Effect of Calcium Hydroxide on Compressive Strength and Microstructure of Geopolymer Containing Admixture of Kaolin, Fly Ash, and Red Mud
Abstract
1. Introduction
2. Materials and Methods
2.1. Materials
2.2. Preparation of Geopolymers
2.3. Testing and Measurement
3. Results and Discussion
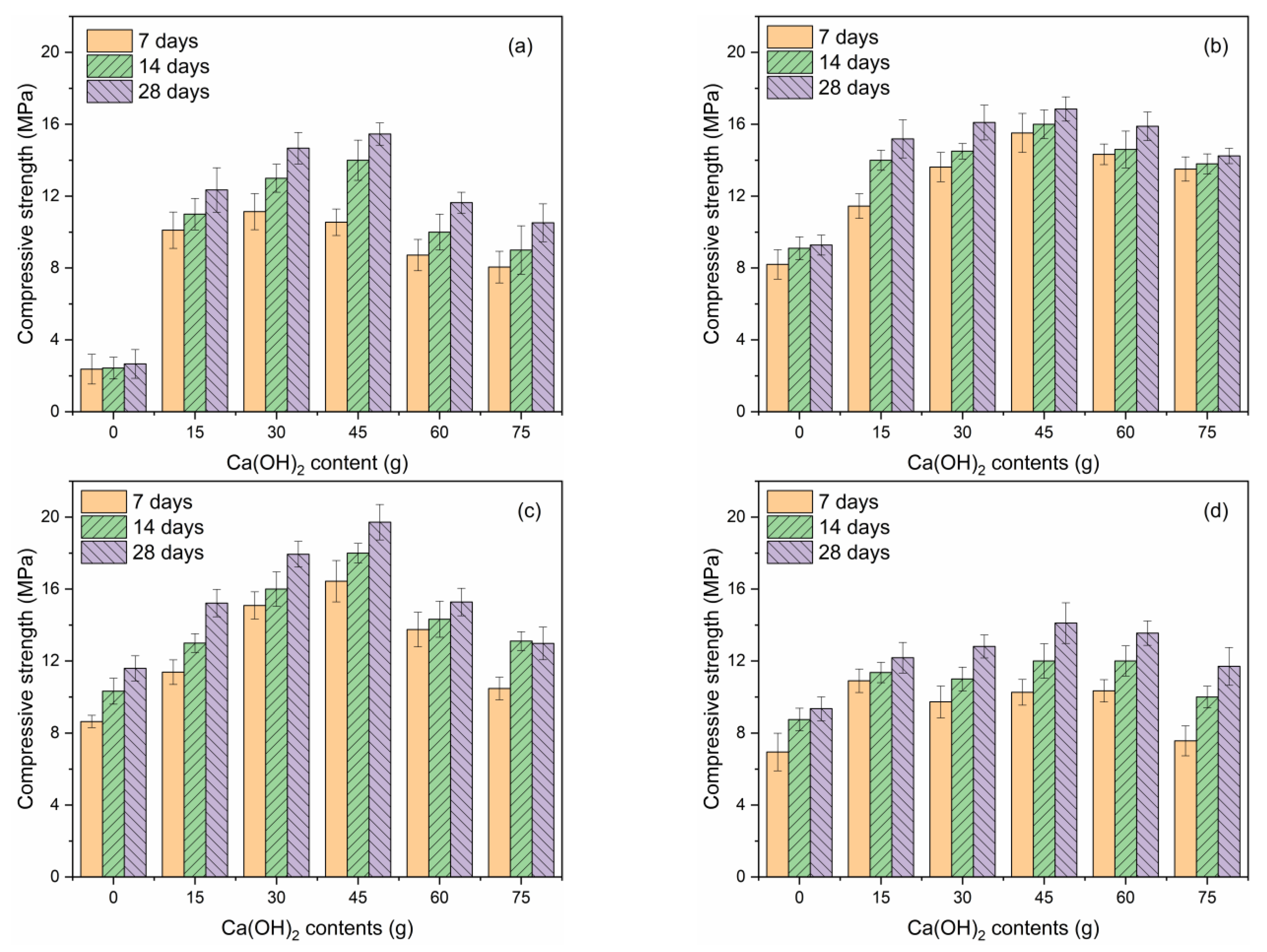
3.1. Compressive Strength of Geopolymers
3.2. Microstructure of Geopolymers
3.2.1. Phase Analysis
3.2.2. Morphology Analysis
3.2.3. FT-IR Spectroscopy Analysis
3.2.4. Porosity
4. Conclusions
Author Contributions
Funding
Institutional Review Board Statement
Informed Consent Statement
Data Availability Statement
Conflicts of Interest
References
- Davidovits, J. Properties of geopolymer cements. In Proceedings of the First International Conference on Alkaline Cements and Concretes, Scientific Research Institute on Binders and Materials, Kiev, Ukraine, 11–14 October 1994. [Google Scholar]
- Hu, Y.; Shao, Z.; Wang, J.; Zang, J.; Tang, L.; Ma, F.; Qian, B.; Ma, B.; Wang, L. Investigation into the influence of calcium compounds on the properties of micropore-foamed geopolymer. J. Build. Eng. 2022, 45, 103521. [Google Scholar] [CrossRef]
- Toniolo, N.; Boccaccini, A.R. Fly ash-based geopolymers containing added silicate waste. A review. Ceram. Int. 2017, 43, 14545–14551. [Google Scholar] [CrossRef]
- Burduhos Nergis, D.D.; Abdullah, M.M.A.B.; Vizureanu, P.; Tahir, M.F.M. Geopolymers and Their Uses: Review. In Proceedings of the IOP Conference Series: Materials Science and Engineering, Iasi, Romania, 17–18 May 2018; Volume 374, p. 012019. [Google Scholar]
- Prud’homme, E.; Michaud, P.; Joussein, E.; Peyratout, C.; Smith, A.; Rossignol, S. In situ inorganic foams prepared from various clays at low temperature. Appl. Clay Sci. 2011, 51, 15–22. [Google Scholar] [CrossRef]
- Selmani, S.; Essaidi, N.; Gouny, F.; Bouaziz, S.; Joussein, E.; Driss, A.; Sdiri, A.; Rossignol, S. Physical–chemical characterization of Tunisian clays for the synthesis of geopolymers materials. J. Afr. Earth Sci. 2015, 103, 113–120. [Google Scholar] [CrossRef]
- Tiffo, E.; Bike Mbah, J.B.; Belibi Belibi, P.D.; Yankwa Djobo, J.N.; Elimbi, A. Physical and mechanical properties of unheated and heated kaolin based-geopolymers with partial replacement of aluminium hydroxide. Mater. Chem. Phys. 2020, 239, 122103. [Google Scholar] [CrossRef]
- Ji, Z.; Pei, Y. Geopolymers produced from drinking water treatment residue and bottom ash for the immobilization of heavy metals. Chemosphere 2019, 225, 579–587. [Google Scholar] [CrossRef]
- Zhang, M.; El-Korchi, T.; Zhang, G.; Liang, J.; Tao, M. Synthesis factors affecting mechanical properties, microstructure, and chemical composition of red mud–fly ash based geopolymers. Fuel 2014, 134, 315–325. [Google Scholar] [CrossRef]
- Sarkar, C.; Basu, J.K.; Samanta, A.N. Experimental and kinetic study of fluoride adsorption by Ni and Zn modified LD slag based geopolymer. Chem. Eng. Res. Des. 2019, 142, 165–175. [Google Scholar] [CrossRef]
- Runtti, H.; Luukkonen, T.; Niskanen, M.; Tuomikoski, S.; Kangas, T.; Tynjälä, P.; Tolonen, E.-T.; Sarkkinen, M.; Kemppainen, K.; Rämö, J.; et al. Sulphate removal over barium-modified blast-furnace-slag geopolymer. J. Hazard. Mater. 2016, 317, 373–384. [Google Scholar] [CrossRef]
- Zhu, H.; Liang, G.; Xu, J.; Wu, Q.; Zhai, M. Influence of rice husk ash on the waterproof properties of ultrafine fly ash based geopolymer. Constr. Build. Mater. 2019, 208, 394–401. [Google Scholar] [CrossRef]
- Kaur, K.; Singh, J.; Kaur, M. Compressive strength of rice husk ash based geopolymer: The effect of alkaline activator. Constr. Build. Mater. 2018, 169, 188–192. [Google Scholar] [CrossRef]
- Pérez-Villarejo, L.; Bonet-Martínez, E.; Eliche-Quesada, D.; Sánchez-Soto, P.J.; Rincón-López, J.M.; Castro-Galiano, E. Biomass fly ash and aluminium industry slags-based geopolymers. Mater. Lett. 2018, 229, 6–12. [Google Scholar] [CrossRef]
- Hajjaji, W.; Andrejkovičová, S.; Zanelli, C.; Alshaaer, M.; Dondi, M.; Labrincha, J.A.; Rocha, F. Composition and technological properties of geopolymers based on metakaolin and red mud. Mater. Des. 2013, 52, 648–654. [Google Scholar] [CrossRef]
- Mudgal, M.; Singh, A.; Chouhan, R.K.; Acharya, A.; Srivastava, A.K. Fly ash red mud geopolymer with improved mechanical strength. Clean. Eng. Technol. 2021, 4, 100215. [Google Scholar] [CrossRef]
- Zhang, M.; Zhao, M.; Zhang, G.; Sietins, J.M.; Granados-Focil, S.; Pepi, M.S.; Xu, Y.; Tao, M. Reaction kinetics of red mud-fly ash based geopolymers: Effects of curing temperature on chemical bonding, porosity, and mechanical strength. Cem. Concr. Compos. 2018, 93, 175–185. [Google Scholar] [CrossRef]
- Paramguru, R.K.; Rath, P.C.; Misra, V.N. Trend in red mud utilization—A review. Miner. Process. Extr. Metall. Rev. 2004, 26, 1–29. [Google Scholar] [CrossRef]
- Zhang, M.; Zhao, M.; Zhang, G.; Mann, D.; Lumsden, K.; Tao, M. Durability of red mud-fly ash based geopolymer and leaching behavior of heavy metals in sulfuric acid solutions and deionized water. Constr. Build. Mater. 2016, 124, 373–382. [Google Scholar] [CrossRef]
- Kaya, K.; Soyer-Uzun, S. Evolution of structural characteristics and compressive strength in red mud–metakaolin based geopolymer systems. Ceram. Int. 2016, 42, 7406–7413. [Google Scholar] [CrossRef]
- He, J.; Zhang, J.; Yu, Y.; Zhang, G. The strength and microstructure of two geopolymers derived from metakaolin and red mud-fly ash admixture: A comparative study. Constr. Build. Mater. 2012, 30, 80–91. [Google Scholar] [CrossRef]
- Li, J.; Li, Q.; Chen, P.; Yao, K.; Wang, P.; Ming, Y.; Yi, J.; Zhi, L. The Effect of Bayer Red Mud Blending on the Mechanical Properties of Alkali-Activated Slag-Red Mud and the Mechanism. Appl. Sci. 2023, 13, 452. [Google Scholar] [CrossRef]
- Qaidi, S.M.A.; Tayeh, B.A.; Isleem, H.F.; de Azevedo, A.R.G.; Ahmed, H.U.; Emad, W. Sustainable utilization of red mud waste (bauxite residue) and slag for the production of geopolymer composites: A review. Case Stud. Constr. Mater. 2022, 16, e00994. [Google Scholar] [CrossRef]
- Sabzi, J.; Asadi Shamsabadi, E.; Ghalehnovi, M.; Hadigheh, S.A.; Khodabakhshian, A.; Brito, J.d. Mechanical and Durability Properties of Mortars Incorporating Red Mud, Ground Granulated Blast Furnace Slag, and Electric Arc Furnace Dust. Appl. Sci. 2021, 11, 4110. [Google Scholar] [CrossRef]
- Zhao, X.; Liu, C.; Zuo, L.; Wang, L.; Zhu, Q.; Wang, M. Investigation into the effect of calcium on the existence form of geopolymerized gel product of fly ash based geopolymers. Cem. Concr. Compos. 2019, 103, 279–292. [Google Scholar] [CrossRef]
- Nnaemeka, O.F.; Singh, N.B. Durability properties of geopolymer concrete made from fly ash in presence of Kaolin. Mater. Today 2020, 29, 781–784. [Google Scholar] [CrossRef]
- Madani, H.; Ramezanianpour, A.A.; Shahbazinia, M.; Ahmadi, E. Geopolymer bricks made from less active waste materials. Constr. Build. Mater. 2020, 247, 118441. [Google Scholar] [CrossRef]
- Matalkah, F.; Aqel, R.; Ababneh, A. Enhancement of the Mechanical Properties of Kaolin Geopolymer Using Sodium Hydroxide and Calcium Oxide. Procedia Manuf. 2020, 44, 164–171. [Google Scholar] [CrossRef]
- Fahim Huseien, G.; Mirza, J.; Ismail, M.; Ghoshal, S.K.; Abdulameer Hussein, A. Geopolymer mortars as sustainable repair material: A comprehensive review. Renew. Sustain. Energy Rev. 2017, 80, 54–74. [Google Scholar] [CrossRef]
- Yip, C.K.; Lukey, G.C.; van Deventer, J.S.J. The coexistence of geopolymeric gel and calcium silicate hydrate at the early stage of alkaline activation. Cem. Concr. Res. 2005, 35, 1688–1697. [Google Scholar] [CrossRef]
- Bonet-Martínez, E.; Pérez-Villarejo, L.; Eliche-Quesada, D.; Carrasco-Hurtado, B.; Bueno-Rodríguez, S.; Castro-Galiano, E. Inorganic polymers synthesized using biomass ashes-red mud as precursors based on clay-kaolinite system. Mater. Lett. 2018, 225, 161–166. [Google Scholar] [CrossRef]
- Steveson, M.; Sagoe-Crentsil, K. Relationships between composition, structure and strength of inorganic polymers. J. Mater. Sci. 2005, 40, 4247–4259. [Google Scholar] [CrossRef]
- Huang, G.; Ji, Y.; Zhang, L.; Hou, Z.; Zhang, L.; Wu, S. Influence of calcium content on structure and strength of MSWI bottom ash-based geopolymer. Mag. Concr. Res. 2019, 71, 362–372. [Google Scholar] [CrossRef]
- Granizo, M.L.; Alonso, S.; Blanco-Varela, M.T.; Palomo, A. Alkaline Activation of Metakaolin: Effect of Calcium Hydroxide in the Products of Reaction. J. Am. Ceram. Soc. 2002, 85, 225–231. [Google Scholar] [CrossRef]
- Mijarsh, M.J.A.; Megat Johari, M.A.; Ahmad, Z.A. Compressive strength of treated palm oil fuel ash based geopolymer mortar containing calcium hydroxide, aluminum hydroxide and silica fume as mineral additives. Cem. Concr. Compos. 2015, 60, 65–81. [Google Scholar] [CrossRef]
- Kapeluszna, E.; Kotwica, Ł.; Różycka, A.; Gołek, Ł. Incorporation of Al in C-A-S-H gels with various Ca/Si and Al/Si ratio: Microstructural and structural characteristics with DTA/TG, XRD, FTIR and TEM analysis. Constr. Build. Mater. 2017, 155, 643–653. [Google Scholar] [CrossRef]
- Garcia-Lodeiro, I.; Palomo, A.; Fernández-Jiménez, A.; Macphee, D.E. Compatibility studies between N-A-S-H and C-A-S-H gels. Study in the ternary diagram Na2O–CaO–Al2O3–SiO2–H2O. Cem. Concr. Res. 2011, 41, 923–931. [Google Scholar] [CrossRef]
- Tchuente, F.M.; Tchakouté, H.K.; Banenzoué, C.; Rüscher, C.H.; Kamseu, E.; Andreola, F.; Leonelli, C. Microstructural and mechanical properties of (Ca, Na)-poly(sialate-siloxo) from metakaolin as aluminosilicate and calcium silicate from precipitated silica and calcined chicken eggshell. Constr. Build. Mater. 2019, 201, 662–675. [Google Scholar] [CrossRef]







| Chemical Composition | Kaolin (wt%) | Fly Ash (wt%) | Red Mud (wt%) |
|---|---|---|---|
| SiO2 | 48.85 | 40.87 | 6.01 |
| Fe2O3 | 0.64 | 6.44 | 48.29 |
| Al2O3 | 35.45 | 18.44 | 16.16 |
| TiO2 | 0.03 | 0.77 | 6.44 |
| MnO | 0.18 | 0.06 | 0.08 |
| Na2O | 0.05 | 0.20 | 4.27 |
| K2O | 1.47 | 3.32 | 0.09 |
| CaO | 0.06 | 1.18 | 3.35 |
| MgO | 0.04 | 1.22 | 0.13 |
| P2O5 | 0.04 | 0.11 | 0.19 |
| SO3 | <0.01 | 1.02 | 0.54 |
| LOI (Loss on ignition) | 12.98 | 26.27 | 14.30 |
| No. | Kaolin (g) | Fly Ash (g) | Red Mud (g) | Ca(OH)2 (g) | NaOH (M) | Water/Solid (w/w) |
|---|---|---|---|---|---|---|
| 1 | 150 | 75 | 75 | 0 | 4 | 0.37 |
| 2 | 150 | 75 | 75 | 15 | 4 | 0.37 |
| 3 | 150 | 75 | 75 | 30 | 4 | 0.37 |
| 4 | 150 | 75 | 75 | 45 | 4 | 0.37 |
| 5 | 150 | 75 | 75 | 60 | 4 | 0.37 |
| 6 | 150 | 75 | 75 | 75 | 4 | 0.37 |
| 7 | 150 | 75 | 75 | 0 | 6 | 0.37 |
| 8 | 150 | 75 | 75 | 15 | 6 | 0.37 |
| 9 | 150 | 75 | 75 | 30 | 6 | 0.37 |
| 10 | 150 | 75 | 75 | 45 | 6 | 0.37 |
| 11 | 150 | 75 | 75 | 60 | 6 | 0.37 |
| 12 | 150 | 75 | 75 | 75 | 6 | 0.37 |
| 13 | 150 | 75 | 75 | 0 | 8 | 0.37 |
| 14 | 150 | 75 | 75 | 15 | 8 | 0.37 |
| 15 | 150 | 75 | 75 | 30 | 8 | 0.37 |
| 16 | 150 | 75 | 75 | 45 | 8 | 0.37 |
| 17 | 150 | 75 | 75 | 60 | 8 | 0.37 |
| 18 | 150 | 75 | 75 | 75 | 8 | 0.37 |
| 19 | 150 | 75 | 75 | 0 | 10 | 0.37 |
| 20 | 150 | 75 | 75 | 15 | 10 | 0.37 |
| 21 | 150 | 75 | 75 | 30 | 10 | 0.37 |
| 22 | 150 | 75 | 75 | 45 | 10 | 0.37 |
| 23 | 150 | 75 | 75 | 60 | 10 | 0.37 |
| 24 | 150 | 75 | 75 | 75 | 10 | 0.37 |
Disclaimer/Publisher’s Note: The statements, opinions and data contained in all publications are solely those of the individual author(s) and contributor(s) and not of MDPI and/or the editor(s). MDPI and/or the editor(s) disclaim responsibility for any injury to people or property resulting from any ideas, methods, instructions or products referred to in the content. |
© 2023 by the authors. Licensee MDPI, Basel, Switzerland. This article is an open access article distributed under the terms and conditions of the Creative Commons Attribution (CC BY) license (https://creativecommons.org/licenses/by/4.0/).
Share and Cite
Cong, T.D.; Phuong, T.; Vu, M.T.; Nguyen, T.H. Effect of Calcium Hydroxide on Compressive Strength and Microstructure of Geopolymer Containing Admixture of Kaolin, Fly Ash, and Red Mud. Appl. Sci. 2023, 13, 5034. https://doi.org/10.3390/app13085034
Cong TD, Phuong T, Vu MT, Nguyen TH. Effect of Calcium Hydroxide on Compressive Strength and Microstructure of Geopolymer Containing Admixture of Kaolin, Fly Ash, and Red Mud. Applied Sciences. 2023; 13(8):5034. https://doi.org/10.3390/app13085034
Chicago/Turabian StyleCong, Tien Dung, Thao Phuong, Minh Thanh Vu, and Thi Huong Nguyen. 2023. "Effect of Calcium Hydroxide on Compressive Strength and Microstructure of Geopolymer Containing Admixture of Kaolin, Fly Ash, and Red Mud" Applied Sciences 13, no. 8: 5034. https://doi.org/10.3390/app13085034
APA StyleCong, T. D., Phuong, T., Vu, M. T., & Nguyen, T. H. (2023). Effect of Calcium Hydroxide on Compressive Strength and Microstructure of Geopolymer Containing Admixture of Kaolin, Fly Ash, and Red Mud. Applied Sciences, 13(8), 5034. https://doi.org/10.3390/app13085034

