Abstract
As the carriers of massive data, data centers are constantly needed to process and calculate all kinds of information from various fields and have become an important infrastructure for the convenience of human life. Data centers are booming around the world, accompanied by the problems of high power consumption and poor heat dissipation. One of the most effective solutions to these problems is to adapt a two-phase liquid immersion cooling technology, which is a more energy-saving and efficient method than the traditional cooling methods; the reason for this is mainly that in two-phase liquid immersion cooling technology, the heat transfer caused by the phase change of liquid coolants (electronic fluoride liquids) helps to cool and improve the temperature uniformity of electronic components. However, the requirements for the electronic fluoride liquids used in two-phase liquid immersion cooling systems are strict. The thermophysical properties (saturated vapor pressure, density, surface tension, viscosity, thermal conductivity and latent heat of vaporization, etc.) of the liquid coolants play a very key role in the heat dissipation capacity of two-phase liquid immersion cooling systems. However, it is not always easy to obtain new electronic fluoride liquids under many actual conditions and reasonable prediction models of their thermophysical properties could contribute to the preliminary screening of the coolants. Thus, the prediction models of their key thermophysical properties (saturated vapor pressure, saturation density, surface tension, viscosity and thermal conductivity) are reviewed, and the accuracy and practicality of these prediction models in predicting the thermophysical properties of electronic fluoride liquids (FC-72, HFE-7100 and Novec 649) are evaluated. This work will provide a valuable reference for actual engineering applications.
1. Introduction
As the world develops under the COVID-19 pandemic in recent years, all walks of life are accelerating their digital transformations, accompanied by a rapid development of information technologies such as the Internet of things, cloud computing and big data. Due to a work-from-home economy, cloud services are constantly soaring in the IT industry, especially in the hyper-scale enterprises. Statistically, the number of global Internet users is expected to increase from 3.7 billion in 2018 to 5 billion in 2025 [], which means that modern society is entering the era of a digital economy. The global digitalization market size is expected to grow from USD 594.5 billion in 2022 to USD 1548.9 billion by 2027, at a compound annual growth rate (CAGR) of 21.1% according to MarketsandMarkets []. Moreover, an explosively developing technology, ChatGPT, may also greatly promote the digitalization in the future. The urgency and inevitability of digital transformation requires massive data to be processed, which creates many difficulties in the development of powerful chips, system design, thermal management, etc. Since it was launched a few months ago, ChatGPT has received more than billions of computing requests such that OpenAI has been forced to introduce queuing systems and other traffic-shaping measures [], which means that its ability to process data is still limited, even though a high-performance network cluster with more than 10,000 GPUs has been adopted [,]. Thus, improving the capacity and efficiency of processing data is a key project for the development of data centers, which are the main supporters of massive data. However, a larger amount of data always means bigger data centers and power consumption is also greater. For most data centers, cooling systems account for the largest proportion of power consumption. Thus, good thermal management is an important means to maintain the safe and reliable operation of data centers.
Under this background, the thermal management of data centers faces the dual challenges of “quality” and “quantity”. From the perspective of “quality”, with the massive growth in the scale of data generated through cloud computing, data centers need to use higher-performance processors to cope with greater computing power demands. Driven by innovative achievements such as 3D integration and heterogeneous integration [], the miniaturization and structural complexity of chip components are the inevitable trends that will lead to a continuous increase in the heat flux of chips. How to effectively and stably control chip temperatures under extremely high heat fluxes is a huge challenge for the thermal management of the chips in data centers. From the perspective of “quantity”, according to Forbes’ report, the total power consumption of data centers reached 416 tWh in 2017, accounting for 3% of the world’s total power consumption []. Some studies predict [] that the total power demand of information and communication technology (ICT) will account for 20.9% of global power consumption in 2030, and that the power consumption of data centers will account for 1/3 of ICT, that is, 7~8% of global power consumption. Furthermore, nearly 40% of the total energy consumption of data centers is used by cooling systems []. How to reduce the energy consumption of cooling systems and improve their power usage effectiveness (PUE) is another major challenge for data centers. Hence, it can be implied that most IT enterprises are expected to have energy-efficient data center solutions, and liquid immersion cooling technology has been regarded as a promising solution for the thermal management of data centers, due to its relatively simple mechanisms, low risks of hotspots, high heat dissipation efficiency, well temperature uniformity, free noise and dust pollution, great integration and high reliability, etc. [,,,,,,,,,].
The development of liquid immersion cooling technology for electronic devices has roughly experienced the exploration period (before 1992), the research period (1992–2016) and the small-scale application period (2016–present) [,,,,,,,,,,,,,,,,,,,,,,], shown in Figure 1. According to MarketsandMarkets, the market is expected to grow from USD 244 million in 2021 to USD 1710 million by 2030, at a GACR of 24.2% from 2022 to 2030 []. Many companies such as Huawei, Lenovo, Inspur, Facebook, Microsoft, etc., have also developed immersion liquid-cooled high-density servers. Before liquid immersion cooling technology steps forward to overall large-scale deployments, there are lots of key technologies to be resolved, for example, product development, the formulation of unified standards, the screening of liquid coolants, etc. [].

Figure 1.
The development of liquid immersion cooling for electronic devices [,,,,,,,,,,,,,,,,,,,,,,].
According to whether the liquid coolants undergo a phase change, liquid immersion cooling can be divided into single-phase liquid immersion cooling and two-phase liquid immersion cooling. Although single-phase systems are more attractive for some enterprises than two-phase systems by considering the difficulty of system design and the balance between the cost and benefits [], two-phase liquid immersion cooling systems are receiving more and more attention with the rapid increase in heat fluxes of power devices, and it is urgent to overcome the key technologies and develop an efficient two-phase immersion cooling system due to the growing heat dissipation demand. For the marketization of two-phase liquid immersion cooling systems, the screening of liquid coolants is one of the most important technologies. The coolants used in liquid immersion cooling systems are in direct contact with electronic components; so, they must have good compatibility with the materials of all components under long-term operation, excellent electrical insulation to ensure the safety of the electronics, a low dielectric constant and a dielectric loss factor to avoid signal interference. At the same time, the coolants must be environmentally friendly, non-toxic and non-flammable. Because the generation and evolution of bubbles is essential for two-phase immersion cooling technology, the related thermodynamic properties have a great impact on the heat dissipation capacity of the cooling technology, including the boiling point, thermal conductivity, viscosity, surface tension and latent heat of vaporization, etc. For example, the greater the thermal conductivity of the coolant, the smaller the heat loss (thermal resistance) along the heat transfer direction, which is more conducive to boiling heat transfer. Surface tension greatly affects the size of the boiling bubbles and the wettability of the coolant to the surface of the heat source. According to bubble dynamics [,], a smaller surface tension always means a smaller diameter of the separation bubbles, and the shorter the time from generating to detachment from the heat surface of the bubbles, the faster the surrounding liquid can wet the heat surface and the more intense the boiling heat transfer. The viscosity of the coolant is also an important property that greatly affects the flow of the coolant and the movement of the bubbles. Generally, a lower viscosity is more conducive to reducing the resistance of the flow of coolants and the movement of bubbles, which is more conducive to the boiling heat transfer. The higher the latent heat of vaporization, the greater the ability for a given mass of coolant to taking away the heat generated by the electronic devices. Therefore, to determine whether a coolant is suitable for a two-phase immersion cooling system, it is essential to study the key thermodynamic properties first.
However, for a new coolant (or a new electronic fluoride liquid), it is always difficult and quite costly to obtain the abovementioned properties comprehensively by experimentation. Reasonable prediction models are expected for the preliminary screening of coolants. Based on this, the aim of this work is to summarize the key thermophysical properties closely related to two-phase immersion cooling technology, according to basic boiling and condensation processes. Several prediction models of the abovementioned thermophysical properties (saturated vapor pressure, saturation density, surface tension, viscosity and thermal conductivity) are discussed, and the availability of these prediction models for predicting the thermophysical properties of electronic fluoride liquids are evaluated by means of FC-72, HFE-7100 and Novec 649.
2. Basic Analysis of Prediction Models and Model Verification
2.1. Analysis of Key Thermophysical Properties
For two-phase liquid immersion cooling technology, its main heat transfer mechanism is nucleate boiling and the condensation of the coolants. For the boiling process, based on bubble dynamics and heat transfer [,], the hot wall of electronics must have a certain superheat (more than the boiling point of the liquid) for bubbles to be generated constantly when the coolants boil. According to the condition of the force and thermal equilibrium between the bubbles and surrounding liquid [], the required superheat (Tw − Ts) can be obtained by Equation (1):
where Tw is the wall temperature, K; Ts is the saturated temperature of the coolants, K; σ is the surface tension, N/m; ΔH is the latent heat of evaporation, kJ/kg; ρV and ρL are the vapor and the liquid phase densities, respectively, kg/m3; and r is the bubble core radius, m. The latent heat of evaporation ΔH can be obtained by the Clausius–Clapeyron equation, as shown in Equation (2) []:
where dps/dTs is the rate of change in saturation pressure with saturation temperature, Pa/K. As the superheat (Tw − Ts) increases, the number of bubbles increases. When the bubbles converge and cover the hot wall of the electronics, heat transfer begins to deteriorate. The heat flux corresponding to this heat transfer transition is the critical heat flux (CHF). The CHF of coolants can be estimated by using a modified formula based on the Zuber equation [], as shown in Equation (3):
where K is the empirical coefficient related to the coolants and g is the gravity acceleration, m/s2. Equations (1)–(3) indicate that the saturated vapor pressure, the liquid and vapor densities, and the surface tension are the important properties for the nucleate boiling.
Except for the boiling process, the condensation process is also essential in two-phase liquid immersion cooling systems. The heat transfer coefficient of condensation can be calculated by the model designed by Dhir et al. [], based on tubular condensers, as shown in Equation (4):
where HTC is the heat transfer coefficient, W/(m2·K); λL is the liquid thermal conductivity, W/(m·K); ηL is the liquid dynamic viscosity, Pa·s; Do is the outer diameter of the condenser pipe, m; and To is the outer wall temperature of the condenser pipe, K. Equation (4) indicates that liquid dynamic viscosity and thermal conductivity are important thermophysical properties.
In summary, the key thermophysical properties of the coolants used in two-phase liquid immersion cooling systems mainly include the saturated vapor pressure, density, surface tension, viscosity, thermal conductivity and latent heat of vaporization.
2.2. Screening of Coolants for Model Verification
Some studies have shown that the reliability of electronic devices is exponentially related to the operating temperature [] and the reliability of CPU decreases by about 25% for every 1 °C increase when the operating temperature is in the range of 70~80 °C []. Therefore, the boiling point of the coolant is an important basis for screening the coolant suitable for two-phase immersion cooling systems. If the boiling point is too high, the temperature of the electronics will be close to or exceed the optimal working temperature zone when boiling begins, resulting in the performance degradation of the electronics. Regarding mineral oils commonly used in liquid immersion cooling systems, despite their excellent performance, they are only suitable for single-phase immersion cooling systems due to their high boiling points (up to several hundred degrees Celsius), such as GRC’s ElectroSafe and ElectroSafe Plus [,]. Another kind of commonly used coolant is electronic fluoride liquid with good insulating performance. The boiling points of some electronic fluoride liquids are slightly higher than room temperature (about 45~60 °C) and they are easy to boil within the operating temperature of electronics. Thus, electronic fluoride liquids with boiling points (about 45~60 °C) slightly higher than room temperature are very popular in two-phase immersion cooling systems. At present, three kinds of commonly used electronic fluoride liquids in two-phase liquid immersion cooling systems are perfluorohexane (FC-72), perfluorohexanone (Novec 649) and nonafluorobutyl methyl ether (HFE-7100) [,,,,,,], and the key thermophysical properties of these electronic fluoride liquids have been widely studied by experimentation, as shown in Table 1. Therefore, FC-72, Novec 649 and HFE-7100 were selected to evaluate the accuracy and practicality of prediction models.

Table 1.
Studies on the thermophysical properties of FC-72, Novec 649 and HFE-7100.
3. Prediction of Thermophysical Properties of Electronic Fluoride Liquids for Two-Phase Liquid Immersion Cooling Systems
3.1. Parameters Required for the Prediction of Thermophysical Properties
One of the necessary preconditions to using prediction models of thermophysical properties is that the molecular structure, critical parameters (critical temperature Tc, critical pressure pc and critical density ρc) and eccentricity factor ω of the fluid are known parameters. On the one hand, most of the current prediction models are based on equations of state and the principle of corresponding states (PCS), both of which need to be used under the condition that the atmospheric boiling point, saturated vapor pressure, critical parameters, etc., are known []. Moreover, for some prediction models based on the group contribution method (GCM), known molecular structures are required. On the other hand, for studies on the thermophysical properties of new fluids, the critical parameters and eccentricity factors are necessary. Taking the new refrigerant HFO-1336mzz(E) as an example, its critical parameters and saturated vapor pressure were measured in the earliest related literature []. In addition, the molecular dipole moments and specific heat are also necessary for some models. Table 2 shows the necessary known thermophysical properties of FC-72, Novec 649 and HFE-7100, which were helpful in carrying out further research on the prediction models of the thermophysical properties of electronic fluoride liquids.

Table 2.
Basic thermophysical properties of FC-72, Novec 649 and HFE-7100.
3.2. Prediction Models of Saturated Vapor Pressure and Saturated Density
The common prediction models of saturated vapor pressure and density mainly include the Peng–Robinson equation of state and its modified models, the Patel–Teja equation of state and the NEOS model.
3.2.1. Prediction Models of Saturated Vapor Pressure and Saturated Density
Peng–Robinson Equation of State and Its Modified Models
The Peng–Robinson equation of state [] (hereinafter referred to as the PR equation) has been published for more than 40 years and has become one of the best two-parameter cubic equations of state for the calculation of the vapor–liquid equilibrium, which refers to the volumetric properties and thermodynamic properties of pure substances and mixtures. Nowadays, the PR equation has a very wide range of applications in the chemical industry [,,,,,]. The PR equation is shown in Equations (5)–(10):
where p is the pressure, Pa; R is the gas constant, which equals to 8.3145 J/(mol·K); T is the temperature, K; V is the specific volume, m3/kg; a and b are the parameters of the PR equation; α is the α function of the PR equation; Tc is the critical temperature, K; pc is the critical pressure, Pa; m is the coefficient related to the eccentricity factor ω; and Tr is the contrast temperature, Tr = T/Tc, K.
However, according to the constants of the two-parameter cubic equation of state determined by the critical condition, only a fixed critical compressibility factor can be obtained. For the PR equation, the critical compressibility factor is 0.3074. Meanwhile, the actual critical compressibility factor of fluids mostly varies between 0.21 and 0.31 [], which may lead to a large deviation in the calculated results of the saturated liquid density. This is a great inevitable limitation of the PR equation. Therefore, the PR equation has been modified by many researchers [,,,,,,,,]. For pure substances, the modification of the PR equation can be divided into three categories: the modification of the α function, the specific volume translation modification, and the modification of the a and b parameters.
- ➀
- Modification of α function
In most cases, the modification of the α function is more beneficial for improving the predictive accuracy of the saturated vapor pressure, but for the liquid density, this modification does not seem to work [,,,]. Andrés et al. [] optimized the coefficient m in the α function based on the physical property data of 1721 pure substances so as to enhance the general applicability of the PR equation and improve the predictive ability of the thermophysical properties such as the saturated vapor pressure, latent heat of vaporization and specific heat. The optimized form of m is shown in Equation (11) (hereinafter referred to as MAPR1):
Luis et al. [] thought that when the α function of the PR equation was replaced with an exponential function, more accurate prediction results of the saturated vapor pressure and liquid density of a pure substance could be obtained compared with the original PR equation under low pressure conditions (1~101.325 kPa). Six types of exponential functions were compared by Luis et al. [], and it was found that the Heyen-type α function (shown in Equation (12)) had the best predictive ability. By fitting for the experimental data of vapor pressure and saturated liquid density of 71 pure substances, the parameters MA1 and MA2 in a Heyen-type α function were expressed as a function of the eccentric factor ω, as shown in Equations (13) and (14) (hereinafter referred to as MAPR2):
- ➁
- Specific volume translation modification method
Usually, for the PR equation, the accuracy of the predicted saturated vapor pressure is high, while that of the predicted liquid density is low. In response to this phenomenon, the introduction of specific volume translation can directly improve the accuracy of the predicted liquid density, as shown in Equations (15) and (16) [,]:
where VPR is the liquid specific volume calculated by the PR equation, m3/kg, and ΔV is the specific volume translation, m3/kg.
Another specific volume translation modification model proposed by Duan et al. [] is shown in Equations (17)–(19):
where ΔVc is the specific volume translation at the critical point, m3/kg; Zc is the critical compression factor; VT is a temperature-dependent parameter; and VT1 and VT2 are the required parameters for VT. VT1 and VT2 were obtained by correlating 198 polar and non-polar working fluids and the expressions are shown in Equations (20) and (21). According to Duan’s study [], when the saturated liquid density was predicted by Equations (17)–(21) (hereinafter referred to as VTPR1), the average relative deviation (ARD) between the predicted and reference values was 1.83%, which showed a strong versatility.
For the parameter VT in Equation (17), Lin et al. [] proposed another model (hereinafter referred to as VTPR2), as shown in Equation (22):
where VT3, VT4, and VT5 are the required parameters for VT in the VTPR2 model, whose expressions are shown in Equations (23)–(25), respectively. The ARD between the predicted and reference values of the densities of 25 halogenated hydrocarbons when using VTPR2 model is within 2.0% [].
The specific volume translation modification model proposed by Nazarzadeh et al. [] (hereinafter referred to as VTPR3) is similar to Equations (17) and (18), but the expression of VT is slightly different, as shown in Equation (26):
where VT6 and VT7 are the required parameters for VT in the VTPR3 model. The calculation formulas are shown in Equations (27) and (28). The ARD between the predicted and reference values of the saturated liquid density of alkanes, alkenes, CO2, CO, H2S, N2 and NH3 when using the VTPR3 model is 1.29%.
- ➂
- Modification of parameters a and b
Haghtalab et al. [] conducted a modification for parameters a and b in the PR equation, and the two parameters were expressed as a function of the contrast temperature (hereinafter referred to as MPPR), as shown in Equations (29) and (30).
where MP1 and MP2 are the parameters used to calculate the modified a and b parameters, as shown in Equations (31) and (32). The ARD between the predicted and reference values of the liquid densities of 49 pure substances when using the MPPR model is 4.803% [].
Patel–Teja Equation of State
Andrés et al. [] compared the PR equation and the Patel–Teja equation (hereinafter referred to as the PT equation) with three parameters (a, b and c) for predicting liquid density. The results showed that the PT equation was superior to the PR equation in predicting liquid density. The PT equations are shown in Equations (33)–(40):
where CE1, CE2 and CE3 are the parameters of the PT equation; CE2 is the smallest positive real root of the cubic Equation (39); and ξc is the theoretical critical compression factor. The theoretical critical compressibility factor ξc and α function used here were the empirical formulas given in [], as shown in Equations (41) and (42).
NEOS Model
The model proposed by Nasrifar et al. [] (hereinafter referred to as NEOS) is a two-parameter cubic equation. The expressions for the parameters a, b, ac and bc in this model are quite different from those in the PR equation, as shown in Equations (43)–(47):
where CE4, CE5 and CE6 are the parameters of the NEOS model, as shown in Equations (48)–(50), respectively. When CE4, CE5 and CE6 are obtained, a three-phase point needs to be assumed and the parameters under the assumed three-phase point are expressed by Equations (51)–(53). The ARD between the predicted and reference values of the liquid densities of 20 pure substances predicted by the NEOS model is 2.42% [].
The expressions and modified parameters of the above nine models are summarized in Table 3.

Table 3.
The nine prediction models of saturated vapor pressure and saturated density.
3.2.2. Criterion of Iterative Computations for Comparison of Different Prediction Models
Taking the common electronic fluoride liquids (FC-72, Novec 649 and HFE-7100) used in two-phase liquid immersion cooling systems as examples, the saturated vapor pressures and saturated liquid densities are calculated by the nine prediction models summarized in Table 3. The condition of vapor–liquid equilibrium is regarded as the criterion of iterative computations. According to the condition of vapor–liquid equilibrium, the fugacity coefficients of the saturated vapor and liquid are equal under the same temperature, i.e., φs,V = φs,L. Thus, when |ln(φs,V/φs,L)| < 10−5, it can be regarded that the fluids are in vapor–liquid equilibrium. The equations of ln(φs,V/φs,L) are shown in Table 4.

Table 4.
The equations of ln(φs,V/φs,L) for different models.
3.2.3. Comparison and Discussion of Different Models of Saturated Vapor Pressure
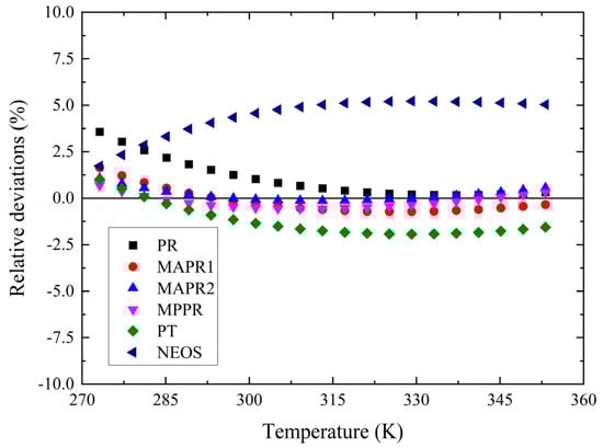
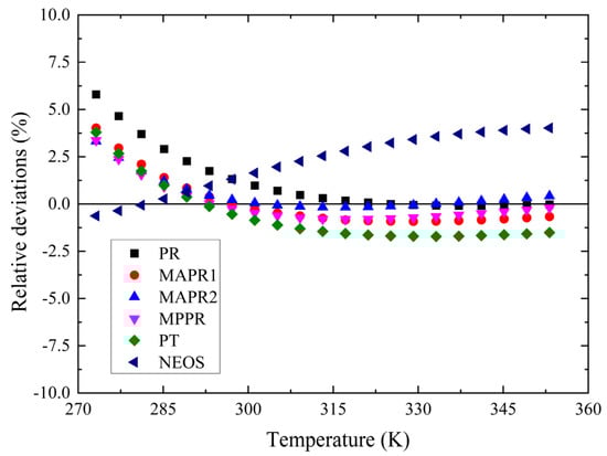
As shown in Equations (15) and (16), since the specific volume translation modification method has little effect on the calculation of saturated vapor pressure, only six prediction models excluding the VTPR1, VTPR2 and VTPR3 models were used to calculate saturated vapor pressure within the temperature range of 273.15 K to 353.15 K at an interval of 4 K (the following work was conducted under the same condition). The relative deviations of the predicted saturated vapor pressures of FC-72, Novec 649 and HFE-7100 obtained by different models are shown in Figure 2, Figure 3 and Figure 4, respectively. The experimental data of the saturated vapor pressures for FC-72, Novec 649 and HFE-7100 were taken from the literature [,,], and the combined uncertainties in measurements (level of confidence = 0.95, coverage factor = 2) of Novec 649 and HFE-7100 were 1.21% [] and 0.82% [], respectively; the uncertainty in measurements of FC-72 was not mentioned in the literature []. The maximum relative deviation (MRD) and ARD between the predicted and reference values of the saturated vapor pressures for the above three liquids are shown in Table 5.

Figure 2.
Relative deviations between the predicted and reference values [] of the saturated vapor pressures of FC-72.

Figure 3.
Relative deviations between the predicted and reference values [] of the saturated vapor pressures of Novec 649.

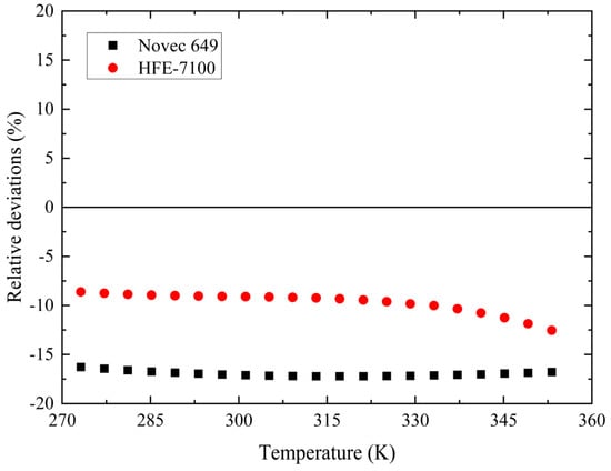
Figure 4.
Relative deviations between the predicted and reference values [] of the saturated vapor pressures of HFE-7100.

Table 5.
ARDs and MRDs between the predicted and reference values of different prediction models of the saturated vapor pressures of electronic fluoride liquids.
It can be found from Figure 2, Figure 3 and Figure 4 and Table 5 that for the three electronic fluoride liquids, the MRDs between the predicted and reference values appear at low temperatures for the PR, MAPR1, MAPR2 and MPPR models. The reason for this is mainly that saturated vapor pressures at lower temperatures are small, which leads to large relative deviations even if the absolute deviations are less than 0.5 kPa. For all three electronic fluoride liquids, the ARDs between the predicted and reference values for the PR model and its modified forms were all within 1.22%, which is lower than those obtained by the PT and NEOS models. However, when the saturated vapor pressures of the three electronic fluoride liquids were predicted by the original PR equation to be below 300 K, the relative deviations between the predicted and reference values were more than 1%, and even more than 5%, and the predictive accuracy improved at low temperatures by using its modified forms (MAPR1, MAPR2 and MPPR). The MAPR2 model had the highest accuracy, while the MAPR1 model had the lowest accuracy. The MRDs between the reference [,,] and predicted values when using the PT equation were smaller than the MRDs when using the PR equation, but its ARDs were higher than the ARDs when using the PR equation. Compared with other models, the NEOS model failed to show any advantages in most cases. Combined with the definition of the NEOS model by Nasrifar et al. [], some parameters (CE4, CE5, CE6) are determined by certain substances, where fully or almost fully halogenated hydrocarbon with more than five carbons are not involved, and this may be the cause of its low accuracy in predicting the saturation vapor pressure of electronic fluoride liquids compared with other models.
In summary, when the saturated vapor pressures are to be predicted, the modified models of the PR equation are recommended firstly, and especially the MAPR2 model. The other cubic equations (PT and NEOS) mentioned in this paper have poor predictive accuracy, so they are not recommended.
3.2.4. Comparison and Discussion of Different Models of Saturated Liquid Density
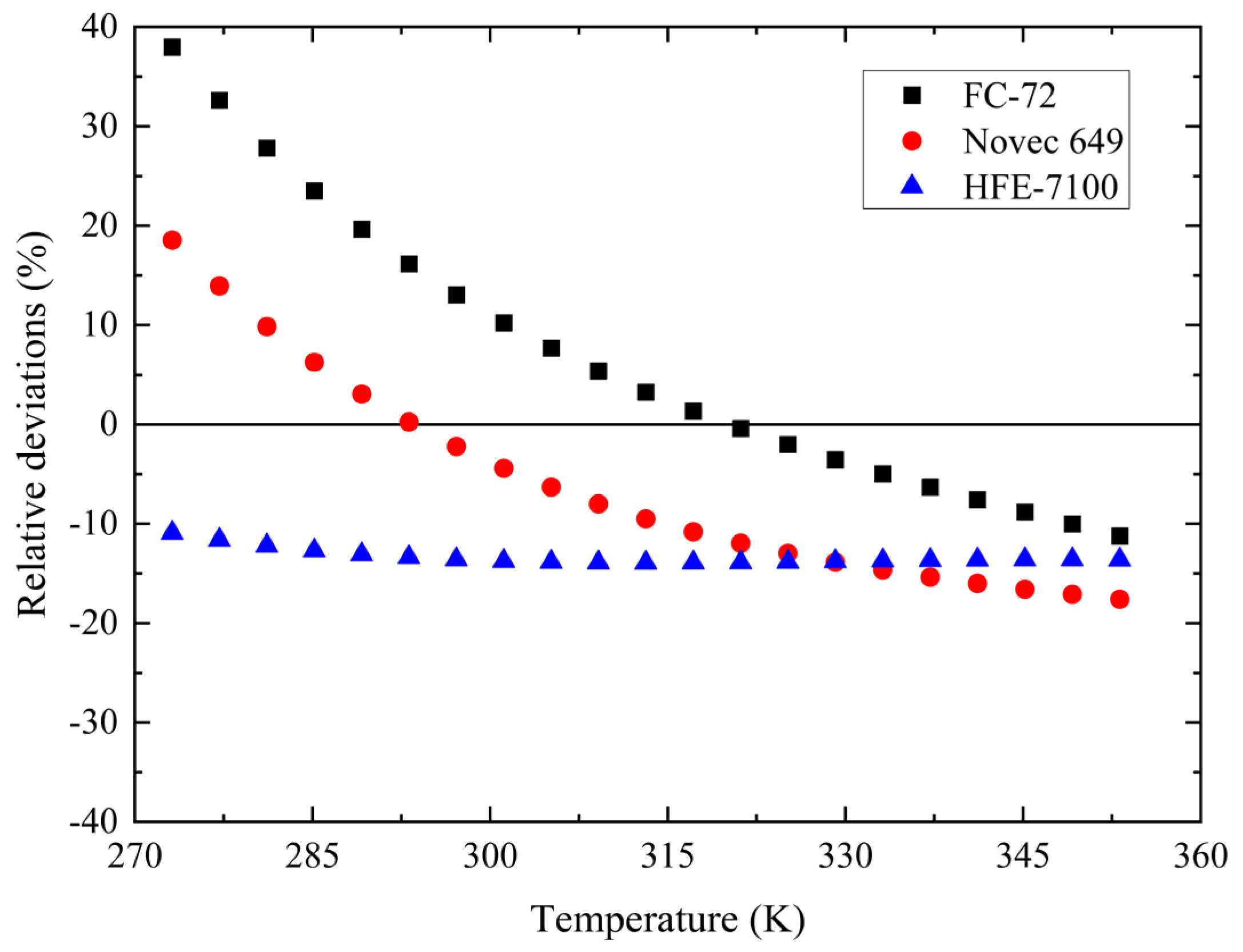
The nine prediction models summarized in Table 3 were used to calculate the saturated liquid densities of the three electronic fluoride liquids. The results are shown in Figure 5, Figure 6 and Figure 7. The experimental data on the saturated liquid densities were taken from the literature [,,], and the combined uncertainties in measurements (level of confidence = 0.95, coverage factor = 2) of FC-72, Novec 649 and HFE-7100 were 0.029% [], 0.0075% [] and 0.02% [], respectively. Table 6 shows the MRDs and ARDs between the predicted and reference values of different prediction models for the saturated liquid densities.

Figure 5.
Relative deviations between the predicted and reference values [] of the saturated liquid densities of FC-72.

Figure 6.
Relative deviations between the predicted and reference values [] of the saturated liquid densities of Novec 649.

Figure 7.
Relative deviations between the predicted and reference values [] of the saturated liquid densities of HFE-7100.

Table 6.
ARDs and MRDs between the predicted and reference values of different prediction models of the saturated liquid densities of electronic fluoride liquids.
From Figure 5, Figure 6 and Figure 7, it can be known that compared with the PR model, the modification of the α function (MAPR1 model and MAPR2 model) cannot significantly improve the predictive accuracy of saturated liquid densities, which is exactly as some have scholars proposed, that the modification of the α function was more beneficial for predicting saturated vapor pressure, but for liquid density, this modification did not seem to work [,,,]. The specific volume translation modification method of the PR equation has a direct impact on the prediction of liquid densities. Except for the VTPR3 model, the VTPR1 and VTPR2 models have higher predictive accuracy than the PR model, and the VTPR1 model has the highest accuracy. In most cases, the PT model has a poor accuracy when saturated liquid densities are predicted. Furthermore, for some models, a good predictability of saturated vapor pressures does not mean a good predictability of saturated liquid densities. For instance, the MPPR model has a high accuracy ranking only second to the MAPR2 model for saturated vapor pressures, while its accuracy is really low for saturated liquid densities. These results were also summarized by Haghtalab et al., who showed a low accuracy of the PT model [] and the MPPR model [] when liquid densities were predicted, especially for some fluorinated compounds, such as [−(CF2)4-]. The predictive accuracy of the NEOS model was better than that of the PR equation for FC-72 and Novec 649 for the saturated liquid densities, but its relative deviations between the predicted and reference values were the largest of all the models in most cases when saturated vapor pressures were predicted. Therefore, in consideration of versatility, the MPPR and NEOS models are not recommended.
In summary, when saturated liquid densities are predicted, the specific volume translation modification model is recommended and the VTPR2 model has the best accuracy out of all the models reviewed in this work.
3.3. Prediction Models of Surface Tension
3.3.1. Prediction Models of Surface Tension
A correlation between the dimensionless surface tension σr = σpc−2/3Tc−1/3 (or σr = σVc2/3Tc−1) and the contrast temperature Tr based on the principle of corresponding states (PCS) was proposed by Brock et al. [], as shown in Equation (54):
where ST is the function obtained by fitting the physical property data of many substances. Because the correlation proposed by Brock et al. [] was only for non-polar fluids, some researchers subsequently modified the parameter ST in Equation (54) to make it adapt to polar fluids. Pitzer et al. [] fitted ST to a function of the eccentricity factor ω, shown in Equation (55) (hereinafter referred to as the PST model). In addition, the surface tensions of more than 1700 kinds of fluids by genetic algorithms were calculated by Gharagheizi et al. [], and the corresponding Equation (56) (hereinafter referred to as the GST model) was obtained.
where Tbr is the contrast temperature under the boiling point, K.
Miqueu et al. [] proposed a prediction model of the surface tension suitable for N2, O2, rare gases, alkanes and refrigerants based on the previous studies [,], as shown in Equation (57) (hereinafter referred to as the MST model). The model proposed by Duan et al. [] was obtained by fitting the surface tension data of methane, ethane and propane halogenated hydrocarbons, as shown in Equation (58) (hereinafter referred to as the DST model).
In addition, Nicola et al. [,] optimized all exponents based on the surface tension data of some refrigerants and two prediction models were successively proposed, as shown in Equations (59) and (60) (hereinafter referred to as the NST1 model and the NST2 model, respectively). In the NST1 model, the molecular dipole moment μ is used to reflect the influence of molecular polarity on the surface tension of the fluids.
The prediction models of the surface tensions of electronic fluoride liquids are summarized in Table 7.

Table 7.
The prediction models of surface tension.
3.3.2. Comparison and Discussion of Different Models of Surface Tension
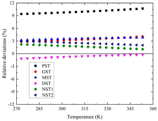
The surface tensions of FC-72, Novec 649 and HFE-7100 were predicted, respectively, by using the above six prediction models (shown in Table 7), and the relative deviations between the predicted results and the reference values from the literature [,,] are shown in Figure 8, Figure 9 and Figure 10. The combined expanded uncertainties in measurements (level of confidence = 0.95, coverage factor = 2) of FC-72, Novec 649 and HFE-7100 were 0.45% [], 1.5% [] and 1.5% [], respectively. The MRDs and ARDs between the predicted and reference values of different models are shown in Table 8.

Figure 8.
Relative deviations between the predicted and reference values [] of the surface tension of FC-72.

Figure 9.
Relative deviations between the predicted and reference values [] of the surface tension of Novec 649.

Figure 10.
Relative deviations between the predicted and reference values [] of the surface tension of HFE-7100.

Table 8.
ARDs and MRDs between the predicted and reference values of different prediction models of the surface tension of electronic fluoride fluids.
As Gharagheizi et al. [] found, for most studied compounds, the GST model had the lowest average relative deviations compared with the other two investigated models (by Brock et al. [] and Pitzer et al. [], named the PST model in this paper) in predicting surface tension; the results from Table 8 also indicate that the GST model has the best universality out of all the models, and it has a good accuracy for electronic fluoride liquids. However, for different liquids, the best prediction model may be different: for FC-72, the GST model contributed the best prediction results; for Novec 649, the relative deviations of the MST model were the smallest; and for HFE-7100, the best prediction model was the DST model. In addition, Figure 8, Figure 9 and Figure 10 show that the deviation curves of the models for different electronic fluoride fluids present a similar tendency, and the difference in the deviation curves for different fluids under the same model seem related to the molecular dipole moment. The molecular dipole moments of FC-72, Novec 649 HFE-7100 were 0, 0.43 and 2.4, respectively. The molecular dipole moment of Novec 649 was slightly larger than that of FC-72 and the relative deviation curves of Novec 649 were slightly higher than those of FC-72 under the same model correspondingly, while the molecular dipole moment of HFE-7100 was much larger than those of FC-72 and Novec 649 and the relative deviation curves of HFE-7100 were much higher than those of FC-72 and Novec 649 under the same model, correspondingly. Based on this change law, it can be inferred that different models are suitable for fluids depending on their different polarity ranges. As there are few types of electronic fluoride liquids suitable for two-phase liquid immersion cooling systems, this change law has not been fully verified.
3.4. Prediction Models of Viscosity and Thermal Conductivity
3.4.1. Prediction Models of Viscosity and Thermal Conductivity
Principle of Corresponding States (PCS)
Viscosity and thermal conductivity are two transmission properties of fluids and have a relatively great impact on heat transfer. The model based on the principle of corresponding states (hereinafter referred to as the PCS model) is usually used to compute the viscosity and thermal conductivity in REFPROP v10.0 []. The expressions of viscosity and thermal conductivity in the PCS model are shown as Equations (61) and (62), respectively.
where η* is the dilute gas viscosity, Pa·s; Δη is the residual viscosity, Pa·s; Δη0 is the residual viscosity of the reference fluid, Pa·s; Fη is the modified coefficient of the residual viscosity; λint is the thermal conductivity contributed by the internal motion of molecules of the fluids, W/(m·K); λ* is the dilute gas thermal conductivity, W/(m·K); Δλ is the residual thermal conductivity, W/(m·K); Δλ0 is the residual thermal conductivity of the reference fluid, W/(m·K); Fλ is the modified coefficient of the residual thermal conductivity; and T0 and ρ0 are the conformal temperature and conformal density of the reference fluid, K and kg/m3, respectively. The expressions of T0, ρ0, Fη and Fλ are shown in Equations (63)–(66):
where f and h are the conformal parameters, based on Chen and Hou’s study [], and M and M0 are the molar masses of the studied fluids and the reference fluid, respectively, g/mol.
According to the literature [], the equations for dilute gas viscosity are shown in Equations (67)–(71), the thermal conductivity contributed by the internal motion of molecules is expressed in Equation (72), and the dilute gas thermal conductivity is expressed as Equation (73):
where Ω is the collision integral; F* is the modified coefficient of the dilute gas viscosity; Tdim is the dimensionless temperature; μdim is the dimensionless molecular dipole moment; c* is the ideal gas specific heat, J/(kg·K); and κ is the parameter related to hydrogen bonding interactions, which equals to 0 for electronic fluoride fluids.
Other Prediction Models of Viscosity
From the perspective of input parameters, Dabir et al. [] divided the prediction models of viscosity into the following forms: viscosity varies with temperature, viscosity varies with density, viscosity varies with surface tension and viscosity varies with molecular property. Among them, temperature is easiest to obtain in engineering applications; so, the prediction models of viscosity varying with temperature are discussed in this work. From the perspective of the prediction principle, Dabir et al. [] classified the prediction models into two categories: models based on the principle of corresponding states (PCS) and models based on the group contribution method (GCM). The models based on the principle of corresponding states take many forms, but the PCS model used in REFPROP v10.0 [] is only discussed in this paper. For the models of viscosity (varying with temperature) based on the group contribution method, the viscosity at a specific temperature or the temperature corresponding to a certain viscosity is firstly obtained and then the viscosities at other temperatures are obtained further.
Sastri et al. [] proposed a model based on the relationship between viscosity and saturated vapor pressure. The liquid viscosity at the boiling point of pure organic substances by the group contribution method is obtained firstly and then, the liquid viscosities at other temperatures are extrapolated from the saturated vapor pressures. The expression of this model is shown as follows (hereinafter referred to as the SVIS1 model).
where ηb and DV1 are determined by the group contribution method, and p is the saturated vapor pressure.
In addition, Sastri et al. [] proposed another prediction model of the liquid viscosity for pure organic substances (hereinafter referred to as the SVIS2 model), which is suitable for a temperature range of 0.7 (the contrast temperature) around the critical temperature. The expression of the SVIS2 model is shown as Equation (77).
For the model proposed by Nannoolal et al. [] based on the group contribution method (hereinafter referred to as the NVIS model), when the liquid viscosities of 813 pure substances (12,139 data points) were predicted, the relative average deviation between the predicted and reference values was 15.3%. The NVIS model is shown in Equations (78)–(80):
where DV2 is the slope; Tref is the reference temperature of the viscosity, K; Num is the number of non-hydrogen atoms; and Sum (DV2) and Sum (Tref) are obtained by the group contribution method.
Other Prediction Models of Thermal Conductivity
The prediction models of the thermal conductivity of organic substances were classified into five categories by Govender et al. []: ① the group contribution method; ② empirical formulas based on basic thermophysical properties; ③ the principle of corresponding states; ④ correlations in the data on cognate organic substances; and ⑤ the molecular dynamics model. The models based on the principle of corresponding states are described above. The correlations in the data on cognate organic substances can also be called the family method, which contains parameters that vary moving from family to family []. In the existing literatures, the correlations in the data on cognate organic substances have only been conducted on the data on methane series, ethane series and propane series of halogenated materials, but the electronic fluoride liquids studied in this paper belong to fully or almost fully halogenated hydrocarbons with more than five carbons, which means that the existing correlations in the cognate organic substances are inapplicable for electronic fluoride liquids. In addition, for the molecular dynamics model based on statistical mechanics, it takes more time to model and simulate molecular motion compared with other models. Therefore, the last three categories (④ and ⑤) will not be discussed in this section. The model proposed by Govender et al. [] is based on the group contribution method, as shown in Equations (81) and (82) (hereinafter referred to as the GTC model):
where TC1 and TC2 are obtained by the group contribution method and Num is the number of non-hydrogen atoms.
The prediction model of the thermal conductivity proposed by Sastri et al. [] is similar to that of the viscosity. Firstly, the thermal conductivity at the boiling point is obtained by the group contribution method and then, the thermal conductivities at other temperatures are calculated. The model is shown in Equation (83) (hereinafter referred to as the STC model):
where λb is calculated by the group contribution method, W/(m·K). The values 0.16 and 0.20 are the suggested values for λb [].
Latini et al. [] compared 20 prediction models of thermal conductivity from the perspective of engineering applications and it is considered that the models proposed by Riedel et al. [,], Sastri et al. [] and Latini et al. [] are the best prediction models of thermal conductivity. The prediction model proposed by Sastri et al. [] is shown in Equation (83), while the model by Latini et al. [] is only suitable for methane series, ethane series and propane series of halogenated materials.
Sato et al. proposed that thermal conductivity at the boiling point could be estimated according to λb = 1.11/M0.5 and that liquid thermal conductivity could be predicted by Equation (84) [,] (hereinafter referred to as the RSTC model):
A gene expression programming algorithm was used to obtain a prediction model for the representation of liquid-phase thermal conductivity based on approximately 19,000 liquid thermal conductivity data at different temperatures related to 1636 chemical compounds by Gharagheizi et al. []. This prediction model is shown by Equations (85)–(87) (hereinafter referred to as the GHTC model). The ARD between the reference values and the predictive values was about 9% []:
3.4.2. Comparison and Discussion of Different Models of Viscosity and Thermal Conductivity
Discussion of The PCS Model
For the PCS model, the relative deviations between the predicted values and the reference values [,,] of the viscosities of FC-72, Novec 649 and HFE-7100 and the relative deviations between the predicted values and the reference values [,] of the thermal conductivities of Novec 649 and HFE-7100 are shown in Figure 11 and Figure 12, respectively. The data on the thermal conductivity of FC-72 were too few to be referred []. The combined expanded uncertainties in viscosity measurements (level of confidence = 0.95, coverage factor = 2) of FC-72, Novec 649 and HFE-7100 were 0.8% [], 3.0% [] and 2.0% [], respectively. The combined expanded uncertainties in thermal conductivity measurements (level of confidence = 0.95, coverage factor = 2) of Novec 649 and HFE-7100 were 3.0% [] and 2.0% [], respectively. The ideal gas specific heat required to calculate the thermal conductivity contributed by the internal motion of molecules was estimated by Aspen Plus v10. The residual viscosity and residual thermal conductivity of the reference fluid R134a were calculated by the formulas in literature [,].

Figure 11.
Relative deviations between the predicted and reference values [,,] of the viscosities of FC-72, Novec 649 and HFE-7100 using the PCS model.

Figure 12.
Relative deviations between the predicted and reference values [,] of the thermal conductivities of Novec 649 and HFE-100 using the PCS model.
From Figure 11 and Figure 12, it can be found that when the viscosities and thermal conductivities of the electronic fluoride liquids were predicted, the relative deviations between the predicted values and the reference values were high under most conditions. Given these results, the empirical correction factor ψ for viscosity and χ for thermal conductivity are introduced to further modify the conformal density [], as shown in Equations (88) and (89), which will greatly improve the predictive accuracies of viscosity and thermal conductivity. However, these two new parameters were fitted by a great number of experimental data which may have made the work more difficult and contrary to the main goal of obtaining the properties by the prediction models directly. Therefore, for viscosity and thermal conductivity, the PCS model is not an ideal prediction model, but its predictive values still have some reference significance.
Comparison and Discussion of Different Models of Viscosity
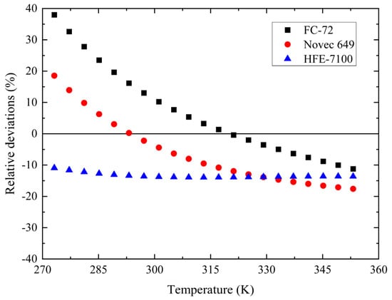
The prediction results obtained by four prediction models of viscosity (PCS, SVIS1, SVIS2 and NVIS) for the three electronic fluoride liquids were compared, as shown in Figure 13, Figure 14 and Figure 15. For different electronic fluoride fluids, the best prediction models are also different. The best prediction models of viscosity for FC-72, Novec 649 and HFE-7100 are the SVIS2 model, the NVIS model and the SVIS1 model, respectively. The PCS model is not the best prediction model for any of these liquids. The predicted viscosities for FC-72 and HFE-7100 were more accurate than those for Novec 649 by using the SVIS1 and SVIS2 models. For FC-72 and HFE-7100, the relative deviations between the reference and predicted viscosities by the SVIS1 model were within 10%; when the SVIS2 model was used, the relative deviations between the reference and predicted viscosities were within 22%. However, for Novec 649, when using the two models, the relative deviations between the reference and predicted viscosities were greater than 24%. By analyzing the molecular structures of the liquids, it was found that the molecular structure of FC-72 contains two trifluoromethyl groups; the two types of molecular structures of HFE-7100 contain one and two trifluoromethyl groups, respectively; and the molecular structure of Novec 649 contains three trifluoromethyl groups. It can be judged preliminarily that the contribution values of the trifluoromethyl groups according to Sastri et al. [,] were too great, or that the modification of the molecular structures including poly-trifluoromethyl was not considered, which is an important reason for the high deviations in the predicted viscosities of Novec 649.

Figure 13.
Relative deviations between the predicted and reference values [] of the viscosities of FC-72.

Figure 14.
Relative deviations between the predicted and reference values [] of the viscosities of Novec 649.

Figure 15.
Relative deviations between the predicted and reference values [] of the viscosities of HFE-7100.
When the NVIS model was used to predict the viscosities of Novec 649 and HFE-7100, the relative deviations between the predicted and reference values were within 16%. For FC-72, the relative deviations were greater than 20%, and even up to 40%. By comparing the group contribution values given by the three models of SVIS1, SVIS2 and NVIS, it can be found that the group contribution values of −CF2− for the SVIS1 and SVIS2 models was 0, whileas the value of −CF2− in the NVIS model was a non-zero value. Therefore, when the NVIS model was used to calculate the viscosities of FC-72, the reason for the larger deviations could have been that the functional group −CF2− with a large contribution value was repeatedly accumulated.
In general, all the prediction models described above face the problem of having inaccurate contribution values of their fluorine-containing functional groups. In addition to the above models, a prediction model based on another group contribution method proposed by Velzen et al. [] also showed the same result (not listed in this paper because of its high deviation). According to the studies in this work, there is no prediction model of viscosity with high precision and strong universality.
Comparison and Discussion of Different Models of Thermal Conductivity
The relative deviations of the predicted thermal conductivities of FC-72, Novec 649 and HFE-7100 are shown in Figure 16 and Figure 17.

Figure 16.
Relative deviations between the predicted and reference values [] of the thermal conductivities of Novec 649.

Figure 17.
Relative deviations between the predicted and reference values [] of the thermal conductivities of HFE-7100.
The GTC and STC models based on the group contribution method had the largest relative deviations between the predicted and reference values among the five prediction models in this work, which suggests that the group contribution method may not be the best prediction method for the thermal conductivity of electronic fluoride liquids, and a reason for this may be the inaccurate contribution values of their fluorine-containing functional groups. For the other models (the PCS, RSTC and GHTC models), the relative deviations were basically less than 20%, but the predictive accuracy was still relatively low.
In short, combined with the discussion of prediction models of viscosity and thermal conductivity, it can be found that it is important to further study the fluorine-containing functional groups and the interaction parameters among the groups to improve the predictive ability of the viscosity and thermal conductivity of electronic fluoride liquids [,]. In addition, some scholars have proposed combining the group contribution method with an artificial neural network (ANN), which is used to establish the relationship between groups and thermodynamic properties to improve predictive accuracy based on a large number of experimental data [].
4. Conclusions
Finding a new electronic fluoride liquid that is suitable for two-phase liquid immersion cooling technology is challenging. A preliminary analysis of their key thermodynamic properties through prediction models can provide a good guide. According to the above discussion in this paper, we obtained the following:
- (1)
- For calculating saturated vapor pressure, the accuracy of the MAPR2 model is best out of all the studied models, while for saturated liquid density, the VTPR2 model has the highest accuracy. Therefore, it is recommended to combine the MAPR2 model and the VTPR2 model to predict the saturated vapor pressure and saturated density of a coolant.
- (2)
- For calculating surface tension, the GST model has a good accuracy for most electronic fluoride liquids, but different models are suitable for fluids with different polarity ranges, which is why the best prediction models for the three coolants are not the same.
- (3)
- For calculating viscosity and thermal conductivity, there were no prediction models with strong versatility and high accuracy found in this work. The effect of fluorine-containing functional groups on the predictive accuracy of viscosity and thermal conductivity of electronic fluoride liquids needs to be further developed.
Author Contributions
Conceptualization, formal analysis, investigation and methodology, X.W.; resources, J.H., Y.Z., H.O. and X.H.; supervision, J.H., Y.L., J.Y. and X.H.; writing—original draft, X.W.; writing—review and editing, X.H. All authors have read and agreed to the published version of the manuscript.
Funding
This research was funded by the National Natural Science Foundation of China (Grant No. 52076185), the Natural Science Foundation of Zhejiang Province (Grant No. LZ19E060001) and the Open Project of the Shanghai Key Laboratory of Multiphase Flow and Heat Transfer in Power Engineering (Grant No. KF2019-02).
Institutional Review Board Statement
Not applicable.
Data Availability Statement
All the data analyzed in this article have been given.
Acknowledgments
The authors of this paper thank the National Natural Science Foundation of China (Grant No. 52076185), the Natural Science Foundation of Zhejiang Province (Grant No. LZ19E060001) and the Open Project of the Shanghai Key Laboratory of Multiphase Flow and Heat Transfer in Power Engineering (Grant No. KF2019-02) for funding.
Conflicts of Interest
The authors declare no conflict of interest.
Nomenclature
Latin alphabet | |||
a | equation parameters | m | α function coefficient |
b | equation parameters | M | molar mass (g mol−1) |
c | equation parameters | NA | Avogadro constant |
d | equation parameters | p | pressure (Pa) |
D | diameter (m) | r | radius (m) |
f | conformal parameters related to temperature | R | gas constant (J mol−1 K−1) |
F | correction factor | T | temperature (K) |
g | acceleration of gravity (m s−2) | V | specific volume (m3 kg−1) |
h | conformal parameters related to density | ΔV | specific volume translation (m3 kg−1) |
k | Boltzmann constant | Z | compression factor |
K | coefficient of critical heat flux | CHF | critical heat flux (W m−2) |
ΔH | latent heat of evaporation (kJ kg−1) | HTC | heat transfer coefficient (W m−2 K−1) |
Greek alphabet | |||
α | α function | φ | fugacity coefficient |
η | dynamic viscosity (Pa s) | χ | correction factor of thermal conductivity |
κ | hydrogen bonding parameters | ψ | correction factor of viscosity |
λ | thermal conductivity (W m−1 K−1) | ω | eccentricity factor |
μ | molecular dipole moment | Ω | collision integral |
ρ | density (kg m−3) | ξ | theoretical compression factor |
Subscript | |||
b | boiling point | r | contrast |
br | boiling point contrast state | ref | reference |
c | critical state | s | saturated state |
dim | dimensionless | V | gas phase |
L | liquid phase | w | wall |
o | outside the tube | η | dynamic viscosity |
PR | PR equation | λ | thermal conductivity |
pt | pseudo-triple point | 0 | reference fluid |
Superscript | |||
int | contribution of intramolecular motion | * | dilution gas item |
References
- Srivastava, A.; Gupta, M.; Kaur, G. Energy efficient transmission trends towards future green cognitive radio networks (5G): Progress, taxonomy and open challenges. J. Netw. Comput. Appl. 2020, 168, 102760. [Google Scholar] [CrossRef]
- Markets and Markets. Digital Transformation Market by Component, Technology (Cloud Computing, Big Data & Analytics, Mobility & Social Medial Management, Cybersecurity, AI), Deployment Mode, Organization Size, Business Function, Vertical and Region—Global Forecast to 2027. 2023. Available online: https://www.marketsandmarkets.com/Market-Reports/digital-transformation-market-43010479.html (accessed on 24 February 2023).
- Ryan, M. Compute Power Is Becoming a Bottleneck for Developing AI. Tech Monitor, UK. 2022. Available online: https://techmonitor.ai/technology/ai-and-automation/chatgpt-ai-compute-power (accessed on 24 February 2023).
- Luo, Y. Will ChatGPT Promote the Domestic Chipherstellers. 21st Century Business Herald, 17 February 2023; 12. [Google Scholar] [CrossRef]
- Zhang, S. ChatGPT drives the development of AI chips. 21st Century Business Herald, 9 February 2023; 9. [Google Scholar] [CrossRef]
- Salahuddin, S.; Ni, K.; Datta, S. The era of hyper-scaling in electronics. Nat. Electron. 2018, 1, 442–450. [Google Scholar] [CrossRef]
- Josh, M. Understanding Data Center Energy Consumption. 2023. Available online: https://alterumtech.com/data-center-energy-consumption/ (accessed on 24 February 2023).
- Nicola, J. How to stop data centres from gobbling up the world’s electricity. Nature 2018, 561, 163–166. [Google Scholar] [CrossRef]
- Mitchell, J.; Koomey, J.; Nordman, B.; Blazek, M. Data center power requirements: Measurements from Silicon Valley. Energy. 2003, 28, 837–850. [Google Scholar] [CrossRef]
- Paul, L.; Tony, D.; Data Center Science Center. Data center science center. White Paper 279: Five reasons to adopt liquid cooling. Schneider Electric. 2019. Available online: https://download.schneider-electric.com/files?p_enDocType=White+Paper&p_File_Name=WP279R0_CH.pdf&p_Doc_Ref=SPD_WTOL-B9RKEA_CH (accessed on 24 February 2023).
- Liu, H.; Wei, Z.; He, W.; Zhao, J. Thermal issues about Li-ion batteries and recent progress in battery thermal management systems: A review. Energy Convers. Manag. 2017, 150, 304–330. [Google Scholar] [CrossRef]
- Bibin, C.; Vijayaram, M.; Suriya, V.; Sai Ganesh, R.; Soundarraj, S. A review on thermal issues in Li-ion battery and recent advancements in battery thermal management system. Mater. Today Proc. 2020, 33, 116–128. [Google Scholar] [CrossRef]
- Wu, X.; Liu, Y.; Ni, H.; Huang, J.; Guo, H.; Zhuang, Y.; Han, X. Effect of different electronic cooling liquid on the performance of immersion phase change cooling system. J. Refrig. 2021, 42, 74–82. [Google Scholar]
- Kheirabadi, A.; Groulx, D. Cooling of server electronics: A design review of existing technology. Appl. Therm. Eng. 2016, 105, 622–638. [Google Scholar] [CrossRef]
- Habibi, K.; Halgamuge, A. A review on efficient thermal management of air- and liquid-cooled data centers: From chip to the cooling system. Appl. Energy 2017, 205, 1165–1188. [Google Scholar] [CrossRef]
- Matsuoka, M.; Matsuda, K.; Kubo, H. Liquid immersion cooling technology with natural convection in data center. In Proceedings of the 2017 IEEE 6th International Conference on Cloud Networking (CloudNet), Prague, Czech Republic, 25–27 September 2017; pp. 101–107. [Google Scholar] [CrossRef]
- Wagner, G.; Schaadt, J.; Dixon, J.; Chan, G.; Copeland, D. Test results from the comparison of three liquid cooling methods for high-power processors. In Proceedings of the IEEE Intersociety Conference on Thermal and Thermomechanical Phenomena in Electronic Systems (ITherm), Las Vegas, NV, USA, 31 May–3 June 2016; pp. 619–624. [Google Scholar] [CrossRef]
- Bai, L.; Zhan, L.; Lin, G.; Peterson, G. Pool boiling with high heat flux enabled by a porous artery structure. Appl. Phys. Lett. 2016, 108, 221602. [Google Scholar] [CrossRef]
- Li, X.; Lv, L.; Wang, X.; Li, J. Transient thermodynamic response and boiling heat transfer limit of dielectric liquids in a two-phase closed direct immersion cooling system. Therm. Sci. Eng. Prog. 2021, 25, 100986. [Google Scholar] [CrossRef]
- Alibaba. Apsara Conference—Apsara Intelligence. 2017. Available online: https://yunqi.aliyun.com/2017/nanjing/index?spm=a2c4e.11165380.747884.5.3aa42d9fOwU6Mi (accessed on 24 February 2023).
- IDCC2021. The 16th China IDC Industry Annual Ceremony. 2021. Available online: http://news.idcquan.com/news/180569.shtml (accessed on 24 February 2023).
- Iceotope. Unlimiting Performance from the Cloud to the Edge. 2022. Available online: https://www.iceotope.com/technologies/ (accessed on 24 February 2023).
- CITE2020. The 8th China Information Technology Expo. 2020. Available online: https://www.citexpo.org/ (accessed on 24 February 2023).
- Sugon. The First Commercial Liquid Immersion Cooling Server in China. 2017. Available online: https://www.sugon.com/cut?id=705&nav_id=48 (accessed on 24 February 2023).
- MarketsandMarkets. Immersion Cooling Market by Type (Single-Phase and Two-Phase), Application (High Performance Computing, Edge Computing, Cryptocurrency Mining), Cooling Fluid Type (Mineral Oil, Synthetic Oil, Fluorocarbon Based), Geography—Global Forecast to 2030. 2023. Available online: https://www.marketsandmarkets.com/Market-Reports/immersion-cooling-market-107040948.html (accessed on 24 February 2023).
- Sebastian, M. GRC Details Immersion Cooling Deployment for the US Air force. 2019. Available online: https://www.datacenterdynamics.com/en/news/grc-details-immersion-cooling-deployment-us-air-force/ (accessed on 24 February 2023).
- GRC. Vienna Scientific Cluster’s—The Immersion Supercomputer: Extreme Efficiency, Needs No Water. 2014. Available online: https://www.grcooling.com/learning-center/vsc-immersion-supercomputer/ (accessed on 24 February 2023).
- GRC. Liquid Immersion Cooling’s Most Effective Coolants. 2018. Available online: https://www.grcooling.com/wp-content/uploads/2018/06/GRC_Fact_Sheet_ElectroSafe.pdf (accessed on 24 February 2023).
- 3M. Two-Phase Immersion Cooling—A Revolution in Data Center Efficiency. 2015. Available online: https://multimedia.3m.com.cn/mws/media/1127920O/2-phase-immersion-coolinga-revolution-in-data-center-efficiency.pdf (accessed on 24 February 2023).
- Xia, L.; Wang, W.; Zhu, Y. Status and trend of millimeter—Wave CMOS integrated circuits. Semicond. Technol. 2007, 223, 197–201. [Google Scholar] [CrossRef]
- Endo, T.; Nukada, A.; Matsuoka, S. TSUBAME-KFC: A modern liquid submersion cooling prototype towards exascale becoming the greenest supercomputer in the world. In Proceedings of the 2014 20th IEEE International Conference on Parallel and Distributed Systems (ICPADS), Hsinchu, China, 16–19 December 2014; pp. 360–367. [Google Scholar] [CrossRef]
- Cooling Loop. 2012. Available online: https://welcolab.wixsite.com/discovery/8-cooling-liquids (accessed on 24 February 2023).
- GRC. The Coolest Answer to Power Hungry Data Centers. 2021. Available online: https://www.grcooling.com/wp-content/uploads/2018/06/GRC_ICE_Product_Brochure.pdf (accessed on 24 February 2023).
- TACC. A Top-20 Supercomputing Facility Rethinks Its Cooling Efficiency with Fluid-Submersion Cooling. 2018. Available online: https://dl.acm.org/action/downloadSupplement?doi=10.1145%2F2148600.2148631&file=post198.pdf (accessed on 24 February 2023).
- Danielson, R.; Krajewski, N.; Brost, J. Cooling a superfast computer. Electron. Packag. Prod. 1986, 26, 44–45. [Google Scholar]
- Zhan, W. A supercomputer system CRAY-2. J. Comput. Res. Deve. 1986, 23, 58–64. [Google Scholar]
- Simons, R. Direct liquid immersion cooling for high power density microelectronics. Electron. Cooling. 1996. Available online: https://www.electronics-cooling.com/1996/05/direct-liquid-immersion-cooling-for-high-power-density-microelectronics/ (accessed on 24 February 2023).
- Li, J. Liquid Cooling Revolution—A Black Technology Transforming the Data Center; Posts Telecom Presse: Beijing, China, 2019. [Google Scholar]
- Wu, X.; Yang, J.; Guo, H.; Zhuang, Y.; Li, C.; Liu, Y.; Han, X. Development history and design of key links in immersion liquid cooling system for data center. Refrig. Air-Cond. 2022, 22, 61–74. [Google Scholar]
- Phoenik. In new infrastructure construction era, immersion cooling will be popular in data centers. Data Center Setup+ 2020, 21, 55–56. [Google Scholar]
- Patrick, K. Sugon Nebula Phase Change Immersion Cooling a Unique Platform. 2018. Available online: https://www.servethehome.com/sugon-nebula-phase-change-immersion-cooling-a-unique-platform/ (accessed on 24 February 2023).
- Peter, J. EcoDataCenter to Deploy Iceotope Immersion Cooling. 2020. Available online: https://www.datacenterdynamics.com/en/news/ecodatacenter-deploy-iceotope-immersion-cooling/ (accessed on 24 February 2023).
- Yang, S.; Tao, W. Heat Transfer, 4th ed.; Higher Education Press: Beijing, China, 2006. [Google Scholar]
- Carey, V. Liquid-Vapor Phase-Change Phenomena: An Introduction to the Thermophysics of Vaporization and Condensation Processes in Heat Transfer Equipment, 2nd ed.; Hemisphere Publishing Corporation: Washington, DC, USA, 1992. [Google Scholar] [CrossRef]
- Wu, X.; Li, C.; Yang, J.; Liu, Y.; Han, X. Theoretical and experimental research on flow boiling heat transfer in microchannels for IGBT modules. Int. J. Heat Mass Transf. 2023, 205, 123900. [Google Scholar] [CrossRef]
- Lienhard, J.; Dhir, V.; Riherd, D. Peak pool boiling heat-flux measurements on finite horizontal flat plates. J. Heat Transf. 1973, 95, 477. [Google Scholar] [CrossRef]
- Dhir, V.; Lienhard, J. Laminar film condensation on plane and axisymmetric bodies in nonuniform gravity. J. Heat Transf. 1971, 93, 97–100. [Google Scholar] [CrossRef]
- Ozmat, B. Interconnect technologies and the thermal performance of MCM. In [1992 Proceedings] Intersociety Conference on Thermal Phenomena in Electronic Systems; IEEE: Austin, TX, USA, 1992; pp. 226–245. [Google Scholar] [CrossRef]
- Shah, A. Exergy-Based Analysis and Optimization of Computer Thermal Management Systems; University of California Berkeley: Berkeley, CA, USA, 2005. [Google Scholar]
- GRC. ElectrosafeTM Plus-Safety Data Sheet. 2017. Available online: https://www.forvice.co.jp/wp/wp-content/uploads/%E2%97%86Electrosafe-Plus-SDS.pdf (accessed on 24 February 2023).
- GRC. ElectroSafeTM Dielectric Liquid Coolant. 2018. Available online: https://www.grcooling.com (accessed on 24 February 2023).
- El-Genk, M. Immersion cooling nucleate boiling of high power computer chips. Energy Convers. Manag. 2012, 53, 205–218. [Google Scholar] [CrossRef]
- Gess, J.; Bhavnani, S.; Ramakrishnan, B.; Johnson, R.; Harris, D.; Knight, R.; Hamilton, M.; Ellis, C. Impact of surface enhancements upon boiling heat transfer in a liquid immersion cooled high performance small form factor server model. In Proceedings of the 14th Intersociety Conference on Thermal and Thermomechanical Phenomena in Electronic Systems (ITherm), Orlando, FL, USA, 27–30 May 2014; pp. 435–443. [Google Scholar] [CrossRef]
- Hsu, Y.; Li, J.; Lu, M. Enhanced immersion cooling using two-tier micro- and nano-structures. Appl. Therm. Eng. 2018, 131, 864–873. [Google Scholar] [CrossRef]
- Lee, J.; Mudawar, I. Fluid flow and heat transfer characteristics of low temperature two-phase micro-channel heat sinks—Part 1: Experimental methods and flow visualization results. Int. J. Heat Mass Transf. 2008, 51, 4315–4326. [Google Scholar] [CrossRef]
- Lee, J.; Mudawar, I. Fluid flow and heat transfer characteristics of low temperature two-phase micro-channel heat sinks—Part 2. Subcooled boiling pressure drop and heat transfer. Int. J. Heat Mass Transf. 2008, 51, 4327–4341. [Google Scholar] [CrossRef]
- Yoon, Y.; Yang, H.; Kwak, H. Enhancement of the critical heat flux by using heat spreader. KSME Int. J. 2003, 17, 1063–1072. [Google Scholar] [CrossRef]
- Stiles, V.; Cady, G. Physical properties of perfluoro-n-hexane and perfluoro-2-methylpentane. J. Am. Chem. Soc. 1952, 74, 3771–3773. [Google Scholar] [CrossRef]
- Dunlap, R.; Murphy, C.; Bedford, R. Some physical properties of perfluoro-n-hexane. J. Am. Chem. Soc. 1958, 80, 83–85. [Google Scholar] [CrossRef]
- Dias, A.; Gonçalves, C.; Caço, A.; Santos, L.; Piñeiro, M.; Vega, L.; Coutinho, J.; Marrucho, I. Densities and vapor pressures of highly fluorinated compounds. J. Chem. Eng. Data 2005, 50, 1328–1333. [Google Scholar] [CrossRef]
- Freire, M.; Ferreira, A.; Fonseca, I.; Marrucho, I.; Coutinho, J. Viscosities of liquid fluorocompounds. J. Chem. Eng. Data 2008, 53, 538–542. [Google Scholar] [CrossRef]
- Freire, M.; Carvalho, P.; Queimada, A.; Marrucho, I.; Coutinho, J. Surface tension of liquid fluorocompounds. J. Chem. Eng. Data 2006, 51, 1820–1824. [Google Scholar] [CrossRef]
- Cochran, M.; North, A.; Pethrick, R. Ultrasonic studies of perfluoro-n-alkanes. J. Am. Chem. Soc. Faraday Trans. 1974, 70, 1274–1279. [Google Scholar] [CrossRef]
- Morgado, P.; Laginhas, C.; Lewis, J.; McCabe, C.; Martins, L.; Filipe, E. Viscosity of liquid perfluoroalkanes and perfluoroalkylalkane surfactants. J. Phys. Chem. B 2011, 115, 9130–9139. [Google Scholar] [CrossRef] [PubMed]
- Irving, J.; Jamieson, D. Thermal conductivity of 13 fluorocarbon liquids. J. Fluor. Chem. 1975, 5, 449–456. [Google Scholar] [CrossRef]
- McLinden, M.; Perkins, R.; Lemmon, E.; Fortin, T. Thermodynamic properties of 1,1,1,2,2,4,5,5,5-nonafluoro-4-(trifluoromethyl)-3-pentanone: Vapor pressure, (p, ρ, t) behavior, and speed of sound measurements, and an equation of state. J. Chem. Eng. Data 2015, 60, 3646–3659. [Google Scholar] [CrossRef]
- Tanaka, K. Measurement of pρT Properties of 1,1,1,2,2,4,5,5,5-Nonafluoro-4-(trifluoromethyl)-3-pentanone in the Near-Critical and Supercritical Regions. J. Chem. Eng. Data 2016, 61, 3958–3961. [Google Scholar] [CrossRef]
- Perkins, R.; Huber, M.; Assael, M. Measurement and correlation of the thermal conductivity of 1,1,1,2,2,4,5,5,5-nonafluoro-4-(trifluoromethyl)-3-pentanone. J. Chem. Eng. Data 2018, 63, 2783–2789. [Google Scholar] [CrossRef]
- Wen, C.; Meng, X.; Huber, M.; Wu, J. Measurement and correlation of the viscosity of 1,1,1,2,2,4,5,5,5-nonafluoro-4-(trifluoromethyl)-3-pentanone. J. Chem. Eng. Data 2017, 62, 3603–3609. [Google Scholar] [CrossRef] [PubMed]
- Cui, J.; Yan, S.; Bi, S.; Wu, J. Saturated liquid dynamic viscosity and surface tension of trans-1-chloro-3,3,3-trifluoropropene and dodecafluoro-2-methylpentan-3-one. J. Chem. Eng. Data 2018, 63, 751–756. [Google Scholar] [CrossRef]
- Rausch, M.; Kretschmer, L.; Will, S.; Leipertz, A.; Fröba, A. Density, surface tension, and kinematic viscosity of hydrofluoroethers HFE-7000, HFE-7100, HFE-7200, HFE-7300, and HFE-7500. J. Chem. Eng. Data 2015, 60, 3759–3765. [Google Scholar] [CrossRef]
- Bi, S.; Cui, J.; Ma, L.; Zhao, G.; Wu, J. Thermophysical properties of HFE7100 and HFE7500. CIESC J. 2016, 67, 1680–1686. [Google Scholar]
- An, B.; Duan, Y.; Tan, L.; Yang, Z. Vapor pressure of HFE 7100. J. Chem. Eng. Data 2015, 60, 1206–1210. [Google Scholar] [CrossRef]
- Meng, X.; Wei, K.; Wu, J. Viscosity measurements for two new working fluids of HFE-7000 and HFE-7100. Sci. Paper Online 2014. Available online: http://www.paper.edu.cn/releasepaper/content/201401-1259 (accessed on 24 February 2023).
- Piñeiro, M.; Bessières, D.; Legido, J.; Saint-Guirons, H. PρT measurements of nonafluorobutyl methyl ether and nonafluorobutyl ethyl ether between 283.15 and 323.15 K at pressures up to 40 MPa. Int. J. Thermophys. 2003, 24, 1265–1276. [Google Scholar] [CrossRef]
- An, B.; Tan, L.; Duan, Y.; Yang, Z. PvT properties for R-227ea and HFE-7100 in the liquid phase. J. Chem. Eng. Data 2016, 61, 1462–1467. [Google Scholar] [CrossRef]
- Li, X.; Bi, S.; Zhao, G.; Lu, P.; Wang, Y. Experiment on liquid density and surface tension of nonafluorobutylmethylether. J. Xi’an Jiaotong Univ. 2011, 45, 70–73. [Google Scholar]
- Qi, H.; Fang, D.; Meng, X.; Wu, J. Liquid density of HFE-7000 and HFE-7100 from T = (283 to 363) K at pressures up to 100 MPa. J. Chem. Thermodyn. 2014, 77, 131–136. [Google Scholar] [CrossRef]
- Hu, X.; Meng, X.; Wei, K.; Li, W.; Wu, J. Compressed liquid viscosity measurements of HFE-7000, HFE-7100, HFE-7200, and HFE-7500 at temperatures from (253 to 373) K and pressures up to 30 MPa. J. Chem. Eng. Data 2015, 60, 3562–3570. [Google Scholar] [CrossRef]
- Zheng, Y.; Wei, Z.; Song, X. Measurements of isobaric heat capacities for HFE-7000 and HFE-7100 at different temperatures and pressures. Fluid Phase Equilibria 2016, 425, 335–341. [Google Scholar] [CrossRef]
- Chen, X.; Cai, Z.; Qian, C. Chemical Engineering Thermodynamics, 5th ed.; Chemical Industry Press Co., Ltd.: Beijing, China, 2020. [Google Scholar]
- Tanaka, K.; Ishikawa, J.; Kontomaris, K. Thermodynamic properties of HFO-1336mzz(E) (trans-1,1,1,4,4,4-hexafluoro-2-butene) at saturation conditions. Int. J. Refrig. 2017, 82, 283–287. [Google Scholar] [CrossRef]
- Lemmon, E.; Bell, I.; Huber, M. NIST standard reference database; Version 10.0 REFPROP; National Institute of Standards and Technology: Gaithersburg, MD, USA, 2018.
- Vandana, V.; Rosenthal, D.; Teja, A. The critical properties of perfluoro n-alkanes. Fluid Phase Equilibria 1994, 99, 209–218. [Google Scholar] [CrossRef]
- 3M. 3MTM NovecTM 649 Engineered Fluid. 2019. Available online: https://www.3m.com (accessed on 24 February 2023).
- Peng, D.; Robinson, D. A new two-constant equation of state. Ind. Eng. Chem. Fundam. 1976, 15, 59–64. [Google Scholar] [CrossRef]
- Lin, H.; Duan, Y. Density correction of the peng-robinson equation of state for halogenated hydrocarbons. J. Eng. Thermophys. 2006, 27, 13–16. [Google Scholar]
- Duan, Y.; Lin, H. Modified cubic equations of state by volumetranslation method. In Proceedings of the 4th Chian New Technology of Refrigeration and air Conditioning Conference, Nanjing, China, 9–11 April 2006; p. 7. [Google Scholar]
- Pina-Martinez, A.; Privat, R.; Jaubert, J.; Peng, D. Updated versions of the generalized Soave α-function suitable for the Redlich-Kwong and Peng-Robinson equations of state. Fluid Phase Equilibria 2019, 485, 264–269. [Google Scholar] [CrossRef]
- Lopez-Echeverry, J.; Reif-Acherman, S.; Araujo-Lopez, E. Peng-Robinson equation of state: 40 years through cubics. Fluid Phase Equilibria 2017, 447, 39–71. [Google Scholar] [CrossRef]
- Forero, G.L.; Velásquez, J. The Patel–Teja and the Peng–Robinson EoSs performance when Soave alpha function is replaced by an exponential function. Fluid Phase Equilibria 2012, 332, 55–76. [Google Scholar] [CrossRef]
- Kumar, A.; Okuno, R. Critical parameters optimized for accurate phase behavior modeling for heavy n-alkanes up to C100 using the Peng–Robinson equation of state. Fluid Phase Equilibria 2012, 335, 46–59. [Google Scholar] [CrossRef]
- Nazarzadeh, M.; Moshfeghian, M. New volume translated PR equation of state for pure compounds and gas condensate systems. Fluid Phase Equilibria 2013, 337, 214–223. [Google Scholar] [CrossRef]
- Haghtalab, A.; Mahmoodi, P.; Mazloumi, S. A modified Peng–Robinson equation of state for phase equilibrium calculation of liquefied, synthetic natural gas, and gas condensate mixtures. Can. J. Chem. Eng. 2011, 89, 1376–1387. [Google Scholar] [CrossRef]
- Tong, J. Thermophysical Properties of Fluids; China Petrochemical Press: Beijing, China, 1996. [Google Scholar]
- Martin, J. Cubic equations of state-which. Ind. Eng. Chem. Fundam. 1979, 18, 81–97. [Google Scholar] [CrossRef]
- Nasrifar, K.; Moshfeghian, M. A new cubic equation of state for simple fluids: Pure and mixture. Fluid Phase Equilibria 2001, 190, 73–88. [Google Scholar] [CrossRef]
- Haghtalab, A.; Kamali, M.; Mazloumi, S.; Mahmoodi, P. A new three-parameter cubic equation of state for calculation physical properties and vapor–liquid equilibria. Fluid Phase Equilibria 2010, 293, 209–218. [Google Scholar] [CrossRef]
- Brock, J.; Bird, R. Surface tension and the principle of corresponding states. AIChE J. 1955, 1, 174–177. [Google Scholar] [CrossRef]
- Pitzer, K. Thermodynamics; McGraw-Hill: New York, NY, USA, 1995. [Google Scholar]
- Gharagheizi, F.; Eslamimanesh, A.; Sattari, M.; Mohammadi, A.; Richon, D. Development of corresponding states model for estimation of the surface tension of chemical compounds. AIChE J. 2013, 59, 613–621. [Google Scholar] [CrossRef]
- Miqueu, C.; Broseta, D.; Satherley, J.; Mendiboure, B.; Lachaise, J.; Graciaa, A. An extended scaled equation for the temperature dependence of the surface tension of pure compounds inferred from an analysis of experimental data. Fluid Phase Equilibria 2000, 172, 169–182. [Google Scholar] [CrossRef]
- Schmidt, J.; Carrillo-Nava, E.; Moldover, M. Partially halogenated hydrocarbons CHFCl-CF3, CF3-CH3, CF3-CHF-CHF2, CF3-CH2-CF3, CHF2-CF2-CH2F, CF3-CH2-CHF2, CF3-O-CHF2: Critical temperature, refractive indices, surface tension and estimates of liquid, vapor and critical densities. Fluid Phase Equilibria 1996, 122, 187–206. [Google Scholar] [CrossRef]
- Duan, Y.; Zhang, C.; Lin, H.; Zhu, M. The prediction of surface tension for HFCs and HCFCs. J. Eng. Thermophys. 2001, 22, 278–280. [Google Scholar]
- Nicola, G.; Nicola, C.; Moglie, M. A new surface tension equation for refrigerants. Int. J. Thermophys. 2013, 34, 2243–2260. [Google Scholar] [CrossRef]
- Nicola, G.; Moglie, M. A generalized equation for the surface tension of refrigerants. Int. J. Thermophys. 2011, 34, 1098–1108. [Google Scholar] [CrossRef]
- Huber, M. Models for Viscosity, Thermal Conductivity, and Surface Tension of Selected Pure Fluids as Implemented in REFPROP v10.0; National Institute of Standards and Technology: Gaithersburg, MD, USA, 2018.
- Chen, X.; Hou, Y. A new version of the shape factor corresponding states principle. J. Chem. Engin. Chin. Univ. 1993, 7, 296–303. [Google Scholar]
- Ghosh, T.; Prasad, D.; Dutt, N.; Rani, K. Viscosity of Liquids: Theory, Estimation, Experiment, and Data, Viscosity of Liquids: Theory, Estimation, Experiment, and Data; Springer: Berlin, Germany, 2007; Available online: https://link.springer.com/content/pdf/bfm:978-1-4020-5482-2/1.pdf (accessed on 24 February 2023).
- Sastri, S.; Rao, K. A new group contribution method for predicting viscosity of organic liquids. Chem. Eng. J. 1992, 50, 9–25. [Google Scholar] [CrossRef]
- Sastri, S.; Rao, K. A new method for predicting saturated liquid viscosity at temperatures above the normal boiling point. Fluid Phase Equilibria 2000, 175, 311–323. [Google Scholar] [CrossRef]
- Nannoolal, Y.; Rarey, J.; Ramjugernath, D. Estimation of pure component properties, Part 4: Estimation of the saturated liquid viscosity of non-electrolyte organic compounds via group contributions and group interactions. Fluid Phase Equilibria 2009, 281, 97–119. [Google Scholar] [CrossRef]
- Govender, O.; Rarey, J.; Ramjugernath, D. Estimation of pure component properties, Part 5: Estimation of the thermal conductivity of nonelectrolyte organic liquids via group contributions. J. Chem. Eng. Data 2020, 65, 1300–1312. [Google Scholar] [CrossRef]
- Latini, G.; Nicola, G.; Pierantozzi, M. A method to estimate the thermal conductivity of organic alcohols in the liquid phase at atmospheric pressure or along the saturation line. Fluid Phase Equilibria 2016, 427, 488–497. [Google Scholar] [CrossRef]
- Sastri, S.; Rao, K. A new temperature—Thermal conductivity relationship for predicting saturated liquid thermal conductivity. Chem. Eng. J. 1999, 74, 161–169. [Google Scholar] [CrossRef]
- Latini, G.; Sotte, M. Thermal conductivity of refrigerants in the liquid state: A comparison of estimation methods. Int. J. Refrig. 2012, 35, 1377–1383. [Google Scholar] [CrossRef]
- Gharagheizi, F.; Ilani-Kashkouli, P.; Sattari, M.; Mohammadi, A.; Ramjugernath, D.; Richon, D. Development of a general model for determination of thermal conductivity of liquid chemical compounds at atmospheric pressure. AIChE J. 2013, 59, 1702–1708. [Google Scholar] [CrossRef]
- Krauss, R.; Luettmer-Strathmann, J.; Sengers, J.; Stephan, K. Transport properties of 1,1,1,2-tetrafluoroethane (R134a). Int. J. Thermophys. 1993, 14, 951–988. [Google Scholar] [CrossRef]
- Huber, M.; Laesecke, A.; Perkins, R. Model for the viscosity and thermal conductivity of refrigerants, including a new correlation for the viscosity of R134a. Ind. Eng. Chem. Res. 2003, 42, 3163–3178. [Google Scholar] [CrossRef]
- Velzen, D.; Wang, S. Correlation of viscosity-temperature-chemical structure of organic compound liquid. Chem. Eng. 1974, 4, 60–66. [Google Scholar]
- Marrero, J.; Gani, R. Group-contribution based estimation of pure component properties. Fluid Phase Equilibria 2001, 183–184, 183–208. [Google Scholar] [CrossRef]
- Langmuir, I. Third Colloid Symposium. In Monograph; Chemical Catalog Co.: New York, NY, USA, 1925. [Google Scholar]
- Su, W.; Zhao, L.; Deng, S. Group contribution methods in thermodynamic cycles: Physical properties estimation of pure working fluids. Renew. Sustain. Energy Rev. 2017, 79, 984–1001. [Google Scholar] [CrossRef]
Disclaimer/Publisher’s Note: The statements, opinions and data contained in all publications are solely those of the individual author(s) and contributor(s) and not of MDPI and/or the editor(s). MDPI and/or the editor(s) disclaim responsibility for any injury to people or property resulting from any ideas, methods, instructions or products referred to in the content. |
© 2023 by the authors. Licensee MDPI, Basel, Switzerland. This article is an open access article distributed under the terms and conditions of the Creative Commons Attribution (CC BY) license (https://creativecommons.org/licenses/by/4.0/).