Quality Assessment of Banana Ripening Stages by Combining Analytical Methods and Image Analysis
Abstract
1. Introduction
2. Materials and Methods
2.1. Banana Samples
2.2. Physicochemical Measurements during Banana Ripening
2.3. Fourier Transform Infrared Spectroscopy with Attenuated Total Reflectance (ATR-FTIR)
2.4. Image Acquisition
2.5. Discriminant Analysis
2.6. Statistical Analysis
3. Results and Discussion
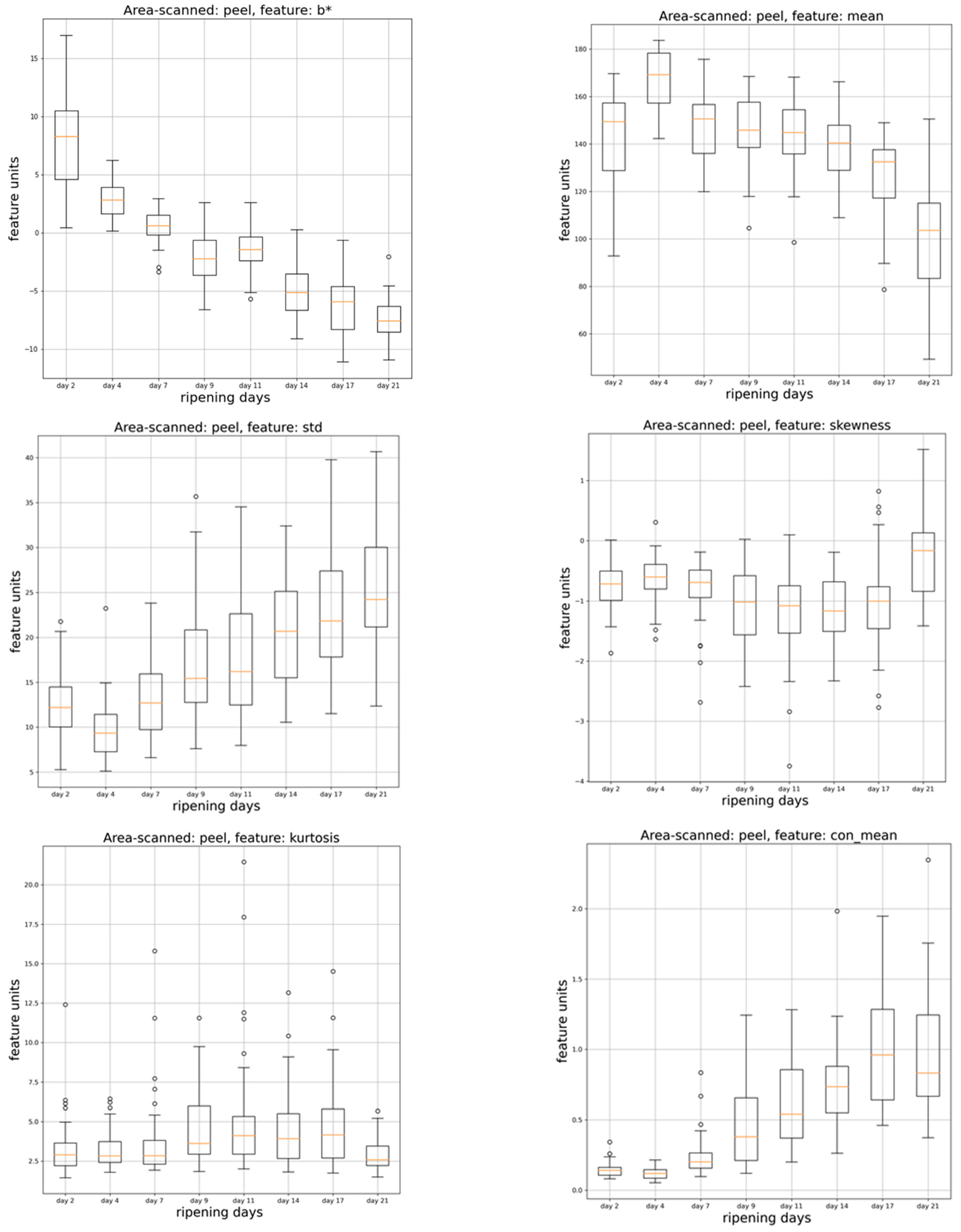
3.1. Classification of the Banana According to Ripening Process of Peel and Flesh Using Textural Image Analysis
3.2. Physicochemical Parameters of the Banana Flesh during Storage
3.3. Pairwise Correlation Matrix of Pairs of Physicochemical Parameters of the Banana Flesh and the Features L*, a*, b* of the Banana Peel, during Storage
3.4. Attenuated Total Reflection-Fourier Transform Infrared (ATR-FTIR) Spectra Interpretation
4. Conclusions
Supplementary Materials
Author Contributions
Funding
Institutional Review Board Statement
Informed Consent Statement
Data Availability Statement
Acknowledgments
Conflicts of Interest
References
- Qamar, S.; Shaikh, A. Therapeutic Potentials and Compositional Changes of Valuable Compounds from Banana-A Review. Trends Food Sci. Technol. 2018, 79, 1–9. [Google Scholar] [CrossRef]
- Maduwanthi, S.D.T.; Marapana, R.A.U.J. Biochemical Changes during Ripening of Banana: A Review. Int. J. Food Sci. Nutr. 2017, 2, 166–170. [Google Scholar]
- Babu, M.; Suriyakala, M.; Kodiveri Muthukaliannan, G. Varietal Impact on Phytochemical Contents and Antioxidant Properties of Musa Acuminata (Banana). J. Pharm. Sci. Res. 2012, 4, 1950–1955. [Google Scholar]
- Yap, M.; Fernando, W.M.A.D.B.; Brennan, C.S.; Jayasena, V.; Coorey, R. The Effects of Banana Ripeness on Quality Indices for Puree Production. LWT 2017, 80, 10–18. [Google Scholar] [CrossRef]
- Batista-Silva, W.; Nascimento, V.L.; Medeiros, D.B.; Nunes-Nesi, A.; Ribeiro, D.M.; Zsögön, A.; Araújo, W.L. Modifications in Organic Acid Profiles During Fruit Development and Ripening: Correlation or Causation? Front. Plant Sci. 2018, 9, 1689. [Google Scholar] [CrossRef]
- da Luiz, L.C.; Nascimento, C.A.; Bell, M.J.V.; Batista, R.T.; Meruva, S.; Anjos, V. Use of Mid Infrared Spectroscopy to Analyze the Ripening of Brazilian Bananas. Food Sci. Technol. 2022, 42, e74221. [Google Scholar] [CrossRef]
- Ma, L.; Liang, C.; Cui, Y.; Du, H.; Liu, H.; Zhu, L.; Yu, Y.; Lu, C.; Benjakul, S.; Brennan, C.; et al. Prediction of Banana Maturity Based on the Sweetness and Color Values of Different Segments during Ripening. Curr. Res. Nutr. Food Sci. 2022, 5, 1808–1817. [Google Scholar] [CrossRef]
- Maduwanthi, S.D.T.; Marapana, R.A.U.J. Comparative Study on Aroma Volatiles, Organic Acids, and Sugars of Ambul Banana (Musa Acuminata, AAB) Treated with Induced Ripening Agents. J. Food Qual. 2019, 2019, e7653154. [Google Scholar] [CrossRef]
- Mazen, F.M.A.; Nashat, A.A. Ripeness Classification of Bananas Using an Artificial Neural Network. Arab. J. Sci. Eng. 2019, 44, 6901–6910. [Google Scholar] [CrossRef]
- Mutharasu, P.; Kavino, M.; Muthuvel, I.; Subramanian, K.S.; Venkatesan, K. Study on Changes in Ultrastructure of Banana Cv. Grand Naine during Ripening. J. Agric. Ecol. 2018, 6, 17–21. [Google Scholar]
- Phillips, K.M.; McGinty, R.C.; Couture, G.; Pehrsson, P.R.; McKillop, K.; Fukagawa, N.K. Dietary Fiber, Starch, and Sugars in Bananas at Different Stages of Ripeness in the Retail Market. PLoS ONE 2021, 16, e0253366. [Google Scholar] [CrossRef] [PubMed]
- Soltani, M.; Alimardani, R.; Omid, M. Evaluating Banana Ripening Status from Measuring Dielectric Properties. J. Food Eng. 2011, 105, 625–631. [Google Scholar] [CrossRef]
- Surya Prabha, D.; Satheesh Kumar, J. Assessment of Banana Fruit Maturity by Image Processing Technique. J. Food Sci. Technol. 2015, 52, 1316–1327. [Google Scholar] [CrossRef] [PubMed]
- Thuy, N.M.; Linh, M.N.; My, L.T.D.; Minh, V.Q.; Tai, N.V. Physico-Chemical Changes in “Xiem” Banana Cultivar (Cultivated in Vietnam)during Ripening and Storage at Different Temperatures. Food Res. 2021, 5, 229–237. [Google Scholar] [CrossRef] [PubMed]
- Yun, Z.; Gao, H.; Chen, X.; Duan, X.; Jiang, Y. The Role of Hydrogen Water in Delaying Ripening of Banana Fruit during Postharvest Storage. Food Chem. 2022, 373, 131590. [Google Scholar] [CrossRef]
- Zulkifli, N.; Hashim, N.; Abdan, K.; Hanafi, M. Evaluation of Physicochemical Properties of Musa Acuminate Cv. Berangan at Different Ripening Stages. Int. Food Res. J. 2016, 23, S97–S100. [Google Scholar]
- Giannakourou, M.C.; Stavropoulou, N.; Tsironi, T.; Lougovois, V.; Kyrana, V.; Konteles, S.J.; Sinanoglou, V.J. Application of Hurdle Technology for the Shelf Life Extension of European Eel (Anguilla Anguilla) Fillets. Aquac. Fish. 2023, 8, 393–402. [Google Scholar] [CrossRef]
- Peleg, M. The Instrumental Texture Profile Analysis Revisited. J. Texture Stud. 2019, 50, 362–368. [Google Scholar] [CrossRef]
- AOAC International. Aromatic intermediates and derivatives. In Official Methods of Analysis of AOAC International, 19th ed.; Latimar, G.W., Ed.; Association of Official Analytical Chemists: Washington, DC, USA, 2012; ISBN 0935584838. [Google Scholar]
- Dwivany, F.M.; Aprilyandi, A.N.; Suendo, V.; Sukriandi, N. Carrageenan Edible Coating Application Prolongs Cavendish Banana Shelf Life. Int. J. Food Sci. 2020, 2020, e8861610. [Google Scholar] [CrossRef]
- Ioannou, A.G.; Kritsi, E.; Sinanoglou, V.J.; Cavouras, D.; Tsiaka, T.; Houhoula, D.; Zoumpoulakis, P.; Strati, I.F. Highlighting the Potential of Attenuated Total Reflectance—Fourier Transform Infrared (ATR-FTIR) Spectroscopy to Characterize Honey Samples with Principal Component Analysis (PCA). Anal. Lett. 2023, 56, 789–806. [Google Scholar] [CrossRef]
- Sinanoglou, V.; Cavouras, D.; Xenogiannopoulos, D.; Proestos, C.; Zoumpoulakis, P. Quality Assessment of Pork and Turkey Hams Using FT-IR Spectroscopy, Colorimetric, and Image Analysis. Foods 2018, 7, 152. [Google Scholar] [CrossRef]
- Mendoza, F.; Aguilera, J.M. Application of Image Analysis for Classification of Ripening Bananas. J. Food Sci. 2004, 69, E471–E477. [Google Scholar] [CrossRef]
- Santoyo-Mora, M.; Sancen-Plaza, A.; Espinosa-Calderon, A.; Barranco-Gutierrez, A.I.; Prado-Olivarez, J. Nondestructive Quantification of the Ripening Process in Banana (Musa AAB Simmonds) Using Multispectral Imaging. J. Sens. 2019, 2019, e6742896. [Google Scholar] [CrossRef]
- Lohani, S.; Trivedi, P.K.; Nath, P. Changes in Activities of Cell Wall Hydrolases during Ethylene-Induced Ripening in Banana: Effect of 1-MCP, ABA and IAA. Postharvest Biol. Technol. 2004, 31, 119–126. [Google Scholar] [CrossRef]
- Pathak, N.; Asif, M.H.; Dhawan, P.; Srivastava, M.K.; Nath, P. Expression and Activities of Ethylene Biosynthesis Enzymes during Ripening of Banana Fruits and Effect of 1-MCP Treatment. Plant Growth Regul. 2003, 40, 11–19. [Google Scholar] [CrossRef]
- Cordenunsi-Lysenko, B.R.; Nascimento, J.R.O.; Castro-Alves, V.C.; Purgatto, E.; Fabi, J.P.; Peroni-Okyta, F.H.G. The Starch Is (Not) Just Another Brick in the Wall: The Primary Metabolism of Sugars During Banana Ripening. Front. Plant Sci. 2019, 10, 391. [Google Scholar] [CrossRef] [PubMed]
- Moreno, J.L.; Tran, T.; Cantero-Tubilla, B.; López-López, K.; Becerra Lopez Lavalle, L.A.; Dufour, D. Physicochemical and Physiological Changes during the Ripening of Banana (Musaceae) Fruit Grown in Colombia. Int. J. Food Sci. Technol. 2021, 56, 1171–1183. [Google Scholar] [CrossRef]
- Mohapatra, D.; Mishra, S.; Sutar, N. Banana and Its By-Product Utilisation: An Overview. J. Sci. Ind. Res. 2010, 69, 323–329. [Google Scholar]
- Ringer, T.; Blanke, M. Non-Invasive, Real Time in-Situ Techniques to Determine the Ripening Stage of Banana. J. Food Meas. Charact. 2021, 15, 4426–4437. [Google Scholar] [CrossRef]
- Thakur, R.; Pristijono, P.; Bowyer, M.; Singh, S.P.; Scarlett, C.J.; Stathopoulos, C.E.; Vuong, Q.V. A Starch Edible Surface Coating Delays Banana Fruit Ripening. LWT 2019, 100, 341–347. [Google Scholar] [CrossRef]
- Martínez-Esplá, A.; Serrano, M.; Martínez-Romero, D.; Valero, D.; Zapata, P.J. Oxalic Acid Preharvest Treatment Increases Antioxidant Systems and Improves Plum Quality at Harvest and during Postharvest Storage. J. Sci. Food Agric. 2019, 99, 235–243. [Google Scholar] [CrossRef] [PubMed]
- Youryon, P.; Supapvanich, S. Physicochemical Quality and Antioxidant Changes in ‘Leb Mue Nang’ Banana Fruit during Ripening. Agric. Nat. Resour. 2017, 51, 47–52. [Google Scholar] [CrossRef]
- Chandra, R.D.; Siswanti, C.A.; Prihastyanti, M.N.U.; Heriyanto, U.; Limantara, L.; Brotosudarmo, T.H.P. Evaluating Provitamin A Carotenoids and Polar Metabolite Compositions during the Ripening Stages of the Agung Semeru Banana (Musa paradisiaca L. AAB). Int. J. Food Sci. 2020, 2020, e8503923. [Google Scholar] [CrossRef]
- Thompson, A.K. Postharvest treatments. In Postharvest Technology of Fruit and Vegetables; Thompson, A.K., Ed.; Blackwell Publishing: Oxford, UK, 1996; pp. 95–124. [Google Scholar]
- Ali, Z.M.; Chin, L.-H.; Lazan, H. A Comparative Study on Wall Degrading Enzymes, Pectin Modifications and Softening during Ripening of Selected Tropical Fruits. Plant Sci. 2004, 167, 317–327. [Google Scholar] [CrossRef]
- A’Bidin, F.N.Z.; Shamsudin, R.; Basri, M.S.M.; Dom, Z.M. Mass Modelling and Effects of Fruit Position on Firmness and Adhesiveness of Banana Variety Nipah. Int. J. Food Eng. 2020, 16, 20190199. [Google Scholar] [CrossRef]
- Vu, H.T.; Scarlett, C.J.; Vuong, Q.V. Changes of Phytochemicals and Antioxidant Capacity of Banana Peel during the Ripening Process; with and without Ethylene Treatment. Sci. Hortic. 2019, 253, 255–262. [Google Scholar] [CrossRef]
- Pongprasert, N.; Srilaong, V.; Sunpapao, A. Postharvest Senescent Dark Spot Development Mechanism of Musa Acuminata (“Khai” Banana) Peel Associated with Chlorophyll Degradation and Stomata Cell Death. J. Food Biochem. 2021, 45, e13745. [Google Scholar] [CrossRef]
- Nandiyanto, A.B.D.; Oktiani, R.; Ragadhita, R. How to Read and Interpret FTIR Spectroscope of Organic Material. Indones. J. Sci. Technol. 2019, 4, 97–118. [Google Scholar] [CrossRef]
- Anjos, O.; Campos, M.G.; Ruiz, P.C.; Antunes, P. Application of FTIR-ATR Spectroscopy to the Quantification of Sugar in Honey. Food Chem. 2015, 169, 218–223. [Google Scholar] [CrossRef]
- Kozłowicz, K.; Różyło, R.; Gładyszewska, B.; Matwijczuk, A.; Gładyszewski, G.; Chocyk, D.; Samborska, K.; Piekut, J.; Smolewska, M. Identification of Sugars and Phenolic Compounds in Honey Powders with the Use of GC–MS, FTIR Spectroscopy, and X-Ray Diffraction. Sci. Rep. 2020, 10, 16269. [Google Scholar] [CrossRef]
- Li, Y.; Kong, D.; Wu, H. Comprehensive Chemical Analysis of the Flower Buds of Five Lonicera Species by ATR-FTIR, HPLC-DAD, and Chemometric Methods. Rev. Bras. Farmacogn. 2018, 28, 533–541. [Google Scholar] [CrossRef]
- Bello-Pérez, L.A.; Ottenhof, M.-A.; Agama-Acevedo, E.; Farhat, I.A. Effect of Storage Time on the Retrogradation of Banana Starch Extrudate. J. Agric. Food Chem. 2005, 53, 1081–1086. [Google Scholar] [CrossRef] [PubMed]
- Wiercigroch, E.; Szafraniec, E.; Czamara, K.; Pacia, M.Z.; Majzner, K.; Kochan, K.; Kaczor, A.; Baranska, M.; Malek, K. Raman and Infrared Spectroscopy of Carbohydrates: A Review. Spectrochim. Acta Part A: Mol. Biomol. Spectrosc. 2017, 185, 317–335. [Google Scholar] [CrossRef] [PubMed]
- Brangule, A.; Šukele, R.; Bandere, D. Herbal Medicine Characterization Perspectives Using Advanced FTIR Sample Techniques—Diffuse Reflectance (DRIFT) and Photoacoustic Spectroscopy (PAS). Front. Plant Sci. 2020, 11, 356. [Google Scholar] [CrossRef] [PubMed]
- Oliveira, R.N.; Mancini, M.C.; de Oliveira, F.C.S.; Passos, T.M.; Quilty, B.; da Thiré, R.M.S.M.; McGuinness, G.B. FTIR Analysis and Quantification of Phenols and Flavonoids of Five Commercially Available Plants Extracts Used in Wound Healing. Matér. Rio Jan. 2016, 21, 767–779. [Google Scholar] [CrossRef]
- Hong, T.; Yin, J.-Y.; Nie, S.-P.; Xie, M.-Y. Applications of Infrared Spectroscopy in Polysaccharide Structural Analysis: Progress, Challenge and Perspective. Food Chem. X 2021, 12, 100168. [Google Scholar] [CrossRef]
- Talari, A.C.S.; Martinez, M.A.G.; Movasaghi, Z.; Rehman, S.; Rehman, I.U. Advances in Fourier Transform Infrared (FTIR) Spectroscopy of Biological Tissues. Appl. Spectrosc. Rev. 2017, 52, 456–506. [Google Scholar] [CrossRef]
- Pelissari, F.M.; Andrade-Mahecha, M.M.; Sobral, P.J.D.A.; Menegalli, F.C. Isolation and Characterization of the Flour and Starch of Plantain Bananas (Musa Paradisiaca). Starch-Stärke 2012, 64, 382–391. [Google Scholar] [CrossRef]
- Kędzierska-Matysek, M.; Matwijczuk, A.; Florek, M.; Barłowska, J.; Wolanciuk, A.; Matwijczuk, A.; Chruściel, E.; Walkowiak, R.; Karcz, D.; Gładyszewska, B. Application of FTIR Spectroscopy for Analysis of the Quality of Honey. BIO Web Conf. 2018, 10, 02008. [Google Scholar] [CrossRef]
- Wang, J.; Kliks, M.M.; Jun, S.; Jackson, M.; Li, Q.X. Rapid Analysis of Glucose, Fructose, Sucrose, and Maltose in Honeys from Different Geographic Regions Using Fourier Transform Infrared Spectroscopy and Multivariate Analysis. J. Food Sci. 2010, 75, C208–C214. [Google Scholar] [CrossRef]
- Bello-Pérez, L.A.; De Francisco, A.; Agama-Acevedo, E.; Gutierrez-Meraz, F.; García-Suarez, F.J.L. Morphological and Molecular Studies of Banana Starch. Food Sci. Technol. Int. 2005, 11, 367–372. [Google Scholar] [CrossRef]
- Millan-Testa, C.E.; Mendez-Montealvo, M.G.; Ottenhof, M.-A.; Farhat, I.A.; Bello-Pérez, L.A. Determination of the Molecular and Structural Characteristics of Okenia, Mango, and Banana Starches. J. Agric. Food Chem. 2005, 53, 495–501. [Google Scholar] [CrossRef] [PubMed]
- Warren, F.J.; Gidley, M.J.; Flanagan, B.M. Infrared Spectroscopy as a Tool to Characterise Starch Ordered Structure—a Joint FTIR–ATR, NMR, XRD and DSC Study. Carbohydr. Polym. 2016, 139, 35–42. [Google Scholar] [CrossRef]
- Dome, K.; Podgorbunskikh, E.; Bychkov, A.; Lomovsky, O. Changes in the Crystallinity Degree of Starch Having Different Types of Crystal Structure after Mechanical Pretreatment. Polymers 2020, 12, 641. [Google Scholar] [CrossRef] [PubMed]
- Fan, D.; Ma, W.; Wang, L.; Huang, J.; Zhao, J.; Zhang, H.; Chen, W. Determination of Structural Changes in Microwaved Rice Starch Using Fourier Transform Infrared and Raman Spectroscopy. Starch-Stärke 2012, 64, 598–606. [Google Scholar] [CrossRef]
- Das, R.; Kayastha, A.M. Enzymatic Hydrolysis of Native Granular Starches by a New β-Amylase from Peanut (Arachis Hypogaea). Food Chem. 2019, 276, 583–590. [Google Scholar] [CrossRef]
- Cordenunsi, B.R.; Lajolo, F.M. Starch Breakdown during Banana Ripening: Sucrose Synthase and Sucrose Phosphate Synthase. J. Agric. Food Chem. 1995, 43, 347–351. [Google Scholar] [CrossRef]












| Days | Feature Mean Value 1 |
|---|---|
| 2 | 26.778 ± 6.226 a |
| 4 | 41.498 ± 13.915 b |
| 7 | 57.879 ± 14.781 c |
| 9 | 79.789 ± 17.804 d |
| 11 | 84.432 ± 20.755 d |
| 14 | 107.475 ± 22.436 e |
| 17 | 110.277 ± 18.991 e |
| 21 | 130.263 ± 17.983 f |
| Regions (cm−1) | Day 2 | Day 4 | Day 7 | Day 9 | Day 11 | Day 14 | Day 17 | Day 21 |
|---|---|---|---|---|---|---|---|---|
| 3640–3530 | 0.008 ± 0.001 a 1 | 0.005 ± 0.001 b | 0.006 ± 0.001 ab | 0.010 ± 0.002 c | 0.017 ± 0.001 d | 0.010 ± 0.001 c | 0.014 ± 0.002 e | 0.011 ± 0.001 c |
| 3400 | 0.005 ± 0.001 a | 0.005 ± 0.001 a | 0.004 ± 0.001 a | 0.004 ± 0.001 a | 0.004 ± 0.000 a | 0.009 ± 0.002 b | 0.010 ± 0.001 b | 0.009 ± 0.002 b |
| 3325 | 0.004 ± 0.001 a | 0.003 ± 0.001 a | 0.004 ± 0.001 a | 0.003 ± 0.000 a | 0.004 ± 0.001 a | 0.003 ± 0.000 a | 0.003 ± 0.001 a | 0.004 ± 0.001 a |
| 3300–3200 | 0.005 ± 0.001 a | 0.008 ± 0.001 b | 0.010 ± 0.002 bc | 0.011 ± 0.001 c | 0.012 ± 0.001 c | 0.011 ± 0.001 c | 0.010 ± 0.001 bc | 0.010 ± 0.001 bc |
| 2932 | 0.049 ± 0.008 a | 0.048 ± 0.006 a | 0.032 ± 0.002 b | 0.003 ± 0.001 c | 0.004 ± 0.002 c | 0.003 ± 0.001 c | 0.002 ± 0.001 c | - |
| 1738 | 0.002 ± 0.000 a | 0.003 ± 0.001 ab | 0.003 ± 0.001 ab | 0.003 ± 0.000 b | 0.003 ± 0.001 ab | 0.003 ± 0.001 ab | 0.002 ± 0.000 a | 0.003 ± 0.000 b |
| 1647–1632 | 0.167 ± 0.010 a | 0.165 ± 0.009 a | 0.172 ± 0.009 a | 0.180 ± 0.008 a | 0.186 ± 0.015 ab | 0.210 ± 0.015 b | 0.211 ± 0.022 b | 0.220 ± 0.017 b |
| 1465–1450 | 0.006 ± 0.001 a | 0.006 ± 0.001 a | 0.007 ± 0.001 a | 0.006 ± 0.001 a | 0.006 ± 0.001 a | 0.007 ± 0.001 a | 0.007 ± 0.001 a | 0.007 ± 0.001 a |
| 1420–1410 | 0.003 ± 0.000 a | 0.005 ± 0.001 b | 0.005 ± 0.001 b | 0.002 ± 0.000 c | 0.002 ± 0.000 c | 0.002 ± 0.000 c | 0.002 ± 0.000 c | 0.002 ± 0.000 c |
| 1366–1339 | 0.012 ± 0.004 ab | 0.016 ± 0.001 a | 0.011 ± 0.002 b | 0.003 ± 0.001 c | 0.003 ± 0.001 c | 0.002 ± 0.000 c | 0.002 ± 0.000 c | 0.003 ± 0.001 c |
| 1261–1229 | 0.007 ± 0.001 a | 0.006 ± 0.001 a | 0.006 ± 0.002 a | 0.006 ± 0.002 a | 0.009 ± 0.002 a | 0.009 ± 0.003 a | 0.009 ± 0.003 a | 0.010 ± 0.003 a |
| 1153–1149 | 0.062 ± 0.007 a | 0.064 ± 0.005 a | 0.039 ± 0.004 b | 0.014 ± 0.001 c | 0.016 ± 0.003 c | 0.016 ± 0.004 c | 0.014 ± 0.002 c | 0.014 ± 0.002 c |
| 1105 | 0.015 ± 0.002 abc | 0.015 ± 0.002 abc | 0.018 ± 0.003 a | 0.013 ± 0.001 bc | 0.016 ± 0.003 ab | 0.014 ± 0.003 abc | 0.012 ± 0.001 c | 0.013 ± 0.002 ab |
| 1076 | 0.055 ± 0.007 a | 0.056 ± 0.005 a | 0.035 ± 0.005 b | - | - | - | - | - |
| 1055–1045 | 0.016 ± 0.002 a | 0.016 ± 0.002 a | 0.021 ± 0.003 b | 0.036 ± 0.008 c | 0.040 ± 0.006 cd | 0.045 ± 0.004 cd | 0.045 ± 0.003 d | 0.056 ± 0.006 e |
| 1000–995 | 0.186 ± 0.024 a | 0.183 ± 0.014 a | 0.107 ± 0.012 b | 0.019 ± 0.002 c | 0.014 ± 0.002 d | 0.010 ± 0.001 e | 0.004 ± 0.000 f | 0.002 ± 0.000 g |
| 928 | 0.023 ± 0.003 a | 0.024 ± 0.002 a | 0.018 ± 0.003 b | 0.009 ± 0.001 c | 0.007 ± 0.001 cd | 0.006 ± 0.001 d | 0.002 ± 0.000 e | - |
| 865–858 | 0.007 ± 0.002 a | 0.007 ± 0.002 a | 0.003 ± 0.000 b | - | - | - | - | - |
| 770–735 | 0.005 ± 0.001 a | 0.006 ± 0.001 a | 0.002 ± 0.000 b | - | - | - | - | - |
| 720 | 0.003 ± 0.001 a | 0.003 ± 0.001 a | 0.002 ± 0.000 a | - | - | - | - | - |
| 577 | 0.016 ± 0.002 a | 0.016 ± 0.004 ab | 0.011 ± 0.002 b | 0.004 ± 0.001 c | - | - | - | - |
| 523 | 0.006 ± 0.001 a | 0.006 ± 0.001 a | 0.005 ± 0.001 ab | 0.004 ± 0.001 b | 0.005 ± 0.001 ab | 0.004 ± 0.001 b | 0.004 ± 0.001 b | 0.002 ± 0.000 c |
Disclaimer/Publisher’s Note: The statements, opinions and data contained in all publications are solely those of the individual author(s) and contributor(s) and not of MDPI and/or the editor(s). MDPI and/or the editor(s) disclaim responsibility for any injury to people or property resulting from any ideas, methods, instructions or products referred to in the content. |
© 2023 by the authors. Licensee MDPI, Basel, Switzerland. This article is an open access article distributed under the terms and conditions of the Creative Commons Attribution (CC BY) license (https://creativecommons.org/licenses/by/4.0/).
Share and Cite
Sinanoglou, V.J.; Tsiaka, T.; Aouant, K.; Mouka, E.; Ladika, G.; Kritsi, E.; Konteles, S.J.; Ioannou, A.-G.; Zoumpoulakis, P.; Strati, I.F.; et al. Quality Assessment of Banana Ripening Stages by Combining Analytical Methods and Image Analysis. Appl. Sci. 2023, 13, 3533. https://doi.org/10.3390/app13063533
Sinanoglou VJ, Tsiaka T, Aouant K, Mouka E, Ladika G, Kritsi E, Konteles SJ, Ioannou A-G, Zoumpoulakis P, Strati IF, et al. Quality Assessment of Banana Ripening Stages by Combining Analytical Methods and Image Analysis. Applied Sciences. 2023; 13(6):3533. https://doi.org/10.3390/app13063533
Chicago/Turabian StyleSinanoglou, Vassilia J., Thalia Tsiaka, Konstantinos Aouant, Elizabeth Mouka, Georgia Ladika, Eftichia Kritsi, Spyros J. Konteles, Alexandros-George Ioannou, Panagiotis Zoumpoulakis, Irini F. Strati, and et al. 2023. "Quality Assessment of Banana Ripening Stages by Combining Analytical Methods and Image Analysis" Applied Sciences 13, no. 6: 3533. https://doi.org/10.3390/app13063533
APA StyleSinanoglou, V. J., Tsiaka, T., Aouant, K., Mouka, E., Ladika, G., Kritsi, E., Konteles, S. J., Ioannou, A.-G., Zoumpoulakis, P., Strati, I. F., & Cavouras, D. (2023). Quality Assessment of Banana Ripening Stages by Combining Analytical Methods and Image Analysis. Applied Sciences, 13(6), 3533. https://doi.org/10.3390/app13063533

