Characterization of the Intelligibility of Vowel–Consonant–Vowel (VCV) Recordings in Five Languages for Application in Speech-in-Noise Screening in Multilingual Settings
Abstract
1. Introduction
1.1. Speech-in-Noise Screening Test Design
1.2. Study Rationale and Specific Aims
- High average intelligibility, especially at low signal-to-noise ratios (SNR). This criterion is justified by the fact that the higher the theoretical intelligibility of a stimulus, the lower the effort associated with the recognition task, particularly in non-native listeners (e.g., [34]);
- Low variability of intelligibility as a function of noise, especially at low SNR. This criterion is justified by the fact that the lower the variability of intelligibility with varying realizations of noise, the lower the aleatoric uncertainty introduced by noise on the measured speech recognition performance. Stated differently, if the variability of intelligibility is low, differences in measured speech recognition are more likely to reflect intra-individual differences in performance rather than random fluctuations of performance due to noise; and
- Shallow slope of the psychometric function. This criterion is justified by the fact that the shallower the slope of the intelligibility functions, the wider the dynamic range of SNRs that can be used by the speech-in-noise test, therefore enabling higher flexibility to adapt the test to the individual performance of non-native listeners.
2. Materials and Methods
2.1. Dataset Creation: VCV Recordings and Noise
2.2. Intelligibility Measures
2.3. Analysis of Performance
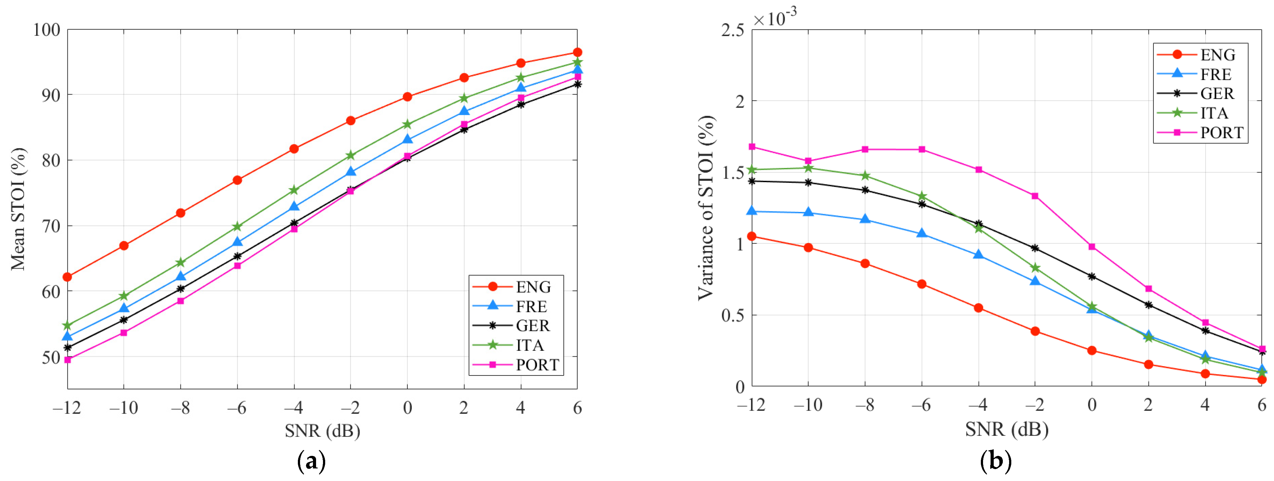
3. Results
3.1. Accuracy of STOI Estimates
3.2. Characterization of VCV Intelligibility
4. Discussion
5. Conclusions
Author Contributions
Funding
Institutional Review Board Statement
Informed Consent Statement
Data Availability Statement
Conflicts of Interest
References
- Mick, P.; Pichora-Fuller, M.K. Is Hearing Loss Associated with Poorer Health in Older Adults Who Might Benefit from Hearing Screening? Ear Hear. 2016, 37, e194–e201. [Google Scholar] [CrossRef] [PubMed]
- Davis, A.; Smith, P.; Ferguson, M.; Stephens, D.; Gianopoulos, I. Acceptability, Benefit and Costs of Early Screening for Hearing Disability: A Study of Potential Screening Tests and Models. Health Technol. Assess. 2007, 11, A1–A32. [Google Scholar] [CrossRef]
- Davis, A.; Smith, P. Adult Hearing Screening: Health Policy Issues—What Happens Next? Am. J. Audiol. 2013, 22, 167–170. [Google Scholar] [CrossRef] [PubMed]
- Dubno, J.R.; Majumder, P.; Bettger, J.P.; Dolor, R.J.; Eifert, V.; Francis, H.W.; Pieper, C.F.; Schulz, K.A.; Silberberg, M.; Smith, S.L.; et al. A Pragmatic Clinical Trial of Hearing Screening in Primary Care Clinics: Cost-Effectiveness of Hearing Screening. Cost. Eff. Resour. Alloc. 2022, 20, 26. [Google Scholar] [CrossRef] [PubMed]
- Paglialonga, A.; Polo, E.M.; Zanet, M.; Rocco, G.; van Waterschoot, T.; Barbieri, R. An Automated Speech-in-Noise Test for Remote Testing: Development and Preliminary Evaluation. Am. J. Audiol. 2020, 29, 564–576. [Google Scholar] [CrossRef] [PubMed]
- Bastianelli, M.; Mark, A.E.; McAfee, A.; Schramm, D.; Lefrançois, R.; Bromwich, M. Adult Validation of a Self-Administered Tablet Audiometer. J. Otolaryngol.—Head Neck Surg. 2019, 48, 59. [Google Scholar] [CrossRef]
- Liu, C.-F.; Collins, M.P.; Souza, P.E.; Yueh, B. Long-term cost-effectiveness of screening strategies for hearing loss. J. Rehabil. Res. Dev. 2011, 48, 235–243. [Google Scholar] [CrossRef] [PubMed]
- Grandori, F.; Tognola, G.; Paglialonga, A. A Novel Approach for Adult Hearing Screening. Audiol. Neurotol. 2012, 17, 3–25. [Google Scholar] [CrossRef]
- Humes, L.E. Understanding the Speech-Understanding Problems of Older Adults. Am. J. Audiol. 2013, 22, 303–305. [Google Scholar] [CrossRef]
- Folmer, R.L.; Saunders, G.H.; Vachhani, J.J.; Margolis, R.H.; Saly, G.; Yueh, B.; McArdle, R.A.; Feth, L.L.; Roup, C.M.; Feeney, M.P. Hearing Health Care Utilization Following Automated Hearing Screening. J. Am. Acad. Audiol. 2021, 32, 235–245. [Google Scholar] [CrossRef]
- Killion, M.C.; Niquette, P.A. What Can the Pure-Tone Audiogram Tell Us about a Patient’s SNR Loss? Hear. J. 2000, 53, 46–48. [Google Scholar] [CrossRef]
- Paglialonga, A.; Tognola, G.; Grandori, F. A User-Operated Test of Suprathreshold Acuity in Noise for Adult Hearing Screening: The SUN (Speech Understanding in Noise) Test. Comp. Biol. Med. 2014, 52, 66–72. [Google Scholar] [CrossRef]
- Smits, C.; Houtgast, T. Results from the Dutch Speech-in-Noise Screening Test by Telephone. Ear Hear. 2005, 26, 89–95. [Google Scholar] [CrossRef] [PubMed]
- Sanchez, V.A.; Arnold, M.L.; Moore, D.R.; Clavier, O.; Abrams, H.B. Speech-in-Noise Testing: Innovative Applications for Pediatric Patients, Underrepresented Populations, Fitness for Duty, Clinical Trials, and Remote Services. J. Acoust. Soc. Am. 2022, 152, 2336–2356. [Google Scholar] [CrossRef]
- Paglialonga, A.; Cleveland Nielsen, A.; Ingo, E.; Barr, C.; Laplante-Lévesque, A. eHealth and the Hearing Aid Adult Patient Journey: A State-of-the-Art Review. BioMed Eng. OnLine 2018, 17, 101. [Google Scholar] [CrossRef] [PubMed]
- Liu, H.; Du, B.; Liu, B.; Fu, X.; Wang, Y. Clinical Comparison of Two Automated Audiometry Procedures. Front. Neurosci. 2022, 16, 1011016. [Google Scholar] [CrossRef]
- Warzybok, A.; Brand, T.; Wagener, K.C.; Kollmeier, B. How Much Does Language Proficiency by Non-Native Listeners Influence Speech Audiometric Tests in Noise? Int. J. Audiol. 2015, 54, 88–99. [Google Scholar] [CrossRef]
- Blamey, P.J.; Blamey, J.K.; Saunders, E. Effectiveness of a Teleaudiology Approach to Hearing Aid Fitting. J. Telemed. Telecare 2015, 21, 474–478. [Google Scholar] [CrossRef]
- Leensen, M.C.J.; de Laat, J.A.P.M.; Dreschler, W.A. Speech-in-Noise Screening Tests by Internet, Part 1: Test Evaluation for Noise-Induced Hearing Loss Identification. Int. J. Audiol. 2011, 50, 823–834. [Google Scholar] [CrossRef]
- Leensen, M.C.J.; de Laat, J.A.P.M.; Snik, A.F.M.; Dreschler, W.A. Speech-in-Noise Screening Tests by Internet, Part 2: Improving Test Sensitivity for Noise-Induced Hearing Loss. Int. J. Audiol. 2011, 50, 835–848. [Google Scholar] [CrossRef] [PubMed]
- Paglialonga, A.; Grandori, F.; Tognola, G. Using the Speech Understanding in Noise (SUN) Test for Adult Hearing Screening. Am. J. Audiol. 2013, 22, 171–174. [Google Scholar] [CrossRef]
- Vaez, N.; Desgualdo-Pereira, L.; Paglialonga, A. Development of a Test of Suprathreshold Acuity in Noise in Brazilian Portuguese: A New Method for Hearing Screening and Surveillance. BioMed Res. Intern. 2014, 2014, 652838. [Google Scholar] [CrossRef] [PubMed]
- Zanet, M.; Polo, E.M.; Rocco, G.; Paglialonga, A.; Barbieri, R. Development and Preliminary Evaluation of a Novel Adaptive Staircase Procedure for Automated Speech-in-Noise Testing. In Proceedings of the 41st Annual International Conference of the IEEE Engineering in Medicine and Biology Society (IEEE EMBC 2019), Berlin, Germany, 23–27 July 2019; pp. 6991–6994. [Google Scholar] [CrossRef]
- Zanet, M.; Polo, E.M.; Lenatti, M.; van Waterschoot, T.; Mongelli, M.; Barbieri, R.; Paglialonga, A. Evaluation of a Novel Speech-in-Noise Test for Hearing Screening: Classification Performance and Transducers’ Characteristics. IEEE J. Biomed. Health Inform. 2021, 25, 4300–4307. [Google Scholar] [CrossRef]
- Lenatti, M.; Moreno-Sánchez, P.A.; Polo, E.M.; Mollura, M.; Barbieri, R.; Paglialonga, A. Evaluation of Machine Learning Algorithms and Explainability Techniques to Detect Hearing Loss from a Speech-in-Noise Screening Test. Am. J. Audiol. 2022, 31, 961–979. [Google Scholar] [CrossRef] [PubMed]
- Polo, E.M.; Lenatti, M.; Zanet, M.; Barbieri, R.; Paglialonga, A. Development and Characterization of a Novel Adaptive Staircase for Speech Recognition Testing. Unpublished work.
- Bruns, T.; Ooster, J.; Stennes, M.; Rennies, J. Automated Speech Audiometry for Integrated Voice Over Internet Protocol Communication Services. Am. J. Audiol. 2022, 31, 980–992. [Google Scholar] [CrossRef]
- Gordon-Salant, S. Hearing Loss and Aging: New Research Findings and Clinical Implications. J. Rehabil. Res. Dev. 2005, 42, 9. [Google Scholar] [CrossRef] [PubMed]
- Leek, M.R. Adaptive Procedures in Psychophysical Research. Percept. Psychophys. 2001, 63, 1279–1292. [Google Scholar] [CrossRef]
- Dubno, J.R.; Dirks, D.D. Evaluation of Hearing-Impaired Listeners Using a Nonsense-Syllable Test I. Test Reliability. J. Speech Lang. Hear. Res. 1982, 25, 135–141. [Google Scholar] [CrossRef] [PubMed]
- Mattys, S.L.; Brooks, J.; Cooke, M. Recognizing Speech under a Processing Load: Dissociating Energetic from Informational Factors. Cogn. Psychol. 2009, 59, 203–243. [Google Scholar] [CrossRef]
- Cooke, M.; Lecumberri, M.L.G.; Scharenborg, O.; van Dommelen, W.A. Language-Independent Processing in Speech Perception: Identification of English Intervocalic Consonants by Speakers of Eight European Languages. Speech Commun. 2010, 52, 954–967. [Google Scholar] [CrossRef]
- Taal, C.H.; Hendriks, R.C.; Heusdens, R.; Jensen, J. An Algorithm for Intelligibility Prediction of Time–Frequency Weighted Noisy Speech. IEEE Trans. Audio Speech Lang. Process. 2011, 19, 2125–2136. [Google Scholar] [CrossRef]
- Polo, E.M.; Mollura, M.; Paglialonga, A.; Barbieri, R. Listening effort: Cardiovascular investigation through the point process framework. In Proceedings of the 2022 Computing in Cardiology Conference (CinC 2022), Tampere, Finland, 4–7 September 2022. [Google Scholar] [CrossRef]
- Eberhard, D.M.; Simons, G.F.; Fennig, C.D. Ethnologue: Languages of the World, 26th ed.; SIL International: Dallas, TX, USA, 2023. [Google Scholar]
- ISO8253-3:2012; Acoustics Audiometric Test Methods Part 3: Speech Audiometry. International Organization for Standardization (ISO): Geneva, Switzerland, 2012.
- Byrne, D.; Dillon, H.; Tran, K.; Arlinger, S.; Wilbraham, K.; Cox, R.; Hagerman, B.; Hetu, R.; Kei, J.; Lui, C.; et al. An International Comparison of Long-term Average Speech Spectra. J. Acoust. Soc. Am. 1994, 96, 2108–2120. [Google Scholar] [CrossRef]
- Jensen, J.; Taal, C.H. Speech Intelligibility Prediction Based on Mutual Information. IEEE/ACM Trans. Audio Speech Lang. Process. 2014, 22, 430–440. [Google Scholar] [CrossRef]
- Li, J.; Xia, R.; Ying, D.; Yan, Y.; Akagi, M. Investigation of Objective Measures for Intelligibility Prediction of Noise-Reduced Speech for Chinese, Japanese, and English. J. Acoust. Soc. Am. 2014, 136, 3301–3312. [Google Scholar] [CrossRef]
- Munro, M.J.; Derwing, T.M. Foreign Accent, Comprehensibility, and Intelligibility in the Speech of Second Language Learners. Lang. Learn. 1995, 45, 73–97. [Google Scholar] [CrossRef]
- Lyregaard, P. Towards a theory of speech audiometry tests. In Speech Audiometry, 2nd ed.; Martin, M., Ed.; John Wiley & Sons: Chichester, UK, 1997; pp. 34–62. [Google Scholar]
- Strasburger, H. Converting between Measures of Slope of the Psychometric Function. Percept. Psychophys. 2001, 63, 1348–1355. [Google Scholar] [CrossRef] [PubMed]
- Falk, T.H.; Parsa, V.; Santos, J.F.; Arehart, K.; Hazrati, O.; Huber, R.; Kates, J.M.; Scollie, S. Objective Quality and Intelligibility Prediction for Users of Assistive Listening Devices: Advantages and Limitations of Existing Tools. IEEE Signal. Process. Mag. 2015, 32, 114–124. [Google Scholar] [CrossRef]
- Bernardi, G.; van Waterschoot, T.; Wouters, J.; Moonen, M. Subjective and Objective Sound-Quality Evaluation of Adaptive Feedback Cancellation Algorithms. IEEE/ACM Trans. Audio Speech Lang. Process. 2018, 26, 1010–1024. [Google Scholar] [CrossRef]
- Kates, J.; Arehart, K. The Hearing-Aid Speech Quality Index (HASQI) Version 2. J. Audio Eng. Soc. 2014, 62, 99–117. [Google Scholar] [CrossRef]
- Manabe, Y.; Tamagawa, K.; Sato, K. Speech Intelligibility in Environmental Sound Maskers and Prediction Based on Envelope-Power Based Models. In Proceedings of the 2018 IEEE International Conference on Systems, Man, and Cybernetics (SMC) 2018, Miyazaki, Japan, 7–10 October 2018. [Google Scholar] [CrossRef]
- Van Kuyk, S.; Kleijn, W.B.; Hendriks, R.C. An Evaluation of Intrusive Instrumental Intelligibility Metrics. IEEE/ACM Trans. Audio Speech Lang. Process. 2018, 26, 2153–2166. [Google Scholar] [CrossRef]
- Kandagatla, R.K.; Subbaiah, P.V. Speech Enhancement Using MMSE Estimation of Amplitude and Complex Speech Spectral Coefficients under Phase-Uncertainty. Speech Commun. 2018, 96, 10–27. [Google Scholar] [CrossRef]
- Kluge, D.; Reis, M. Intelligibility of Brazilian Portuguese-accented English Realization of Nasals in Word-final Position by Brazilian and Dutch EFL Learners. CROP-Rev. Área Estud. Linguíst. E Lit. Ingl. 2008, 13, 215–229. [Google Scholar]
- Beddor, P.S.; Krakow, R.A.; Goldstein, L.M. Perceptual Constraints and Phonological Change: A Study of Nasal Vowel Height. Phonol. Yearb. 1986, 3, 197–217. [Google Scholar]
- Jensen, J.; Taal, C.H. An Algorithm for Predicting the Intelligibility of Speech Masked by Modulated Noise Maskers. IEEE/ACM Trans. Audio Speech Lang. Process. 2016, 24, 2009–2022. [Google Scholar] [CrossRef]
- Sharma, B.; Wang, Y. Automatic Evaluation of Song Intelligibility Using Singing Adapted STOI and Vocal-Specific Features. IEEE/ACM Trans. Audio Speech Lang. Process. 2020, 28, 319–331. [Google Scholar] [CrossRef]
- Feng, Y.; Chen, F. Nonintrusive Objective Measurement of Speech Intelligibility: A Review of Methodology. Biomed. Signal. Process. Control 2022, 71, 103204. [Google Scholar] [CrossRef]
- Kates, J.M.; Arehart, K.H. Coherence and the Speech Intelligibility Index. J. Acoust. Soc. Am. 2005, 117, 2224–2237. [Google Scholar] [CrossRef]
- Goldsworthy, R.L.; Greenberg, J.E. Analysis of Speech-Based Speech Transmission Index Methods with Implications for Nonlinear Operations. J. Acoust. Soc. Am. 2004, 116, 3679–3689. [Google Scholar] [CrossRef]
- Hu, Y.; Loizou, P.C. Evaluation of Objective Quality Measures for Speech Enhancement. IEEE Trans. Audio Speech Lang. Process. 2008, 16, 229–238. [Google Scholar] [CrossRef]
- Polo, E.M.; Mollura, M.; Barbieri, R.; Paglialonga, A. Multivariate Classification of Mild and Moderate Hearing Loss Using a Speech-in-Noise Test for Hearing Screening at a Distance. In HealthyIoT 2022: IoT Technologies for HealthCare; Spinsante, S., Iadarola, G., Paglialonga, A., Tramarin, F., Eds.; Lecture Notes of the Institute for Computer Sciences, Social Informatics and Telecommunications Engineering; Springer: Cham, Switzerland, 2023; Volume 456, pp. 81–92. [Google Scholar] [CrossRef]
- Watson, C.S.; Kidd, G.R.; Miller, J.D.; Smits, C.; Humes, L.E. Telephone Screening Tests for Functionally Impaired Hearing: Current Use in Seven Countries and Development of a US Version. J. Am. Acad. Audiol. 2012, 23, 757–767. [Google Scholar] [CrossRef]


| VCVs | English | French | German | Italian | Portuguese |
|---|---|---|---|---|---|
| aba | 0.90 | 0.83 | 0.92 | 0.80 | 0.94 |
| ada | 0.91 | 0.66 | 0.88 | 0.94 | 0.83 |
| afa | 0.96 | 0.95 | 0.90 | 0.96 | 0.89 |
| aga | 0.88 | 0.55 | 0.89 | 0.87 | 0.85 |
| aka | 0.83 | 0.72 | 0.91 | 0.99 | 0.91 |
| ala | 0.98 | 0.83 | 0.80 | 0.70 | 0.85 |
| ama | 0.74 | 0.56 | 0.63 | 0.69 | n.a. |
| ana | 0.75 | 0.59 | 0.67 | 0.88 | n.a. |
| apa | 0.94 | 0.87 | 0.98 | 0.83 | 0.86 |
| ara | 0.91 | 0.78 | 0.79 | 0.86 | 0.78 |
| asa | 0.92 | 0.55 | n.a. | n.a. | 0.75 |
| ata | 0.78 | 0.79 | 0.96 | 0.97 | 0.85 |
| average | 0.87 | 0.72 | 0.72 | 0.86 | 0.85 |
| s.d. | 0.08 | 0.14 | 0.45 | 0.10 | 0.06 |
| range | 0.74 ÷ 0.98 | 0.55 ÷ 0.95 | 0.65 ÷ 0.98 | 0.69 ÷ 0.99 | 0.75 ÷ 0.94 |
| VCVs | English | French | German | Italian | Portuguese |
|---|---|---|---|---|---|
| aba | 0.90 | 0.95 | 0.93 | 0.76 | 0.98 |
| ada | 0.88 | 0.76 | 0.93 | 0.98 | 0.93 |
| afa | 0.84 | 0.97 | 0.85 | 0.98 | 0.97 |
| aga | 0.74 | 0.18 | 0.95 | 0.87 | 0.90 |
| aka | 0.81 | 0.58 | 0.92 | 0.99 | 0.76 |
| ala | 0.96 | 0.88 | 0.72 | 0.77 | 0.71 |
| ama | 0.51 | 0.41 | 0.28 | 0.73 | n.a. |
| ana | 0.53 | 0.48 | 0.34 | 0.89 | n.a. |
| apa | 0.84 | 0.93 | 0.97 | 0.81 | 0.94 |
| ara | 0.95 | 0.65 | 0.65 | 0.97 | 0.96 |
| asa | 0.80 | 0.01 | n.a. | n.a. | 0.57 |
| ata | 0.78 | 0.91 | 0.98 | 1 | 0.97 |
| average | 0.79 | 0.64 | 0.77 | 0.88 | 0.87 |
| s.d. | 0.14 | 0.32 | 0.25 | 0.10 | 0.14 |
| range | 0.51 ÷ 0.96 | 0.01 ÷ 0.97 | 0.28 ÷ 0.98 | 0.73 ÷ 1 | 0.57 ÷ 0.98 |
| English | French | German | Italian | Portuguese | |
|---|---|---|---|---|---|
| RMSE% | 10.45 | 11.30 | 11.53 | 20.18 | 10.48 |
| English | French | German | Italian | Portuguese | ||||||
|---|---|---|---|---|---|---|---|---|---|---|
| SRT | Slope | SRT | Slope | SRT | Slope | SRT | Slope | SRT | Slope | |
| avg | −4.86 | 2.58 | −1.83 | 3.05 | −0.89 | 2.93 | −2.82 | 3.06 | −0.85 | 3.26 |
| s.d. | 1.74 | 0.47 | 2.18 | 0.47 | 3.10 | 0.56 | 2.42 | 0.71 | 3.31 | 0.63 |
| range | −6.79÷−0.63 | 2.07÷3.52 | −6.94÷2.34 | 2.05÷3.79 | −6.96÷2.64 | 2.15÷3.82 | −5.64÷3.10 | 2.19÷4.18 | −4.36÷7.07 | 2.22÷4.30 |
Disclaimer/Publisher’s Note: The statements, opinions and data contained in all publications are solely those of the individual author(s) and contributor(s) and not of MDPI and/or the editor(s). MDPI and/or the editor(s) disclaim responsibility for any injury to people or property resulting from any ideas, methods, instructions or products referred to in the content. |
© 2023 by the authors. Licensee MDPI, Basel, Switzerland. This article is an open access article distributed under the terms and conditions of the Creative Commons Attribution (CC BY) license (https://creativecommons.org/licenses/by/4.0/).
Share and Cite
Rocco, G.; Bernardi, G.; Ali, R.; van Waterschoot, T.; Polo, E.M.; Barbieri, R.; Paglialonga, A. Characterization of the Intelligibility of Vowel–Consonant–Vowel (VCV) Recordings in Five Languages for Application in Speech-in-Noise Screening in Multilingual Settings. Appl. Sci. 2023, 13, 5344. https://doi.org/10.3390/app13095344
Rocco G, Bernardi G, Ali R, van Waterschoot T, Polo EM, Barbieri R, Paglialonga A. Characterization of the Intelligibility of Vowel–Consonant–Vowel (VCV) Recordings in Five Languages for Application in Speech-in-Noise Screening in Multilingual Settings. Applied Sciences. 2023; 13(9):5344. https://doi.org/10.3390/app13095344
Chicago/Turabian StyleRocco, Giulia, Giuliano Bernardi, Randall Ali, Toon van Waterschoot, Edoardo Maria Polo, Riccardo Barbieri, and Alessia Paglialonga. 2023. "Characterization of the Intelligibility of Vowel–Consonant–Vowel (VCV) Recordings in Five Languages for Application in Speech-in-Noise Screening in Multilingual Settings" Applied Sciences 13, no. 9: 5344. https://doi.org/10.3390/app13095344
APA StyleRocco, G., Bernardi, G., Ali, R., van Waterschoot, T., Polo, E. M., Barbieri, R., & Paglialonga, A. (2023). Characterization of the Intelligibility of Vowel–Consonant–Vowel (VCV) Recordings in Five Languages for Application in Speech-in-Noise Screening in Multilingual Settings. Applied Sciences, 13(9), 5344. https://doi.org/10.3390/app13095344

