Extended Smoothing Methods for Sparse Test Data Based on Zero-Padding
Abstract
1. Introduction
2. The Smoothing Theory of Two-Dimensional Discrete Data
3. Calculation Process of Smoothing Theory
3.1. DFT
3.2. Zero-Padding
3.3. IDFT
4. Numerical Verification
4.1. Smoothing of 4 × 4 Two-Dimensional Discrete Data
4.2. Angular Spectrum Changes of 4 × 4 Two-Dimensional Discrete Data
5. Twice Zero-Padding of Two-Dimensional Discrete Data
5.1. The First Zero-Padding of 16 × 8 Two-Dimensional Discrete Data
5.2. The Second Zero-Paddingof 16 × 8 Two-Dimensional Discrete Data
6. Conclusions
- Firstly, the angular spectrum in wavenumber domain is obtained by DFT of the two-dimensional spatial discrete data. Then the angular spectrum is zero-padded and partially adjusted. Finally, IDFT is applied to obtain the smoothing results of two-dimensional discrete data. The proposed method is suitable for even rows or columns of sampling data.
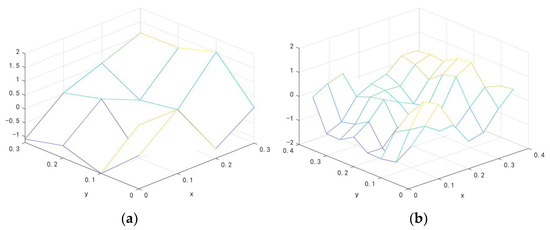
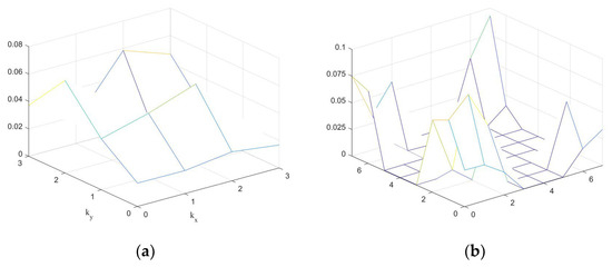
- In this paper, the 4 × 4 two-dimensional discrete random data are smoothed, and the feasibility of the method is verified from the perspectives of numerical value and angular spectrum, respectively. From the numerical point of view, the smoothed two-dimensional discrete data are equal to the original data without changing the value of the data, indicating that the application of smoothing theory can achieve the desired effect. Smoothing results show the feasibility of smoothing theory.
- This paper also smoothed 16 × 8 two-dimensional discrete data twice, which shows that the smoothing theory of two-dimensional discrete data has the function of multiple calculations, and can adjust the data density to the appropriate degree of calculation.
Author Contributions
Funding
Institutional Review Board Statement
Informed Consent Statement
Data Availability Statement
Conflicts of Interest
References
- Chen, H.; Fan, L.; Wu, W.; Liu, H. Comparison of spatial interpolation methods for soil moisture and its application for monitoring drought. Environ. Monit. Assess 2017, 189, 525. [Google Scholar] [CrossRef] [PubMed]
- Yao, L.; Wu, F.; Wu, G. Numerical study of exterior acoustic problems using a novel finite element-least square point interpolation method with perfectly matched layer. Eng. Anal. Bound. Elem. 2019, 102, 87–96. [Google Scholar] [CrossRef]
- Sim, K.S.; Ting, F.F.; Leong, J.W.; Tso, C.P. Signal-to-noise ratio estimation for SEM single image using cubic spline interpolation with linear least square regression. Eng. Lett. 2019, 27, 151–165. [Google Scholar] [CrossRef]
- Genya, K.; Shonosuke, S.; Yuki, K. Spatio-temporal Smoothing; Interpolation and Prediction of Income Distributions based on Grouped Data. arXiv 2022, arXiv:2207.08384. [Google Scholar]
- Maier, L.B. Sparse Data Interpolation and Smoothing on Embedded Submanifolds. J. Sci. Comput. 2020, 84, 19. [Google Scholar] [CrossRef]
- Wang, L.; Cheng, X.Q.; Xing, Z.Y. A fitting method for wheel profile line based on lagrange multiplier. Lect. Notes Electr. Eng. 2016, 378, 249–257. [Google Scholar] [CrossRef]
- Amat, S.; Busquier, S.; Escudero, A.; Carlos, T.J. Lagrange interpolation for continuous piecewise smooth functions. Lect. Notes Electr. Eng. 2008, 221, 47–51. [Google Scholar] [CrossRef]
- Mohammed, O.; Abdellah, L.; Mohamed, L.; Mhamed, M. Fitting and Smoothing Data Using Algebraic Hyperbolic Cubic Hermite Spline Interpolation. Eng. Lett. 2022, 30, 249–257. [Google Scholar]
- Roman, D. Streaming Hermite interpolation using cubic splinelets. Comput. Aided Geom. Des. 2021, 88, 102011. [Google Scholar] [CrossRef]
- Han, X.L.; Yang, J. A two-step method for interpolating interval data based on cubic hermite polynomial models. Appl. Math. Model. 2020, 81, 356–371. [Google Scholar] [CrossRef]
- Han, X.; Guo, X. Cubic Hermite interpolation with minimal derivative oscillation. J. Comput. Appl. Math. 2018, 331, 82–87. [Google Scholar] [CrossRef]
- Morelli, M.; Moretti, M.; D’Amico, A.A. Single-Tone Frequency Estimation by Weighted Least-Squares Interpolation of Fourier Coefficients. IEEE Trans. Commun. 2022, 70, 526–537. [Google Scholar] [CrossRef]
- Wu, H.; Rui, D.; Song, L.H.; Yang, R.X.; Zhang, J.; Cao, J. Data processing method of noise logging based on cubic spline interpolation. Appl. Math. Nonlinear Sci. 2021, 6, 93–101. [Google Scholar] [CrossRef]
- Aràndiga, F.; Baeza, A.; Yáñez, D.F. Monotone cubic spline interpolation for functions with a strong gradient. Appl. Math. Nonlinear Sci. 2022, 172, 591–607. [Google Scholar] [CrossRef]
- Pang, Y.D.; Liu, H.J.; Zhou, C.M.; Huang, J.B.; Gu, H.C.; Zhang, Z.Q. Pretreatment of Ultra-Weak Fiber Bragg Grating Hydrophone Array Based on Cubic Spline Interpolation Using Intensity Compensation. Sensors 2022, 22, 6814. [Google Scholar] [CrossRef]
- Wu, J.; Liu, K.P.; Le, J.; Wang, L.; Chen, Y.H. Harmonic analysis based on cubic spline interpolated arithmetic fourier transform. Lect. Notes Electr. Eng. 2015, 334, 259–269. [Google Scholar] [CrossRef]
- Liu, G.M.; Wang, Y.J.; Zhang, H.R.; Wang, D. Comparative Study of Several Interpolation Methods in Spatial Analysis. Geogr. Inf. World 2011, 9, 41–45. [Google Scholar]
- Domuta, I.; Palade, T.P. Sliding DFT and zero padding. In Proceedings of the 2019 42nd International Conference on Telecommunications and Signal Processing, Hungary, Budapest, 1–3 July 2019. [Google Scholar] [CrossRef]
- Michal, L.; Andrzej, D.; Stefan, B. Active tone elimination algorithm using FFT with interpolation and zero-padding. In Proceedings of the Signal Processing: Algorithms, Architectures, Arrangements, and Applications, Poznan, Poland, 23–25 September 2020; Volume 9, pp. 163–168. [Google Scholar] [CrossRef]
- Luo, J.F.; Xie, Z.J.; Xie, M. Interpolated DFT algorithms with zero padding for classic windows. Mech. Syst. Signal Process. 2016, 70–71, 1011–1025. [Google Scholar] [CrossRef]
- Dai, S.K.; Zhang, Y.; Li, K.; Chen, Q.R.; Ling, J.X. Arbitrary Sampling Fourier Transform and Its Applications in Magnetic Field Forward Modeling. Appl. Sci. 2022, 12, 12706. [Google Scholar] [CrossRef]
- Kan, Y.Z.; Zhu, Y.F.; Tang, L.; Fu, Q.; Pei, H.C. FGG-NUFFT-Based Method for Near-Field 3-D Imaging Using Millimeter Waves. Sensors 2016, 16, 1525. [Google Scholar] [CrossRef] [PubMed]
- Kim, H.T.; Jin, K.C.; Kim, S.T.; Kim, J.; Choi, S.B. 3D Body Scanning Measurement System Associated with RF Imaging, Zero-padding and Parallel Processing. Meas. Sci. Rev. 2016, 16, 77–86. [Google Scholar] [CrossRef]
- Xiang, J.Z.; Cui, W.; Shen, Q. Flexible and Accurate Frequency Estimation for Complex Sinusoid Signal by Interpolation Using DFT Samples. Chin. J. Electron. 2018, 27, 109–114. [Google Scholar] [CrossRef]
- Veronesi, W.A.; Maynard, J.D. Nearfield acoustic holography (NAH) II. Holographic reconstruction algorithms and computer implementation. J. Acoust. Soc. Am. 1987, 81, 1307–1322. [Google Scholar] [CrossRef]











| y | 0 | 0.1 | 0.2 | 0.3 | |
|---|---|---|---|---|---|
| x | |||||
| 0 | 1.093266 | −1.21412 | −0.76967 | −1.08906 | |
| 0.1 | 1.109273 | −1.1135 | 0.371379 | 0.032557 | |
| 0.2 | −0.86365 | −0.00685 | −0.22558 | 0.552527 | |
| 0.3 | 0.077359 | 1.53263 | 1.117356 | 1.10061 | |
| y | 0 | 0.05 | 0.1 | 0.15 | 0.2 | 0.25 | 0.3 | 0.35 | |
|---|---|---|---|---|---|---|---|---|---|
| x | |||||||||
| 0 | 1.093266 | 0.119538 | −1.21412 | −1.19775 | −0.76967 | −1.10933 | −1.08906 | 0.207963 | |
| 0.05 | 1.410773 | 0.026433 | −1.56284 | −1.20641 | −0.33273 | −0.67326 | −0.80885 | 0.559588 | |
| 0.1 | 1.109273 | −0.04438 | −1.1135 | −0.56615 | 0.371379 | 0.244235 | 0.032557 | 0.766005 | |
| 0.15 | 0.027023 | −0.45354 | −0.70917 | −0.43589 | 0.05199 | 0.314429 | 0.351934 | 0.296774 | |
| 0.2 | −0.86365 | −0.55925 | −0.00685 | −0.10807 | −0.22558 | 0.287471 | 0.552527 | −0.16371 | |
| 0.25 | −0.70265 | 0.102538 | 1.161923 | 1.009139 | 0.579476 | 0.970416 | 1.107161 | 0.063816 | |
| 0.3 | 0.077359 | 0.742037 | 1.53263 | 1.477426 | 1.117356 | 1.171941 | 1.10061 | 0.436552 | |
| 0.35 | 0.6811 | 0.582514 | 0.308256 | 0.238614 | 0.194752 | −0.01727 | −0.05362 | 0.32663 | |
| ky | 1 | 2 | 3 | 4 | |
|---|---|---|---|---|---|
| kx | |||||
| 1 | 0.017045 | 0.009228 | 0.021149 | 0.009228 | |
| 2 | −0.01436 | 0.040791 | 0.042617 | 0.009229 | |
| 3 | −0.06751 | 0.01527 | −0.00131 | 0.01527 | |
| 4 | −0.01436 | 0.009229 | 0.042617 | 0.040791 | |
| ky | 1 | 2 | 3 | 4 | 5 | 6 | 7 | 8 | |
|---|---|---|---|---|---|---|---|---|---|
| kx | |||||||||
| 1 | 0.03409 | 0.018455 | 0.021149 | 0 | 0 | 0 | 0.021149 | 0.018455 | |
| 2 | −0.02872 | 0.081582 | 0.042617 | 0 | 0 | 0 | 0.042617 | 0.018458 | |
| 3 | −0.06751 | 0.01527 | −0.00066 | 0 | 0 | 0 | −0.00066 | 0.01527 | |
| 4 | 0 | 0 | 0 | 0 | 0 | 0 | 0 | 0 | |
| 5 | 0 | 0 | 0 | 0 | 0 | 0 | 0 | 0 | |
| 6 | 0 | 0 | 0 | 0 | 0 | 0 | 0 | 0 | |
| 7 | −0.06751 | 0.01527 | −0.00066 | 0 | 0 | 0 | −0.00066 | 0.01527 | |
| 8 | −0.02872 | 0.018458 | 0.042617 | 0 | 0 | 0 | 0.042617 | 0.081582 | |
Disclaimer/Publisher’s Note: The statements, opinions and data contained in all publications are solely those of the individual author(s) and contributor(s) and not of MDPI and/or the editor(s). MDPI and/or the editor(s) disclaim responsibility for any injury to people or property resulting from any ideas, methods, instructions or products referred to in the content. |
© 2023 by the authors. Licensee MDPI, Basel, Switzerland. This article is an open access article distributed under the terms and conditions of the Creative Commons Attribution (CC BY) license (https://creativecommons.org/licenses/by/4.0/).
Share and Cite
Zhou, P.; Shi, T.; Xin, J.; Li, Y.; Lv, T.; Zang, L. Extended Smoothing Methods for Sparse Test Data Based on Zero-Padding. Appl. Sci. 2023, 13, 4816. https://doi.org/10.3390/app13084816
Zhou P, Shi T, Xin J, Li Y, Lv T, Zang L. Extended Smoothing Methods for Sparse Test Data Based on Zero-Padding. Applied Sciences. 2023; 13(8):4816. https://doi.org/10.3390/app13084816
Chicago/Turabian StyleZhou, Pan, Tuo Shi, Jianghui Xin, Yaowei Li, Tian Lv, and Liguo Zang. 2023. "Extended Smoothing Methods for Sparse Test Data Based on Zero-Padding" Applied Sciences 13, no. 8: 4816. https://doi.org/10.3390/app13084816
APA StyleZhou, P., Shi, T., Xin, J., Li, Y., Lv, T., & Zang, L. (2023). Extended Smoothing Methods for Sparse Test Data Based on Zero-Padding. Applied Sciences, 13(8), 4816. https://doi.org/10.3390/app13084816
