Sensitivity Analysis of Wellbore Mud Pressure towards Anisotropic Shale Properties, Pore Fluid Pressure and Far Field Stresses
Abstract
:1. Introduction
2. Materials and Methods
2.1. Strength Criteria
2.2. Calculation of the Mud Pressure
3. Interpretation of Laboratory Tests on Tournemire Shale
3.1. Determination of the Strength Properties with WPM and HBm
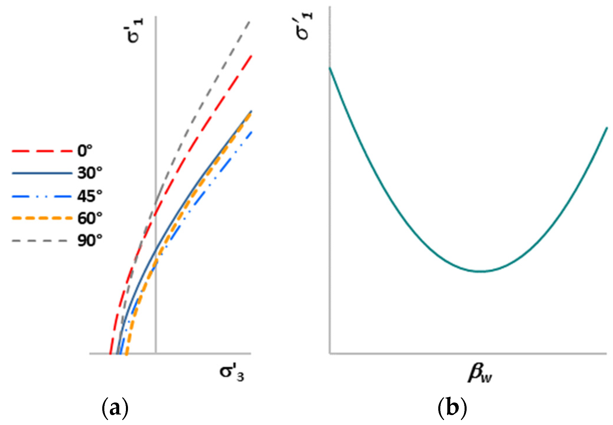
3.2. Variation of the Shale Properties with Wellbore Azimuth
4. Sensitivity Analyses: Results and Discussion
4.1. Synthetic Case Studies
4.2. Comparison between Mud Weight Patterns Calculated with WPM and HBm
4.3. Influence of the Far Field Stresses and Pore Fluid Pressure on Mud Weight Prediction
4.4. Influence of the Frictional Component of Strength on the Mud Weight Prediction
4.5. Comparison of the Results with Other Studies
5. Numerical Modeling of Wellbore Stability with WPM and HBm
6. Pros and Cons of the WPM and HBm: Conclusions
Author Contributions
Funding
Institutional Review Board Statement
Informed Consent Statement
Data Availability Statement
Conflicts of Interest
Nomenclature
| Cohesion of the weakness planes | |
| mβw | Instantaneous constant of HBm |
| pf | Pore fluid pressure |
| pw_MC | Mud pressure calculated with M-C (plateau) |
| pw_slip | Mud pressure calculated with WPM |
| pw_H&Bm | Mud pressure calculated with HBm |
| R = σMAX/σmin | Ratio of the far field stresses |
| S | Induced tangential stress at the wellbore boundary |
| Sz | Induced axial stress at the wellbore boundary |
| βw | Angle between the maximum principal stress and the normal to the weakness plane |
| δ | Inclination of the weakness planes in the wellbore cross section (clockwise from σMAX) |
| δ* | Inclination of the weakness planes in the wellbore cross section (clockwise from σMAX) in the rotated reference system |
| δcrit | Critical inclination for slip |
| Friction angle of the weakness planes | |
| ϕ′ | Friction angle of the rock matrix |
| 𝜗 | Wellbore azimuth |
| σc | Uniaxial compressive strength of the rock matrix |
| σcβw | Instantaneous uniaxial compressive strength (HBm) |
| σz | Far field stress in the direction of the borehole axis (principal stress) |
| σMAX | Maximum far field stress (principal stress) |
| σmin | Minimum in situ stress (principal stress) |
| Effective tangential stress | |
| Effective radial stress | |
| Maximum effective principal stress | |
| Minimum effective principal stress |
References
- Boggs, S. Petrology of Sedimentary Rocks; Cambridge University Press: Cambridge, UK, 2009. [Google Scholar]
- Carey, J.W.; Torsæter, M. Shale and Wellbore Integrity. In Shale: Subsurface Science and Engineering; John Wiley & Sons: Hoboken, NJ, USA, 2019; pp. 145–159. [Google Scholar]
- Steiger, R.P.; Leung, P.K. Quantitative determination of the mechanical properties of shales. SPE Drill. Eng. 1992, 7, 181–185. [Google Scholar] [CrossRef]
- Peter, A.; Yang, D.; Eshiet, K.I.I.I.; Sheng, Y. A Review of the Studies on CO2–Brine–Rock Interaction in Geological Storage Process. Geosciences 2022, 12, 168. [Google Scholar] [CrossRef]
- Benlalam, N.; Serazio, C.; Rocca, V. VEM application to geomechanical simulations of an Italian Adriatic offshore gas storage scenario. GEAM 2022, 165, 41–49. [Google Scholar]
- Benetatos, C.; Rocca, V.; Verga, F.; Adinolfi, L.; Marzano, F. Deformation behavior of a regional shale formation from integrated laboratory and well data analysis: Insights for underground fluid storage in northern Italy. Geoenergy Sci. Eng. 2023, 229, 212109. [Google Scholar] [CrossRef]
- Benetatos, C.; Bocchini, S.; Carpignano, A.; Chiodoni, A.; Cocuzza, M.; Deangeli, C.; Eid, C.; Ferrero, D.; Gerboni, R.; Giglio, G.; et al. How underground systems can contribute to meet the challenges of energy transition. Geam. Geoing. Ambient. E Mineraria 2021, 58, 65–80. [Google Scholar]
- Pašić, B.; Gaurina-Međimurec, N.; Mijić, P.; Medved, I. Experimental research of shale pellet swelling in nano-based drilling muds. Energies 2020, 13, 6246. [Google Scholar] [CrossRef]
- Ambati, V.; Mahadasu, N.B.; Nair, R.R. Reservoir wellbore stability analysis and weak zones identification using the 1d mem, swelling tests and ucs: A case study from mumbai offshore, India. Arab. J. Sci. Eng. 2021, 47, 11101–11123. [Google Scholar] [CrossRef]
- Blkoor, S.O.; Norddin, M.N.A.B.M.; Ismail, I.; Oseh, J.O.; Basaleh, S.S.; Bin Risal, A.R.; Bin Sariman, M.F.; Ngouangna, E.N. Enhancing the stability of shale in water-based fluid with polyethylene glycol/nanosilica composite grafted with sodium dodecyl sulfate. Arab. J. Geosci. 2023, 16, 541. [Google Scholar] [CrossRef]
- Zhang, F.; Liu, H.; Meng, Y.; Cui, S.; Ye, H. Study on Wellbore Stability and Failure Regions of Shale considering the Anisotropy of Wellbore Seepage. Geofluids 2021, 2021, 6694689. [Google Scholar] [CrossRef]
- Ma, T.; Wang, H.; Liu, Y.; Shi, Y.; Ranjith, P.G. Fracture-initiation pressure model of inclined wells in transversely isotropic formation with anisotropic tensile strength. Int. J. Rock Mech. Min. Sci. 2022, 159, 105235. [Google Scholar] [CrossRef]
- Zhang, F.; Liu, H.B.; Cui, S.; Meng, Y.F.; Wang, J.J. Influence of the weakening effect of drilling fluid on wellbore stability in anisotropic shale formation. Front. Phys. 2021, 9, 745075. [Google Scholar] [CrossRef]
- Ding, L.; Wang, Z.; Lv, J.; Wang, Y.; Liu, B. A New Model for Real-Time Prediction of Wellbore Stability Considering Elastic and Strength Anisotropy of Bedding Formation. Energies 2021, 15, 251. [Google Scholar] [CrossRef]
- Shang, X.; Zhang, Z. Elastic-plastic-damaged zones around a deep circular wellbore under non-uniform loading. Symmetry 2020, 12, 323. [Google Scholar] [CrossRef]
- Medved, I.; Gaurina-Međimurec, N.; Pašić, B.; Mijić, P. Green approach in water-based drilling mud design to increase wellbore stability. Appl. Sci. 2022, 12, 5348. [Google Scholar] [CrossRef]
- Mehrabian, A.; Nguyen, V.X.; Abousleiman, Y.N. Wellbore mechanics and stability in shale. In Shale: Subsurface Science and Engineering; John Wiley & Sons: Hoboken, NJ, USA, 2019; pp. 197–212. [Google Scholar]
- Deangeli, C.; Marchelli, M. Combined Effect of Pore Water Overpressure, Far-Field Stresses, and Strength Parameters in Wellbore Stability. Front. Earth Sci. 2022, 10, 860818. [Google Scholar] [CrossRef]
- Basu, S.; Jones, A.; Mahzari, P. Best practices for shale core handling: Transportation, sampling and storage for conduction of analyses. J. Mar. Sci. Eng. 2020, 8, 136. [Google Scholar] [CrossRef]
- Josh, M.; Esteban, L.; Delle Piane, C.; Sarout, J.; Dewhurst, D.N.; Clennell, M.B. Laboratory characterisation of shale properties. J. Pet. Sci. Eng. 2012, 88, 107–124. [Google Scholar] [CrossRef]
- Risnes, R. Deformation and yield in high porosity outcrop chalk. Phys. Chem. Earth Part A Solid Earth Geod. 2001, 26, 53–57. [Google Scholar] [CrossRef]
- Abousleiman, Y.; Tran, M.; Hoang, S.; Bobko, C.; Ortega, A.; Ulm, F.J. Geomechanics field and laboratory characterization of Woodford shale: The next gas play. In SPE Annual Technical Conference and Exhibition? SPE: Calgary, AB, Canada, 2007; p. SPE-110120. [Google Scholar]
- Woehrl, B.; Wessling, S.; Bartetzko, A.; Pei, J.; Renner, J. Comparison of methods to derive rock mechanical properties from formation evaluation logs. In ARMA US Rock Mechanics/Geomechanics Symposium; ARMA: Palo Alto, CA, USA, 2010; p. ARMA-10. [Google Scholar]
- Mandal, P.P.; Essa, I.; Saha, S.; Rezaee, R. Multi-Purpose Utility of Constructing 3D Static Geomechanical Model in the Ichthys Field, Browse Basin. In Proceedings of the Australian Exploration Geoscience Conference AEGC, Brisbane, Australia, 15–20 September 2021. [Google Scholar]
- Chang, C.; Zoback, M.D.; Khaksar, A. Empirical relations between rock strength and physical properties in sedimentary rocks. J. Pet. Sci. Eng. 2006, 51, 223–237. [Google Scholar] [CrossRef]
- Khaksar, A.; Taylor, P.G.; Fang, Z.; Kayes, T.; Salazar, A.; Rahman, K. Rock strength from core and logs, where we stand and ways to go. In SPE Europec featured at EAGE Conference and Exhibition? SPE: Calgary, AB, Canada, 2009; p. SPE-121972. [Google Scholar]
- Zhang, J.J. Applied Petroleum Geomechanics; Gulf Professional Publishing: Cambridge, MA, USA; Imprint of Elsevier: Amsterdam, The Netherlands, 2019. [Google Scholar] [CrossRef]
- Miah, M.I.; Ahmed, S.; Zendehboudi, S.; Butt, S. Machine learning approach to model rock strength: Prediction and variable selection with aid of log data. Rock Mech. Rock Eng. 2020, 53, 4691–4715. [Google Scholar] [CrossRef]
- Shao, Z.; Armaghani, D.J.; Bejarbaneh, B.Y.; Mu’azu, M.A.; Mohamad, E.T. Estimating the friction angle of black shale core specimens with hybrid-ANN approaches. Measurement 2019, 145, 744–755. [Google Scholar] [CrossRef]
- Horsrud, P. Estimating Mechanical Properties of Shale From Empirical Correlations. J. SPE Drill. Complet. 2001, 16, 68–73. [Google Scholar] [CrossRef]
- Van Oort, E. On the physical and chemical stability of shales. J. Pet. Sci. Eng. 2003, 38, 213–235. [Google Scholar] [CrossRef]
- Wasantha, P.L.; Ranjith, P.G. Water-weakening behavior of Hawkesbury sandstone in brittle regime. Eng. Geol. 2014, 178, 91–101. [Google Scholar] [CrossRef]
- Liu, W.; Yang, K.; Zhang, S.; Zhang, Z.; Xu, R. Energy evolution and water immersion-induced weakening in sandstone roof of coal mines. Int. J. Coal Sci. Technol. 2022, 9, 53. [Google Scholar] [CrossRef]
- Jingyuan, M.; Boru, X.; Yuxiu, A. Advanced developments in low-toxic and environmentally friendly shale inhibitor: A review. J. Pet. Sci. Eng. 2022, 208, 109578. [Google Scholar] [CrossRef]
- Valès, F.; Minh, D.N.; Gharbi, H.; Rejeb, A. Experimental study of the influence of the degree of saturation on physical and mechanical properties in Tournemire shale (France). Appl. Clay Sci. 2004, 26, 197–207. [Google Scholar] [CrossRef]
- Asaka, M.; Holt, R.M. Anisotropic wellbore stability analysis: Impact on failure prediction. Rock Mech. Rock Eng. 2021, 54, 583–605. [Google Scholar] [CrossRef]
- Aoki, T.; Tan, C.P.; Bamford, W.E. Effects of deformation and strength anisotropy on borehole failures in saturated shales. Int. J. Rock Mech. Min. Sci. Geomech. Abstr. UK 1993, 30, 7031865. [Google Scholar] [CrossRef]
- Detournay, E.; Atkinson, C. Influence of pore pressure on the drilling response in low-permeability shear-dilatant rocks. Int. J. Rock Mech. Min. Sci. 2000, 37, 1091–1101. [Google Scholar] [CrossRef]
- Tran, N.H.; Do, D.P.; Vu, M.N.; Nguyen, T.T.N.; Pham, D.T.; Trieu, H.T. Combined effect of anisotropy and uncertainty on the safe mud pressure window of horizontal wellbore drilled in anisotropic saturated rock. Int. J. Rock Mech. Min. Sci. 2022, 152, 105061. [Google Scholar] [CrossRef]
- Abdi, H.; Labrie, D.; Nguyen, T.; Barnichon, J.; Su, G.; Evgin, E.; Simon, R.; Fall, M. Laboratory investigation on the mechanical behaviour of Tournemire argillite. Can. Geotech. J. 2015, 52, 268–282. [Google Scholar] [CrossRef]
- Jaeger, J.C. Shear failure of anisotropic rocks. Geol. Mag. 1960, 97, 65–72. [Google Scholar] [CrossRef]
- Hoek, E.; Brown, E.T. Empirical strength criterion for rock masses. J. Geotech. Geoenv. Eng. 1980, 106, 1013–1035. [Google Scholar] [CrossRef]
- Hoek, E.; Brown, E.T. The Hoek–Brown failure criterion and GSI–2018 edition. J. Rock Mech. Geotech. Eng. 2019, 11, 445–463. [Google Scholar] [CrossRef]
- Terzaghi, K. The Shearing Resistance of Saturated Soils and the Angle between the Planes of Shear. First Int. Conf. Soil Mech. Found. Eng. 1936, 1, 54–56. [Google Scholar]
- Detournay, E.; Cheng, A.H.-D. Fundamentals of Poroelasticity. Anal. Des. Methods Pergamon 1993, 5, 113–171. [Google Scholar] [CrossRef]
- Fjaer, E.; Holt, R.M.; Raaen, A.M.; Risnes, R.; Horsrud, P. Petroleum Related Rock Mechanics, 2nd ed.; Elsevier: Oxford, UK, 2008. [Google Scholar]
- Brady, B.; Brown, E. Rock Mechanics for Underground Mining; Kluwer academic Publishers: Dorrecht, The Netherlands; Boston, MA, USA; London, UK, 2004. [Google Scholar]
- Tien, Y.M.; Kuo, M.C.; Juang, C.H. An experimental investigation of the failure mechanism of simulated transversely isotropic rocks. Int. J. Rock Mech. Min. Sci. 2006, 43, 1163–1181. [Google Scholar] [CrossRef]
- Hoek, E.; Brown, E.T. Underground Excavations in Rock; CRC Press: London, UK, 1980; 527p. [Google Scholar] [CrossRef]
- Tien, Y.M.; Kuo, M.C. A failure criterion for transversely isotropic rocks. Int. J. Rock Mech. Min. Sci. 2001, 38, 399–412. [Google Scholar] [CrossRef]
- Colak, K.; Unlu, T. Effect of transverse anisotropy on the Hoek–Brown strength parameter ‘mi’ for intact rocks. Int. J. Rock Mech. Min. Sci. 2004, 41, 1045–1052. [Google Scholar] [CrossRef]
- Deangeli, C.; Omwanghe, O.O. Prediction of mud pressures for the stability of wellbores drilled in transversely isotropic rocks. Energies 2018, 11, 1944. [Google Scholar] [CrossRef]
- Deangeli, C.; Cardu, M.; Martinelli, D. Analysis of the Stability of Openings Excavated in Anisotropic Rocks. In Challenges and Innovations in Geomechanics, Proceedings of the 16th International Conference of IACMAG, Turin, Italy, 30 August–2 September 2022; Lecture Notes in Civil Engineering 126; Springer International Publishing: Berlin/Heidelberg, Germany, 2021; Volume 216, pp. 361–368. [Google Scholar]
- Parkash, D.; Deangeli, C. Wellbore stability analysis in anisotropic shale formations. In Proceedings of the Society of Petroleum Engineers—SPE/PAPG Pakistan Section Annual Technical Symposium and Exhibition 2019, PATS 2019, Islamabad, Pakistan, 18–19 November 2019; p. SPE-201183. [Google Scholar]
- Ma, T.; Wu, B.; Fu, J.; Zhang, Q.; Chen, P. Fracture pressure prediction for layered formations with anisotropic rock strengths. J. Nat. Gas Sci. Eng. 2017, 38, 485–503. [Google Scholar] [CrossRef]
- Ma, T.; Zhang, Q.B.; Chen, P.; Yang, C.; Zhao, J. Fracture pressure model for inclined wells in layered formations with anisotropic rock strengths. J. Pet. Sci. Eng. 2017, 149, 393–408. [Google Scholar] [CrossRef]
- Ma, T.; Peng, N.; Zhu, Z.; Zhang, Q.; Yang, C.; Zhao, J. Brazilian Tensile Strength of Anisotropic Rocks: Review and New Insights. Energies 2018, 11, 304. [Google Scholar] [CrossRef]
- De Gennaro, V.; Amri, R.; Brignoli, M.; Kallel, N.; Wielemaker, E.; El Ayeb, S. Integrated unconventional gas evaluation workflow: From anisotropic geomechanical modelling to completion design. In SPE/EAGE European Unconventional Resources Conference and Exhibition; European Association of Geoscientists & Engineers: Unnik, The Netherlands, 2014; Volume 2014, pp. 1–16. [Google Scholar]
- Deangeli, C. Failure in the tension zone around a circular tunnel excavated in saturated porous rock. Appl. Sci. 2021, 11, 8384. [Google Scholar] [CrossRef]
- Perras, M.A.; Diederichs, M.S. A review of the tensile strength of rock: Concepts and testing. Geotech. Geol. Eng. 2014, 32, 525–546. [Google Scholar] [CrossRef]
- Hoek, E. Practical Rock Engineering; Rocscience Inc.: Toronto, ON, Canada, 2006. [Google Scholar]
- Hoek, E. Estimating Mohr-Coulomb friction and cohesion values from the Hoek-Brown failure criterion. In International Journal of Rock Mechanics and Mining Sciences & Geomechanics Abstracts; Elsevier BV: Amsterdam, The Netherlands, 1990; Volume 27, pp. 227–229. [Google Scholar]
- He, S.; Wang, W.; Zhou, J.; Huang, Z.; Tang, M. A model for analysis of wellbore stability considering the effects of weak bedding planes. J. Nat. Gas Sci. Eng. 2015, 27, 1050–1062. [Google Scholar] [CrossRef]
- Kanfar, M.F.; Chen, Z.; Rahman, S.S. Risk-controlled wellbore stability analysis in anisotropic formations. J. Pet. Sci. Eng. 2015, 134, 214–222. [Google Scholar] [CrossRef]
- Zhang, M.; Fan, X.; Zhang, Q.; Yang, B.; Zhao, P.; Yao, B.; He, L. Influence of multi-planes of weakness on unstable zones near wellbore wall in a fractured formation. J. Nat. Gas Sci. Eng. 2021, 93, 104026. [Google Scholar] [CrossRef]
- Qiu, Y.; Ma, T.; Peng, N.; Liu, Y.; Liu, J.; Ranjith, P.G. Wellbore stability analysis of inclined wells in transversely isotropic formations accounting for hydraulic-mechanical coupling. Geoenergy Sci. Eng. 2023, 224, 211615. [Google Scholar] [CrossRef]
- Fan, X.; Zhang, M.; Zhang, Q.; Zhao, P.; Yao, B.; Lv, D. Wellbore stability and failure regions analysis of shale formation accounting for weak bedding planes in ordos basin. J. Nat. Gas Sci. Eng. 2020, 77, 103258. [Google Scholar] [CrossRef]
- Li, Y.; Weijermars, R. Wellbore stability analysis in transverse isotropic shales with anisotropic failure criteria. J. Pet. Sci. Eng. 2019, 176, 982–993. [Google Scholar] [CrossRef]






















| βw (°) | σcβw (MPa) | mβw (-) |
|---|---|---|
| 0 | 25.97 | 3.90 |
| 30 | 20.09 | 4.69 |
| 45 | 17.40 | 4.39 |
| 60 | 18.12 | 5.60 |
| 90 | 29.60 | 7.16 |
| (°) | (MPa) | |
|---|---|---|
| Weakness planes | 32 | 4.26 |
| Plateau | 33 | 8.37 |
| R = σMAX/σmin | σMAX (MPa) | σmin (MPa) | pf (MPa) |
|---|---|---|---|
| 1.0 | 20 | 20 | 11 |
| 1.0 | 33 | 33 | 11 |
| 1.0 | 33 | 33 | 15 |
| 1.1 | 20 | 22 | 0 |
| 1.1 | 20 | 22 | 8 |
| 1.1 | 20 | 22 | 11 |
| 1.25 | 20 | 25 | 8 |
| 1.25 | 20 | 25 | 11 |
| 1.5 | 20 | 30 | 0 |
| 1.5 | 20 | 30 | 11 |
| 1.5 | 20 | 30 | 15 |
| 1.75 | 20 | 35 | 11 |
| 2.0 | 20 | 40 | 11 |
Disclaimer/Publisher’s Note: The statements, opinions and data contained in all publications are solely those of the individual author(s) and contributor(s) and not of MDPI and/or the editor(s). MDPI and/or the editor(s) disclaim responsibility for any injury to people or property resulting from any ideas, methods, instructions or products referred to in the content. |
© 2023 by the authors. Licensee MDPI, Basel, Switzerland. This article is an open access article distributed under the terms and conditions of the Creative Commons Attribution (CC BY) license (https://creativecommons.org/licenses/by/4.0/).
Share and Cite
Deangeli, C.; Liu, W.; Yang, K. Sensitivity Analysis of Wellbore Mud Pressure towards Anisotropic Shale Properties, Pore Fluid Pressure and Far Field Stresses. Appl. Sci. 2024, 14, 148. https://doi.org/10.3390/app14010148
Deangeli C, Liu W, Yang K. Sensitivity Analysis of Wellbore Mud Pressure towards Anisotropic Shale Properties, Pore Fluid Pressure and Far Field Stresses. Applied Sciences. 2024; 14(1):148. https://doi.org/10.3390/app14010148
Chicago/Turabian StyleDeangeli, Chiara, Wenjie Liu, and Ke Yang. 2024. "Sensitivity Analysis of Wellbore Mud Pressure towards Anisotropic Shale Properties, Pore Fluid Pressure and Far Field Stresses" Applied Sciences 14, no. 1: 148. https://doi.org/10.3390/app14010148
APA StyleDeangeli, C., Liu, W., & Yang, K. (2024). Sensitivity Analysis of Wellbore Mud Pressure towards Anisotropic Shale Properties, Pore Fluid Pressure and Far Field Stresses. Applied Sciences, 14(1), 148. https://doi.org/10.3390/app14010148

