Next Article in Journal
Exploratory Anterior Cruciate Ligament Graft Stress during Medial Knee Rotation with and without Iliotibial Band–Intermuscular Septum Lateral Extra-Articular Tenodesis for Transtibial and Anteromedial Femoral Tunnels
Previous Article in Journal
Use of Wearables in Frail Institutionalized Older Adults While Ambulating in Different Environments
 
 
Font Type:
Arial Georgia Verdana
Font Size:
Aa Aa Aa
Line Spacing:
Column Width:
Background:
Article

Analytical Selection of Leakage Inductance for Single-Phase Dual Active Bridge Converters

Department of Electrical Engineering, Yeungnam University, Gyeongsan 38541, Republic of Korea
*
Author to whom correspondence should be addressed.
Appl. Sci. 2024, 14(12), 5159; https://doi.org/10.3390/app14125159
Submission received: 26 May 2024 / Revised: 11 June 2024 / Accepted: 11 June 2024 / Published: 13 June 2024

Abstract

The single-phase dual active bridge (DAB) DC/DC converter is a vital component in modern power electronics systems, facilitating efficient bidirectional power transfer between various energy sources and loads. One of the critical aspects in the design of such converters is the selection of an appropriate leakage inductance, as it significantly affects the circulating power within the converter. This study investigates the influence of inductance on the reactive power flow and introduces an analytical formula for calculating the necessary leakage inductance based on the specified rated power of the DAB converter. By employing the inductance values determined through the proposed formula, the developed power control-based modulation method, implemented in discrete time, successfully achieves zero reactive power caused by the first harmonic components under all load conditions. This selection of leakage inductance optimizes the performance of the converter ensuring efficient power delivery across various applications. The applicability of this method extends to various DAB applications, including electric vehicles, integration with asynchronous microgrids, and aerospace systems.

1. Introduction

Research interest in DC/DC converters has surged recently, largely driven by their application in electric vehicle technologies [1]. The dual active bridge (DAB) converter is particularly popular among different DC/DC converter topologies because it can manage power flow in both directions [2]. It also offers several benefits, such as high power density, galvanic isolation, and high efficiency, making it an excellent option for various power conversion scenarios [3,4,5]. The leakage inductance of the high-frequency transformer is the key to power transfer between the DC-link source and the load in a DAB converter. Choosing the right leakage inductance is critical. An incorrect choice can lead to large reactive currents with small changes in the DC-link voltages [6,7]. In electric vehicle applications, variations from the nominal DC-link voltage can be as high as 34% [8]. A study [9] of a DAB converter that operates over a broad voltage span from 100–700 V, representing a 75% variation, was presented for microgrid applications. Choosing the right leakage inductance to reduce RMS currents and thereby minimize copper losses across the entire range of operations is crucial for achieving peak performance [10]. Choosing a lower value than the required leakage inductance can boost power transfer capacity but comes at the cost of increased reactive power, especially at low loads [11]. Conversely, a higher leakage inductance could limit the power transfer capacity.
In [12], a detailed investigation was conducted on optimizing the leakage inductance in a single-phase DAB converter, specifically for vehicular applications. This involved methodically adjusting the phase shift between the two bridges, the leakage inductance, and the DC conversion ratio to pinpoint an optimal value of leakage inductance that effectively minimizes the RMS current. A similar strategy was employed in the study [13], where the focus was on selecting the best leakage inductance for a three-phase multilevel DAB converter used in wind turbine installations. Both studies [12,13] utilized a thorough brute-force optimization technique, which, while robust, was noted for being computationally intensive and requiring considerable time to execute. In the study [14], a sophisticated methodology for optimizing leakage inductance was detailed, which was specifically designed for a three-phase DAB converter used in utility applications. This method uniquely blended the analytical expressions for power and current specific to the three-phase DAB converter with the capabilities of numerical solvers to accurately identify the most effective leakage inductance value. While this technique achieved results more expediently than the exhaustive brute-force method utilized in the studies [12,13], it fell short of providing a thorough analysis of variations in the leakage inductance relative to changes in the design parameters. This highlights a need for flexibility in the optimization process to ensure its applicability across various system designs. Therefore, selecting an appropriate leakage inductance is essential for optimal DAB converter performance across various modulation schemes. The strategic selection of the leakage inductance not only improves the efficiency but also enhances the reliability and durability of the converter system. Furthermore, optimizing the design of DAB converters can lead to better adaptability in power systems, ensuring more stable and robust power supply solutions in advanced technological applications.
This study explores the optimization of leakage inductance in single-phase DAB converters to enhance their performance. An analytical formula was developed to identify the ideal leakage inductance. Additionally, a power controller was designed to independently manage the active and reactive powers of the first harmonic components of the voltages and currents in the converter. Implementing the analytical formula to determine the optimal leakage inductance ensured that the power controller effectively eliminated reactive power caused by the first harmonic components under various operating conditions. By adopting this approach, this study demonstrated a significant reduction in inductor current compared to conventional modulation methods. Furthermore, this optimized strategy allowed for a substantial decrease in the size of the leakage inductance when compared with that of the conventional method, thus not only enhancing the converter’s efficiency, but also its compactness and applicability in space-constrained applications such as electric vehicles and portable devices.

2. Steady State Analysis

A single-phase DAB DC/DC converter incorporates a high-frequency transformer, which is essential for power flow from source to load. It employs two H-bridges to manage the conversion from the input DC-link voltage (Vin) to the output voltage (Vo). Figure 1 illustrates the schematic layout of the DAB converter, illustrating its key components and the interconnections between the H-bridges and the transformer. The leakage inductance of the transformer winding is denoted by Le and the combined parasitic resistance of the transformer winding and the on-state resistance of the semiconductor switches is represented by Re, while vpr(t) and vsr(t) represent the input and output voltages of the high-frequency transformer. The variables used in this section are listed in Table 1.
The converter utilizes three control variables to manage the active and circulating powers: the inner phase shift of the primary H-bridge (d1), the inner phase shift of the secondary H-bridge (d2), and the phase shift between the voltages of the two H-bridges (d3). Figure 2 illustrates the primary and secondary voltage waveforms along with the control variables d1, d2, and d3. The range of these control parameters is limited to 0 ≤ d1 ≤ 1, 0 ≤ d2 ≤ 1, and −1 ≤ d3 ≤ 1 ensuring precise control over power flow in the system. By choosing appropriate values for these control variables, the power flow within the converter can be effectively controlled.
The transformer windings voltage can be expressed as [15]
v p r ( t ) = n = 1 , 3 , 5 4 V i n n π cos n π d 1 2 sin n ω s t ,
v s r ( t ) = n = 1 , 3 , 5 4 V o n π cos n π d 2 2 sin n ω s t n φ ,
φ = d 3 + d 2 d 1 2 π ,
where φ represents the total phase shift between the two voltages and ωs denotes the angular frequency.
The current flowing through the inductor can be expressed as
i l e ( t ) = n = 1 , 3 , 5 4 V i n ( t ) n π Z cos ( n π d 1 2 ) sin ( n ω s t ) 4 V o ( t ) n π Z cos ( n π d 2 2 ) sin ( n ω s t n φ )
where Z = R e 2 + n ω s L e 2 .
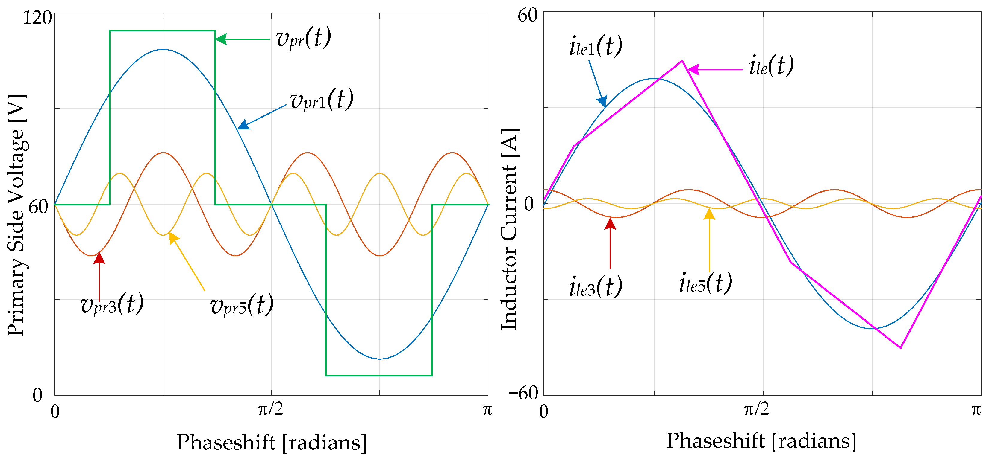
It can be observed from Equations (1), (2), and (4) that the voltage on the primary and secondary sides of the transformer, as well as the inductor current, can be represented as infinite summations of odd sinusoids. The first, third, and fifth harmonics of the primary side voltage (vpr1(t), vpr3(t), and vpr5(t)) alongside corresponding harmonics of the inductor current (ile1(t), ile3(t), and ile5(t)) are graphically depicted in Figure 3. It is evident from Figure 3 that the first harmonics of both voltage and current contribute most significantly among all the frequency components. This indicates that the first harmonics carry the majority of the energy in these waveforms.
Focusing primarily only on the first harmonics in a DAB DC/DC converter significantly simplifies the power flow analysis in the converter. In the modeling and analysis of the DAB converter, only the first harmonic components of both the voltages (vpr1(t), vsr1(t)), and current (ile1(t)) are considered. This reduces the complexity of the mathematical model and enhances the understanding of the converter’s fundamental operation without the complications introduced by higher-order harmonics, which typically have less impact on the overall system performance.
To analyze the system in the dq rotating reference frame, the voltage and current phasors are projected on the d and q axes. Thus, the voltage vectors are expressed as
v p r 1 = v p d ( t ) v p q ( t ) = 4 π V i n ( t ) cos 0.5 π d 1 sin π d 3 cos π d 3
v s r 1 = v s d ( t ) v s q ( t ) = 4 π V o ( t ) cos 0.5 π d 2 sin d 2 d 1 2 π cos d 2 d 1 2 π
The projection of the first harmonics of the inductor current vector ile1(t) on the d and q axis of the dq rotating reference frame can be obtained via
i l e 1 = i l e d ( t ) i l e q ( t ) = 1 ω s L e v p q ( t ) v s q ( t ) v s d ( t ) v p d ( t )
The active and reactive powers seen at the transformer’s primary side can be expressed as
P 1 ( t ) Q 1 ( t ) = 1 2 v p d ( t ) i l e d ( t ) + v p q ( t ) i l e q ( t ) v p q ( t ) i l e d ( t ) v p d ( t ) i l e q ( t )
The aforementioned power equation can be represented in discrete differential form as
P 1 · ( k ) Q 1 · ( k ) = 1 2 v p d · ( k ) i l e d ( k ) + v p d ( k ) i l e d · ( k ) + v p q · ( k ) i l e q ( k ) + v p q ( k ) i l e q · ( k ) v p q · ( k ) i l e d ( k ) + v p q ( k ) i l e d · ( k ) v p d · ( k ) i l e q ( k ) v p d ( k ) i l e q · ( k )
The rate of change of the dq voltages and current in discrete time can be expressed as
Δ v p d ( k ) Δ v p q ( k ) = v p d * ( k ) v p d ( k ) T s v p q * ( k ) v p q ( k ) T s
Δ i l e d ( k ) Δ i l e q ( k ) = i l e d * ( k ) i l e d ( k ) T s i l e q * ( k ) i l e q ( k ) T s
where the Ts denotes the sampling period and the superscript “*” indicates the corresponding command variables.
Using Equations (9)–(11), the rate of change in discrete time of active and reactive power can be illustrated as
Δ P 1 ( k ) = 1 2 v p d * ( k ) v p d ( k ) T s i l e d ( k ) + i l e d * ( k ) i l e d ( k ) T s v p d ( k ) + v p q * ( k ) v p q ( k ) T s i l e q ( k ) + i l e q * ( k ) i l e q ( k ) T s v p q ( k )
Δ Q 1 ( k ) = 1 2 v p d * ( k ) v p d ( k ) T s i l e q ( k ) + i l e q * ( k ) i l e q ( k ) T s v p d ( k ) v p q * ( k ) v p q ( k ) T s i l e d ( k ) i l e d * ( k ) i l e d ( k ) T s v p q ( k )
The discrete-time large signal model of the converter in the dq rotating reference frame can be expressed as
i l e d * ( k ) i l e d ( k ) T s i l e q * ( k ) i l e q ( k ) T s = R e L e ω s ω s R e L e i l e d ( k ) i l e q ( k ) + 1 L e 0 0 1 L e v p d ( k ) v p q ( k ) + 1 L e 0 0 1 L e v s d ( k ) v s q ( k ) .
By substituting Equation (9) into Equation (8), we obtain
Δ P 1 ( k ) = 0.5 M 1 v p d * ( k ) + M 2 v p q * ( k ) + M 3 v p d ( k ) + M 4 v p q ( k )
Δ Q 1 ( k ) = 0.5 N 1 v p d * ( k ) + N 2 v p q * ( k ) + N 3 v p d ( k ) + N 4 v p q ( k )
where the mathematical expressions of the coefficients M1, M2, M3, M4, N1, N2, N3, and N4 are provided in Appendix A.
A unique voltage command is derived from Equation (10) as a function of dq voltages and active/reactive powers for the subsequent sampling time, expressed as
v p d * k = M 3 N 2 M 2 N 3 M 2 N 1 M 1 N 2 v p d k + M 4 N 2 M 2 N 4 M 2 N 1 M 1 N 2 v p q k 2 N 2 M 2 N 1 M 1 N 2 P 1 * ( k ) P 1 ( k ) T s + 2 M 2 M 2 N 1 M 1 N 2 Q 1 * ( k ) Q 1 ( k ) T s
v p q * k = M 1 N 3 M 3 N 1 M 1 N 2 M 2 N 1 v p d k + M 4 N 1 M 1 N 4 M 1 N 2 M 2 N 1 v p q k 2 N 1 M 1 N 2 M 2 N 1 P 1 * ( k ) P 1 ( k ) T s + 2 M 1 M 1 N 2 M 2 N 1 Q 1 * ( k ) Q 1 ( k ) T s
The unique voltage command v*pdq in Equations (17) and (18) is transformed into a stationary reference frame, with an amplitude of Vm and a phase shift θ to achieve the requisite power commands. Then, the ensuing phase shifts d1 and d3 for the subsequent sample are determined via
d 1 k + 1 = 2 π cos 1 π 4 V m V i n
d 3 k + 1 = θ π
Here, d1 and d3 serve as the control variables enabling independent control over active and reactive powers. This independence is crucial for efficient energy management. The control of active power not only regulates the output voltage but also influences the overall power efficiency of the system. Meanwhile, controlling reactive power minimizes the current flowing through the inductor, which helps in reducing losses and improves the power factor. Together, these controls contribute to optimizing the performance of the converter.
The control block diagram of the power level controller is depicted in Figure 4. An active power command is generated by a Proportional-Integral voltage controller to adjust the output voltage, ensuring that it tracks the reference voltage (Vref). Simultaneously, a reactive power generator produces a reactive power command. This command is specifically aimed at reducing the current that flows through the inductor. By minimizing the current, the converter can achieve lower losses and enhanced efficiency.

3. Reactive Power Command Generation and Calculation of Leakage Inductance

3.1. Generation of Reactive Power Command

The total active power can be expressed as the sum of odd harmonics [16] via
P T = n = 1 , 3 , 5 P n = n = 1 , 3 , 5 8 V i n V o n 3 π 2 ω s L e cos n π d 1 2 cos n π d 2 2 sin n φ
Figure 5 displays curves representing the first, third, and fifth harmonics’ active power components, along with the total active power. These power components are normalized using PN = Vin*Vo/(8fs * Le), with fs denoting the switching frequency. It can be noticed that the graph illustrating the total power obtained through the conventional piecewise linear approach (PT) peaks at a maximum value of 1. Particularly noteworthy is the first harmonic’s active power component (P1), which, among all the odd harmonics (P1, P3, and P5), exhibits the highest amplitude, closely resembling the overall power obtained through the conventional piecewise linear method. The variables used in this section are listed in Table 2.
The first harmonics’ active and reactive powers can be expressed as [17]
P 1 ( k ) Q 1 ( k ) = 1 ω s L e v p 1 ( k ) v s 1 ( k ) sin ( φ ) v p 1 ( k ) ( v p 1 ( k ) v s 1 ( k ) cos ( φ ) )
where vp1(k) and vs1(k) represent the root mean square (rms) voltages of the first harmonic components of the primary and secondary side voltages, respectively.
The expressions for the active (ileP1) and reactive (ileQ1) components of the inductor current can be expressed as
i l e P 1 ( k ) i l e Q 1 ( k ) = 1 ω s L e v s 1 ( k ) sin ( φ ) v p 1 ( k ) v s 1 ( k ) cos ( φ )
Using Equations (22) and (23), the rms inductor current ( i l e R M S ( k ) ) can be expressed as
i l e R M S ( k ) = 1 ω s L e v s 1 4 ( k ) + 4 v s 1 2 ( k ) ω s L e Q 1 ( k ) 4 ω s 2 L e 2 P 1 2 ( k ) 4
It is evident from Equation (24) that through the appropriate selection of vs1(k) and Q1(k), the current through the inductor can be minimized for any load. The criterion for achieving the minimum rms current through the inductor at any load is given by
Q 1 ( k ) = 0
v s 1 ( k ) = 2 ω s L e P 1 ( k )
Therefore, the phase shift d2 can be computed using Equation (26) via
d 2 ( k ) = 2 π cos 1 ω s L e P 1 ( k ) 4 V o 2
Figure 6 shows the reactive power range with active power demand, indicating that even at the same load, the amount of circulating power can be different based on the settings of the control variables. It becomes evident from the graph that precise adjustment of all phase shifts can lead to the elimination of the circulating power. To consistently achieve the zero reactive power condition across all ranges of active power demands, the leakage inductance must not exceed Lemax. The following section provides a detailed formula for calculating the critical value of Lemax.
The input voltage of a system may fluctuate around the designed value and affect the operation of the converter. The converter can achieve zero reactive power output across all loads if the voltage exceeds the designed value. However, if the voltage falls below the designed value, achieving zero reactive power becomes unattainable at near and full load conditions. In such instances, the reactive power command is determined as follows:
Using Equations (22) and (26) the reactive power command can be obtained as
Q 1 ( k ) = v 2 ( k ) ω s L e 2 v 2 ( k ) P 1 ( k ) ω s L e P 1 2 ( k )
where v(k) is defined as
v ( k ) = 1 2 1 + 4 ω s 2 L e 2 P 1 2 ( k ) ,   0 v ( k ) 4 V i n 2 π
Equation (28) serves to generate a zero reactive power command when the voltage applied to the converter is equal to or exceeds the designed value. Conversely, if the voltage falls below the designated threshold, the equation yields a power command according to the maximum allowable DC-link voltage.

3.2. Calculation of Leakage Inductance

In a DAB DC/DC converter, the power transfer is inversely proportional to both the frequency and the leakage inductance. Given that the frequency remains constant, the maximum required leakage inductance for the designed power requirement can be determined via
L e max = 8 V i n 2 π 2 ω s P r a t e d .
Typically, the single-phase shift (SPS) method [18] is employed to calculate the necessary leakage inductance. However, the proposed approach enables the developed power controller-based strategy to utilize a significantly smaller leakage inductance for the same power requirement. Figure 7 illustrates the comparison of the required leakage inductance for both approaches across various rated power levels. The input and output voltages are taken as 108 V and 250 V, respectively, with a switching frequency of 30 kHz.
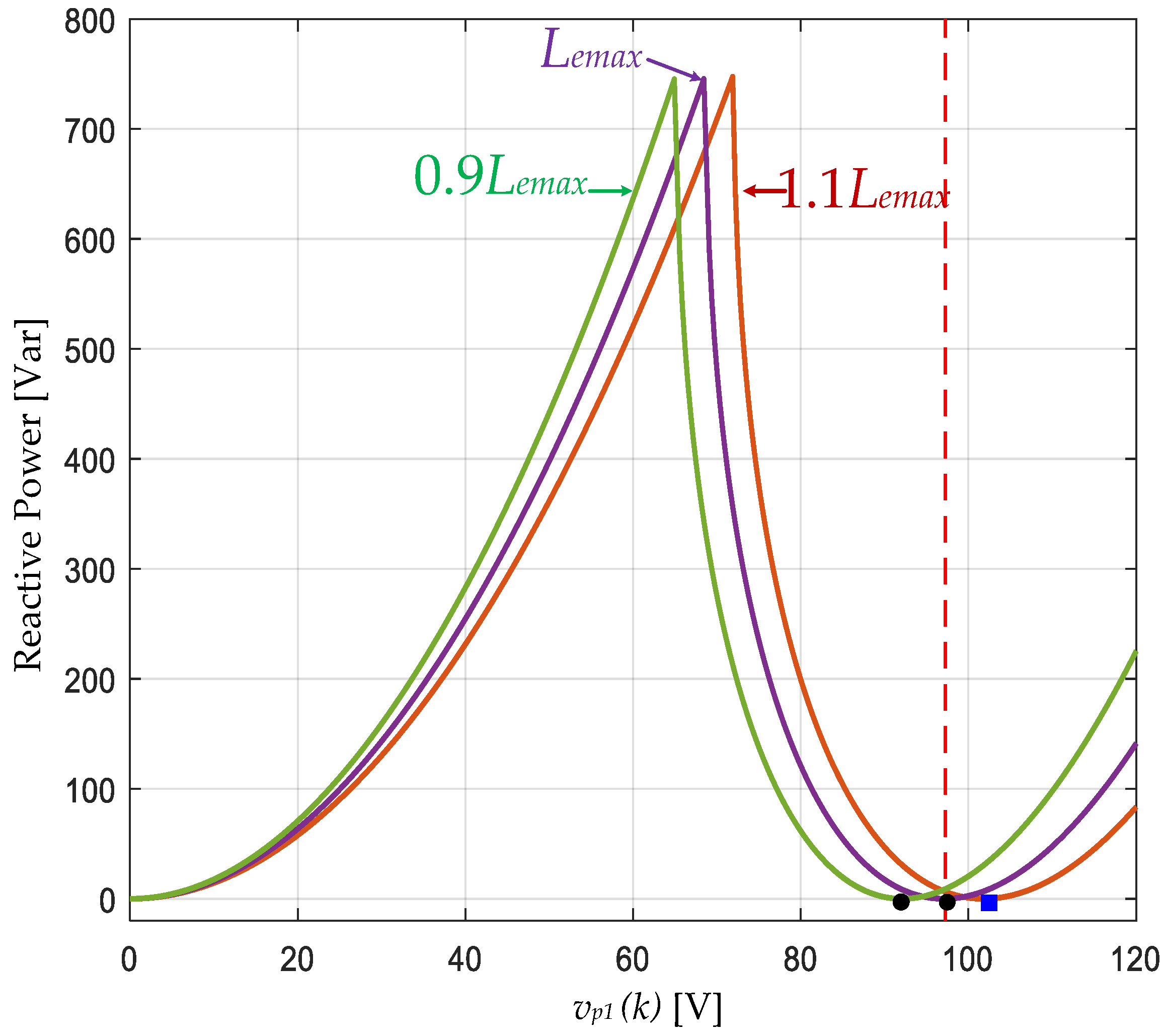
Figure 8 presents a graphical representation detailing how reactive power varies in response to changes in the primary voltage when applied to different leakage inductance values at full load. These values include the optimal leakage inductance (Lemax), as well as both a 10% reduction (0.9 Lemax) and a 10% increase (1.1 Lemax) from the optimal value. The red dashed line indicates the physical limitation of the DC-link voltage. The graph clearly shows that when the converter is operating with a leakage inductance 10% above the optimal level, the primary voltage (indicated by ■) required for eliminating the reactive power of the first harmonic components extends beyond the system’s physical capacity. Conversely, with a leakage inductance that is 10% below the optimal value, the required primary voltage (indicated by ●) stays within its physical limit. It is important to note that with a leakage inductance that exceeds the designated requirement, it becomes impossible to achieve zero reactive power due to the first harmonic components. Under these circumstances, to ensure compliance with primary side voltage constraints, the command for reactive power is calculated according to the maximum permissible primary voltage, thereby adapting to the physical limitations and maintaining proper converter functionality.

4. Design of High-Frequency Transformer

This section details a systematic approach to the design of high-frequency transformers for DAB DC/DC converters. It covers the selection process of core materials, determination of the number of turns for transformer windings, and calculation of losses.

4.1. Selection of the Core Material

The selection of the core material is a vital aspect in designing a transformer as it directly influences factors such as cost, losses, and size. The core materials [19] with high flux density, high Curie temperatures, and low losses are most preferred. These characteristics ensure efficient performance and reliability of the transformer. Popular core materials for high-frequency transformers in DAB converters include ferrite, nanocrystalline, and amorphous metal. Ferrite offers a good balance of cost and performance at lower frequencies, while nanocrystalline provides superior performance at higher frequencies but comes at a higher cost. Amorphous metal exhibits the best high-frequency performance but is the most expensive option. Additionally, the core’s ability to handle power is assessed by its area product (Ap). For a given power (Prated), the area product is calculated from [20] as part of the design process to ensure optimal performance and efficiency of the transformer using the following equation:
P r a t e d = K f K u J f B m A p
where the parameters J, Kf, and Ku denote the current density, waveform coefficient, and utilization factor, respectively. To meet the specific requirements of the transformer, a ferrite core 9478116002 with a cross-sectional area (Ac) of 284.289 mm2 [21] is selected.

4.2. Transformer Winding Turns

The formula to calculate the number of turns for transformer windings is derived from [22] as follows:
N S = N P = V ( 10 4 ) K f B a c f A c
Taking into consideration the frequency (f), voltage (V), and flux density (Bac), the optimal number of turns for both the primary (Np) and secondary (Ns) windings of the transformer is determined to be 22 each. The Litz wire is used as transformer windings to reduce the high-frequency current and conduction losses.

4.3. Inductance Calculation

The leakage inductance of a transformer is influenced by several design aspects, such as core shapes and winding styles. An estimate of the leakage inductance can be calculated via [23]
L σ = μ 0 N T 2 H w D w 3 + D o
where the permeability of the vacuum is denoted by μ0, while NT represents the total number of turns, and D0, Dw, and Hw stand for the core’s airgap, width, and height, respectively. The resulting leakage inductance for the presented method equals 130.61 µH, satisfying the condition outlined in Equation (30).

4.4. Core Losses

For a single-phase transformer design, core loss calculation typically involves the application of the Steinmetz equation. However, given the non-sinusoidal nature of the input voltage, the Improved Generalized Steinmetz Equation [24] is preferred for a more accurate estimation of the core losses. This equation yields the core losses (Pc) per volume formulated as follows:
P c = 2 α + β K i f α B m β
where α, β, and Ki represent the Steinmetz coefficients.
The required leakage inductance for the proposed approach is significantly less than that of the SPS-based design approach. As a result, the size of the transformer needed for the converter is considerably reduced. This size reduction is further highlighted through a normalized comparison, as depicted in Figure 9.
The designed transformer to validate the proposed methodology has its leakage inductance determined using Equation (30) for the laboratory prototype of the converter. The specifications for this prototype are provided in Section 5. The cross-sectional area (Ac) and core volume (Vc) are measured at 356.76 mm2 and 94,310.6 mm3, respectively. For identical converter specifications, the SPS-based method necessitates a transformer with 321.43 μH of leakage inductance, which is more than twice the size compared to the proposed method. Opting for the same material, the most suitable core for this inductor is the 9478117002 E-type core. A comprehensive comparative analysis between the two transformers, including considerations of volume, weight, and core losses, is detailed in Table 3.
One significant aspect to consider is the heat generation in the single-phase transformer. Heat generation primarily arises from core losses and copper losses. In the proposed method, core losses are reduced due to the smaller size of the required core. Copper losses occur in the transformer windings due to the resistance of the transformer windings and are proportional to the square of the current flowing through the windings.
When comparing the heat generated in transformers for different approaches, the conventional SPS-based approach typically results in higher core and copper losses due to the need for larger transformers and higher current flows. This leads to more heat generation, affecting the transformer’s efficiency and thermal management. Conversely, the proposed method requires a smaller transformer because the required leakage inductance is smaller, which is made possible by the reduced leakage inductance required with the developed power controller-based modulation method for the same active power requirement. Additionally, the current flowing through the transformer is up to 51% less with the same load requirement using the proposed modulation method. This reduction in current substantially decreases copper losses, and the smaller core size reduces core losses. By minimizing both core and copper losses and reducing the current flow, the proposed method generates less heat, thus enhancing the overall efficiency and reliability of the transformer. This approach is crucial for better thermal performance and a longer operational lifespan of the transformer.

5. Results

The parameters for the dual active bridge (DAB) converter were determined to fulfill the specific needs of the Level-1 electric vehicle (EV) charging station. It is important to note that the charging voltage varies depending on the level of the EV charging system [25,26]. For example, a Level 1 charging station typically has a charging voltage ranging from 200 to 400 V. Higher levels of charging stations, such as Level 2 and above, operate at significantly higher voltages, with Level 3 and DC fast charging stations delivering voltages from 400 V up to 800 V or more. Additionally, the average rectified voltage derived from a 120 V AC input is around 108 V.
The efficacy of the presented method was evaluated through a comparative analysis using a Matlab Simulink 2022b software with the conventional SPS and dual-phase shift (DPS) [27] control methods. This assessment involved employing converters with identical parameters, facilitating a thorough examination of their performances under identical conditions. The leakage inductance was determined through the proposed analytical formula outlined in Equation (30) for a 1.5 kW converter for the developed power controller-based modulation method. The key parameters of the converter included input and output voltages of 108/250 V, a leakage inductance of 33.3 μH, and a switching frequency of 30 kHz, as illustrated in Table 4.
The power controller underwent comprehensive testing across various load conditions to evaluate its performance. Figure 10 illustrates the steady-state primary side voltage (green), secondary side voltage (blue), and current (red) waveform at 20%, 60%, and full load, providing insights into its performance across different load levels.
The proposed method was compared to the SPS and DPS techniques at 0.6 pu of load, as shown in Figure 11. The analysis of reactive power and inductor current waveforms revealed that the proposed method effectively eliminates circulating power and significantly reduces inductor current under the same load conditions.
A scale-down laboratory prototype with a power rating of 350 W was constructed, as shown in Figure 12. The voltages and switching frequency were kept constant to facilitate accurate comparison with theoretical predictions. The TMS320F28335 microcontroller (Texas Instruments, Dallas, TX, USA) was employed for control and operation. Furthermore, the leakage inductance was calculated from (30) to be 130.61 µH to ensure optimal performance. To evaluate the effectiveness of the developed power controller, a comprehensive test was carried out. Initially, the connected load was set to 20% of the converter’s full load capacity. Subsequently, the load was abruptly increased to reach the full capacity of the designed converter. Figure 13 illustrates the transition in active power from 0.2 per unit to full load. Remarkably, even as the load conditions changed, the reactive power of the first harmonic components remained at zero during steady-state conditions.
A comparative experiment was carried out to assess the efficacy of the developed method against the SPS and DPS modulation techniques. The findings demonstrated that, across all load conditions, the presented method consistently minimizes the current through the inductor compared to both SPS and DPS modulation methods. Figure 14 illustrates the inductor current waveform during steady-state conditions, comparing the SPS, DPS, and proposed approaches at a 0.6 pu load. The experimental results closely match the simulation outcomes, validating the effectiveness of the power controller-based method. By leveraging the proposed approach, the reactive power due to the first harmonics of voltage and current is effectively eliminated. For instance, at a 0.6 pu load, the reactive power was observed to be −482.9 Vars and −325.4 Vars with the SPS and DPS techniques, respectively, while the presented method eliminates reactive power, indicative of its superior performance. Furthermore, the inductor rms current was significantly reduced with the proposed approach. While the SPS and DPS methods result in an inductor rms current of 5.6 A and 5 A, respectively, the proposed power controller-based approach achieves a mere 4.1 A.
Figure 15 provides a detailed comparison of the root mean square (rms) currents of the inductor under various load conditions for the SPS, DPS, and the proposed method. This bar graph not only showcases the performance variations between the conventional SPS and DPS methods but also emphasizes the efficacy of the proposed method. The considerable reduction in the inductor current achieved by the proposed method not only enhanced efficiency but also played a crucial role in minimizing energy losses and boosting the performance of the converter. This reduction is particularly relevant in applications where power efficiency and minimal energy wastage are critical. Furthermore, the enhanced control over the inductor current under varying loads led to more stable operations and the extended lifespan of the hardware components, including the inductor itself. These advancements are pivotal for optimizing the design and function of power converters in modern electrical engineering applications, contributing to more sustainable and cost-effective energy solutions.

6. Conclusions

This study introduces an analytical formula for determining the required leakage inductance for the power controller-based modulation technique in a single-phase DAB DC/DC converter. The leakage inductance selected through the proposed formula allowed the power controller to achieve zero reactive power due to the first harmonic components across all load conditions. This ensured minimum conduction losses across all load conditions, optimizing the efficiency and longevity of the system by reducing the stress on electrical components. The leakage inductance required for a given power requirement was significantly less than that of the conventional SPS-based approach. The reduction in leakage inductance led to a decrease in the size of the high-frequency transformer. This size reduction enhances its compactness, making the transformer especially suitable for space-constrained applications such as electric vehicles. This adaptability is crucial in modern electronics where efficiency and size are key considerations. These findings demonstrate the potential of the proposed approach to significantly improve the performance and efficiency of DAB converters in various applications. Additionally, by optimizing the leakage inductance settings, the formula allows for a more streamlined design process, making it easier to integrate the converter into a wider range of electric systems. The practical applications of this research could extend to renewable energy systems, portable electronic devices, and other modern technology that requires efficient energy conversion solutions. The adaptability of this approach could lead to transformative changes in power conversion technology, promoting more sustainable energy usage across multiple industries.

Author Contributions

Conceptualization, H.N. and J.-K.S.; investigation; H.N. and J.-K.S.; validation, J.-K.S.; writing—original draft preparation H.N. and J.-K.S.; writing—review and editing, H.N. and J.-K.S. All authors have read and agreed to the published version of the manuscript.

Funding

This research received no external funding.

Institutional Review Board Statement

Not applicable.

Informed Consent Statement

Not applicable.

Data Availability Statement

The original contributions presented in the study are included in the article, further inquiries can be directed to the corresponding author.

Conflicts of Interest

The authors declare no conflicts of interest.

Appendix A

The coefficients used in Equations (15)–(18) are
M 1 = v p d ( k ) 2 L e + i l e d ( k ) 2 T s
M 2 = v p q ( k ) 2 L e + i l e q ( k ) 2 T s
M 3 = v s d ( k ) 2 L e R e i l e d ( k ) 2 L e ω s i l e q ( k ) 2
M 4 = v s q ( k ) 2 L e R e i l e q ( k ) 2 L e + ω s i l e d ( k ) 2
N 1 = v p q ( k ) 2 L e i l e q ( k ) 2 T s
N 2 = v p d ( k ) 2 L e + i l e d ( k ) 2 T s
N 3 = v s q ( k ) 2 L e + R e i l e q ( k ) 2 L e ω s i l e d ( k ) 2
N 4 = v s d ( k ) 2 L e R e i l e d ( k ) 2 L e ω s i l e q ( k ) 2

References

  1. Kumar, S.; Ramalingam, B.; Dahiya, R. Analysis and Control of Dual Active Bridge Converter for Vehicle to Load Application in Electric Vehicle. In Data Science and Applications. ICDSA 2023; Lecture Notes in Networks and Systems; Nanda, S.J., Yadav, R.P., Gandomi, A.H., Saraswat, M., Eds.; Springer: Singapore, 2024; Volume 820. [Google Scholar] [CrossRef]
  2. Ataullah, H.; Iqbal, T.; Khalil, I.U.; Ali, U.; Blazek, V.; Prokop, L.; Ullah, N. Analysis of the Dual Active Bridge-Based DC-DC Converter Topologies, High-Frequency Transformer, and Control Techniques. Energies 2022, 15, 8944. [Google Scholar] [CrossRef]
  3. Chen, D.; Deng, J.; Wang, W.; Wang, Z. A Dual-Transformer-Based Hybrid Dual Active Bridge Converter for Plug-in Electric Vehicle Charging to Cope with Wide Load Voltages. IEEE Trans. Ind. Electron. 2023, 70, 1444–1454. [Google Scholar] [CrossRef]
  4. Das, D.; Singh, B.; Mishra, S. Grid Interactive Solar PV and Battery Operated Air Conditioning System: Energy Management and Power Quality Improvement. IEEE Trans. Consum. Electron. 2023, 69, 109–117. [Google Scholar] [CrossRef]
  5. Das, D.; Kumar, C. Partial Startup Scheme for Smart Transformer in Meshed Hybrid Islanded Grid Operation. IEEE Trans. Ind. Appl. 2022, 58, 142–151. [Google Scholar] [CrossRef]
  6. Yazdani, F.; Zolghadri, M. Design of dual active bridge isolated bi-directional DC converter based on current stress optimization. In Proceedings of the 2017 8th Power Electronics, Drive Systems & Technologies Conference (PEDSTC), Mashhad, Iran, 14–16 February 2017; pp. 247–252. [Google Scholar] [CrossRef]
  7. D’Antonio, M.; Chakraborty, S.; Khaligh, A. Design Optimization for Weighted Conduction Loss Minimization in a Dual-Active-Bridge-Based PV Microinverter. In Proceedings of the 2020 IEEE Energy Conversion Congress and Exposition (ECCE), Detroit, MI, USA, 11–15 October 2020; pp. 6008–6015. [Google Scholar] [CrossRef]
  8. van Hoek, H.; Neubert, M.; De Doncker, R.W. Enhanced Modulation Strategy for a Three-Phase Dual Active Bridge—Boosting Efficiency of an Electric Vehicle Converter. IEEE Trans. Power Electron. 2013, 28, 5499–5507. [Google Scholar] [CrossRef]
  9. Burkart, R.M.; Kolar, J.W. Comparative η– ρ– σ Pareto Optimization of Si and SiC Multilevel Dual-Active-Bridge Topologies with Wide Input Voltage Range. IEEE Trans. Power Electron. 2017, 32, 5258–5270. [Google Scholar] [CrossRef]
  10. Yin, S.; Debnath, S.; Wojda, R.; Marthi, P.; Saeedifard, M. Impact of the Transformer Magnetizing Inductance on the Performance of the Dual-Active Bridge Converter. In Proceedings of the 2021 IEEE 22nd Workshop on Control and Modelling of Power Electronics (COMPEL), Cartagena, Colombia, 2–5 November 2021; pp. 1–7. [Google Scholar] [CrossRef]
  11. Guennouni, N.; Chebak, A.; Machkour, N. Optimal Dual Active Bridge DC-DC Converter Operation with Minimal Reactive Power for Battery Electric Vehicles Using Model Predictive Control. Electronics 2022, 11, 1621. [Google Scholar] [CrossRef]
  12. Alikhanzadeh, B.; Thiringer, T.; Kharezy, M. Optimum Leakage Inductance Determination for a Q2L-Operating MMC-DAB with Different Transformer Winding Configurations. In Proceedings of the 2019 20th International Symposium on Power Electronics (Ee), Novi Sad, Serbia, 23–26 October 2019; pp. 1–6. [Google Scholar]
  13. Hoang, K.D.; Wang, J. Design optimization of high frequency transformer for dual active bridge dc-dc converter. In Proceedings of the 2012 XXth International Conference on Electrical Machines, Marseille, France, 2–5 September 2012; pp. 2311–2317. [Google Scholar]
  14. Lenke, R.U. A Contribution to the Design of Isolated DC-DC Converters for Utility Applications; E.ON Energy Research Center, RWTH Aachen University: Aachen, Germany, 2012. [Google Scholar]
  15. Palamides, A.; Veloni, A. Fourier series. In Signals and Systems Laboratory with MATLAB; CRC Press: Boca Raton, FL, USA, 2011; pp. 249–279. [Google Scholar]
  16. Naseem, H.; Seok, J.-K. Reactive Power Controller for Single Phase Dual Active Bridge DC–DC Converters. IEEE Access 2023, 11, 141537–141546. [Google Scholar] [CrossRef]
  17. Naseem, H.; Seok, J. Triple-Phase Shift Power-Level Controller (TPSPC) For Single-Phase Dual Active Bridge (DAB) DC/DC Converter. In Proceedings of the 2022 IEEE Energy Conversion Congress and Exposition (ECCE), Detroit, MI, USA, 9–13 October 2022; pp. 1–5. [Google Scholar] [CrossRef]
  18. Kheraluwala, M.N.; Gascoigne, R.W.; Divan, D.M.; Baumann, E.D. Performance characterization of a high-power dual active bridge DC-to-DC converter. IEEE Trans. Ind. Appl. 1992, 28, 1294–1301. [Google Scholar] [CrossRef]
  19. Sima, W.; Liu, Y.; Sun, P.; Zhou, Y.; Peng, D.; Yang, M. The Effect of Different Core Materials on Transformer Inrush Currents. In Proceedings of the 2018 IEEE International Magnetics Conference (INTERMAG), Singapore, 23–27 April 2018; pp. 1–4. [Google Scholar] [CrossRef]
  20. Parastar, A.; Seok, J.-K. High-power-density power conversion systems for hvdc-connected offshore wind farms. J. Power Electron. 2013, 13, 737–745. [Google Scholar] [CrossRef]
  21. Ferrites E Core 9478116002. Available online: https://fair-rite.com/product/e-cores-9478116002/ (accessed on 20 May 2024).
  22. McLyman, C.W.T. Transformer and Inductor Design Handbook; CRC Press: New York, NY, USA, 2011. [Google Scholar]
  23. Zhao, Z.; Wu, Y.; Diao, F.; Lin, N.; Du, X.; Zhao, Y.; Zhu, G. Design and demonstration of a 100 kw high-frequency matrix core transformer for more electric aircraft power distribution. IEEE Trans. Transp. Electrification 2022, 8, 4279–4290. [Google Scholar] [CrossRef]
  24. Arruti, A.; Anzola, J.; Pérez-Cebolla, F.J.; Aizpuru, I.; Mazuela, M. The Composite Improved Generalized Steinmetz Equation (ciGSE): An Accurate Model Combining the Composite Waveform Hypothesis with Classical Approaches. IEEE Trans. Power Electron. 2024, 39, 1162–1173. [Google Scholar] [CrossRef]
  25. Collin, R.; Miao, Y.; Yokochi, A.; Enjeti, P.; von Jouanne, A. Advanced electric vehicle fast-charging technologies. Energies 2019, 12, 1839. [Google Scholar] [CrossRef]
  26. Hebala, O.M.; Aboushady, A.A.; Ahmed, K.H.; Abdelsalam, I. Generic closed-loop controller for power regulation in dual active bridge DC–DC converter with current stress minimization. IEEE Trans. Ind. Electron. 2019, 66, 4468–4478. [Google Scholar] [CrossRef]
  27. Kim, M.; Rosekeit, M.; Sul, S.-K.; De Doncker, R.W.A.A. A dual-phase-shift control strategy for dual-active-bridge DC-DC converter in wide voltage range. In Proceedings of the 8th International Conference on Power Electronics—ECCE Asia, Jeju, Republic of Korea, 30 May 2011–3 June 2011; pp. 364–371. [Google Scholar] [CrossRef]
Figure 1. Circuit schematic of single-phase dual active bridge converter.
Figure 1. Circuit schematic of single-phase dual active bridge converter.
Applsci 14 05159 g001
Figure 2. Primary and secondary H-bridge voltage waveforms and phase shifts.
Figure 2. Primary and secondary H-bridge voltage waveforms and phase shifts.
Applsci 14 05159 g002
Figure 3. Harmonic components of primary voltage and inductor current.
Figure 3. Harmonic components of primary voltage and inductor current.
Applsci 14 05159 g003
Figure 4. Control block diagram.
Figure 4. Control block diagram.
Applsci 14 05159 g004
Figure 5. Active power curves for different harmonics components.
Figure 5. Active power curves for different harmonics components.
Applsci 14 05159 g005
Figure 6. Range of reactive power across different load conditions.
Figure 6. Range of reactive power across different load conditions.
Applsci 14 05159 g006
Figure 7. Leakage inductance for SPS and proposed law across various rated powers.
Figure 7. Leakage inductance for SPS and proposed law across various rated powers.
Applsci 14 05159 g007
Figure 8. Variation of reactive power at full load for different values of Lemax.
Figure 8. Variation of reactive power at full load for different values of Lemax.
Applsci 14 05159 g008
Figure 9. Normalized comparison of high-frequency transformer.
Figure 9. Normalized comparison of high-frequency transformer.
Applsci 14 05159 g009
Figure 10. Operating waveforms Vin = 108 V, Vo = 250 V, and P = 1.5 kW. (a) 0.2 pu, (b) 0.6 pu, and (c) 1 pu.
Figure 10. Operating waveforms Vin = 108 V, Vo = 250 V, and P = 1.5 kW. (a) 0.2 pu, (b) 0.6 pu, and (c) 1 pu.
Applsci 14 05159 g010aApplsci 14 05159 g010b
Figure 11. Inductor current and reactive power.
Figure 11. Inductor current and reactive power.
Applsci 14 05159 g011
Figure 12. Experiment test bed showing DAB prototype.
Figure 12. Experiment test bed showing DAB prototype.
Applsci 14 05159 g012
Figure 13. Dynamic response of output voltage, active power, and reactive power to load variation.
Figure 13. Dynamic response of output voltage, active power, and reactive power to load variation.
Applsci 14 05159 g013
Figure 14. Inductor current at 0.6 pu of load.
Figure 14. Inductor current at 0.6 pu of load.
Applsci 14 05159 g014
Figure 15. Inductor rms current at various loads.
Figure 15. Inductor rms current at various loads.
Applsci 14 05159 g015
Table 1. Nomenclature.
Table 1. Nomenclature.
SymbolDescription
Vin and VoInput and output voltage
fsSwitching frequency
LeLeakage inductance
ReSum of switches on-resistance
and transformer winding resistance
vpr(t) and vsr(t)Primary and secondary side voltage of transformer
ile(t)Inductor current
d1 and d2Primary and secondary side H-Bridge’s inner phase shift
d3Phase shift between H-bridge voltages
φTotal phase shift between transformer voltages
ωs(t)Angular frequency of voltages and current
vpr1(t), vpr3(t), and vpr5(t)1st, 3rd, and 5th harmonics of vpr(t)
vsr1(t)1st harmonics of vsr(t)
ile1(t), ile3(t), and ile5(t)1st, 3rd, and 5th harmonics of ile(t)
P1(t) and Q1(t)First harmonic active and reactive powers
vpd(t) and vpq(t)Primary first harmonic voltages in dq reference frame
vsd(t) and vsq(t)Secondary first harmonic voltages in dq reference frame
Iled(t) and ileq(t)First harmonic inductor current in dq reference frame
TsSampling time
VrefReference voltage
Table 2. Nomenclature.
Table 2. Nomenclature.
SymbolDescription
PTTotal active power
vp1(t)First harmonic component of the primary side rms voltage
vp2(t)First harmonic component of the secondary side rms voltage
ileP1(t) Active component of the first harmonic inductor current
ileQ1(t)Reactive component of the first harmonic inductor current
ileRMS(t)Inductor RMS current
LemaxMaximum Leakage Inductance
Table 3. Comparison of transformer characteristics: Proposed Method vs SPS-Based Method.
Table 3. Comparison of transformer characteristics: Proposed Method vs SPS-Based Method.
ParameterProposed LawSPS Method
Volume94,310.6 mm3170,677.1 mm3
Weight301.56 g573.24 g
Core Losses9.72 W15.14 W
Table 4. Parameters for 1.5 kW DC/DC converter.
Table 4. Parameters for 1.5 kW DC/DC converter.
ParameterValueUnit
Rated Power (Prated)1500Watt
Input/Output Voltages108/250Volt
Switching Frequency (fs)30kHz
Inductor (Le)33.3 × 10−6Henry
Disclaimer/Publisher’s Note: The statements, opinions and data contained in all publications are solely those of the individual author(s) and contributor(s) and not of MDPI and/or the editor(s). MDPI and/or the editor(s) disclaim responsibility for any injury to people or property resulting from any ideas, methods, instructions or products referred to in the content.

Share and Cite

MDPI and ACS Style

Naseem, H.; Seok, J.-K. Analytical Selection of Leakage Inductance for Single-Phase Dual Active Bridge Converters. Appl. Sci. 2024, 14, 5159. https://doi.org/10.3390/app14125159

AMA Style

Naseem H, Seok J-K. Analytical Selection of Leakage Inductance for Single-Phase Dual Active Bridge Converters. Applied Sciences. 2024; 14(12):5159. https://doi.org/10.3390/app14125159

Chicago/Turabian Style

Naseem, Hamid, and Jul-Ki Seok. 2024. "Analytical Selection of Leakage Inductance for Single-Phase Dual Active Bridge Converters" Applied Sciences 14, no. 12: 5159. https://doi.org/10.3390/app14125159

APA Style

Naseem, H., & Seok, J.-K. (2024). Analytical Selection of Leakage Inductance for Single-Phase Dual Active Bridge Converters. Applied Sciences, 14(12), 5159. https://doi.org/10.3390/app14125159

Note that from the first issue of 2016, this journal uses article numbers instead of page numbers. See further details here.

Article Metrics

Back to TopTop