Next Article in Journal
Psychophysical State Aspect during UAV Operations
Next Article in Special Issue
Construction and Application of Safety Management Scenarios at Construction Sites
Previous Article in Journal
Sensitivity Analysis of Wellbore Mud Pressure towards Anisotropic Shale Properties, Pore Fluid Pressure and Far Field Stresses
Previous Article in Special Issue
Evacuation Simulation under Threat of Wildfire—An Overview of Research, Development, and Knowledge Gaps
 
 
Font Type:
Arial Georgia Verdana
Font Size:
Aa Aa Aa
Line Spacing:
Column Width:
Background:
Article

Influence of Internal Pressure on Hollow Section Steel Members in Fire

Department of Civil Engineering and Architecture, Tallinn University of Technology, Ehitajate Tee 5, 19086 Tallinn, Estonia
*
Author to whom correspondence should be addressed.
Appl. Sci. 2024, 14(1), 149; https://doi.org/10.3390/app14010149
Submission received: 25 November 2023 / Revised: 15 December 2023 / Accepted: 19 December 2023 / Published: 23 December 2023
(This article belongs to the Special Issue New Challenges in Civil Structure for Fire Response Volume II)

Abstract

:
Structural steel hollow section members are extensively utilized in civil engineering due to their excellent mechanical performance, favourable geometry for corrosion protection, and aesthetic appeal. Degradation in material properties of steel and thermal expansion at high temperatures must be regarded in designs for fire situations. The closed inner space of hollow sections presents challenges at elevated temperatures. The present study examines the effect of expanding air on the stress state in section walls of hermetically sealed circular and rectangular hollow sections. The effect of the gas pressure is calculated analytically and numerically. The pressure of the expanding air may substantially reduce the capacity of a tubular member. The influence on resistance depends on temperature, volume of the air in the tubular member, and geometry of the hollow section. The results of the study indicate that rectangular hollow sections with relatively large width-to-thickness ratios are more sensitive to internal pressure than circular hollow sections. The temperature range where the adverse effect of internal pressure occurs can include realistic critical temperatures in practical design and therefore deserve special attention to ensure the required safety.

1. Introduction

Structural steel hollow section members are extensively utilized in civil engineering due to their numerous advantages, such as their lightweight nature, excellent mechanical performance, favourable geometry for corrosion protection, and aesthetic appeal. Various shapes of hollow sections, including rectangular (RHS), circular (CHS), and elliptical, are produced from different types of steel materials, including carbon, high-strength, and stainless steel, which have a significant impact on their mechanical behaviour. Steel is a material that is sensitive to environmental temperature changes, leading to degradation in material properties and thermal expansion of steel structures at high temperatures. Consequently, steel structure members may experience a loss of stiffness and strength. In recent years, extensive research has been conducted to investigate the mechanical performance of steel structures in fire conditions, with a particular focus on the behaviour of structural hollow sections. Hollow sections can be used in isolated members, such as beams and columns, as well as structural systems with numerous members combined. Tubular geometric configuration makes hollow sections especially efficient for compression members where buckling capacity is decisive. Research studies have addressed the performance of hollow sections made of different types of steel materials in fires. Design rules for carbon steel have been well established and formulated in EN 1993-1-2 [1]. Couto et al. [2] compared design methodologies of rectangular hollow sections and square hollow sections (SHS) at elevated temperatures. In several works [3,4,5,6,7] the buckling of steel hollow section columns at fire temperatures was studied numerically. Rodrigues and Laim [8] experimentally compared stainless steel vs. carbon steel restrained tubular columns in fire tests and assessed the applicability of EN 1993-1-2. Hollow sections are widely used in various truss structures, in both 2D and 3D systems. The procedure for truss design involves checking of members and joints. As the material properties change, the interaction of joint and member behaviour at elevated temperatures is a complicated process. The mechanical behaviour of tubular joints, such as T-joints and K-joints of CHS, RHS, and SHS, has been extensively studied in recent years [9,10,11,12,13,14,15,16]. However, there are only a few works that study trusses regarding the interaction of several members and joints. In [17], the results of the numerical parametric study of a welded steel tubular truss indicate that due to the truss undergoing large displacements at elevated temperatures, some truss members experience a large increase in member forces. An analytical method to calculate increases in truss compressive brace member forces has been proposed and validated. In [18,19], as a result of the experimental study of a full-scale CHS truss, the failure modes were clarified.
The presented references demonstrate that the effects of elevated temperatures on the residual material properties and resistance of various structural components and joints of tubular sections have been thoroughly studied. However, the closed inner space of hollow sections presents challenges at elevated temperatures, as the expansion of air may produce internal pressure. Corrosion protection is of utmost importance for exposed steel structures. Special attention needs to be given to the inner surface of hollow sections since it cannot be easily inspected and treated. In trusses and columns, which are common structural elements, the hollow sections are usually required to be hermetically sealed by welding to prevent air humidity leakage. Galvanization is employed for structures that require a higher level of corrosion protection. It is essential to follow the guidelines of galvanization, which specify that sealed hollow sections must have venting holes for safety reasons, allowing the escape of air [20]. Otherwise, at elevated temperatures, the volume of air including vapor expands and may cause damage or even explosion of the closed space. Additionally, the multipurpose venting holes facilitate drainage of the liquid zinc to ensure uniform treatment of the inner surface. A specific case concerning the internal pressure is that of a concrete-filled hollow section, commonly used as columns in composite structures. Design standards mandate the inclusion of venting holes near both ends of a column to prevent the column from bursting due to steam pressure generated by the boiling of water within the concrete in the event of a fire.
Based on the review of research reports, it is concluded that while the effect of internal pressure at elevated temperatures has not been completely overlooked, it has not been extensively addressed in some of the most common applications of tubular structures like columns and trusses. The present study aims to evaluate the potential effect of the internal pressure on the performance of hermetically sealed tubular members in fire.

2. Case Study

A fire broke out on 23 May 2023, in Tallinn, Estonia. The fire originated in the open-air storage area of a waste plant and quickly escalated. Within a few hours, it had spread to the storage facility of a nearby manufacturer of packaging products and packing machinery. This incident had a significant impact on the entire city of Tallinn. This facility, constructed in 2021, is relatively new; one of the authors of this publication has consulted the fire resistance issues of the design. The structural design of the storage facility follows a common regional approach and can be summarized as follows:
-
Reinforced concrete columns (height ~12.0 m);
-
Steel trusses (span 24.0 m) support the lightweight roof;
-
Sandwich panels were used for the exterior walls;
-
The total area of the storage is ~11,000 m2.
The fire did not extend further into the building, despite the high fire load density inside the storage, reaching up to 10,000 MJ/m2. This suggests that the structure and its associated systems exhibited better resistance than originally designed for. The seriously damaged area of the facility was around 1000 m2.
A view of the IFC model of the main steel truss as designed is presented in Figure 1. The steel trusses were composed of cold-formed square hollow sections. The upper profile of the truss was originally designed as a CFSHS 300 × 300 × 8 section. The damaged structure offered an unexpected sight. In Figure 2, photos of the collapsed main trusses are shown. It is evident that the shape of the upper chord cross section transformed from original square to an elliptical form. Similar deformations were noticed in many other tubular members of several trusses. No evidence of steel profile fractures or weld failures was observed.
The cause of this deformation most obviously was the increase in internal pressure as the temperature of the gas confined within the profile rose. This paper addresses theoretically the possible effects of the internal pressure on the load-carrying capacity of steel hollow section profiles.

3. Gas Pressure Inside the Steel Hollow Profiles

The issue of internal pressure in tubular members can be approached similarly to that of pressure vessels. The pressure inside the vessel caused by the expanding gas is based on the fundamental ideal gas, Equation (1), where P is the pressure, V is the volume of the space occupied by the gas, T is the temperature of the gas, n is the number of moles (fundamental unit in chemistry), and R is the ideal gas constant.
P V = n R T
It is assumed that the gas is the same in different temperature conditions. The change in the state of the gas can be estimated using the well-known Equation (2), where P0, V0, and θ0 are the pressure, volume, and temperature in the initial state (in our case, initial inner volume of the profile at normal temperature and atmospheric pressure), and P1, V1, and θ are the pressure, volume, and temperature in the modified state (in our case, the event of fire). In order to obtain the overpressure ΔP, Equation (2) can be modified into Equation (3).
P 0 V 0 θ 0 = P 1 V 1 θ
P = P 0 V 0 θ 0 θ V 1 P 0
The ideal gas law is a good approximation of the real gas behaviour in case that the working temperature is higher than to the critical value θcr, while working pressure is lower compared to the critical value Pcr. The thermodynamic behaviour of air is considered close to the ideal gas [21]. Critical parameter values of air are as follows: θcr = −140 °C; Pcr = 3.8 MPa. The working temperature in the case of fire is obviously above −140 °C. As will be shown further, the practical range of the internal pressure is below 0.4 MPa. Ideal gas is often used in models related to the dynamics of fire [22,23]. The validity of the ideal gas law is therefore assumed.
The increase in temperature within the enclosed section is primarily the result of the elevation in external temperatures. This, in turn, causes the temperature of the steel material to rise, consequently leading to an increase in the temperature of the trapped gas within the tubular steel member. The time lag between the temperature of the steel profile and the internal gas is negligible [24]. The primary factor contributing to the increase in overpressure ΔP is linked to the rise in gas temperature θ partially counterbalanced by the expansion of volume V1. The change in volume from V0 to V1 is caused by two main factors: thermal expansion of the steel and mechanical deformation under so-called hoop stresses. For simplicity, at first the focus is on circular hollow sections, as shown in Figure 3. On the left, a tubular cross section is in the initial state. On the right, the same section is presented under changed conditions: the temperature of both the steel and the gas inside the inner space of the section has increased; because of the internal pressure, hoop stresses have been activated, causing axial stresses and strains (εs) inside the steel material. The increase in temperature of the steel leads to the development of thermal strains (εth) in the steel section. Mechanical and thermal strains induce changes in the inner volume up to V1, which partially compensates for the increase in the inner pressure. The following notation is used: D0 is the initial external diameter of the tubular cross section; D1 is the external diameter of the deformed tubular cross section; t is the thickness of the wall of the tubular section; and L0 is the length of the centreline of the tubular cross section, calculated as follows:
L 0 = π D 0 t
In the case of a circular hollow section, the hoop stresses σH can be calculated using the established theory as:
σ H = D 1 2 t Δ P
Mechanical strain εs can be calculated using an available material model. In this paper, a material model from Eurocode [1] is used. A stress–strain diagram for the steel class S355 is presented in Figure 4. The strain εs can be calculated from the hoop stresses σH using the reversed standard procedure. In case of the material model from EN 1993-1-2 [1], the procedure is as follows [25]: in the case that hoop stresses are lower than the temperature-adjusted proportionality limit stress (fp.θ), the strain can be easily calculated using Equation (6); in the opposite case, the strains must be calculated using Equation (7).
ε s = σ H E a . θ
ε s = ε y . θ a 1 1 a 2 σ H + c f p . θ 2
In Equations (6) and (7), εy.θ is the yield strain at temperature θ; a and c are the parameters of the EN 1993-1-2 [1] material model; and Ea.θ is the temperature-adjusted value of the deformation modulus. The model for thermal elongation is also adopted from EN 1993-1-2 [1], as described in Equation (8).
θ < 750   :   ε t h = 1.2 10 5 θ + 0.4 10 8 θ 2 2.616 10 4 750     θ < 860   :   ε t h = 1.1 10 2 860     θ < 1200   :     ε t h = 2 10 5 θ 6.2 10 3
In the case that εs and εth are defined, the length L1 of the centreline of the profile can be calculated using Equation (9), and the increased volume of the internal space of the circular section can be easily calculated.
L 1 = L 0 ( 1 + ε s + ε t h )
It is evident that the process is non-linear: the growth of the overpressure partially depends on the mechanical deformation, which itself is a function of overpressure. The mechanical and thermal response models are non-linear functions of temperature.
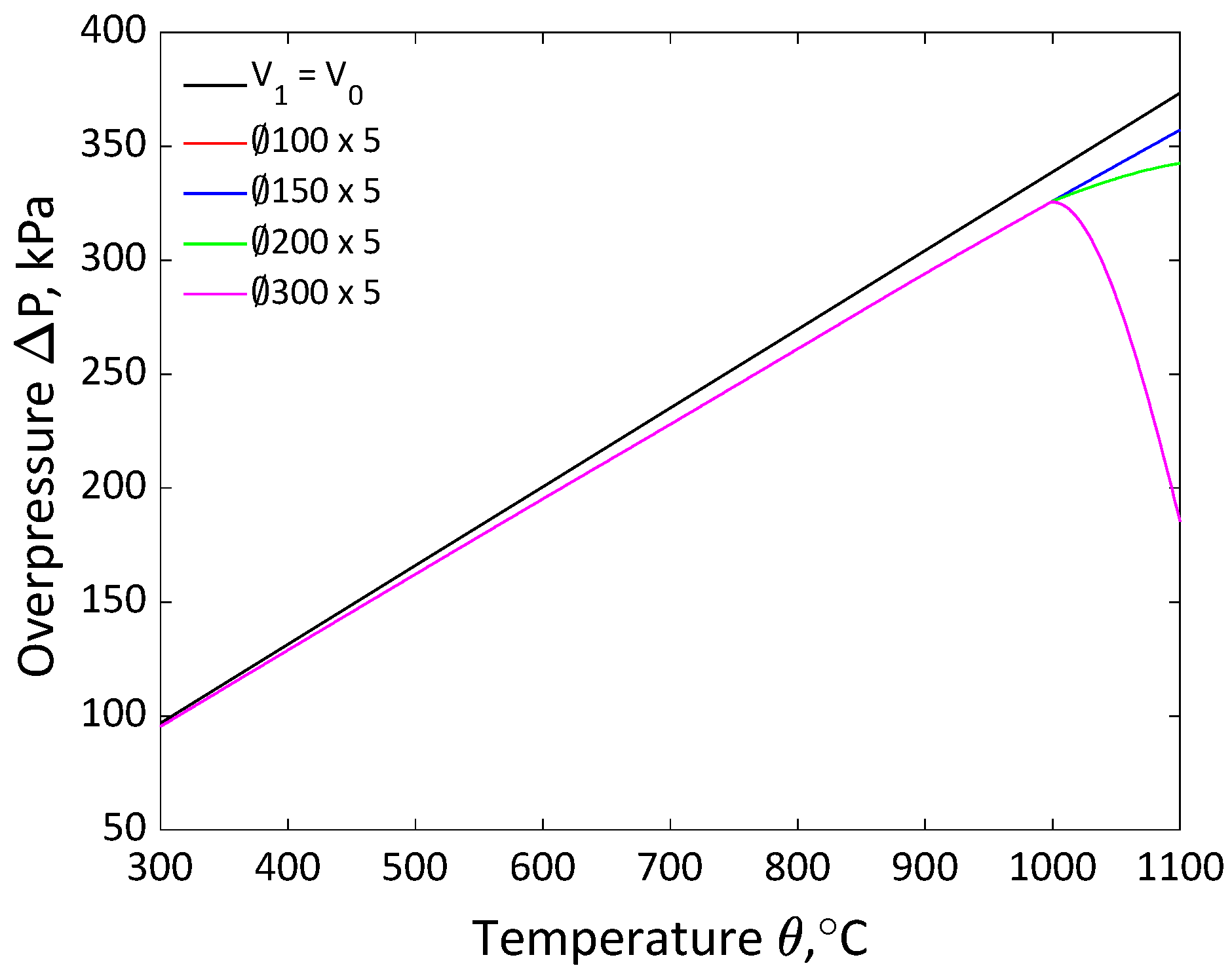
The dependence of the overpressure on the temperature and the impact of the section deformation on the compensation of the overpressure are presented in Figure 5. In Figure 6, the hoop stresses are reported in relation to the yield limit stress fy.θ, and in Figure 7, hoop stresses are reported in relation to the proportionality limit stress fp.θ. In Figure 5, the increase in overpressure for conditions where the volume has not changed (i.e., no deformation of the steel material takes place, V0 = V1) is represented by the black line. Lines of other colours represent the pressure growth inside various circular hollow sections. It is evident that the influence of steel material deformation on the overpressure remains quite moderate up to temperatures around 1000 °C, especially in the practical temperature range of 350 °C to 850 °C, where the overpressure is lower by 1.7% to 3.2% compared to that in the case of V0 = V1 (black line). The drop in overpressure for the Ø300 × 5 profile in Figure 5 at around 1000 °C is explained by the patterns of the hoop stresses shown in Figure 6 and Figure 7. For sections of larger diameter, the hoop stresses reach the proportionality limit stress faster than for tubes of smaller diameter. For the Ø300 × 5 section at temperature 1000 °C, the hoop stresses start to approach the yield limit stress, which, according to the material model, implies a very large mechanical strain εs.
This work will further focus on rectangular hollow sections, widely used as a standard solution for roof trusses. Based on the results reported so far, the following assumption is made: the internal pressure is not influenced by the deformation of the steel material.
In the following, the influence of internal pressure on the axial capacity of hollow section members will be addressed.

4. Influence of Internal Gas Pressure on the Capacity of Hollow Section Members

It is quite easy to analyze the impact of the inner pressure on the stress state of circular profiles using well-established hoop-stress theory. As shown in Figure 6, the hoop stress in circular sections remains relatively moderate up to the gas temperature value of 850 °C (σH/fy.θ ≈ 0.2). The stress state caused by internal pressure is quite different for square or rectangular hollow sections, as is demonstrated in Figure 8.
In the case of a circular section, the internal pressure causes only axial tension force in the section wall. In rectangular sections, the internal pressure also produces a bending moment (green line). In Figure 8, Li is the length of the straight segment of the section (the distance between the rounded corners). It is possible to estimate the value of the bending moment using the classical equation for a beam with fixed ends:
M m a x = P L i 2 12
Equation (10) gives a good estimation if linear material behaviour is assumed. Bending moment values in the middle of the straight segment (“span”) and on the edge of the straight segment (“support”) are absolute values equal to those calculated using Equation (10). The internal pressure causes tensile stresses in the outer fibres in the middle of the straight segment and on the inner fibres of the rounded corners. In order to compare the maximum stresses for the SHS and CHS sections of the same dimension D and thickness t, diagrams in Figure 9 are presented. The term “hoop stresses” will be conditionally used here analogous to CHS for the normal stresses caused by internal pressure in the walls of the SHS. Hoop stresses in the wall are normal stresses orthogonal to the longitudinal bending or axial stresses of the SHS member. The maximum hoop stresses for a CHS (red line) and an SHS section with the same dimension and thickness (blue line) are compared. The linear material model is adopted. The value of internal pressure ΔP = 200 kPa is used, and the thickness is t = 6 mm (the choice of ΔP and t is trivial for this purpose, as it just scales the maximum stress values). It is evident that the influence of the internal pressure on the value of maximum hoop stresses is much more intense for the SHS than for CHS sections, and the growth of the section dimensions intensifies the influence. The same conclusion can be reached for the RHS sections.
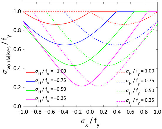
In the standard design procedure, the analysis is focused on normal longitudinal stresses from axial force, bending, and shear stresses. The value of hoop stresses is relatively low and is ignored, especially when the design is performed according to the theory of beams. The Von–Mises yield criterion is often used for steel structures in a multidimensional stress state. Longitudinal normal stresses from the main action (axial force and bending moment) are denoted as σx, and the orthogonal normal stresses are represented by the hoop stresses σH. Ignoring shear stresses, the principal plane stress criterion (σvonMises) is formulated as Equation (11).
σ v o n M i s e s = σ x 2 + σ H 2 σ x σ H
The interdependence between the σvonMises, σx, and σH is presented in Figure 10, where stresses are normalized to yield limit stress fy.
In that case that both σx and σH are of the same sign (both correspond to tension or compression), hoop stresses will delay the approach of the plastic state. For example, if σx = 1.00 fy and σH = 0.50 fy, then σvonMises = 0.90 fy. If σx and σH have the opposite sign, the situation is reversed—hoop stresses will intensify the approach of the plastic state. For example, if σx = 0.40 fy and σH = −0.75fy, then σvonMises = 1.00 fy. In the case of SHS, hoop stresses mainly result from the bending moment, which means that hoop stresses vary across the thickness from compression to tension. Consequently, no positive effect should be expected from the hoop stresses on the overall capacity of the SHS and RHS. A certain positive impact can appear for the CHS in tension.
The influence of the internal pressure on the axial capacity of the SHS and RHS in fire conditions was investigated using non-linear FEM simulations. Considering the above, it is expected that internal pressure will have a notable negative impact on both the compression and the tensile axial resistance of the section. It is assumed that the bending capacity should show tendencies similar to compression and tension capacities.
Simulations were performed using ANSYS 2023 R1 software implementing the “SHELL181” finite element types. The geometry of the model was rather simple, as shown in Figure 11a.
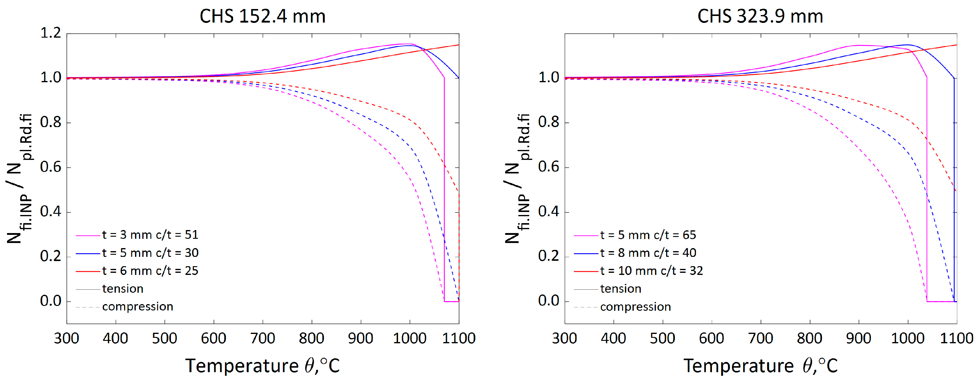
Steel S355 was applied for the analysis. The material model from EN 1993-1-2 [1] was used as described above (Figure 4, Equation (8)). Calculations were performed for the set of cold-formed hollow sections [26] presented in Table 1, characterizing the practical range of profiles used in construction.
Simulations were performed in two stages as follows. At first, the case with no axial load was analyzed: the temperature and the corresponding internal pressure were simultaneously elevated in accordance with Equation (3) until the limit state due to plasticization was reached. The achieved maximum temperature and implicitly the corresponding internal pressure was registered and denoted as θmax. For the second stage, 300 °C was chosen as the initial temperature, because from 300 °C upwards, the yield strength of steel starts to degrade. The temperature was increased in steps up to θmax, obtained in the first stage. For each temperature value θi, the internal pressure was generated in accordance with Equation (3), and then axial force was applied and increased until the limit state due to plasticization was reached. For each temperature value θi, two cases, compressive and tensile axial force, were simulated. The maximum values of the tensive and compressive axial force achieved at every temperature θi were denoted as Nfi.INP. For relatively low internal pressure values and corresponding lower temperature values, the axial force value Nfi.INP was limited by the axial plastic capacity of a section Npl.rd.fi, which was calculated according to the model from EN 1993-1-2 [1] using Equation (12), where A is the cross-sectional area and fy.θ is the temperature-adjusted yield limit stress. It was expected, for higher temperature/internal pressure values, that Npl.rd.fi would diverge from Npl.rd.fi. The procedure was repeated for all the sections from Table 1. An example of a simulated deformed shape is presented in Figure 11b.
N p l . r d . f i = f y . θ A
In Figure 12 and Figure 13, the limit axial load Nfi.INP related to the capacity of a section Npl.rd.fi is presented. The value of the corresponding internal pressure is determined by the temperature value θ and can be calculated using Equation (3). For every section, the c/t value is shown, which is related to the cross-section classification procedure from EN 1993-1-1 [27] using the notation from the standard. The vertical drop in the diagram represents a point where the capacity of an element is reached due to the internal pressure only, i.e., without any remaining resistance to axial load. The drop is quite alarming regarding the disappearance of the resistance to design loads. The impact of the internal pressure on the axial capacity of CHS and SHS/RHS is quite different. The temperature at which the limit state is reached due to internal pressure only, θmax, is in general considerably higher for CHS than for SHS/RHS profiles: θmax is above 1000 °C for all analyzed CHS profiles, while for SHS/RHS profiles, θmax is in the range between 580 °C and 1100 °C. For CHS profiles, the internal pressure increases tensile capacity, which is in line with the analysis SHS/RHS profiles, where internal pressure has a negative impact on both tensile and compression capacities. This was also predicted above and is explained by the bending moment emerging in components of SHS/RHS sections due to the internal pressure, while in CHS sections, the internal pressure produces only tensive force in the section wall. For SHS and RHS sections, the reduction in compressive axial capacity is more intense than that in the tensile capacity. Degradation is more intense for the SHS/RHS sections with larger c/t values, while response of CHS sections is quite similar for both analyzed diameters.

5. Conclusions

The study demonstrated that internal pressure caused by elevated temperature can in certain conditions significantly diminish the axial capacity of hermetically sealed hollow section members. Influence of the internal pressure on fire resistance of a particular hollow section member depends on temperature and geometrical parameters of the section. For RHS, the width-to-thickness ratio c/t is in good correlation with the sensitivity of a section to the internal pressure. For sections with larger c/t ratios, the loss of capacity emerges at lower temperature values. Regarding selection from the practical range of structural RHS sections, the temperature causing total loss of resistance without any remaining capacity for axial tension or compression may be as low as 580 °C, with ~40% of all the analyzed cases failing in the temperature range from 580 °C to 750 °C. This temperature range deserves special attention, as it overlaps with a certain range of critical temperatures occurring in practical design.
Assumed reasons why this phenomenon has not so far drawn attention in reported research reports may be the following: (a) the hollow sections in the tests are not always sealed hermetically; (b) the temperature in the particular test or critical temperature in the analysis did not develop up to the limit where the internal pressure might dominate the performance; or (c) the limit state is governed by a complex stress state, where the impact of the internal pressure is not differentiable.
The present analysis focused solely on axial capacity, as it was conducted within the linear geometrical domain, neglecting local buckling effects in the compression state.
Several issues require further consideration regarding the possible internal pressure effect in fire conditions:
-
The influence of internal pressure on the buckling capacity of compressed elements;
-
Local buckling and the capacity of sections belonging to class 4;
-
Evaluation of hoop stresses in the rounded corners of cold-formed RHS and SHS sections;
-
Assessing the capacity of welded joints in the RHS and SHS sections;
-
Examination of welded hollow sections and stress levels in the welds.
From a practical perspective, one possible solution for the negative impact of internal pressure in tubular members might be relatively straightforward. Ventilation holes should be incorporated into the elements vulnerable to capacity reduction due to internal pressure. These holes should remain sealed during normal structural operation to provide corrosion protection and should activate only when a certain threshold of inner pressure is reached.

Author Contributions

Conceptualization, A.K. and I.T.; methodology, A.K. and I.T.; formal analysis, A.K.; investigation, A.K. and I.T.; writing—original draft preparation, A.K.; writing—review and editing, A.K. and I.T. All authors have read and agreed to the published version of the manuscript.

Funding

This research received no external funding.

Data Availability Statement

Data are contained within the article.

Conflicts of Interest

The authors declare no conflict of interest.

References

  1. EN1993-1-2; Design of Steel Structures: General Rules, Structural Fire Design. European Committee for Standardization: Brussels, Belgium, 2005.
  2. Couto, C.; Coderre, T.; Vila Real, P.M.M.; Boissonnade, N. Cross-section capacity of RHS and SHS at elevated temperatures: Comparison of design methodologies. Structures 2021, 34, 198–214. [Google Scholar] [CrossRef]
  3. Lopes, N.; Manuel, M.; Sousa, A.R.; Vila Real, P.M.M. Parametric study on austenitic stainless steel beam-columns with hollow sections under fire. J. Constr. Steel Res. 2019, 152, 274–283. [Google Scholar] [CrossRef]
  4. Arrais, F.A.M.; Lopes, N.; Vila Real, P.M.M. Fire resistance of stainless steel slender elliptical hollow section beam-columns. J. Struct. Fire Eng. 2022, 13, 224–248. [Google Scholar] [CrossRef]
  5. Mohammed, A.; Afshan, S. Numerical modelling and fire design of stainless steel hollow section columns. Thin-Walled Struct. 2019, 144, 106243. [Google Scholar] [CrossRef]
  6. Kervalishvili, A.; Talvik, I. Alternative approach to buckling of square hollow section steel columns in fire. J. Constr. Steel Res. 2014, 96, 140–150. [Google Scholar] [CrossRef]
  7. Fang, H.; Chan, T.M. Behaviour and design of cold-formed normal- and high-strength steel SHS and RHS columns at elevated temperatures. Thin-Walled Struct. 2022, 180, 109947. [Google Scholar] [CrossRef]
  8. Rodrigues, J.P.C.; Laim, L. Comparing fire behaviour of restrained hollow stainless steel with carbon steel columns. J. Constr. Steel Res. 2019, 153, 449–458. [Google Scholar] [CrossRef]
  9. Feng, R.; Young, B. Design of cold-formed stainless steel tubular joints at elevated temperatures. Eng. Struct. 2012, 35, 188–202. [Google Scholar] [CrossRef]
  10. Zhang, Y.; Nguyen, M.P.; Fung, T.C.; Tan, K.H. Numerical and experimental study on structural behavior of restrained CHS T-joints in transient fire tests. Structures 2023, 48, 511–522. [Google Scholar] [CrossRef]
  11. Dodaran, N.A.; Ahmadi, H.; Lotfollahi-Yaghin, M.A. Parametric study on structural behavior of tubular K-joints under axial loading at fire-induced elevated temperatures. Thin-Walled Struct. 2018, 130, 467–486. [Google Scholar] [CrossRef]
  12. Ozyurt, E.; Wang, Y.C. A numerical investigation of static resistance of welded planar steel tubular joints under in-plane and out-of-plane bending at elevated temperatures. Eng. Struct. 2019, 199, 109622. [Google Scholar] [CrossRef]
  13. Bączkiewicz, J.; Malaska, M.; Pajunen, S.; Alanen, M.; Heinisuo, M. Experimental study on axially loaded square hollow section T-joints under fire conditions. Fire Saf. J. 2020, 114, 102993. [Google Scholar] [CrossRef]
  14. Zhao, X.L. Deformation limit and ultimate strength of welded T-joints in cold-formed RHS sections. J. Constr. Steel Res. 2000, 53, 149–165. [Google Scholar] [CrossRef]
  15. Zhao, X.L.; Hancock, G.J. T-joints in rectangular hollow sections subject to combined actions. J. Struct. Eng. 1991, 117, 2258–2277. [Google Scholar] [CrossRef]
  16. Bączkiewicz, J.; Malaska, M.; Pajunen, S.; Heinisuo, M. Fire design of rectangular hollow section joints. In Proceedings of the Eurosteel 2017, Copenhagen, Denmark, 13–15 September 2017. [Google Scholar]
  17. Ozyurt, E.; Wang, Y.C. Effects of truss behaviour on critical temperatures of welded steel tubular truss members exposed to uniform fire. Eng. Struct. 2015, 88, 225–240. [Google Scholar] [CrossRef]
  18. Liu, M.; Zhao, J.; Jin, M. An experimental study of the mechanical behavior of steel planar tubular trusses in a fire. J. Constr. Steel Res. 2010, 66, 504–511. [Google Scholar] [CrossRef]
  19. Jin, M.; Zhao, J.; Liu, M.; Chang, J. Parametric analysis of mechanical behavior of steel planar tubular truss under fire. J. Constr. Steel Res. 2011, 67, 75–83. [Google Scholar] [CrossRef]
  20. Daneshvar, S.; Sun, M. Stress concentration factors of RHS T-connections with galvanizing holes under in-plane bending. J. Constr. Steel Res. 2020, 169, 106039. [Google Scholar] [CrossRef]
  21. Dehli, M.; Dering, E.; Schedwill, H. Fundamentals of Technical Thermodynamics, 9th ed.; Springer: Wiesbaden, Germany, 2020; pp. 69–150. [Google Scholar] [CrossRef]
  22. Merci, B.; Beji, T. Fluid Mechanics Aspects of Fire and Smoke Dynamics in Enclosures, 2nd ed.; CRC Press: London, UK, 2022; p. 14. [Google Scholar] [CrossRef]
  23. Karlsson, B.; Quintiere, G.J. Enclosure Fire Dynamics; CRC Press: Boca Raton, FL, USA, 2022; p. 197. [Google Scholar] [CrossRef]
  24. Bączkiewicz, J.; Pajunen, S.; Heinisuo, M. Effect of radiation inside square hollow section under moderate non-symmetric fire. Fire Res. 2018, 2, 42. [Google Scholar] [CrossRef]
  25. Kervalishvili, A.; Talvik, I. Computationally efficient method for steel column buckling in fire. Buildings 2023, 13, 407. [Google Scholar] [CrossRef]
  26. EN10219-1; Cold formed welded structural hollow sections of non-alloy and fine grain steels—Part 1: Technical delivery. European Committee for Standardization: Brussels, Belgium, 2006.
  27. EN1993-1-1; Design of Steel Structures: General Rules and Rules for Buildings. European Committee for Standardization: Brussels, Belgium, 2005.
Figure 1. Designed truss—Fragment of the IFC model.
Figure 1. Designed truss—Fragment of the IFC model.
Applsci 14 00149 g001
Figure 2. Deformed trusses with ovalized SHS members.
Figure 2. Deformed trusses with ovalized SHS members.
Applsci 14 00149 g002
Figure 3. Internal pressure inside the circular hollow section.
Figure 3. Internal pressure inside the circular hollow section.
Applsci 14 00149 g003
Figure 4. EN 1993-1-2 [1] material model for S355 steel in fire conditions: normalized engineering stress vs. engineering strain.
Figure 4. EN 1993-1-2 [1] material model for S355 steel in fire conditions: normalized engineering stress vs. engineering strain.
Applsci 14 00149 g004
Figure 5. Internal pressure growth as a function of temperature.
Figure 5. Internal pressure growth as a function of temperature.
Applsci 14 00149 g005
Figure 6. Hoop stresses vs. temperature related to yield limit stress fy.θ.
Figure 6. Hoop stresses vs. temperature related to yield limit stress fy.θ.
Applsci 14 00149 g006
Figure 7. Hoop stresses vs. temperature related to proportionality limit stress fp.θ.
Figure 7. Hoop stresses vs. temperature related to proportionality limit stress fp.θ.
Applsci 14 00149 g007
Figure 8. Internal pressure inside a CHS and SHS.
Figure 8. Internal pressure inside a CHS and SHS.
Applsci 14 00149 g008
Figure 9. Hoop stresses vs. section dimension—Comparison between CHS and SHS sections.
Figure 9. Hoop stresses vs. section dimension—Comparison between CHS and SHS sections.
Applsci 14 00149 g009
Figure 10. Interdependence between σvonMises, σx, and σH.
Figure 10. Interdependence between σvonMises, σx, and σH.
Applsci 14 00149 g010
Figure 11. (a) FEM model; (b) simulation results/deformed shape.
Figure 11. (a) FEM model; (b) simulation results/deformed shape.
Applsci 14 00149 g011
Figure 12. Simulation results—Axial capacity diagrams for the CHS sections.
Figure 12. Simulation results—Axial capacity diagrams for the CHS sections.
Applsci 14 00149 g012
Figure 13. Simulation results—Axial capacity diagrams for the RHS and SHS sections.
Figure 13. Simulation results—Axial capacity diagrams for the RHS and SHS sections.
Applsci 14 00149 g013
Table 1. Cross sections used for the simulations.
Table 1. Cross sections used for the simulations.
Section TypeDimensionWall Thickness
CHSØ152.4 mm3 mm/5 mm/6 mm
CHSØ323.9 mm5 mm/8 mm/10 mm
SHS90 mm × 90 mm3 mm/5 mm/6 mm
SHS150 mm × 150 mm4 mm/6 mm/12.5 mm
SHS300 mm × 300 mm6 mm/8 mm/12.5 mm
RHS400 mm × 200 mm6 mm/8 mm/12.5 mm
Disclaimer/Publisher’s Note: The statements, opinions and data contained in all publications are solely those of the individual author(s) and contributor(s) and not of MDPI and/or the editor(s). MDPI and/or the editor(s) disclaim responsibility for any injury to people or property resulting from any ideas, methods, instructions or products referred to in the content.

Share and Cite

MDPI and ACS Style

Kervalishvili, A.; Talvik, I. Influence of Internal Pressure on Hollow Section Steel Members in Fire. Appl. Sci. 2024, 14, 149. https://doi.org/10.3390/app14010149

AMA Style

Kervalishvili A, Talvik I. Influence of Internal Pressure on Hollow Section Steel Members in Fire. Applied Sciences. 2024; 14(1):149. https://doi.org/10.3390/app14010149

Chicago/Turabian Style

Kervalishvili, Andrei, and Ivar Talvik. 2024. "Influence of Internal Pressure on Hollow Section Steel Members in Fire" Applied Sciences 14, no. 1: 149. https://doi.org/10.3390/app14010149

APA Style

Kervalishvili, A., & Talvik, I. (2024). Influence of Internal Pressure on Hollow Section Steel Members in Fire. Applied Sciences, 14(1), 149. https://doi.org/10.3390/app14010149

Note that from the first issue of 2016, this journal uses article numbers instead of page numbers. See further details here.

Article Metrics

Back to TopTop