pavement repairs in low-volume roads over expansive soil. J. Perform. Constr. Facil. 2015, 29, 04014146. [Google Scholar] [CrossRef]
- Malekzadeh, M.; Bilsel, H. Hydro-mechanical Behavior of Polypropylene Fiber Reinforced Expansive Soils. KSCE J. Civ. Eng. 2014, 18, 2028–2033. [Google Scholar] [CrossRef]
- Chittoori, B.; Rahman, T.; Burbank, M. Microbial-facilitated calcium carbonate precipitation as a shallow stabilization alternative for expansive soil treatment. Geotechnics 2021, 1, 558–572. [Google Scholar] [CrossRef]
- Wang, H.; Zhang, K.; Gan, L.; Liu, J.; Mei, G. Expansive soil-biochar-root-water-bacteria interaction: Investigation on crack development, water management and plant growth in green infrastructure. Int. J. Damage Mech. 2021, 30, 595–617. [Google Scholar] [CrossRef]
- Hamza, M.; Nie, Z.; Aziz, M.; Ijaz, N.; Ijaz, Z.; Rehman, Z.U. Strengthening potential of xanthan gum biopolymer in stabilizing weak subgrade soil. Clean Technol. Environ. Policy 2022, 24, 2719–2738. [Google Scholar] [CrossRef]
- Pooni, J.; Robert, D.; Gunasekara, C.; Giustozzi, F.; Setunge, S. Mechanism of enzyme stabilization for expansive soils using mechanical and microstructural investigation. Int. J. Geomech. 2021, 21, 04021191. [Google Scholar] [CrossRef]
- Soon, N.W.; Lee, L.M.; Khun, T.C.; Ling, H.S. Improvements in engineering properties of soils through microbial-induced calcite precipitation. KSCE J. Civ. Eng. 2013, 17, 718–728. [Google Scholar] [CrossRef]
- Thomas, B.S.; Gupta, R.C.; Panicker, V.J. Recycling of waste tire rubber as aggregate in concrete: Durability-related performance. J. Clean. Prod. 2016, 112, 504–513. [Google Scholar] [CrossRef]
- Abbaspour, M.; Narani, S.; Aflaki, E.; Moghadas Nejad, F.; Mir Mohammad Hosseini, S. Strength and swelling properties of a waste tire textile fiber-reinforced expansive soil. Geosynth. Int. 2020, 27, 476–489. [Google Scholar] [CrossRef]
- Özkul, Z.H.; Baykal, G. Shear behavior of compacted rubber fiber-clay composite in drained and undrained loading. J. Geotech. Geoenviron. Eng. 2007, 133, 767–781. [Google Scholar] [CrossRef]
- Li, Z.; Tang, C.; Hu, R.; Zhou, Y. Research on model fitting and strength characteristics of critical state for expansive soil. J. Civ. Eng. Manag. 2013, 19, 9–15. [Google Scholar] [CrossRef]
- Tajdini, M.; Nabizadeh, A.; Taherkhani, H.; Zartaj, H. Effect of added waste rubber on the properties and failure mode of kaolinite clay. Int. J. Civ. Eng. 2017, 15, 949–958. [Google Scholar] [CrossRef]
- Soltani, A.; Deng, A.; Taheri, A.; Sridharan, A. Swell–Shrink–Consolidation Behavior of Rubber–Reinforced Expansive Soils. Geotech. Test. J. 2018, 42, 761–788. [Google Scholar] [CrossRef]
- Alam, M.; Jiang, Y.J.; Umar, M.; Su, L.-J.; Rahman, M.; Ullah, F. Influence of drainage and root biomass on soil mechanical behavior in triaxial tests. Acta Geotech. 2022, 17, 2875–2893. [Google Scholar] [CrossRef]
- Freilich, B.; Li, C.; Zornberg, J. Effective shear strength of fiber-reinforced clays. In Proceedings of the 9th International Conference on Geosynthetics, Guaruja, Brazil, 22–28 May 2010; pp. 1997–2000. [Google Scholar]
- Xu, H.; Yuan, H.L.; Wang, X.Y.; Wang, D.; Chen, J.X.; Rong, C.Q. Study on the influence of root morphology and hierarchy on the mechanical properties of root-soil complexes. J. Geotech. Eng. 2022, 44, 926–935. (In Chinese) [Google Scholar]
- Safdar, M.; Newson, T.; Shah, F. Consolidated drained (CID) behavior of fibre reinforced cemented Toyoura sand in triaxial loading conditions. Int. J. Geo-Eng. 2021, 12, 27. [Google Scholar] [CrossRef]
- Correia, N.; Rocha, S.; Lodi, P.; McCartney, J. Shear strength behavior of clayey soil reinforced with polypropylene fibers under drained and undrained conditions. Geotext. Geomembr. 2021, 49, 1419–1426. [Google Scholar] [CrossRef]
- Valipour, M.; Shourijeh, P.T.; Mohammadinia, A. Application of recycled tire polymer fibers and glass fibers for clay reinforcement. Transp. Geotech. 2021, 27, 100474. [Google Scholar] [CrossRef]
- Tran, K.Q.; Satomi, T.; Takahashi, H. Improvement of mechanical behavior of cemented soil reinforced with waste cornsilk fibers. Constr. Build. Mater. 2018, 178, 204–210. [Google Scholar] [CrossRef]
- Jaramillo, N.A.D.; dos Santos Ferreira, J.W.; Malko, J.A.C.; Casagrande, M.D.T. Mechanical behavior of clayey soil reinforced with recycled tire rubber using chips and fibers. Geotech. Geol. Eng. 2022, 40, 3365–3378. [Google Scholar] [CrossRef]
- Malandraki, V.; Toll, D. The definition of yield for bonded materials. Geotech. Geol. Eng. 1996, 14, 67–82. [Google Scholar] [CrossRef]
- Wang, H.B.; Zhou, Y.; Yu, G.; Zhou, B.; Zhang, A.J. Triaxial experimental study of structural granite residual soil. Geotechnics 2021, 42, 991–1002. (In Chinese) [Google Scholar]
- Akbarimehr, D.; Eslami, A.; Aflaki, E. Geotechnical behaviour of clay soil mixed with rubber waste. J. Clean. Prod. 2020, 271, 122632. [Google Scholar] [CrossRef]
- Yadav, J.; Tiwari, S. Effect of waste rubber fibres on the geotechnical properties of clay stabilized with cement. Appl. Clay Sci. 2017, 149, 97–110. [Google Scholar] [CrossRef]
- Gray, D.H.; Ohashi, H. Mechanics of fiber reinforcement in sand. J. Geotech. Eng. 1983, 109, 335–353. [Google Scholar] [CrossRef]
- Michalowski, R.L.; Čermák, J. Triaxial compression of sand reinforced with fibers. J. Geotech. Geoenviron. Eng. 2003, 129, 125–136. [Google Scholar] [CrossRef]
- Zhao, X.; Cai, M. A mobilized dilation angle model for rocks. Int. J. Rock Mech. Min. Sci. 2010, 47, 368–384. [Google Scholar] [CrossRef]
- Vaid, Y.; Sasitharan, S. The strength and dilatancy of sand. Can. Geotech. J. 1992, 29, 522–526. [Google Scholar] [CrossRef]
- Tsoi, W.; Lee, K. Mechanical properties of cemented scrap rubber tyre chips. Géotechnique. 2011, 61, 133–141. [Google Scholar] [CrossRef]
- Perez, J.L.; Kwok, C.; Senetakis, K. Micromechanical analyses of the effect of rubber size and content on sand-rubber mixtures at the critical state. Geotext. Geomembr. 2017, 45, 81–97. [Google Scholar] [CrossRef]
- Farooq, M.A.; Nimbalkar, S. Static and cyclic performance of polyurethane foam adhesive bound soil-rubber mixtures under drained conditions. Acta Geotech. 2024, 19, 561–589. [Google Scholar] [CrossRef]
- Lu, Z.C. Research on Dynamic Characteristics of Rubber Reinforced Expansive Soil under Freeze-Thaw Cycle. Master’s Thesis, Qingdao University of Technology, Qingdao, China, 2022. (In Chinese). [Google Scholar]
- Zhou, J.; Zhou, H.; Wang, C.; Guo, Z.; Pei, W. Analysis of moisture Migration, Temperature, and pore structure characteristics of the muddy clay column subject to artificial ground freezing Based on LF NMR. Tunn. Undergr. Space Technol. 2023, 133, 104948. [Google Scholar] [CrossRef]
- Rowe, P.W. The stress-dilatancy relation for static equilibrium of an assembly of particles in contact. Proc. R. Soc. Lond. Ser. A Math. Phys. Sci. 1962, 269, 500–527. [Google Scholar] [CrossRef]
- To, E.; Tham, L.; Zhou, Y. An elasto-plastic model for saturated loosely compacted completely decomposed granite. Geomech. Geoengin. Int. J. 2008, 3, 13–25. [Google Scholar] [CrossRef]












| Properties | Value |
|---|---|
| Natural moisture content | 6.10% |
| Optimum moisture content | 16.00% |
| Maximum dry density | 1.853 g·cm−3 |
| Specific gravity | 2.73 |
| Plastic limit | 22.30% |
| Liquid limit | 57.80% |
| Plasticity index | 35.50 |
| Free swell ratio | 71.00% |
| Sample | Rubber Fiber Content (%) | Shearing Rate (mm min−1) | Drainage Condition |
|---|---|---|---|
| ESR-1 | 0 | 0.08 | undrained triaxial test |
| ESR-2 | 5 | ||
| ESR-3 | 10 | ||
| ESR-4 | 15 | ||
| ESR-5 | 20 | ||
| ESR-6 | 0 | 0.0096 | drained triaxial test |
| ESR-7 | 10 |
| Sample | Rubber Fiber Content (%) | Frequency (kHz) | Echo Interval (ms) |
|---|---|---|---|
| ESR-8 | 0 | 333 | 0.08 |
| ESR-9 | 5 | ||
| ESR-10 | 10 | ||
| ESR-11 | 15 |
| Sample | Beginning and Ending Relaxation Times of Spectrum Peaks (ms) (Peak Percentage) | |
|---|---|---|
| Primary Peak | Secondary Peak | |
| ESR-8 | 0.561–9.011 (97.6%) | 9.659–36.123 (2.4%) |
| ESR-9 | 0.455–7.843 (97.6%) | 8.407–33.701 (2.4%) |
| ESR-10 | 0.488–8.407 (97.4%) | 9.011–31.440 (2.6%) |
| ESR-11 | 0.644–9.011 (97.3%) | 9.659–36.123 (2.7%) |
| Name of the Model | Formula |
|---|---|
| P.W. Rowe [50] model | |
| Cambridge model | |
| Modified Cambridge model |
Disclaimer/Publisher’s Note: The statements, opinions and data contained in all publications are solely those of the individual author(s) and contributor(s) and not of MDPI and/or the editor(s). MDPI and/or the editor(s) disclaim responsibility for any injury to people or property resulting from any ideas, methods, instructions or products referred to in the content. |
© 2024 by the authors. Licensee MDPI, Basel, Switzerland. This article is an open access article distributed under the terms and conditions of the Creative Commons Attribution (CC BY) license (https://creativecommons.org/licenses/by/4.0/).
Share and Cite
Yang, Z.; Wang, R.; Shi, W.; Sun, Z.; Ling, X. Investigation of the Shear and Pore Structure Characteristics of Rubber Fiber-Reinforced Expansive Soil. Appl. Sci. 2024, 14, 5794. https://doi.org/10.3390/app14135794
Yang Z, Wang R, Shi W, Sun Z, Ling X. Investigation of the Shear and Pore Structure Characteristics of Rubber Fiber-Reinforced Expansive Soil. Applied Sciences. 2024; 14(13):5794. https://doi.org/10.3390/app14135794
Chicago/Turabian StyleYang, Zhongnian, Rongchang Wang, Wei Shi, Zhenxing Sun, and Xianzhang Ling. 2024. "Investigation of the Shear and Pore Structure Characteristics of Rubber Fiber-Reinforced Expansive Soil" Applied Sciences 14, no. 13: 5794. https://doi.org/10.3390/app14135794
APA StyleYang, Z., Wang, R., Shi, W., Sun, Z., & Ling, X. (2024). Investigation of the Shear and Pore Structure Characteristics of Rubber Fiber-Reinforced Expansive Soil. Applied Sciences, 14(13), 5794. https://doi.org/10.3390/app14135794
