Abstract
In order to have a deeper insight into the accumulation mechanism of ultra-deep hydrocarbons, in this paper, the recently discovered ultra-deep Ordovician light oil and gas deposits (>7200 m) in the Shunbei No. 1 fracture zone are studied intensively, including maturity, source kitchens, the extent of secondary alterations, and possible migration directions, based on an analysis of the molecular compositions and stable carbon isotopes of crude oils and natural gases. The average equivalent vitrinite reflectance (Rc) of these oils, estimated from light hydrocarbons (H versus I), MDI, DNR, and MDR, are about 1.50%, 1.58%, 1.48%, and 1.51%, respectively, which suggests that most of the oils are in the late stages of crossing the oil window. The two maturity grades (1.06–1.25% and 1.36–1.67%) of the oil samples calculated from the aromatic compounds indicate the presence of at least two stages of hydrocarbon charge. In addition, the positive correlation plot of DNR and MDR (y = 3.59x − 12.84; R2 = 0.96) indicates that oils in the southwestern region of the F1 (S1-11–S1-16) are slightly more mature than oils in the northeastern region of the F1 and the well at SL1, far from the No. 1 main fault zone. In addition, the study shows that these hydrocarbons belong to the same source kitchen of a reduced marine sedimentary environment with mixed organic matter comprising benthic and planktonic algae, based on biomarker parameters, light hydrocarbons, and carbon isotope compositions. The oil–oil correlation analyses suggest that the studied oil samples are probably derived from the in situ Lower Cambrian Yuertusi formation source rocks. Various geochemical parameters consistently show limited significant hydrocarbon alteration processes, indicating favorable preservation conditions in the study area. The integrated geochemical characteristics of the hydrocarbons allow us to infer that they mainly migrate vertically from the in situ Lower Cambrian Yuertusi formation source rocks toward the Ordovician reservoirs, followed by a certain degree of lateral migration from southwest to northeast.
1. Introduction
With the continuous advancement of hydrocarbon exploration, the exploration of ultra-deep hydrocarbon deposits (burial depths over 6000 m) has received increasingly great attention [1,2,3]. In recent years, large-sized ultra-deep reservoirs have been discovered in the Tarim Basin, Sichuan Basin, and Bohai Bay Basin, gradually becoming an important replacement area for the exploration and development of oil and gas in China [4,5,6,7]. Currently, ultra-deep light oil and condensate reservoirs have been discovered in the Shunbei field (burial depths greater than 7300 m) in the northern part of the Shuntuoguole area, which has become a new successive area for exploration in the Tarim Basin after Tabei and Tazhong, demonstrating favorable exploration prospects for ultra-deep reservoirs [8,9,10]. Obviously, the discovery of ultra-deep light oil reservoirs, especially the deepest well in Asia, the Luntan1 well (LT1), has broken the traditional perceptions of the petroleum accumulation mechanism; low geothermal gradient and rapid subsidence after petroleum accumulation jointly contribute to the preservation of liquid petroleum in ultra-deep strata in the Tarim Basin, which extends the range of the “oil window” [9,11,12]. However, the diversity and complexity of the hydrocarbon’s origins, coupled with the heterogeneity of ultra-deep organic matter and the complexity of diagenesis, make it more difficult to shed light on the ultra-deep hydrocarbon accumulation mechanism.
Recently, the discovery of volatile oils in conjunction with commercial oil flows along the Shunbei 1 fracture zone (F1) in the northern part of the SLU area reveals that the area has great potential for ultra-deep petroleum exploration [13,14]. Despite extensive studies [9,15,16,17,18,19,20,21,22,23] on the hydrocarbon accumulation characteristics of the F1 zone, the origin of these ultra-deep Ordovician hydrocarbons is still hotly disputed. Previous studies have offered three main opinions on the origin of the Ordovician hydrocarbons in the region: (1) Cambrian–Lower Ordovician source rocks (Є-O1) [20,24]; (2) Cambrian source rocks [18,25], especially the Lower Cambrian Yuertusi formation (Є1y) source rocks; (3) the adjustment of the deeper petroleum aggregated in the Cambrian carbonate reservoirs [17]. However, there are many factors affecting the difficulty in identifying the origin of ultra-deep petroleum, such as the limited source rocks, the failure of numerous biomarkers due to the high maturity, the complexity of petroleum geochemical characteristics due to multi-phase charging, and the influence of secondary alterations. Therefore, in order to allow for a more comprehensive understanding of the hydrocarbon origin of the F1 zone, the geochemical correlation of oil and gas in this area still merits further investigation. In this study, crude oils and natural gases from the F1 zone are investigated to evaluate their thermal maturity, depositional environment, and biogenic hydrocarbon parent materials, the extent of secondary alterations, source rocks, and possible migration directions, based on the analysis of molecular compositions and stable carbon isotopes of crude oils, combined with the compositions and component carbon isotopes of natural gases. This will contribute to further insights into the accumulation mechanism of ultra-deep hydrocarbons in the study area and provide theoretical guidance for hydrocarbon exploration deployment in the region.
2. Geological Setting
The Shuntuoguole Low Uplift (SLU) region, covering an exploration area of about 27,000 km2, is located in the northern part of the Tarim Basin [26]. Situated between the two major uplifts of Tabei and Tazhong and the two major depressions of Awati and Manjiaer, the SLU region is the most important tectonic nexus of the Tarim Basin (Figure 1a). The SLU may have experienced at least four tectonic evolutionary stages, as follows [1,27]: (1) the Cambrian–Middle Ordovician marginal aulacogen and weak extensional craton stage; (2) the Middle Ordovician–Middle Devonian craton uplift formation evolution and intense compression stage; (3) the Early Permian-Jurassic continuous uplift and compression stage; (4) the Jurassic-Neogene adjustment and reshaping stage. The SLU region experienced a complex multiphase sedimentary-tectonic evolution process, providing good geological conditions for the development of multistage reservoirs and the formation and accumulation of hydrocarbons. Stratigraphically, the SLU region has been in a relatively stable subsidence burial area for a long time, and the Upper Paleozoic and Neogene strata were formed later [14]. As shown in Figure 1b, the Lower Paleozoic Cambrian strata are relatively intact, including the Yuertusi formation (Є1ny), Xiaoerbulake formation (Є1x), Wusongerge formation (Є1w), Shayilike formation (Є2s), Awatage formation (Є2a) and the Lower Qiulitage formation (Є3q), from bottom to top. The Ordovician strata are composed of the Penglaiba formation (O1p), Yingshan formation (O1-2y), Yijianfang formation (O2yj), Tumuxiuke formation (O3t), Lianglitage formation (O3l), and Sangtamu formation (O3s), from bottom to top (Figure 1b). At present, the main targets for the exploration and development of SLU are carbonate rocks in the Ordovician strata of O1-2y and O2yj, the main hydrocarbon source rock is the Lower Cambrian Yuertusi formation (Є1y), and the Upper Ordovician Sangtamu formation (O3s) develops regional giant thick-layer mudstone with favorable capping conditions, which together comprise an essential source-reservoir-caprock association [14,28,29,30,31].
Figure 1.
(a) Regional location and tectonic map of the Shunbei region of the Tarim Basin, China. (b) Distribution map of the studied oil samples located near the Shunbei No. 1 fracture zone (left) and stratigraphic distribution map of the study area (right) (after Wang et al. [17]).
The Shunbei No. 1 Fault zone (the F1 zone), a northeast-oriented regulatory strike–slip fault between the Taibei Uplift and the Tazhong Uplift (Figure 1b), is located in the northeastern part of SLU and cuts through the north-northeast-oriented faults, indicating its late-phase continuous activity [14]. Recently, volatile light hydrocarbons have been discovered along the SB1 in the carbonate reservoirs of the Yijianfang (O2yj) and Yingshan (O1-2y) formations at burial depths of more than 7300 m [13]. The existing reservoir temperature ranges from 154.80 °C to 172.40 °C, with estimated geothermal gradients ranging from 2.04 °C/100 m to 2.23 °C/100 m. The reservoir pressure ranges from 83 MPa to 88 MPa, with a pressure coefficient of 1.09–1.16, forming a normal-pressure unsaturated volatile reservoir [32].
3. Materials and Methods
A total of 13 light oil samples were collected from Ordovician reservoirs (O1-2y and O2yj) at a burial depth greater than 7200 m around the F1 zone of the Tarim Basin (Figure 1b). Oil samples were treated with n-hexane to precipitate out the asphaltene fraction, then the resultant filter fractions were further fractionated into the saturated hydrocarbon fraction, aromatic hydrocarbon fraction, and polar fraction by column chromatography using activated silica/alumina (3:2, w/w). The saturated and aromatic hydrocarbons were purified by using n-hexane and a mixture of dichloromethane/n-hexane (2:1, v/v), respectively [33,34].
The gas chromatograph analysis (GC) of the whole fraction was completed on an Agilent 7890A instrument using an HP-5 fused silica column with a length of 30 m, an inner diameter of 0.25 mm, and a film thickness of 0.25 μm. The initial temperature of the GC oven was set at 40 °C for 3 min, followed by a ramp-up to 310 °C at a rate of 4 °C/min, and was then held isothermally for 15 min. The helium (99.99%) was used as the carrier gas at a flow rate of 1.5 mL/min. The split ratio was 100:1.
The gas chromatography-mass spectroscopy (GC-MS) analysis of the saturated and aromatic hydrocarbons was performed on an Agilent 7890A-5973C instrument with a longer HP-5MS fused silica column (60 m × 0.25 mm i.d.; film thickness 0.25 μm). The initial temperature of the GC oven was set at 40 °C for 5 min, followed by a ramp-up to 325 °C at a rate of 3 °C/min, and then held isothermally for 20 min. The helium was used as the carrier gas, at a constant flow rate of 1 mL/min, and the temperature of the injector was 300 °C. The ion field bombardment energy of the ion source for mass spectrometry was set at 70 eV. The MS data were acquired in a selective ion detection mode.
The gas chromatography analysis (GC) of the whole fraction was completed on an Agilent 7890A with an HP-1 elastic quartz capillary column (60 m × 0.25 mm × 0.25 μm) for determining the light hydrocarbon composition. The temperature of the GC oven was initially set at 40 °C for 10 min and was then heated up to 70 °C at a rate of 4 °C/min, subsequently increased to 310 °C at a rate of 8 °C/min, and was then maintained at 310 °C for 40 min. The helium (99.99%) was used as the carrier gas at a constant flow rate of 1 mL/min and the split ratio was 20:1. The temperature of both the injector and the detector FID was 310 °C.
Stable carbon isotopes were obtained using an isotope ratio mass spectrometer (IRMS), coupled to an Agilent 6890 gas chromatograph. The combustion was initially set at 980 °C and then adjusted to 250 °C. Liquid nitrogen was used for cooling, depuration, and collection. The δ13C values are reported herein relative to the international Vienna Pee Dee belemnite standard (VPDB), with a standard deviation accuracy of 0.1‰.
The geochemical data, including the bulk physical property of oils and natural gas-related documents, were provided by the SINOPEC Northwest Company (Urumqi, China).
4. Results
4.1. Bulk Properties and Molecular Isotopic Compositions of Hydrocarbons
The oil samples from the ultra-deep Ordovician reservoirs are generally of light oil with the values of the tested GOR ranging from 173 to 457 m3/m3, showing relatively low values in the southern section (S1-11–S1-16), as shown in Table 1. The density and viscosity of the oils range from 0.793 to 0.808 g/cm3 and from 2.52 to 3.97 mPa⋅s, with averages of 0.80 g/cm3 and 2.82 mPa⋅s, respectively. The sulfur and wax contents vary from 0.035 to 0.157% and from 3.62 to 9.72%, respectively. It is obvious that the wax content of the reservoir oils is generally low, except for the highest wax content of 9.72% for S1-18. The chemical composition of the reservoir oils is dominated by the saturated hydrocarbon fraction (67.8–89.4%), with the ratio of the saturated to aromatic hydrocarbon fraction ranging from 5.1% to 14.7%, averaging 9.89%. In addition, the reservoir oils display similar stable carbon isotopic compositions, with δ13C values varying from −31.34‰ to −32.66‰, with an average of −31.92‰ (Table 1). The studied natural gases from the Ordovician reservoirs are dominated by hydrocarbons, with methane and ethane contents ranging from 71.68 to 84.2% and from 5.99 to 12.21% (Table 2), respectively, while the SL1 well, far from the F1 zone, has an exceptionally low methane content of 49%. As shown in Table 2, the dryness coefficient (C1/C1–5) varies from 70.60% to 88.83%, with the lowest value being 70.6% in well SL1, reflecting the values of a typical wet gas.
Table 1.
Physical properties and the carbon isotopic compositions of the studied oils.
Table 2.
Compositional characteristics of ultra-deep Ordovician natural gas in the F1 zone.
4.2. n-Alkanes and Isoprenoids, Light Hydrocarbons, and Diamondoids
Figure 2a shows the molecular fingerprints of light oils from the Ordovician reservoirs in the F1 zone, based on whole oil gas chromatography analysis. The chromatograms of the studied samples are all strikingly similar, with a complete distribution of normal alkanes (n-alkanes) without a significant unresolved complex mixture (UCM) “hump” (Figure 2a). The distribution pattern of n-alkanes in the studied oil samples is dominated by low molecular weight n-alkanes (C8–C10), with the abundance decreasing sharply with the increasing carbon number. Accordingly, the two thermal maturity parameters calculated from n-alkanes, the carbon preference index (CPI) and the odd-even dominance index (OEP), are calculated to range from 1.00 to 1.16 and from 0.99 to 1.00, with averages of 1.05 and 0.99, respectively (Table 3). Apparently, the abundance of isoprenoids (Figure 2a), such as pristine (Pr) and phytane (Ph), is lower compared to the adjacent n-alkanes. As shown in Table 3, the ratios of Pr/n-C17, Ph/n-C18, and Pr/Ph for the studied oil samples are 0.31–0.36, 0.35–0.42, and 0.98–1.10, respectively.
Figure 2.
(a) Representative whole oil gas chromatograms, m/z 191; (b) (3) m/z 217; (c) chromatograms showing n-alkane, terpene, and sterane distributions in the studied oils. Abbreviations: Pr = pristane; Ph = phytane; TT = tricyclic terpene.
Table 3.
Geochemical parameters of the studied oil samples.
As shown in Figure 3, the distribution patterns of the C5–C7 hydrocarbons of the studied oils are remarkably similar, with n-alkanes being the main component, ranging from 35.68 to 43.21%, with an average of 40.99%. In general, molecular indicators of C6–C7 hydrocarbons (n-hexane, n-heptane, and their isomers) have been consistently used in petroleum geochemistry over the years, as they have been documented to be influenced by the parent material’s origin, thermal maturity, and alteration processes in the reservoir [38,39,40]. The C6–C7 hydrocarbons of the studied reservoir oils are highly abundant in C5–C7 LHs in the range of 70.15–78.10 %, averaging 75.97% (Figure 3b). In the total C6–C7 range of hydrocarbons, the relative contents of alkanes, cycloalkanes, and aromatics are in the ranges of 71.73–78.38%, 14.00–19.15%, and 7.09–11.93%, with averages of 75.76%, 15.56%, and 8.68%, respectively (Figure 3b). Given the high thermal stability of diamondoids, their isomerization indicators have been effectively used to indicate thermal maturity and the extent of oil cracking [41,42]. Generally, the methyl-adamantane index (MAI = 1-MA/(1- + 2-MA)) and methyl-diamantane index (MDI = 4-MD/(1- + 3- + 4-MD)) are useful maturity indicators for highly mature light oils [43,44]. Here, the calculated MAI and MDI ratios of the studied oils vary from 0.68 to 0.74 and from 0.45 to 0.50, respectively (Table 3).
Figure 3.
(a) Representative C4–C8 hydrocarbon gas chromatograms of the studied oils; (b) statistically relative contents of C5–C7 LHs of the studied oils.
4.3. Saturated and Aromatic Hydrocarbon Compositions
Figure 2b,c presents the m/z 191 and m/z 217 chromatograms of the studied oils, highlighting the similarity in the distribution patterns of terpene and sterane. As for the composition of terpene and sterane, the high molecular weight sterane and terpene are basically cracked, due to the high maturity of the studied crude oils. As shown in Figure 2b, the tricyclic terpenoids (TTs) of the studied oil samples are dominated by C20TT, followed closely by C23TT and C19TT, with values of C20TT/C23TT ranging from 1.00 to 1.71, except for the SL1 well, which had a value of 0.5 for C20TT/C23TT (Table 3). In addition, the abundance of medium molecular weight C21 sterane (pregnanes) in the m/z 217 chromatograms is significantly higher than that of C27–C29 regular steranes Figure 2c, which indicates that large amounts of high molecular biomarker compounds have undergone cleavage, further suggesting that the studied oil samples are of high maturity.
As shown in Figure 4, bicyclic and tricyclic aromatic compounds were detected from the characteristic mass fragments, employing the partial m/z 142, 156, 170, 178, 184, 192, 198, and 212 chromatograms for the aromatic fractions. It can be seen that the abundance of the alkyl naphthalenes in the studied oil samples is relatively richer than that of alkyl phenanthrenes and alkyl dibenzothiophenes (Figure 4), indicating that the studied oils are of high maturity.
Figure 4.
The GC-MS spectrogram of the naphthalene, phenanthrene, and dibenzothiophene series of the studied oil samples (m/z = 142, 156, 170, 178, 184, 192, 198, and 212). Abbreviations: 2-MN/1-MN = 2-/1-methylnaphthalene; EN = ethylnaphthalene; DMN = dimethylnaphthalene; TMN = trimethylnaphthalene; DBT = dibenzothiophene; P = phenanthrene; MDBT = methyldibenzothiophene; MP: methylphenanthrene; DMDBT: dimethyldibenzothiophene.
5. Discussion
5.1. Maturity Assessment of Crude Oils
In this study, the bulk properties of the studied oils, such as low oil density (an average value of 0.80 g/cm3) (Table 1) and high saturated/aromatic hydrocarbons (an average value of 9.89%) are indicative of the higher thermal maturity of the studied oil samples. Similarly, the predominance of low molecular weight n-alkanes, the absence of odd–even dominance (OEP and CPI values close to 1.0), and the low Pr/n-C17 and Ph/n-C18 (Table 3), based on whole oil chromatography, also signify the relatively high thermal maturity of the studied oils [45]. Based on the GC-MS analysis of saturated hydrocarbon fractions, the predominance of C20 TTs rather than C23 TTs, the depletion or absence of high molecular weight tricyclic terpenes and pentacyclic terpenes, and the dominance of C21 pregnanes all indicate that high molecular weight steranes and terpenes have undergone thermal cracking, which further suggests the higher thermal maturity of the studied oil samples.
C5–C7 light hydrocarbons and diamondoids play a significant role in evaluating the geochemical correlation of high-maturity crude oils [35,38,39,43,46]. C7 light hydrocarbon compounds have been widely applied for crude oil maturity evaluation [20,46]. Generally, the ratio of nC7/MCH has been commonly used to denote the degrees of thermal maturity [47]. A value of nC7/MCH > 1.5 is considered to be an indication of the high maturity of light oils, corresponding to an equivalent vitrinite reflectance (Rc) of >1.2% [48]. Here, the nC7/MCH values of the samples ranged from 1.52 to 2.0, with an average value of 1.76 (Table 4), signifying that the studied oils are at an excessively high maturity stage. Moreover, Thompson [49] proposed two parameters, heptane value (H) and isoheptane value (I), to evaluate the maturity of source rocks, the parent source type, and the maturity of crude oil. In this study, according to Thompson [49] and Walters [50], the cross-plot of H versus I suggests that the Rc of the oil ranged from 1.2% to 1.5%, mostly being closer to 1.50% (Figure 5). In addition, Chen [35] showed that MDI values increase with the increase in the thermal evolution of hydrocarbon rocks in the Tarim Basin, and there is a clearly expressed linear relationship between MDI and Ro (Ro = 2.4389 × MDI + 0.4363). The equivalent vitrinite reflectance (Rc1) of the crude oils in this study is obtained in the range of 1.55 to 1.63% with an average value of 1.58%, based on the relationship between MDI and Ro (Table 3).
Figure 5.
The cross-plot of the light hydrocarbon parameter heptane ratio versus the isoheptane ratio for the studied oil (after Thompson [49] and Walters [50]).
Additionally, aromatic hydrocarbon parameters are equally more reliable for evaluating the maturity of high-maturity oil [51]. According to Alexander [36], the DNR parameter (DNR = (2,6-DMN + 2,7-DMN)/1,5-DMN) can be used as a specific parameter for evaluating the maturity of higher thermal maturity crude oil, as shown in Table 3, where the calculated equivalent vitrinite reflectance (Rc2) of crude oils varies from about 1.06% to 1.67%, with an average value of 1.48%. Similarly, alkyl dibenzothiophene (e.g., MDR = 4-/1-MDBT and DMDBr = 4,6-DMDBT/(1,4-DMDBT + 1,6-DMDBT)) indicators can also effectively determine the maturity of high-maturity crude oils [52,53]. According to Huo [37], the calculated equivalent vitrinite reflectance (Rc3) of crude oils ranges from 0.87% to 1.84%, with a mean of 1.51% (Table 3).
As discussed above, the equivalent vitrinite reflectance (Rc) (with average values varying from 1.48% to 1.58%) of crude oils derived from light hydrocarbons, diamondoids, and aromatics all indicate that the crude oils in this study are at a high maturity stage. From Figure 6, according to the correlation plot of DNR and MDR, it can also be seen that they present a remarkable linear correlation (y = 3.59x − 12.84, R2 = 0.96), while oils in the southwestern region of the F1 area (S1-11–S1-16) are slightly more mature than oils in the northeastern region of the F1 and the well, SL1, far from the No. 1 main fault zone. Moreover, the two maturity grades (1.06–1.25% and 1.36–1.67%) of the oil samples calculated from the aromatic compounds indicate the presence of at least two clearly differentiated stages of hydrocarbon charge, with the late-stage charge dominating, which is consistent with previous insights derived from fluid inclusion studies and basin modeling [15,28].
Table 4.
Parameters derived from LHs of the studied oil samples.
Table 4.
Parameters derived from LHs of the studied oil samples.
| Well | MCH | nC7 | ƩDMCP | ICH | IMCH | I | H | K1 | nC7/MCH | TOL/nC7 |
|---|---|---|---|---|---|---|---|---|---|---|
| S1-3 | 31.69 | 55.76 | 12.55 | 21.43 | 32.22 | 2.40 | 41.19 | 1.03 | 1.76 | 0.35 |
| S1-18 | 29.21 | 56.80 | 13.98 | 16.85 | 29.77 | 2.53 | 39.98 | 1.04 | 1.94 | 0.29 |
| S1-7 | 29.99 | 56.29 | 13.72 | 18.64 | 30.50 | 2.42 | 40.20 | 1.03 | 1.88 | 0.31 |
| S1-20 | 31.33 | 54.87 | 13.81 | 19.28 | 31.89 | 2.34 | 39.34 | 1.03 | 1.75 | 0.33 |
| S1-1 | 31.18 | 54.56 | 14.26 | 18.34 | 31.76 | 2.32 | 38.71 | 1.03 | 1.75 | 0.31 |
| S1-5 | 32.30 | 54.16 | 13.54 | 20.82 | 32.87 | 2.26 | 39.38 | 1.01 | 1.68 | 0.30 |
| S1-11 | 28.68 | 57.47 | 13.86 | 17.18 | 29.21 | 2.48 | 40.84 | 1.02 | 2.00 | 0.24 |
| S1-14 | 33.72 | 51.15 | 15.14 | 22.53 | 34.35 | 2.02 | 36.56 | 1.03 | 1.52 | 0.20 |
| S1-15 | 31.05 | 54.91 | 14.04 | 18.68 | 31.61 | 2.30 | 39.32 | 1.01 | 1.77 | 0.27 |
| S1-16 | 30.91 | 55.12 | 13.98 | 17.96 | 31.46 | 2.37 | 39.16 | 1.01 | 1.78 | 0.26 |
| S1-9 | 31.91 | 54.73 | 13.36 | 20.49 | 32.45 | 2.35 | 39.54 | 1.02 | 1.72 | 0.35 |
| SP3 | 32.53 | 53.18 | 14.29 | 19.40 | 33.16 | 2.28 | 37.55 | 1.03 | 1.63 | 0.34 |
| SL1 | 30.96 | 54.97 | 14.07 | 20.26 | 31.49 | 2.09 | 39.97 | 1.01 | 1.78 | 0.22 |
Note: MCH = methylcyclohexane; ΣDMCP = (1,1-DMCP + 1c3-DMCP + 1t3-DMCP + 1t2-DMCP) [54]; nC7 = n-heptane; Tol = toluene; DMCP = dimethylcyclopentane; ICH(%) = CH × 100%/(CH+MCP + nC6); IMCH(%) = MCH × 100%/(MCH+ T-1, 3-DMCP+C-1, 3-DMCP+T-1, 2-DMCP+n C7); I: isoheptane value = (2 + 3)-MH/(1c3 + 1t3 + 1t2)-DMCP, H: heptane value = (nC7 × 100)/(CH + 2-MH + 2,3-DMP + 1,1-DMCP + 3-MH + 1c3-DMCP + 1t3-DMCP + 1t2DMCP + nC7 + MCH) [49]; K1 = (2-MH + 2,3-DMP)/(3-MH + 2,4-DMP) [39].
Figure 6.
Plot of the correlation between the aromatic maturity parameters, DNR (DNR = (2,6-DMN + 2,7-DMN)/1,5-DMN) and MDR (MDR = 4-/1-MDBT), for the studied oils.
5.2. Alteration Processes of Hydrocarbons
In general, alterations in reservoirs after hydrocarbons enter the trap, including thermal cracking, biodegradation, evaporative fractionation, and thermochemical sulfate reduction (TSR), among others, can differentially affect the composition and distribution of hydrocarbons [53,55]. In recent years, multiple deep reservoirs influenced by these alteration processes have been discovered in both the northern and central Tarim Basin areas [56,57,58]. Therefore, determining the extent of the influence of alteration processes on hydrocarbons is particularly essential.
As shown in Figure 2a, the chromatograms of the samples showed no obvious unresolved complex mixture (UCM) “hump”, indicating that no significant biodegradation processes prevailed. The 17α(H) 25-norphelanes are frequently observed in degraded oils and have been used to indicate the level of biodegradation in crude oils [59]. In this study, the 17α(H) 25-norphelanes are undetected because of their low concentrations. Additionally, in Figure 7, it is also evident that the oil samples in the study area did not undergo significant biodegradation, based on the nC7/MCH versus ToL/nC7 plot proposed by Thompson [48]. Collectively, these results suggest that crude oils around the F1 zone are well-preserved and do not suffer from significant biodegradation.
Figure 7.
The cross-plot of nC7/MCH versus Tol/nC7 (after Thompson [48]), demonstrating the secondary alteration in the studied oils.
Conventionally, it is commonly believed that the thermal cracking of liquid oil typically increases with reservoir depth until it completely reaches the so-called oil deadline, which is typically near 5 km and at temperatures of 150–175 °C [60]. However, as the exploration of ultra-deep reservoirs progresses, the concept of the oil deadline has been challenged. Based on the empirical equation proposed by Claypool and Mancini [61], C(%) = GOR × 100/(22428.8 + GOR), where C is the oil conversion and GOR is the gas-to-oil ratio, the calculated oil cracking degree in this study ranges from 0.87% to 2.0%, indicating that the oil samples in the F1 zone have basically not undergone thermal cracking. Additionally, the gas composition and carbon isotopes in this study also support this view. Based on the plot of Ln(C1/C2) versus Ln(C2/C3), Figure 8 shows that the natural gas in this study is dominated by kerogen cracking gas, with trace amounts of wet gas from the early stages of oil cracking [62,63,64]. The carbon isotopes of natural gas are relatively light, with δ13C1 being less than −45‰ and δ13C2 ranging from −37‰ to −38‰ (Figure 9), as is similar to the gas characteristics of the ultra-deep Ordovician reservoirs in the Fuyuan well area in the southwestern part of the Tabei region [60] and distinctly different from those of previous studies on oil cracked gas (ranging from −35‰ to −45‰) in the Tarim Basin [65]. Moreover, previous studies on diamondoids (with relatively low methyl-diamantane content (< 100 ppm)) in the study area also indicated that the Shunbei oils had cracked but had not yet reached the stage of oil cracking gas, corresponding to the stage of light oil generation [20]. Therefore, it is reasonable to infer that no significant thermal degradation of the ultra-deep Ordovician hydrocarbon occurred, which may be related to the low geothermal gradient in the study area and the depositional pattern of “early rapid burial and subsequent slow burial” [12].
Thermochemical sulfate reduction (TSR) is a process in which petroleum hydrocarbons react with inorganic sulfate to form CO2, H2S, and solid bitumen in gypsum- and paste-mud-bearing formations at higher reservoir temperatures [66]. It is generally considered that a hydrogen sulfide content above 3% has the possibility of triggering TSR alteration [67]. In this study, the H2S content varies from 0.003% to 2.224% (Table 1), this being the highest value for S1-18H, indicating the occurrence of limited TSR effects. Moreover, previous studies have suggested that the TSR alteration increases the DBT/P ratio, while the thermal maturation process decreases it [68]. Zhang et al. [69] concluded that oils subjected to TSR in the Tarim Basin are usually characterized by an elevated DBT/P ratio of > 2. The Middle Cambrian strata comprise a suite of supratidal anhydrite dolomites that evolved over a large area, with 400–1400 m thick anhydrite and salt beds. The reactive sulfate used for TSR is likely to be derived from the dissolution of anhydrite in the Middle Cambrian strata. The unusually high concentration of DBTs in the gas condensate may be due to the reverse reaction of H2S with hydrocarbons. In the case of TSR occurrence, higher temperatures of over 160 °C were necessary in the Tarim Basin [69]. As shown in the figure, the DBT/P ratios of the studied oil samples are in the range of 0.34 to 1.25 (Table 3), indicating that the occurrence of TSR effects in the study area is limited. In addition, the TSR is typically likely to change the composition of light hydrocarbons. Previous studies have suggested that TSR alteration results in a significant increase in K1 (K1 = 2-MH + 2,3-DMP)/(3-MH + 2,4-DMP) [38,52,70]. The K1 values of the studied oil samples were all around 1.0 (Table 4), with the highest value of 1.04 for S1-18H, indicating that no significant TSR alteration was experienced. In conclusion, the integrated analysis, based on the H2S content, the DBT/P ratios, and the K1 values of light hydrocarbons, suggests that the studied oils experienced limited TSR effects. In the study area, the lower Cambrian Shayilike formation (Є2s) and Awatage formation (Є2a) play an important role in the development of anhydrite and salt beds, which offer a favorable environment for TSR reactions. However, the low geothermal gradient and the rapid burial depth may have prevented a more pronounced TSR effect from occurring in this area.
Evaporative fractionation, also known as gas washing, thereby emphasizing the additional gas introduced into the reservoir rather than the dissolved gas from the oil, is important for investigating light oil or condensate. Their escape from the gas phase results in light-end compounds in the liquid phase that are readily soluble in gas entering the gas phase and migrate as part of the gas, resulting in the enrichment of heavy components that are not readily soluble with gas in the liquid phase [48]. Kissin et al. [71] and Meulbroek et al. [72] noted that the logarithm of the molar concentration of n-alkanes (Lg[MC(n)]) from unaltered petroleum is correlated with the corresponding carbon number and is widely used to reflect light component accumulation or depletion. As shown in Figure 10, the studied oil samples display two main types of relationships between the carbon number and the logarithm of the molar fraction of n-alkanes; one shows a very good linear relationship between them (Figure 10a), indicating that no significant evaporative fractionation occurred, while the other shows a slope break at about C24 (Figure 10b), where significant evaporative fractionation occurred. In addition, toluene/n-heptane (Tol/nC7) and n-heptane/methylcyclohexane (nC7/MCH), as proposed by Thompson [48], have frequently been used to evaluate the evaporative fractionation. The increased nC7/MCH values and lower Tol/nC7 values of the studied oils in Figure 7 also support this view.
Figure 8.
The cross-plot of Ln (C1/C2) versus Ln (C2/C3), demonstrating the origin and maturity of natural gases in this study region (after Xie et al. [73]). Data on the natural gas compositions were collected from the SINOPEC Northwest Company.
Figure 8.
The cross-plot of Ln (C1/C2) versus Ln (C2/C3), demonstrating the origin and maturity of natural gases in this study region (after Xie et al. [73]). Data on the natural gas compositions were collected from the SINOPEC Northwest Company.

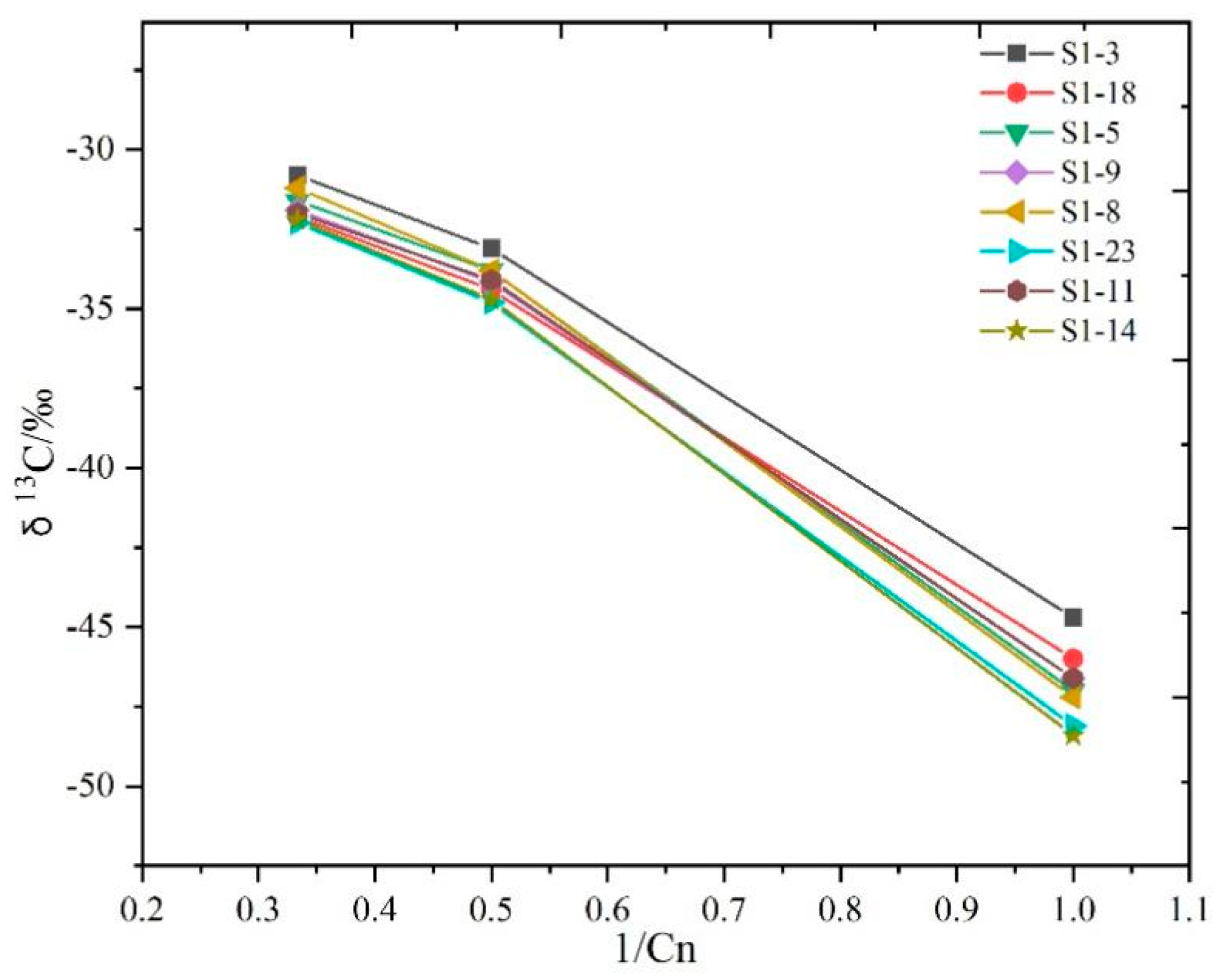
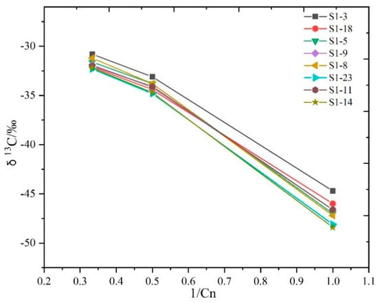
Figure 9.
The plot of δ13C versus 1/Cn of the Ordovician gas from the F1 zone in the Shunbei region. Data on the carbon isotopes of natural gas were collected from the SINOPEC Northwest Company.
Figure 9.
The plot of δ13C versus 1/Cn of the Ordovician gas from the F1 zone in the Shunbei region. Data on the carbon isotopes of natural gas were collected from the SINOPEC Northwest Company.

Figure 10.
Cross-plots showing carbon number versus the molar fraction plot of n-alkanes for the studied oils: (a) no/limited evaporative fractionation; (b) obvious evaporative fractionation.
Figure 10.
Cross-plots showing carbon number versus the molar fraction plot of n-alkanes for the studied oils: (a) no/limited evaporative fractionation; (b) obvious evaporative fractionation.

5.3. The Origin and Possible Migration Paths of Hydrocarbons
Geochemical correlation analyses of crude oils from the study area contribute to a better understanding of the origin of these reservoirs. In general, ratios including Pr/n-C17, Ph/n-C18, and Pr/Ph are frequently used to study the parent material types, depositional environments, and the maturity of oils and source rocks [34,35]. As shown in Figure 11, the cross-plot of Pr/n-C17 and Ph/n-C18 indicates that the studied oil samples are sourced from type-II organic matter in a marine reduction environment, similar to the oil of the Luntan1 (LT1) well, which is derived from the Lower Cambrian source rocks [74,75,76]. Similarly, Pr/Ph is an important parameter by which to classify the organic matter deposition environment, but it is also influenced by the parent source and the maturity, with a high Pr/Ph (>3) representing the input of organic matter from terrestrial sources under oxidizing conditions and a low Pr/Ph (<0.8) representing an anoxic environment [45]. Here, the average value of Pr/Ph of the studied oil samples is 1.02, which is slightly higher than that of the crude oils from south-central Tabei (mean value 0.79) [77], is due to the influence of maturity but likewise indicates a stronger reducing environment. The plot of Pr/Ph versus DBT/P has also been used to reflect the depositional environment of the source rocks [68]. As displayed in Figure 12, all the oil samples fall at the intersection of zone 1b, zone 2, and zone 3, all indicating a marine reducing environment. Moreover, the ternary diagram of n-heptane (nC7), dimethyl cyclopentanes (ΣDMCP), and methylcyclohexane (MCH) has frequently been used to determine the parent material source of oil and gas [54]. In this study, the predominance of the nC7 content among C7 LHs (Figure 3), together with the cyclohexane index ICH, ranging from 16.85% to 22.53%, and the methylcyclohexane index, varying from 29.21% to 34.35%, in the studied oil samples (Table 4) all equally support the idea that they originate from a similar marine algal source rock.
Figure 11.
The cross-plot of Ph/nC18 versus Pr/nC17 for the studied oils and the well, Luntan1 (LT1) (modified from Reference [74]; data for the LT1 well, as used for comparison, are from Deng [76]).
Figure 12.
The cross-plot of the pristane/phytane (Pr/Ph) ratio versus the dibenzothiophene/phenanthrene (DBT/P) ratio of the studied oils (after Hughes et al. [68]).
In addition, numerous studies have shown that the carbon isotopic compositions of hydrocarbons are mainly controlled by the carbon isotopic compositions of the source rocks. The effect of thermal evolution on the carbon isotopic composition of crude oil does not generally exceed 2‰ [78,79,80]. Therefore, the carbon isotopic composition of crude oil can be used as an effective means by which to identify the source of oil. Previous studies [78] on the carbon isotopes of source rocks and crude oils in the Tarim Basin indicated that the δ13Ckerogen values below −34‰ are attributable to source rocks dominated by benthic algae, while those above −30‰ were attributable to source rocks dominated by planktonic algae. Hu et al. [81] argued that the δ13Ckerogen values of crude oils were below −34‰ for the Lower Cambrian source rocks, above −29‰ for the Middle-Upper Cambrian source rocks, and in-between values were for the Cambrian source rocks. The δ13C values of oils in this study vary from −31.34‰ to −32.66‰, with a deviation of 1.32‰ (Table 1), which may support the idea of a common Cambrian oil source for these oils, with a mixed biogenic parent material type of benthic and planktonic algae. Furthermore, the plots of δ13C versus 1/Cn of natural gases (Figure 9) in this study show a positive sequence distribution (i.e., δ13C1 < δ13C2 < δ13C3 < δ13C4) and a similar distribution pattern, also indicating a similar organic origin.
The recent discovery of the Lower Cambrian Yuertusi formation source rock from the Luntan1 well (LT1) in the northern Tarim Basin further confirms the view that the Lower Cambrian source rocks have become the dominant source rocks in the Tarim Basin [11]. Previous studies suggested that the light oil of the Cambrian Wusonggeer formation from the LT1 well was derived from the underlying Cambrian Yuertusi formation source rock, which was deposited in an anoxic-sulfuric slow-slope terrestrial shelf environment, with the parent material type being mainly a mixture of benthic and planktonic algae and its maturity Ro ranging from 1.4% to 1.7% [11], which finding is generally consistent with the maturity Rc value of the studied oil samples (1.48–1.58%). The δ13C values (−31.3–32.4‰) of the crude oils in this study are consistent with those of the crude oil (−32.0‰) and the source rocks (−30.5–32.5.0‰) from the LT1 well [82], indicating that the studied oil samples have a strong affinity with the Lower Cambrian Yuertusi formation source rocks. Moreover, it has been shown that the Lower Cambrian Yuertusi formation source rocks are widely distributed in the eastern and central Tarim Basin, with a thickness of about 10–25 m; they cover an area of more than 260,000 km2, with a high TOC content of 2–6% [30]. The thermal evolution of hydrocarbon source rocks reveals that the lower Cambrian hydrocarbon source rocks in the SLU region area are still at the stage of producing highly mature liquid oil and condensate in a “large burial depth and high pressure” environment [83]. These findings all suggest that the studied oil samples may have been derived from the in situ Lower Cambrian Yuertusi formation source rocks.
Furthermore, the trend of the maturity calculated from the oil samples in this study versus the burial depth of the Ordovician reservoir (Figure 13) may suggest that the crude oils in the southwestern part of the F1 area are slightly more mature than those in the northeastern part. Generally, higher-maturity oils are closer to the source kitchen or initial charging points than lower-maturity oils [77]; thus, the southwestern area of the F1 zone is closer to the source kitchen. Furthermore, according to the lower crude oil maturity and the lower gas drying coefficient of the well SL1, far from the No. 1 fault, it can be deduced that the oil and gas migration is dominated by vertical migration along the No. 1 Fault. Based on the migration fractionation effect, the content of low molecular hydrocarbons (such as methane) would increase with the increase in the migration distance when lateral migration occurs [84]. In this study, the drying coefficient of natural gas in the southwest region of the study area is lower than those in the northeast (Table 2), indicating the possibility of gas migration from the southwest to the northeast and the northeast–high and southwest–low shape of the Ordovician reservoir, providing conditions for the lateral migration of natural gas from southwest to northeast, also supports this view. In conclusion, a comprehensive analysis of the maturity of crude oils and the dryness coefficient of natural gas in the study area concludes that the hydrocarbons in the present study mainly migrate vertically from the in situ Lower Cambrian Yuertusi formation source rocks to the Ordovician reservoirs, followed by a certain degree of lateral migration from southwest to northeast.
Figure 13.
The cross-plot of Rc2 (Rc2(%) = 0.49 + 0.09 * DNR) of the studied oils and the depth of the Ordovician reservoir.
6. Conclusions
- The predominance of low molecular weight n-alkanes, the absence of odd–even dominance, and the predominance of C20 TTs, rather than C23 TTs, along with the dominance of C21 pregnanes all show that the studied oils in the F1 zone are at a high maturity stage. The average equivalent vitrinite reflectance (Rc) of these oils, as estimated from light hydrocarbons (H versus I), MDI, DNR, and MDR, is in the vicinity of 1.50%, which indicates that most of the oils are in the late stage of crossing the oil window. In addition, the crude oils in the southwestern region of the F1 area (S1-11–S1-16) are slightly more mature than those in the northeastern region of the F1 and the well, SL1, far from the No. 1 main fault zone. The two maturity grades (1.06–1.25% and 1.36–1.67%) of the oil samples suggest the presence of at least two stages of hydrocarbon charge, with the late-stage charge predominating. Moreover, the natural gas in this study is dominated by kerogen cracking gas, with trace amounts of wet gas from the early stages of oil cracking, based on the gas compositions and component carbon isotopes.
- This paper mainly investigates the secondary alteration effects of hydrocarbons in terms of biodegradation, thermochemical sulfate reduction, thermal cracking, and evaporative fractionation. The indicators of various geochemical parameters show the significant alteration processes of hydrocarbons to be limited, suggesting favorable preservation conditions in the study region.
- On the basis of biomarker parameters, light hydrocarbons, and carbon isotope compositions, all findings suggest that these oils belong to the same source kitchen of a reduced marine sedimentary environment with mixed organic matter formed of benthic and planktonic algae. The oil–oil correlation analyses suggest that the oil samples are probably derived from the in situ Lower Cambrian Yuertusi formation source rocks. Additionally, according to the distribution of crude oil maturity and natural gas drying coefficient in the study area, it can be inferred that the hydrocarbons in this study area mainly migrate vertically from the in situ Lower Cambrian Yuertusi formation source rocks to the Ordovician reservoirs, followed by a certain degree of lateral migration from southwest to northeast along the Shunbei No. 1 fault zone.
Author Contributions
Conceptualization, J.B. and D.H.; data curation, J.B. and D.H.; formal analysis, J.B., D.H. and Z.J.; funding acquisition, D.H.; investigation, J.B., D.H., X.C. and Z.J.; methodology, J.B.; project administration, D.H.; resources, J.B. and D.H.; software, J.B. and D.H.; supervision, J.B., D.H., X.C. and Z.J.; visualization, J.B. and D.H.; writing—original draft, J.B. and D.H.; writing—review and editing, J.B. and D.H. All authors have read and agreed to the published version of the manuscript.
Funding
This study was financially supported by the Research Academy Key Special Project of Northwest Oilfield Company (Grant No. KY2021-S-046) and Shanxi Natural Science Foundation (Grant No. 201901D111050).
Institutional Review Board Statement
Not applicable.
Informed Consent Statement
Not applicable.
Data Availability Statement
The datasets presented in this study can be obtained upon request to the corresponding author.
Acknowledgments
The authors gratefully acknowledge the Northwest Oilfield Company for sample and data collection.
Conflicts of Interest
The authors declare no conflict of interest.
References
- Wei, G.; Zhu, Y.; Zheng, J.; Yu, G.; NI, X.; Yan, L.; Tian, L.; Huang, L. Tectonic-lithofacies paleogeography, large-scale source-reservoir distribution and exploration zones of Cambrian subsalt formation, Tarim Basin, NW China. Pet. Explor. Dev. 2021, 48, 1289–1303. [Google Scholar] [CrossRef]
- Li, J.; Tao, X.; Bai, B.; Huang, S.; Jiang, Q.; Zhao, Z.; Chen, Y.; Ma, D.; Zhang, L.; Li, N.; et al. Geological conditions, reservoir evolution and favorable exploration directions of marine ultra-deep oil and gas in China. Pet. Explor. Dev. 2021, 48, 60–79. [Google Scholar] [CrossRef]
- Bai, G.; Cao, B. Characteristics and distribution patterns of deep petroleum accumulations in the world. Oil Gas Geol. 2014, 35, 19–25. (In Chinese) [Google Scholar] [CrossRef]
- Sun, L.; Zou, C.; Zhu, R.; Zhang, Y.; Zhang, S.; Zhang, B.; Zhu, G.; Gao, Z. Formation, distribution and potential of deep hydrocarbon resources in China. Pet. Explor. Dev. 2013, 40, 687–695. [Google Scholar] [CrossRef]
- Zhang, S.; Su, J.; Zhang, B.; Wang, X.; He, K. Genetic mechanism and controling factors of ddeep marine light oil and condensate oil in tarim basin. Acta Pet. Sin. 2021, 42, 1566–1580. [Google Scholar] [CrossRef]
- Hu, A.C.; Niu, D.; Wang, H.; Li, T.Y.; Xu, P. The characteristics and fromation mechanism of condensation oil and gas in bozhong 19-6 structure, bozhong sag, bohai bay basin. Acta Pet. Sin. 2020, 41, 403–411. (In Chinese) [Google Scholar] [CrossRef]
- Shi, J.; Li, J.; Hao, A.; Shi, Z.; Zhang, B.; Hao, B.; Qi, X.; Chen, B.; Xue, L.; Ma, L.; et al. Geochemical characteristics and genesis of deep marine carbonate natural gas in China. Carbonates Evaporites 2021, 36, 1–15. [Google Scholar] [CrossRef]
- Chai, Z.; Chen, Z. Biomarkers, light hydrocarbons, and diamondoids of petroleum in deep reservoirs of the southeast Tabei Uplift, Tarim Basin: Implication for its origin, alteration, and charging direction. Mar. Pet. Geol. 2023, 147, 106019. [Google Scholar] [CrossRef]
- Ma, Y.; Cai, X.; Yun, L.; Li, Z.; Li, H.; Deng, S.; Zhao, P. Practice and theoretical and technical progress in exploration and development of Shunbei ultra-deep carbonate oil and gas field, Tarim Basin, NW China. Pet. Explor. Dev. 2022, 49, 1–20. [Google Scholar] [CrossRef]
- Li, M.; Chen, Z.; Yi, S.; Lin, S.; Gao, Y.; Huang, F.; She, Y.; Qiao, R. Origin and accumulation mechanisms of deep paleozoic oil and gas: A case study of the central Tarim basin, western China. J. Pet. Sci. Eng. 2022, 208, 109634. [Google Scholar] [CrossRef]
- Zhu, G.; Milkov, A.V.; Li, J.; Xue, N.; Chen, Y.; Hu, J.; Li, T.; Zhang, Z.; Chen, Z. Deepest oil in Asia: Characteristics of petroleum system in the Tarim basin, China. J. Pet. Sci. Eng. 2021, 199, 108246. [Google Scholar] [CrossRef]
- GU, Y.; Wan, Y.; Huang, J.; Zhuang, X.; Wang, B.; Li, M. Prospects for ultra-deep oil and gas in the “deep burial and high pressure” tarim basin. Pet. Geol. Exp. 2019, 41, 157–164. (In Chinese) [Google Scholar] [CrossRef]
- Jiao, F. Significance and prospect of ultra-deep carbonate fault-karst reservoirs in shunbei area, tarim basin. Oil Gas Geol. 2018, 39, 0207–0210. (In Chinese) [Google Scholar] [CrossRef]
- Qi, L. Structural characteristics and storage control function of the Shun I fault zone in the Shunbei region, Tarim Basin. J. Pet. Sci. Eng. 2021, 203, 1–15. [Google Scholar] [CrossRef]
- Yang, P.; Liu, K.; Liu, J.; Yu, S.; Yu, B.; Hou, M.; Wu, L. Petroleum charge history of deeply buried carbonate reservoirs in the Shuntuoguole Low Uplift, Tarim Basin, west China. Mar. Pet. Geol. 2021, 128, 105063. [Google Scholar] [CrossRef]
- Wu, L.; Jin, Z.; Liu, K.; Chu, Z.; Yang, P. Evolution of a deeply-buried oil reservoir in the north Shuntuoguole Low Uplift, Tarim Basin, western China: Insights from molecular geochemistry and Re–Os geochronology. Mar. Pet. Geol. 2021, 134, 105365. [Google Scholar] [CrossRef]
- Wang, Q.; Hao, F.; Cao, Z.; Tian, J.; Cong, F. Geochemistry and origin of the ultra-deep Ordovician oils in the Shunbei field, Tarim Basin, China: Implications on alteration and mixing. Mar. Pet. Geol. 2021, 123, 104725. [Google Scholar] [CrossRef]
- Chen, Z.; Chai, Z.; Cheng, B.; Liu, H.; Cao, Y.; Cao, Z.; Qu, J. Geochemistry of high-maturity crude oil and gas from deep reservoirs and their geological significance: A case study on Shuntuoguole low uplift, Tarim Basin, western China. AAPG Bull. 2021, 105, 65–107. [Google Scholar] [CrossRef]
- Cheng, B.; Liu, H.; Cao, Z.; Wu, X.; Chen, Z. Origin of deep oil accumulations in carbonate reservoirs within the north Tarim Basin: Insights from molecular and isotopic compositions. Org. Geochem. 2020, 139, 1–15. [Google Scholar] [CrossRef]
- Chai, Z.; Chen, Z.; Liu, H.; Cao, Z.; Cheng, B.; Wu, Z.; Qu, J. Light hydrocarbons and diamondoids of light oils in deep reservoirs of Shuntuoguole Low Uplift, Tarim Basin: Implication for the evaluation on thermal maturity, secondary alteration and source characteristics. Mar. Pet. Geol. 2020, 117, 1–18. [Google Scholar] [CrossRef]
- Cao, Z.; Lu, Q.; Gu, Y.; Wu, X.; You, D.; Zhu, X. Characteristics of ordovician reservoirs in shunbei 1 and 5 fault zones, tarim basin. Oil Gas Geol. 2020, 41, 975–984. (In Chinese) [Google Scholar] [CrossRef]
- Wang, Q.; Huang, H.; Chen, H.; Zhao, Y. Secondary alteration of ancient Shuntuoguole oil reservoirs, Tarim Basin, NW China. Mar. Pet. Geol. 2020, 111, 202–218. [Google Scholar] [CrossRef]
- Ma, A.; He, Z.; Yun, L.; Wu, X.; Qiu, N.; Chang, J.; Lin, H.; Cao, Z.; Zhu, X.; You, D. The geochemical characteristics and origin of Ordovician ultra-deep natural gas in the North Shuntuoguole area, Tarim Basin, NW China. J. Nat. Gas Geosci. 2021, 6, 289–300. [Google Scholar] [CrossRef]
- Zhu, X.; Chen, X.; Cao, Z. Hydrocarbon accumulation mode of shuntuo 1 well block in the shuntuoguole lower uplift, tarim basin. Pet. Geol. Expr. 2017, 39, 0041–0050. (In Chinese) [Google Scholar] [CrossRef]
- Wang, Y.; Chen, H.; Guo, H.; Zhu, Z.; Wang, Q.; Yu, P. Hydrocarbon charging history of the ultra-deep reservoir in shun 1 strike-slip fault zone, tarim basin. Oil Gas Geol. 2019, 40, 972–989. (In Chinese) [Google Scholar] [CrossRef]
- Qi, L.; Yun, L.; Cao, Z.; Li, H.; Hung, C. Geological reserves assessment and petroleum exploration targets in shunbei oil & gas field. Xinjiang Pet. Geol. 2021, 42, 127–135. (In Chinese) [Google Scholar]
- Jia, C. Plate Tectonics and Continental Dynamics, Tarim Basin; Petroleum Industry Press: Beijing, China, 2004; p. 130. [Google Scholar]
- Yang, S.; Wu, G.; Zhu, Y.; Zhang, Y.; Zhao, X.; Lu, Z.; Zhang, B. Key oil accumulation periods of ultra-deep fault-controlled oil reservoir in northern Tarim Basin, NW China. Pet. Explor. Dev. 2022, 49, 285–299. [Google Scholar] [CrossRef]
- Wang, Y.; Chen, J.; Shen, W.; Li, M. Mechanism of Organic Matter Accumulation in Black Shales of the Yuertusi Formation in the Tarim Basin: Insights From Paleoenvironmental Variation During the Early Cambrian. Front. Earth Sci. 2022, 10, 1–13. [Google Scholar] [CrossRef]
- Zhu, G.; Chen, F.; Wang, M.; Zhang, Z.; Ren, R.; Wu, L. Discovery of the lower Cambrian high-quality source rocks and deep oil and gas exploration potential in the Tarim Basin, China. AAPG Bull. 2018, 102, 2123–2151. [Google Scholar] [CrossRef]
- Zhang, Z.; Zhu, G.; Zhang, Y.; Han, J.; Li, T.; Wang, E.; Greenwood, P. The origin and accumulation of multi-phase reservoirs in the east Tabei uplift, Tarim Basin, China. Mar. Pet. Geol. 2018, 98, 533–553. [Google Scholar] [CrossRef]
- Qi, L. Characteristics and inspiration of ultra-deep fault-karst reservoir in the shunbei area of the tarim basin. China Pet. Explor. 2020, 25, 102–111. (In Chinese) [Google Scholar] [CrossRef]
- Moldowan, J.M.; Seifert, W.K.; Arnold, E.; Clardy, J. Structure proof and significance of stereoisomeric 28,30-bisnorhopanes in petroleum and petroleum source rocks. Geochim. Cosmochim. Acta 1984, 48, 1651–1661. [Google Scholar] [CrossRef]
- Peters, K.E.; Walters, C.C.; Moldowan, J.M. The Biomarker Guide; Cambridge University Press: Cambridge, UK, 2005. [Google Scholar]
- Chen, J.; Fu, J.; Sheng, G.; Liu, D.; Zhang, J. Diamondoid hydrocarbon ratios: Novel maturity indices for highly mature crude oils. Org. Geochem. 1996, 25, 179–190. [Google Scholar] [CrossRef]
- Alexander, R.; Kagi, R.; Rowland, S.; Sheppard, P.; Chirila, T. The effects of thermal maturity on distributions of dimethylnaphthalenes and trimethylnaphthalenes in some Ancient sediments and petroleums. Geochim. Cosmochim. Acta 1985, 49, 385–395. [Google Scholar] [CrossRef]
- Huo, Q.; Li, Z.; Fu, L.; Gao, M. Study on the correlation of methyldibenzothiophenes distribution and organic maturity. Daqing Pet. Geol. Dev. 2008, 27, 32–38. (In Chinese) [Google Scholar]
- Mango, F.D. The light hydrocarbons in petroleum: A critical review. Org. Geochem. 1997, 26, 417–440. [Google Scholar] [CrossRef]
- Mango, F.D. The origin of light hydrocarbons in petroleum: A kinetic test of the steady-state catalytic hypothesis. Geochim. Cosmochim. Acta 1990, 54, 1315–1323. [Google Scholar] [CrossRef]
- Haven, H.T. Applications and limitations of Mango’s light hydrocarbon parameters in petroleum correlation studies. Org. Geochem. 1996, 24, 957–976. [Google Scholar] [CrossRef]
- Dahl, J.E.; Moldowan, J.M.; Peters, K.E.; Claypool, G.E.; Rooney, M.A.; Michael, G.E.; Mello, M.R.; Kohnen, M.L. Diamondoids as a quantitative indicator of natural oil cracking. Nature 1999, 399, 54–61. [Google Scholar] [CrossRef]
- Dahl, J.E.P.; Moldowan, J.M.; Wei, Z.; Lipton, P.A.; Denisevich, P.; Gat, R.; Liu, S.; Schreiner, P.R.; Carlson, R.M.K. Synthesis of Higher Diamondoids and Implications for Their Formation in Petroleum. Angew. Chem. Int. Ed. 2010, 49, 9881–9885. [Google Scholar] [CrossRef]
- Chen, J.; Fu, J.; Sheng, G.; Liu, D.; Zhang, J. The structure characterization and geochemical signification of diamondoid hydrocarbons. Chin. Sci. Bull. 1996, 41, 524–527. [Google Scholar]
- Ma, A. New advancement in application of diamondoids on organic geochemistry. Nat. Gas Geosci. 2016, 27, 851–860. (In Chinese) [Google Scholar] [CrossRef]
- Peters, K.E.; Moldowan, J.M.; Schoell, M.; Hempkins, W.B. Petroleum isotopic and biomarker composition related to source rock organic matter and depositional environment. Org. Geochem. 1986, 10, 17–27. [Google Scholar] [CrossRef]
- Chai, Z.; Chen, Z.; Patience, R.; Wen, Z.; Tang, Y.; Cheng, B.; Li, M.; Luemba, M.; Wu, Z. Light hydrocarbons and diamondoids in deep oil from Tabei of Tarim Basin: Implications on petroleum alteration and mixing. Mar. Pet. Geol. 2022, 138, 105565. [Google Scholar] [CrossRef]
- Thompson, K.F.M. Light hydrocarbons in subsurface sediments. Geochim. Cosmochim. Acta 1979, 43, 657–672. [Google Scholar] [CrossRef]
- Thompson, K.F.M. Fractionated aromatic petroleums and the generation of gas-condensates. Org. Geochem. 1987, 11, 573–590. [Google Scholar] [CrossRef]
- Thompson, K.F.M. Classification and thermal history of petroleum based on light hydrocarbons. Geochim. Cosmochim. Acta 1983, 47, 303–316. [Google Scholar] [CrossRef]
- Walters, C.C.; Isaksen, G.H.; Peters, K.E. Applications of Light Hydrocarbon Molecular and Isotopic Compositions in Oil and Gas Exploration. In Analytical Advances for Hydrocarbon Research; Springer: Boston, MA, USA, 2003; Volume 120, pp. 247–266. [Google Scholar] [CrossRef]
- Wilhelms, A.; Larter, S. Impact of petroleum charge mixing on reservoir geochemistry. Geol. Soc. Lond. Spéc. Publ. 2004, 237, 27–35. [Google Scholar] [CrossRef]
- Chakhmakhchev, A.; Suzuki, M.; Takayama, K. Distribution of alkylated dibenzothiophenes in petroleum as a tool for maturity assessments. Org. Geochem. 1997, 26, 483–489. [Google Scholar] [CrossRef]
- Yang, S.; Li, M.; Liu, X.; Han, Q.; Wu, J.; Zhong, N. Thermodynamic stability of methyldibenzothiophenes in sedimentary rock extracts: Based on molecular simulation and geochemical data. Org. Geochem. 2018, 129, 24–41. [Google Scholar] [CrossRef]
- Dai, J.X. Identification an d distinction of various alkane gases. Sci. China Ser. B-Chem. 1992, 35, 1246–1257. [Google Scholar]
- Zhu, G.; Zhang, S.; Su, J.; Zhang, B.; Yang, H.; Zhu, Y.; Gu, L. Alteration and multi-stage accumulation of oil and gas in the Ordovician of the Tabei Uplift, Tarim Basin, NW China: Implications for genetic origin of the diverse hydrocarbons. Mar. Pet. Geol. 2013, 46, 234–250. [Google Scholar] [CrossRef]
- Zhu, G.; Zhang, Y.; Zhou, X.; Zhang, Z.; Du, D.; Shi, S.; Li, T.; Chen, W.; Han, J. Tsr, deep oil cracking and exploration potential in the Hetianhe gas field, Tarim Basin, China. Fuel 2019, 236, 1078–1092. [Google Scholar] [CrossRef]
- Zhu, G.; Milkov, A.V.; Zhang, Z.; Sun, C.; Zhou, X.; Chen, F.; Han, J.; Zhu, Y. Formation and preservation of a giant petroleum accumulation in superdeep carbonate reservoirs in the southern Halahatang oil field area, Tarim Basin, China. AAPG Bull. 2019, 103, 1703–1743. [Google Scholar] [CrossRef]
- Zhan, Z.-W.; Zou, Y.-R.; Pan, C.; Sun, J.-N.; Lin, X.-H.; Peng, P.A. Origin, charging, and mixing of crude oils in the Tahe oilfield, Tarim Basin, China. Org. Geochem. 2017, 108, 18–29. [Google Scholar] [CrossRef]
- Requejo, A.G.; Halpern, H.I. An unusual hopane biodegradation sequence in tar sands from the pt. Arena (monterey) formation. Nature 1989, 342, 670–673. [Google Scholar] [CrossRef]
- Zhu, G.; Milkov, A.V.; Chen, F.; Weng, N.; Zhang, Z.; Yang, H.; Liu, K.; Zhu, Y. Non-cracked oil in ultra-deep high-temperature reservoirs in the Tarim basin, China. Mar. Pet. Geol. 2018, 89, 252–262. [Google Scholar] [CrossRef]
- Claypool, G.E.; Mancini, E.A. Geochemical relationships of petroleum in mesozoic reservoirs to carbonate source rocks of jurassic smackover formation, southwestern alabama. AAPG 1989, 73, 904–924. [Google Scholar]
- Behar, F.; Ungerer, P.; Kressmann, S.; Rudkiewicz, J.L. Thermal Evolution of Crude Oils in Sedimentary Basins: Experimental Simulation in a Confined System and Kinetic Modeling. Rev. Linstitut Fr. Du Pet. 1991, 46, 151–181. [Google Scholar] [CrossRef]
- Sassen, R.; Joye, S.; Sweet, S.T.; DeFreitas, D.A.; Milkov, A.V.; MacDonald, I.R. Thermogenic gas hydrates and hydrocarbon gases in complex chemosynthetic communities, Gulf of Mexico continental slope. Org. Geochem. 1999, 30, 485–497. [Google Scholar] [CrossRef]
- Leila, M.; Lévy, D.; Battani, A.; Piccardi, L.; Šegvić, B.; Badurina, L.; Pasquet, G.; Combaudon, V.; Moretti, I. Origin of continuous hydrogen flux in gas manifestations at the Larderello geothermal field, Central Italy. Chem. Geol. 2021, 585, 120564. [Google Scholar] [CrossRef]
- Cao, Y.; Wang, S.; Zhang, Y.; Yang, M.; Yan, L.; Zhao, Y.; Zhang, J.; Wang, X.; Zhou, X.; Wang, H. Petroleum geological conditions and exploration potential of Lower Paleozoic carbonate rocks in Gucheng Area, Tarim Basin, China. Pet. Explor. Dev. 2019, 46, 1165–1181. [Google Scholar] [CrossRef]
- Liu, W.; Tenger; Gao, B.; Zhang, Z.; Zhang, J.; Zhang, D.; Fan, M.; Fu, X.; Zheng, L.; Liu, Q. H2S formation and enrichment mechanisms in medium to large scale natural gas fields (reservoirs) in the Sichuan Basin. Pet. Explor. Dev. 2010, 37, 513–522. [Google Scholar] [CrossRef]
- Kelemen, S.R.; Walters, C.C.; Kwiatek, P.J. Distinguishing solid bitumens formed by thermochemical sulfate reduction and thermal chemical alteration. Org. Geochem. 2008, 39, 1137–1143. [Google Scholar] [CrossRef]
- Hughes, W.B.; Holba, A.G.; Dzou, L.I.P. The ratios of dibenzothiophene to phenanthrene and pristane to phytane as indicators of depositional environment and lithology of petroleum source rocks. Geochim. Cosmochim. Acta 1995, 59, 3581–3598. [Google Scholar] [CrossRef]
- Zhang, S.; Huang, H.; Su, J.; Liu, M.; Wang, X.; Hu, J. Geochemistry of Paleozoic marine petroleum from the Tarim Basin, NW China: Part 5. Effect of maturation, TSR and mixing on the occurrence and distribution of alkyldibenzothiophenes. Org. Geochem. 2015, 86, 5–18. [Google Scholar] [CrossRef]
- Song, D.F.; Zhang, C.M.; Li, S.M.; Wang, T.G.; Li, M.J. Elevated Mango’sK1Values Resulting from Thermochemical Sulfate Reduction within the Tazhong Oils, Tarim Basin. Energy Fuels 2017, 31, 1250–1258. [Google Scholar] [CrossRef]
- Kissin, Y.V. Catagenesis and composition of petroleum: Origin of n-alkanes and isoalkanes in petroleum crudes. Geochim. Cosmochim. Acta 1987, 51, 2445–2457. [Google Scholar] [CrossRef]
- Meulbroek, P.; Cathles, L.; Whelan, J. Phase fractionation at South Eugene Island Block 330. Org. Geochem. 1998, 29, 223–239. [Google Scholar] [CrossRef]
- Xie, Z.; Li, Z.; Wei, G.; Li, J.; Wang, D.; Wang, Z.; Dong, C. Experimental research on the potential of sapropelic kerogen degradation gas and discrimination of oil cracking gas. J. Nat. Gas Geosci. 2016, 1, 471–479. [Google Scholar] [CrossRef]
- Connan, J.; Cassou, A. Properties of gases and petroleum liquids derived from terrestrial kerogen at various maturation levels. Geochim. Cosmochim. Acta 1980, 44, 1–23. [Google Scholar] [CrossRef]
- Hanson, A.D.; Zhang, S.C.; Moldowan, J.M.; Liang, D.G.; Zhang, B.M. Molecular organic geochemistry of the tarim basin, northwest china. AAPG Bull. 2000, 84, 1109–1128. [Google Scholar]
- Deng, Q. Sedimentary Geochemical Records and Organic Matter Accumulation Mechanisms in the Sinian-Lower Cambrian Strata: Case Studies in South China and the Tarim Basin, nw China China Academy of Sciences University; Guangzhou Institute of Geochemistry, Chinese Academy of Sciences: Guangzhou, China, 2021; p. 176. [Google Scholar]
- Yi, L.; Liu, Z.; Chen, Z.; Li, M. Thermal maturity, source characteristics, and migration directions for the Ordovician oil in the Central Tabei Uplift, Tarim Basin: Insight from biomarker geochemistry. J. Pet. Sci. Eng. 2020, 189, 1–14. [Google Scholar] [CrossRef]
- Zhu, X.; Chen, J.; Wu, J.; Wang, Y.; Zhang, B.; Zhang, K.; He, L. Carbon isotopic compositions and origin of Paleozoic crude oil in the platform region of Tarim Basin, NW China. Pet. Explor. Dev. 2017, 44, 1053–1060. [Google Scholar] [CrossRef]
- Stahl, W.J. Carbon and nitrogen isotopes in hydrocarbon research and exploration. Chem. Geol. 1977, 20, 121–149. [Google Scholar] [CrossRef]
- Clayton, C.J. Effect of maturity on carbon isotope ratios of oils and condensates. Org. Geochem. 1991, 17, 887–899. [Google Scholar] [CrossRef]
- Guang, H.; Qingqiang, M.; Jie, W.; Tengger; Xiaomin, X.; Longfei, L.; Houyong, L.; Wenhui, L. The original organism assemblages and kerogen carbon isotopic compositions of the early paleozoic source rocks in the tarim basin, china. Acta Geol. Sin. 2018, 92, 2297–2309. [Google Scholar]
- Yang, H.; Yu, S.; Zhang, H.; Li, T.; Fan, S.; Cheng, B.; Chen, C.; Jia, W.; Liao, Z.; Tian, H.; et al. Geochemical characteristics of lower cambrian sources rocks from the deepest drilling of well lt-1 and their significance to deep oil gas exploration of the lower paleozoic system in the tarim basin. Geochimica 2020, 49, 666–682. (In Chinese) [Google Scholar] [CrossRef]
- Gu, Y.; Huang, J.; Jia, C.; Shao, Z.; Sun, Y.; Lu, Q. Research progress on marine oil and gas accumulation in tarim basin. Pet. Geol. Exp. 2020, 42, 0001–0012. [Google Scholar] [CrossRef]
- Hou, D.; Feng, Z. Petroleum Geochemistry; Petroleum Industry Press: Beijing, China, 2011; p. 348. (In Chinese) [Google Scholar]
Disclaimer/Publisher’s Note: The statements, opinions and data contained in all publications are solely those of the individual author(s) and contributor(s) and not of MDPI and/or the editor(s). MDPI and/or the editor(s) disclaim responsibility for any injury to people or property resulting from any ideas, methods, instructions or products referred to in the content. |
© 2023 by the authors. Licensee MDPI, Basel, Switzerland. This article is an open access article distributed under the terms and conditions of the Creative Commons Attribution (CC BY) license (https://creativecommons.org/licenses/by/4.0/).









