Mathematical Evaluation of Direct and Inverse Problem Applied in Breakthrough Models of Metal Adsorption
Abstract
1. Introduction
2. Direct Problem
2.1. Isotherm Model
2.2. Kinetics
2.3. Mass Balance
2.4. Dimensioneless Model
3. Inverse Problem
3.1. Sensitivity Analysis
3.2. Markov Chain Monte Carlo
- Start the iteration counter, i = 1, and specify an initial value, ;
- Generate a vector of candidate parameters from the proposal distribution, .
- Calculate the probability of acceptance, , given by Equation (22);
- Generate an auxiliary random sample of a uniform distribution, ;
- If , then accept the new value and update the parameter vector, . Otherwise, ;
- Increment the counter from i to i + 1 and go back to step 2.
4. Methodology
4.1. Direct Problem Solution Method
4.2. Sensitivity Analysis
4.3. Parameter Estimation
5. Results
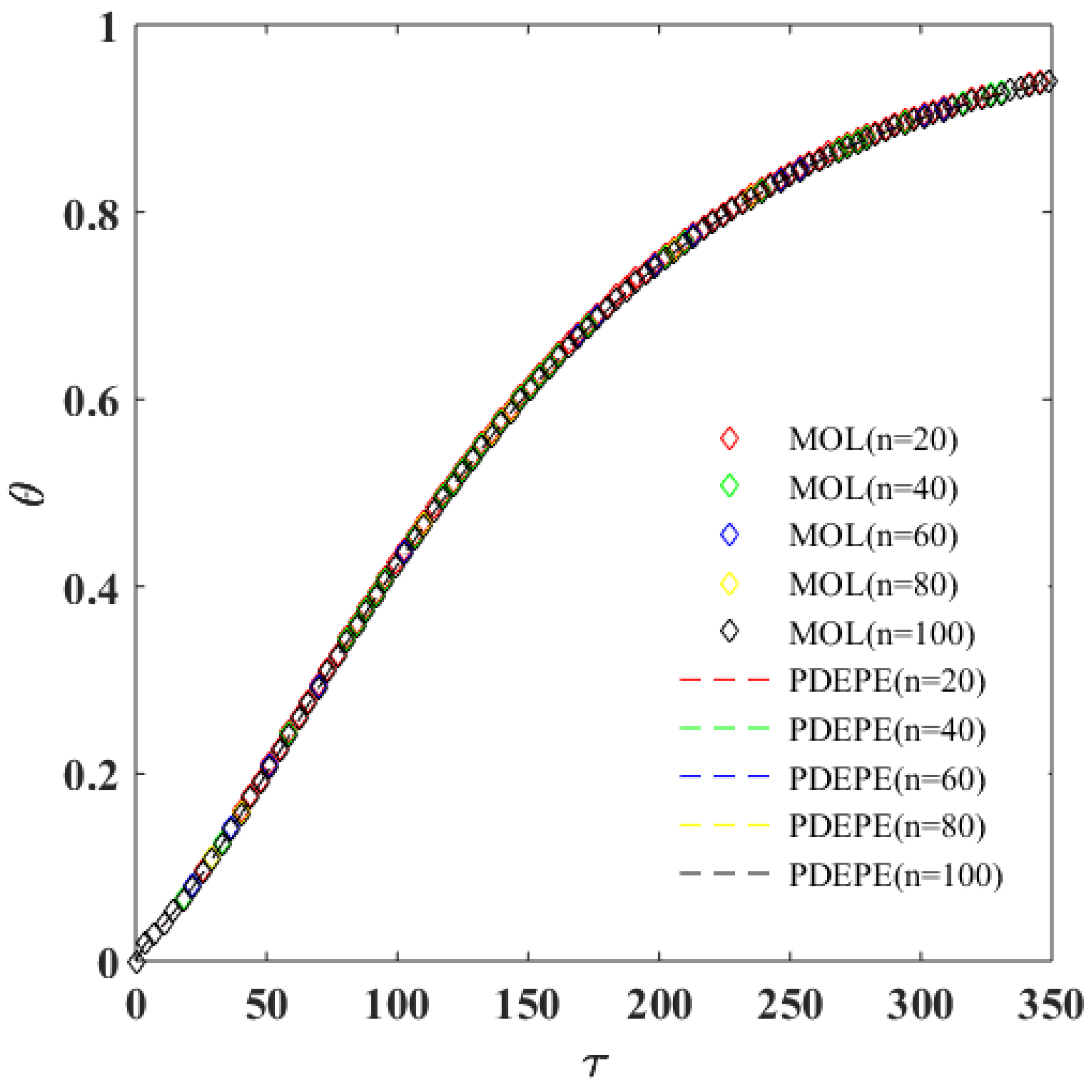
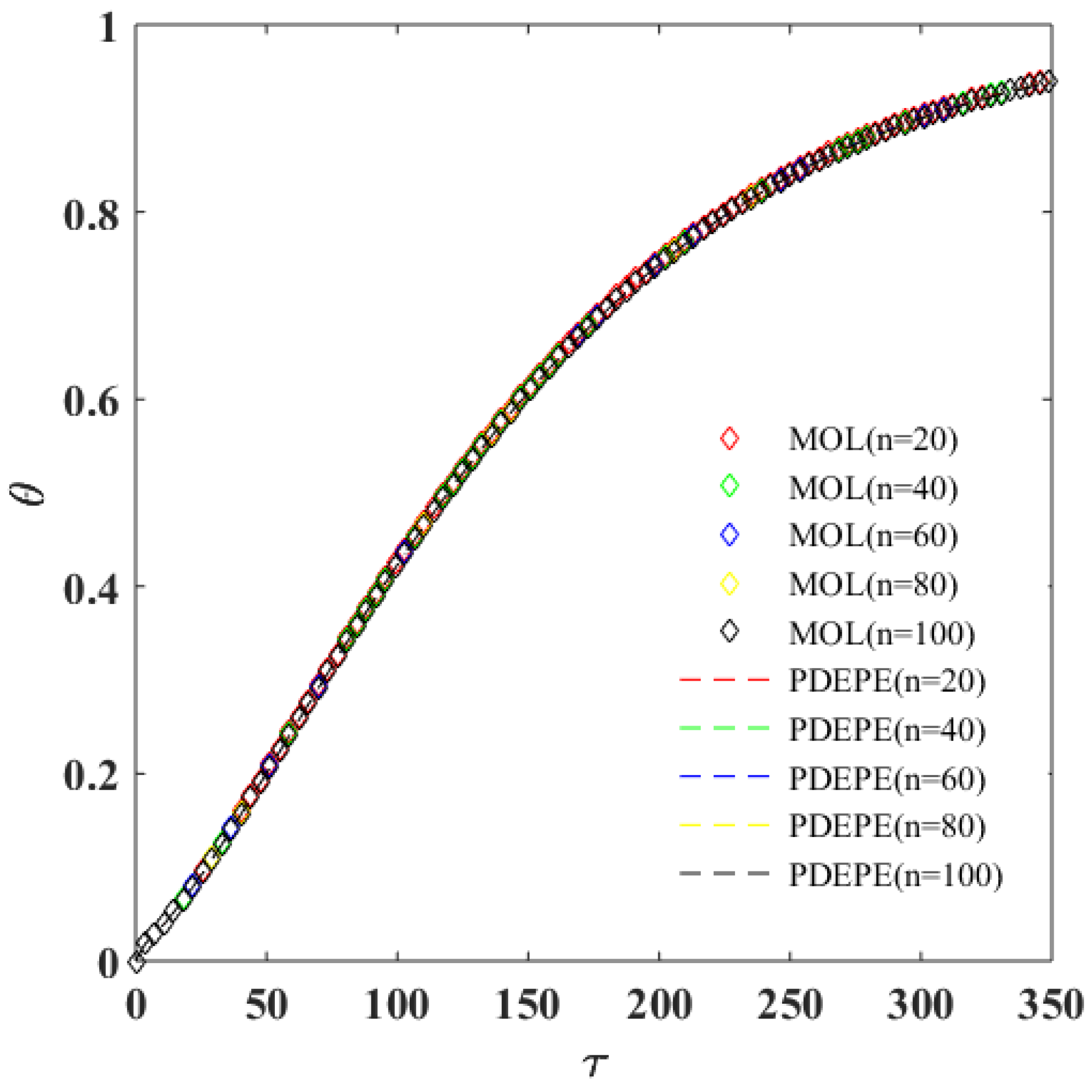
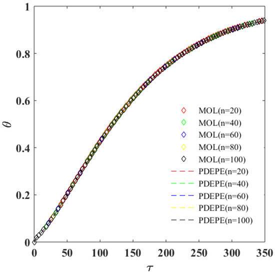
5.1. Verification of the Direct Model Solution
5.2. Sensitivity Analysis
5.3. Estimated Parameters Regarding Data from Ryu et al. (2021) [14]
5.4. Estimated Parameters Regarding Data from Renu et al. (2020) [15]
6. Conclusions
Supplementary Materials
Author Contributions
Funding
Institutional Review Board Statement
Informed Consent Statement
Data Availability Statement
Acknowledgments
Conflicts of Interest
Nomenclature
| C | Concentration, mg/L |
| Ce | Adsorbate concentration in the inlet stream, mg/L |
| Dax | Axial diffusion coefficient, cm2/min |
| DS | Surface diffusion coefficient, cm2/min |
| F | Volumetric flow of the effluent, mL/min |
| kL | Langmuir constant, L/mg |
| kS | Intra-particular mass transfer coefficient, min−1 |
| KL | Langmuir constant, dimensionless |
| Ks | Intra-particular mass transfer coefficient, dimensionless |
| Jij | Sensitivity coefficient, dimensionless |
| L | Bed size, cm |
| U | Interstitial velocity, cm/min |
| Auxiliary random sample of a uniform distribution | |
| Q | Amount adsorbed by the solid phase, mg/g |
| Auxiliary probability density function | |
| qmax | Maximum amount of adsorption, mg/g |
| qS | Equilibrium amount/concentration on the surface, mg/g |
| qr | Reference quantity, mg/g |
| Q | Amount adsorbed by the solid phase, dimensionless |
| Q* | Equilibrium amount/concentration on the surface, dimensionless |
| ma | Mass of adsorbent, g |
| Surface diffusion flow, mg/(min.cm2) | |
| Diffusion flow in the film, mg/(min.cm2) | |
| P | Parameter vector |
| P* | Vector of candidate parameters |
| P(i) | Vector of parameters based on the current state of the chain |
| Pe | Peclet number, dimensionless |
| rp | Radius of the adsorbent particle, cm |
| t | Time, min |
| tS | Saturation time, min |
| tb | Breakthrough time, min |
| tref | Reference time, min |
| Y | Measurement vector |
| z | Spatial coordinate, cm |
| w | Step size |
| Greek Letters | |
| A | Probability of acceptance, dimensionless |
| Bed porosity, dimensionless | |
| Disturbance in the parameter, dimensionless | |
| Bed density, g/L | |
| π | Probability distribution function |
| Time, dimensionless | |
| Concentration, dimensionless | |
| Spatial coordinate, dimensionless | |
| Subscripts | |
| Experimental point index | |
| Parameter index | |
| Reduced-sensitivity coefficient index | |
| Npar | Number of parameters to be estimated |
References
- Ahamad, A.; Raju, N.J.; Madhav, S.; Khan, A.H. Trace elements contamination in groundwater and associated human health risk in the industrial region of southern Sonbhadra, Uttar Pradesh, India. Environ. Geochem. Health 2020, 42, 3373–3391. [Google Scholar] [CrossRef] [PubMed]
- Lingamdinne, L.P.; Koduru, J.R.; Roh, H.; Choi, Y.L.; Chang, Y.Y.; Yang, J.K. Adsorption removal of Co (II) from waste-water using graphene oxide. Hydrometallurgy 2016, 165, 90–96. [Google Scholar] [CrossRef]
- Cechinel, M.A.P.; de Oliveira Guidolin, T.; da Silveira, A.R.; dos Santos Tasca, J.; Montedo, O.R.K.; Arcaro, S. Coal mining pyritic waste in Fenton-like processes: Raw and purified catalysts in Reactive Blue 21 dye discoloration. Sci. Total Environ. 2022, 807, 150823. [Google Scholar] [CrossRef] [PubMed]
- Karunanidhi, D.; Aravinthasamy, P.; Subramani, T.; Chandrajith, R.; Raju, N.J.; Antunes, I.M.H.R. Provincial and seasonal influences on heavy metals in the Noyyal River of South India and their human health hazards. Environ. Res. 2022, 204, 111998. [Google Scholar] [CrossRef] [PubMed]
- Alidadi, H.; Tavakoly Sany, S.B.; Zarif Garaati Oftadeh, B.; Mohamad, T.; Shamszade, H.; Fakhari, M. Health risk assessments of arsenic and toxic heavy metal exposure in drinking water in northeast Iran. Environ. Health Prev. Med. 2019, 24, 59. [Google Scholar] [CrossRef] [PubMed]
- Chen, Y.Y.; Yu, S.H.; Jiang, H.F.; Yao, Q.Z.; Fu, S.Q.; Zhou, G.T. Performance and mechanism of simultaneous removal of Cd (II) and Congo red from aqueous solution by hierarchical vaterite spherulites. Appl. Surf. Sci. 2018, 444, 224–234. [Google Scholar] [CrossRef]
- Hoang, H.G.; Chiang, C.F.; Lin, C.; Wu, C.Y.; Lee, C.W.; Cheruiyot, N.K.; Bui, X.T. Human health risk simulation and assessment of heavy metal contamination in a river affected by industrial activities. Environ. Pollut. 2021, 285, 117414. [Google Scholar] [CrossRef] [PubMed]
- Ida, S.; Eva, T. Removal of heavy metals during primary treatment of municipal wastewater and possibilities of enhanced removal: A review. Water 2021, 13, 1121. [Google Scholar] [CrossRef]
- Ma, H.; Gao, X.; Chen, Y.; Zhu, J.; Liu, T. Fe (II) enhances simultaneous phosphorus removal and denitrification in heterotrophic denitrification by chemical precipitation and stimulating denitrifiers activity. Environ. Pollut. 2021, 287, 117668. [Google Scholar] [CrossRef]
- Zhai, Q.; Lu, H.; Liu, R.; He, D.; Wang, C.; Sun, W. Removal of suspended solids from weathered tungsten-ore beneficiation wastewater by electroneutralization and chemical precipitation. Miner. Eng. 2021, 173, 107167. [Google Scholar] [CrossRef]
- Ma, A.; Abushaikha, A.; Allen, S.J.; McKay, G. Ion exchange homogeneous surface diffusion modelling by binary site resin for the removal of nickel ions from wastewater in fixed beds. Chem. Eng. J. 2019, 358, 1–10. [Google Scholar] [CrossRef]
- Pan, S.; Shen, J.; Deng, Z.; Zhang, X.; Pan, B. Metastable nano-zirconium phosphate inside gel-type ion exchanger for enhanced removal of heavy metals. J. Hazard. Mater. 2022, 423, 127158. [Google Scholar] [CrossRef] [PubMed]
- Xu, M.; Alyasi, H.; Ning, C.; Hui, C.W.; Mackey, H.; McKay, G. Removal of toxic cadmium using a binary site ion-exchange material derived from waste printed circuit boards. J. Chem. Technol. Biotechnol. 2021, 96, 3282–3292. [Google Scholar] [CrossRef]
- Ryu, S.C.; Naidu, G.; Moon, H.; Vigneswaran, S. Continuous and selective copper recovery by multi-modified and granulated SBA-15. Chemosphere 2021, 271, 129820. [Google Scholar] [CrossRef] [PubMed]
- Renu Agarwal, M.; Singh, K.; Gupta, R.; Dohare, R.K. Continuous fixed-bed adsorption of heavy metals using biodegradable adsorbent: Modeling and experimental study. J. Environ. Eng. 2020, 146, 04019110. [Google Scholar] [CrossRef]
- Alshahrani, A.; Alharbi, A.; Alnasser, S.; Almihdar, M.; Alsuhybani, M.; AlOtaibi, B. Enhanced heavy metals removal by a novel carbon nanotubes buckypaper membrane containing a mixture of two biopolymers: Chitosan and i-carrageenan. Sep. Purif. Technol. 2021, 276, 119300. [Google Scholar] [CrossRef]
- Menzel, K.; Barros, L.; Garcia, A.; Ruby-Figueroa, R.; Estay, H. Metal sulfide precipitation coupled with membrane filtration process for recovering copper from acid mine drainage. Sep. Purif. Technol. 2021, 270, 118721. [Google Scholar] [CrossRef]
- Mulungulungu, G.A.; Mao, T.; Han, K. Efficient removal of high-concentration copper ions from wastewater via 2D g-C3N4 photocatalytic membrane filtration. Colloids Surf. A Physicochem. Eng. Asp. 2021, 623, 126714. [Google Scholar] [CrossRef]
- Akin, I.; Arslan, G.; Tor, A.; Cengeloglu, Y.; Ersoz, M. Removal of arsenate [As (V)] and arsenite [As (III)] from water by SWHR and BW-30 reverse osmosis. Desalination 2011, 281, 88–92. [Google Scholar] [CrossRef]
- López, J.; Gibert, O.; Cortina, J.L. Integration of membrane technologies to enhance the sustainability in the treatment of metal-containing acidic liquid wastes. An overview. Sep. Purif. Technol. 2021, 265, 118485. [Google Scholar] [CrossRef]
- Mnif, A.; Bejaoui, I.; Mouelhi, M.; Hamrouni, B. Hexavalent chromium removal from model water and car shock absorber factory effluent by nanofiltration and reverse osmosis membrane. Int. J. Anal. Chem. 2017, 2017, 7415708. [Google Scholar] [CrossRef] [PubMed]
- Yang, L.; Yi, G.; Wang, B.; Shao, P.; Feng, Y.; Liu, Y.; Yu, K.; Liu, F.; Liu, L.; Luo, X.; et al. Atomic H* enhanced electrochemical recovery towards high-value-added metallic Sb from complex mine flotation wastewater. Resour. Conserv. Recycl. 2022, 178, 106020. [Google Scholar] [CrossRef]
- Wołowiec, M.; Komorowska-Kaufman, M.; Pruss, A.; Rzepa, G.; Bajda, T. Removal of heavy metals and metalloids from water using drinking water treatment residuals as adsorbents: A review. Minerals 2019, 9, 487. [Google Scholar] [CrossRef]
- Patel, H. Comparison of batch and fixed bed column adsorption: A critical review. Int. J. Environ. Sci. Technol. 2022, 19, 10409–10426. [Google Scholar] [CrossRef]
- Worch, E. Adsorption Technology in Water Treatment; Gruyter: Berlin, Germany, 2012. [Google Scholar] [CrossRef]
- Inglezakis, V.J.; Fyrillas, M.M.; Park, J. Variable diffusivity homogeneous surface diffusion model and analysis of merits and fallacies of simplified adsorption kinetics equations. J. Hazard. Mater. 2019, 367, 224–245. [Google Scholar] [CrossRef] [PubMed]
- Patel, H. Fixed-bed column adsorption study: A comprehensive review. Appl. Water Sci. 2019, 9, 45. [Google Scholar] [CrossRef]
- Nascimento, R.F.; De Lima, A.C.A.; Vidal, C.B.; Melo, D.d.Q.; Raulino, G.S.C. Adsorção: Aspectos Teóricos e Aplicações Ambientais; Imprensa Universitária da Universidade Federal do Ceará: Fortaleza, Brazil, 2014. [Google Scholar]
- Schwaab, M.; Pinto, J.C. Análise de dados Experimentais I: Fundamentos de Estatística e Estimação de Parâmetros; E-papers: Rio de Janeiro, Brazil, 2007; p. 462. [Google Scholar]
- Ozisik, M.N.; Orlande, H.R.B. Inverse Heat Transfer, 1st ed; Taylor & Francis: New York, NY, USA, 2000. [Google Scholar]
- Glueckauf, E. Theory of chromatography. Part 10. Formulæ for diffusion into spheres and their application to chromatography. Trans. Faraday Soc. 1955, 51, 1540–1551. [Google Scholar] [CrossRef]
- Supian, N.M.; Halif, N.A.; Rusli, N. A Mini-Review of Coupled Convection-Diffusion Equations in a Fixed-Bed Adsorption. IOP Conf. Ser. Mater. Sci. Eng. 2020, 767, 012031. [Google Scholar] [CrossRef]
- Aslam, M.M.A.; Den, W.; Kuo, H.W. Elucidating the mass transfer mechanism of Cr VI adsorption by encapsulated chitosan-carbon nanotubes-iron beads in packed-bed columns. J. Water Process Eng. 2022, 46, 102586. [Google Scholar] [CrossRef]
- Lin, X.; Huang, Q.; Qi, G.; Shi, S.; Xiong, L.; Huang, C.; Chen, X.; Li, H.; Chen, X. Estimation of fixed-bed column parameters and mathematical modeling of breakthrough behaviors for adsorption of levulinic acid from aqueous solution using SY-01 resin. Sep. Purif. Technol. 2017, 174, 222–231. [Google Scholar] [CrossRef]
- Kaipio, J.P.; Somersalo, E. Statistical and Computational Inverse Problems; Applied Mathematical Sciences (Switzerland); Springer: New York, NY, USA, 2005; Volume 160. [Google Scholar] [CrossRef]
- Sharifi, S.; Murthy, S.; Takács, I.; Massoudieh, A. Probabilistic parameter estimation of activated sludge processes using Markov Chain Monte Carlo. Water Res. 2014, 50, 254–266. [Google Scholar] [CrossRef] [PubMed]
- de Moura, C.H.R.; Viegas, B.M.; Tavares, M.R.M.; Macêdo, E.N.; Estumano, D.C. Estimation of Parameters and Selection of Models Applied to Population Balance Dynamics Via Approximate Bayesian Computational. J. Heat Mass Transf. Res. 2022, 9, 53–64. [Google Scholar] [CrossRef]
- Moura, C.H.R.; Viegas, B.M.; Tavares, M.R.M.; Macêdo, E.N.; Estumano, D.C.; Quaresma, J.N.N. Parameter Estimation in Population Balance through Bayesian Technique Markov Chain Monte Carlo. J. Appl. Comput. Mech. 2021, 7, 890–901. [Google Scholar] [CrossRef]
- Tavares, R.S.; Dias, C.C.; Moura, C.H.R.; Rodrigues, E.C.; Viegas, B.M.; Macêdo, E.N.; Estumano, D.C. Parameter Estimation in Mass Balance Model Applied in Fixed Bed Adsorption Using the Markov Chain Monte Carlo Method. J. Heat Mass Transf. Res. 2022, 9, 219–232. [Google Scholar] [CrossRef]
- De Carvalho, R.N.; Guimarães, D.; Leão, V.A.; Dutra, J.; Silva, W.B.D. Estimation of parameters and states using a bayesian particle filter for the sulfate ion adsorption process in a fixed bed column. Braz. J. Chem. Eng. 2019, 36, 1223–1236. [Google Scholar] [CrossRef]
- Ferreira, J.R.; Senna, A.P.; Macêdo, E.N.; Estumano, D.C. Aerobic bioreactors: A Bayesian point of view applied to hydrodynamic characterization and experimental evaluation of tracers. Chem. Eng. Sci. 2023, 277, 118850. [Google Scholar] [CrossRef]
- Orlande, H.R.B. Inverse Heat Transfer: Fundamentals and Applications, 2nd ed.; CRC Press: Boca Raton, FL, USA, 2021. [Google Scholar] [CrossRef]
- Gilks, W.R.; Richardson, S.; Spiegelhalter, D. (Eds.) Markov Chain Monte Carlo in Practice; CRC Press: Boca Raton, FL, USA, 1995. [Google Scholar] [CrossRef]
- Hastings, A.W.K. Monte Carlo Sampling Methods Using Markov Chains and Their Applications Published by: Biometrika Trust Stable. Biometrika 1970, 57, 97–109. [Google Scholar] [CrossRef]
- Mitchell, D.A.; Krieger, N.; Estumano, D.C. Estimation of selectivities in the lipase-catalyzed esterification of trimethylolpropane with fatty acids. Biochem. Eng. J. 2023, 198, 109024. [Google Scholar] [CrossRef]
- Ferreira, J.R.; Sena, A.P.; Coutinho, J.P.D.S.; Estumano, D.C.; Macêdo, E.N. Fluid dynamics characterization of stirred-tank reactors via approximate Bayesian computational (ABC) for parameter estimation and model selection. Numer. Heat Transf. Part A Appl. 2023, 1–18. [Google Scholar] [CrossRef]
- Toffoli De Oliveira, J.; Da Luz Arsufi, A.B.; Cardoso Estumano, D.; Féris, L.A. Bayesian Computational Technique for Modeling Caffeine Adsorption in a Fixed-Bed Column: Use of the Maximum Adsorption Capacity Deterministically and Experimental Design. Ind. Eng. Chem. Res. 2023, 62, 7127–7137. [Google Scholar] [CrossRef]
- Jurado-Davila, I.V.; Schneider, I.A.H.; Estumano, D.; Amaral Féris, L. Phosphate removal using dolomite modified with ultrasound: Mathematical and experimental analysis. J. Environ. Sci. Health Part A 2023, 58, 469–482. [Google Scholar] [CrossRef] [PubMed]
- Nunes, K.G.P.; Davila, I.V.J.; Arnold, D.; Moura, C.H.R.; Estumano, D.C.; Féris, L.A. Kinetics and Thermodynamic Study of Laponite Application in Caffeine Removal by Adsorption. Environ. Process. 2022, 9, 47. [Google Scholar] [CrossRef]
- Nunes, K.G.P.; Dávila, I.V.J.; Amador, I.C.B.; Estumano, D.C.; Féris, L.A. Evaluation of zinc adsorption through batch and continuous scale applying Bayesian technique for estimate parameters and select model. J. Environ. Sci. Health Part A 2021, 56, 1228–1242. [Google Scholar] [CrossRef] [PubMed]
- Metropolis, N.; Rosenbluth, A.W.; Rosenbluth, M.N.; Teller, A.H.; Teller, E. Equation of state calculations by fast computing machines. J. Chem. Phys. 1953, 21, 1087–1092. [Google Scholar] [CrossRef]
- Naveira-Cotta, C.P.; Cotta, R.M.; Orlande, H.R.B. Inverse analysis with integral transformed temperature fields: Identification of thermophysical properties in heterogeneous media. Int. J. Heat Mass Transf. 2011, 54, 1506–1519. [Google Scholar] [CrossRef]
- Renu; Agarwal, M.; Singh, K. Removal of copper, cadmium, and chromium from wastewater by modified wheat bran using Box–Behnken design: Kinetics and isotherm. Sep. Sci. Technol. 2017, 53, 1476–1489. [Google Scholar] [CrossRef]
- Heymann, W.; Glaser, J.; Schlegel, F.; Johnson, W.; Rolandi, P.; von Lieres, E. Advanced error modeling and Bayesian uncertainty quantification in mechanistic liquid chromatography modeling. J. Chromatogr. A 2023, 1708, 464329. [Google Scholar] [CrossRef] [PubMed]
- Heymann, W.; Glaser, J.; Schlegel, F.; Johnson, W.; Rolandi, P.; von Lieres, E. Advanced score system and automated search strategies for parameter estimation in mechanistic chromatography modeling. J. Chromatogr. A 2022, 1661, 462693. [Google Scholar] [CrossRef] [PubMed]
- Danish, M.; Ansari, K.B.; Aftab, R.A.; Danish, M.; Zaidi, S.; Trinh, Q.T. gPROMS-driven modeling and simulation of fixed bed adsorption of heavy metals on a biosorbent: Benchmarking and case study. Environ. Sci. Pollut. Res. 2021, 30, 71511–71526. [Google Scholar] [CrossRef]
- Sperlich, A.; Schimmelpfennig, S.; Baumgarten, B.; Genz, A.; Amy, G.; Worch, E.; Jekel, M. Predicting anion breakthrough in granular ferric hydroxide (GFH) adsorption filters. Water Res. 2008, 42, 2073–2082. [Google Scholar] [CrossRef]
- Xu, Z.; Cai, J.G.; Pan, B.C. Mathematically modeling fixed-bed adsorption in aqueous systems. J. Zhejiang Univ. Sci. A 2013, 14, 155–176. [Google Scholar] [CrossRef]
- Escudero-Oñate, C.; Poch, J.; Villaescusa, I. Adsorption of Cu(II), Ni(II), Pb(II) and Cd(II) from Ternary Mixtures: Modelling Competitive Breakthrough Curves and Assessment of Sensitivity. Environ. Process. 2017, 4, 833–849. [Google Scholar] [CrossRef]
- Piazzoli, A.; Antonelli, M. Application of the Homogeneous Surface Diffusion Model for the prediction of the breakthrough in full-scale GAC filters fed on groundwater. Process Saf. Environ. Prot. 2018, 117, 286–295. [Google Scholar] [CrossRef]
- Worch, E. Fixed-bed adsorption in drinking water treatment: A critical review on models and parameter estimation. J. Water Supply Res. Technol.—AQUA 2008, 57, 171–183. [Google Scholar] [CrossRef]






| 0.5 mmol/L | 248 g/L | ||
|---|---|---|---|
| Diameter of collum | 1 cm | 24 cm2/min | |
| 10 cm | 0.02736 min−1(Cu) 0.01512 min−1 (Mn) 0.02556 min−1 (Ni) 0.0225 min−1 (Zn) | ||
| F | 1 cm3/min | 0.01461 L/mg (Cu) 0.0191 L/mg (Mn) 0.01339 L/mg (Ni) 0.005169 L/mg (Zn) | |
| Ɛ | 0.84 | qmax | 97.4795 mg/g (Cu) 39.2806 mg/g(Mn) 66.5583 mg/g (Ni) 77.4753 mg/g (Zn) |
| (MOL) | (PDEPE) | |||||||||
|---|---|---|---|---|---|---|---|---|---|---|
| n = 20 | n = 40 | n = 60 | n = 80 | n = 100 | n = 20 | n = 40 | n = 60 | n = 80 | n = 100 | |
| = 363.7 | 0.9993 | 0.9993 | 0.9991 | 0.9991 | 0.9988 | 0.9987 | 0.9989 | 0.9989 | 0.9989 | 0.9988 |
| = 180.0 | 0.7892 | 0.7839 | 0.7820 | 0.7813 | 0.7816 | 0.7778 | 0.7777 | 0.7782 | 0.7775 | 0.77808 |
| 100, 300 and 500 mol/L | 651.52 mg/cm3 | ||
|---|---|---|---|
| Diameter of collum | 2.5 cm | 23.1663 cm2/min | |
| 15, 30 and 45 cm | 0.030536 min−1 | ||
| F | 5, 10 and 15 cm3/min | 0.529 L/mg (Cu) 0.078 L/mg (Cr) 0.5778 L/mg (Cd) | |
| ƐB | 0.59 | Diameter of particle | 0.2 cm |
| Parameter | w (Search-Step) | Initial Value | Estimated | |
|---|---|---|---|---|
| Cu | (L/mg) | 0.005 | 0.01461 | 0.009163 [0.008525; 0.009782] |
| (min−1) | 0.008 | 0.02736 | 0.031971 [0.021550; 0.042861] | |
| (cm2/min) | 0.1 | 24 | 22.65535 [20.06766; 25.85996] | |
| Mn | (L/mg) | 0.005 | 0.0191 | 0.010707 [0.009727; 0.011828] |
| (min−1) | 0.008 | 0.01512 | 0.025464 [0.016410; 0.037095] | |
| (cm2/min) | 0.1 | 24 | 24.353081 [21.220490; 28.850910] | |
| Ni | (L/mg) | 0.005 | 0.01339 | 0.009391 [0.008674; 0.010199] |
| (min−1) | 0.008 | 0.02556 | 0.033893 [0.022761; 0.045974] | |
| (cm2/min) | 0.1 | 24 | 23.165294 [20.017246; 27.514774] | |
| Zn | (L/mg) | 0.005 | 0.005169 | 0.009217 [0.008538; 0.009946] |
| (min−1) | 0.008 | 0.0225 | 0.030815 [0.020114; 0.0433] | |
| (cm2/min) | 0.1 | 24 | 22.49183 [19.45121; 26.43147] |
| Metal | R2 |
|---|---|
| Cu | 0.9168 |
| Mn | 0.9277 |
| Ni | 0.9076 |
| Zn | 0.8984 |
| Parameter | w (Search-Step) | Initial Value | Estimated | |
|---|---|---|---|---|
| Cd | (L/mg) | 0.01 | 0.5778 | 0.5489 [0.5478; 0.5500] |
| (min−1) | 0.01 | 0.03053 | 0.0342 [0.0299; 0.0396] | |
| (cm2/min) | 0.005 | 23.1663 | 24.8497 [22.9914; 27.2044] | |
| Cu | (L/mg) | 0.01 | 0.529 | 0.5025 [0.5015; 0.5036] |
| (min−1) | 0.01 | 0.03053 | 0.0256 [0.0225; 0.0293] | |
| (cm2/min) | 0.005 | 23.1663 | 24.3152 [22.3117; 27.2322] | |
| Cr | (L/mg) | 0.01 | 0.078 | 0.0743 [0.0734; 0.0753] |
| (min−1) | 0.01 | 0.03053 | 0.0443 [0.0369; 0.0532] | |
| (cm2/min) | 0.005 | 23.1663 | 24.6374 [22.5018; 27.4753] |
| Metal | R2 (Present Work) | R2 Danish et al. (2021) [56] |
|---|---|---|
| Cd | 0.9950 | 0.8160 |
| Cu | 0.9972 | 0.89930 |
| Cr | 0.9163 | 0.9130 |
| Parameter | Danish et al. (2021) [56] | Renu et al. (2020) [53] | Present Work | |
|---|---|---|---|---|
| Cd | 0.0005778 L/mg | 0.5778 L/mg | 0.5489 L/mg | |
| 0.834 cm2/min | 2.4 cm2/min | 24.8497 cm2/min | ||
| Cu | 0.000529 L/mg | 0.529 L/mg | 0.5025 L/mg | |
| 0.834 cm2/min | 2.4 cm2/min | 24.3152 cm2/min | ||
| Cr | 0.0008 L/mg | 0.078 L/mg | 0.0743 L/mg | |
| 4.182 cm2/min | 2.4 cm2/min | 24.6374 cm2/min |
Disclaimer/Publisher’s Note: The statements, opinions and data contained in all publications are solely those of the individual author(s) and contributor(s) and not of MDPI and/or the editor(s). MDPI and/or the editor(s) disclaim responsibility for any injury to people or property resulting from any ideas, methods, instructions or products referred to in the content. |
© 2024 by the authors. Licensee MDPI, Basel, Switzerland. This article is an open access article distributed under the terms and conditions of the Creative Commons Attribution (CC BY) license (https://creativecommons.org/licenses/by/4.0/).
Share and Cite
Soeiro, W.F.; Moura, C.H.R.; Dias, C.S.; Rodrigues, E.C.; Da Costa, D.S.; Viegas, B.M.; Estumano, D.C. Mathematical Evaluation of Direct and Inverse Problem Applied in Breakthrough Models of Metal Adsorption. Appl. Sci. 2024, 14, 5035. https://doi.org/10.3390/app14125035
Soeiro WF, Moura CHR, Dias CS, Rodrigues EC, Da Costa DS, Viegas BM, Estumano DC. Mathematical Evaluation of Direct and Inverse Problem Applied in Breakthrough Models of Metal Adsorption. Applied Sciences. 2024; 14(12):5035. https://doi.org/10.3390/app14125035
Chicago/Turabian StyleSoeiro, Wilhamis Fonseca, Carlos Henrique Rodrigues Moura, Camila Santana Dias, Emerson Cardoso Rodrigues, Deibson Silva Da Costa, Bruno Marques Viegas, and Diego Cardoso Estumano. 2024. "Mathematical Evaluation of Direct and Inverse Problem Applied in Breakthrough Models of Metal Adsorption" Applied Sciences 14, no. 12: 5035. https://doi.org/10.3390/app14125035
APA StyleSoeiro, W. F., Moura, C. H. R., Dias, C. S., Rodrigues, E. C., Da Costa, D. S., Viegas, B. M., & Estumano, D. C. (2024). Mathematical Evaluation of Direct and Inverse Problem Applied in Breakthrough Models of Metal Adsorption. Applied Sciences, 14(12), 5035. https://doi.org/10.3390/app14125035

