Prediction and Analysis of Formation and Development Characteristics of Frozen Soil Wall: A Case Study on the Chengjiao East Ventilation Shaft Repair
Abstract
1. Introduction
2. Mathematical Model of the Freezing Temperature Field and Related Physical Parameters
2.1. Mechanical Model of the Freezing Temperature Field
2.2. Physical Parameters of the Soil Layer
- (1)
- Physical parameters of the soil layer
- (2)
- Thermal Conductivity of Soil and Frozen Soil
- (3)
- Specific heat of soil and frozen soil
- (4)
- Phase transformation latent heat of soil
- (5)
- Enthalpy
2.3. Finite Element Model
2.4. Geometric Model
2.5. Calculation Procedure
3. Numerical Calculation Analysis
3.1. The Effect of the Convective Heat Transfer Coefficient
3.2. The Effect of the Layout Radius of the Freezing Tube
3.3. The Effect of the Freezing Tube Pitch
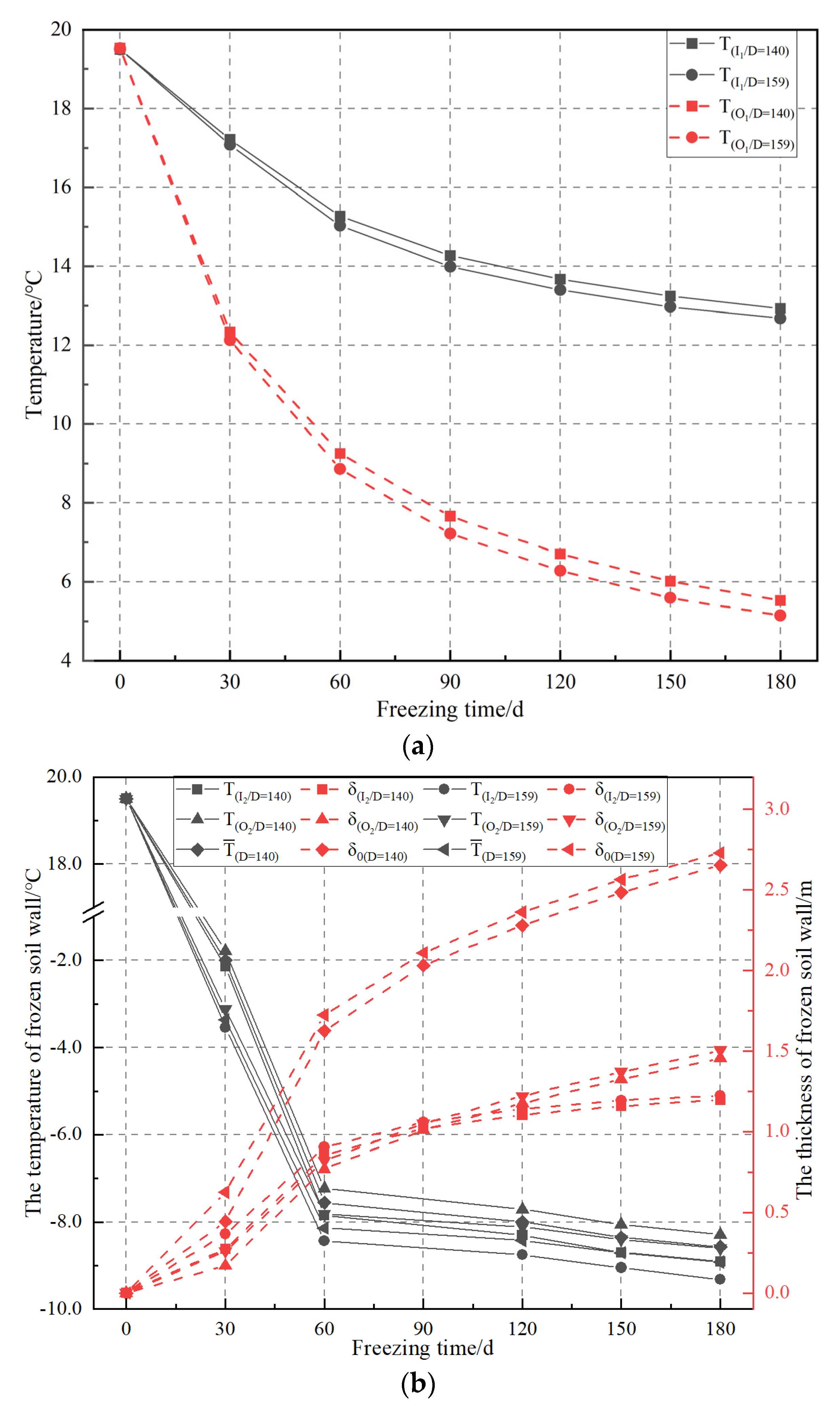
3.4. The Effect of the Freezing Tube Diameter
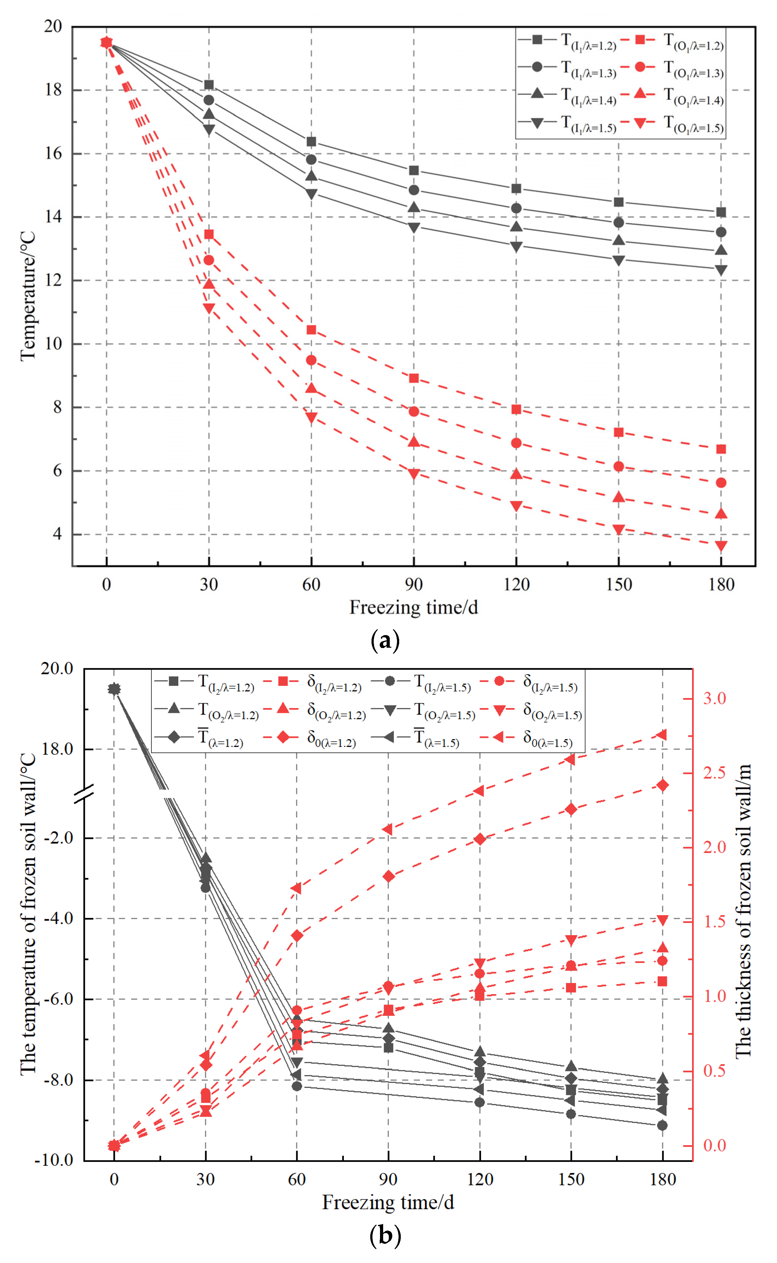
3.5. The Effect of the Thermal Conductivity of Unfrozen Soil
3.6. The Effect of Soil Moisture Content
3.7. The Effect of the Shaft Wall Thickness
3.8. The Comprehensive Effect of Different Parameters
4. Conclusions
Author Contributions
Funding
Institutional Review Board Statement
Informed Consent Statement
Data Availability Statement
Acknowledgments
Conflicts of Interest
References
- Li, G. Research and application of key technology for drilling wells by freezing method in 600 m extra thick alluvial layer. In Proceedings of the High-level Academic Forum on the 50th Anniversary of the Chinese Coal Society, Beijing, China, 13 November 2012. [Google Scholar]
- Liu, Y.; Hu, J.; Xiao, H.; Chen, E.J. Effects of material and drilling uncertainties on artificial ground freezing of cement-admixed soils. Can. Geotech. J. 2017, 54, 1659–1671. [Google Scholar] [CrossRef]
- Liu, Y.; Li, K.; Li, D.; Tang, X.; Gu, S. Coupled thermal–hydraulic modeling of artificial ground freezing with uncertainties in pipe inclination and thermal conductivity. Acta Geotech. 2022, 17, 257–274. [Google Scholar] [CrossRef]
- Li, Z.; Chen, J.; Sugimoto, M.; Ge, H. Numerical simulation model of artificial ground freezing for tunneling under seepage flow conditions. Tunn. Undergr. Space Technol. 2019, 92, 103035. [Google Scholar] [CrossRef]
- Hou, S.; Yang, Y.; Cai, C.; Chen, Y.; Li, F.; Lei, D. Modeling heat and mass transfer during artificial ground freezing considering the influence of water seepage. Int. J. Heat Mass Transf. 2022, 194, 123053. [Google Scholar] [CrossRef]
- Alzoubi, M.A.; Xu, M.; Hassani, F.P.; Poncet, S.; Sasmito, A.P. Artificial ground freezing: A review of thermal and hydraulic aspects. Tunn. Undergr. Space Technol. 2020, 104, 103534. [Google Scholar] [CrossRef]
- Jahan, C.; Quamruzzaman, C.; Mazumder, Q.; Haque, T. Artificial ground freezing method for shaft construction in maddhapara hardrock mine, bangladesh: Minimization of its cost. Pak. J. Sci. Ind. Res. 2004, 47, 112–117. [Google Scholar]
- Yang, R.; Wang, Q.; Yang, L. Closed-form elastic solution for irregular frozen wall of inclined shaft considering the interaction with ground. Int. J. Rock Mech. Min. Sci. 2017, 100, 62–72. [Google Scholar] [CrossRef]
- Yao, Y.; Cheng, Y.; Lin, J.; Ji, J.; Zhang, Z. Fuzzy random sensitivity analysis model for reliability of freezing shaft lining structure in deep alluvium. J. Min. Saf. Eng. 2022, 39, 107–117. [Google Scholar]
- Zhang, J.; Li, F.; Yu, X.; Ding, H.; Kong, L. Research on evolution characteristics of early-age temperature-stress field of inner lining at deep frozen shaft. Coal Sci. Technol. 2021, 49, 69–76. [Google Scholar]
- Gong, Y.; Fu, C.; Wang, X. Numerical analysis of temperature field expansion law in deep frozen shaft. Coal Technol. 2020, 39, 171–173. [Google Scholar]
- Yao, Y.; Cheng, Y.; Rong, C.; Cai, H. Fuzzy random reliability model establishment of freezing shaft lining structure under big data environment. Coal Sci. Technol. 2019, 47, 30–35. [Google Scholar]
- Cui, H. Analysis of expansion law and influencing factors of shaft freezing temperature field in western water rich soft rock. Coal Technol. 2018, 37, 76–79. [Google Scholar]
- Cui, G.; Yang, W.; Lv, H. Freezing Walls and Shaft Walls in Deep Topsoil Layers; China University of Mining and Technology Press: Xuzhou, China, 1998. [Google Scholar]
- Cui, G. Progress and prospects for special constructional technique of underground engineering in complex stratum. Coal 2000, 9, 3–7+26. [Google Scholar]
- Yang, G.; Xi, J. Review and prospects of research on freezing design theory of coal mine shaft. Chin. J. Undergr. Space Eng. 2010, 6, 627–635. [Google Scholar]
- Yang, W. Development and Prospects of Freeze-Out Well Drilling Technology in China in the Past Decade. In Proceedings of the High-Level Academic Forum on the 50th Anniversary of the Chinese Coal Society, Beijing, China, 13 November 2012. [Google Scholar]
- Tounsi, H.; Rouabhi, A.; Jahangir, E. Thermo-hydro-mechanical modeling of artificial ground freezing taking into account the salinity of the saturating fluid. Comput. Geotech. 2019, 119, 103382. [Google Scholar] [CrossRef]
- Jin, H.; Go, G.-H.; Ryu, B.H.; Lee, J. Experimental and numerical investigation of closure time during artificial ground freezing with vertical flow. Geomech. Eng. 2021, 27, 433–445. [Google Scholar]
- Shastri, A.; Sánchez, M.; Gai, X.; Lee, M.Y.; Dewers, T. Mechanical behavior of frozen soils: Experimental investigation and numerical modeling. Comput. Geotech. 2021, 138, 104361. [Google Scholar] [CrossRef]
- Esmaeili-Falak, M.; Katebi, H.; Javadi, A.A. Experimental study of the mechanical behavior of frozen soils—A case study of tabriz subway. Period. Polytech. Civ. Eng. 2018, 62, 117–125. [Google Scholar] [CrossRef]
- Yang, Y.; Gao, F.; Lai, Y.; Cheng, H. Experimental and theoretical investigations on the mechanical behavior of frozen silt. Cold Reg. Sci. Technol. 2016, 130, 59–65. [Google Scholar]
- Yang, Y.; Gao, F.; Lai, Y.; Zhang, X. Triaxial creep characteristic and fractional order constitutive model of frozen silt. Electron. J. Geotech. Eng. 2014, 19, 3757–3768. [Google Scholar]
- Yang, Y.; Lai, Y.; Chang, X. Laboratory and theoretical investigations on the deformation and strength behaviors of artificial frozen soil. Cold Reg. Sci. Technol. 2010, 64, 39–45. [Google Scholar] [CrossRef]
- Zhang, T.; Yang, W.; Han, T.; Huang, J.; Zhang, C. Research on the single freezing pipe temperature field under the condition of foam material partial insulation. J. Min. Saf. Eng. 2015, 32, 119–125. [Google Scholar]
- Yang, W.; Huang, J. Numerical analysis on the heat flux density of a freezing pipe with constant outer surface temperature. J. Glaciol. Geocryol. 2006, 401–405. [Google Scholar]
- Chen, C.; Yang, W.; Zhang, T.; Yang, A. Study on temperature field of single freezing pipe with constant temperature around outer surface. J. Liaoning Tech. Univ. (Nat. Sci. Ed.) 2010, 29, 232–235. [Google Scholar]
- Yang, Z.; Che, P. Numerical simulation in horizontal freezing temperature fields of single pipe under the condition of refrigeration cycle. Jiangsu Coal 2004, 70–71. [Google Scholar]
- Wang, Z.; Shen, L.; Xie, J. On temperature field variation of the surrounding soil mass caused by artificial single pipeline freezing. Mod. Tunn. Technol. 2014, 51, 110–116. [Google Scholar]
- Vialov, S.; Gmoshinskii, V.G.; Gorodetskii, S.E.; Grigorieva, V.; Zaretskii, I. The Strength and Creep of Frozen Soils and Calculations for Ice-Soil Retaining Structures; U.S. Army Cold Regions Research and Engineering Laboratory: Hanover, NH, USA, 1965. [Google Scholar]
- Zhang, Y.; Sego, D.C.; Morgenstern, N.R. Deformation of Artificially Frozen Shafts during Excavation. In Proceedings of the 7th International Symposium on Ground Freezing, Nancy, France, 24 October 1994. [Google Scholar]
- Asgari, M.; Akhlaghi, M. Transient heat conduction in two-dimensional functionally graded hollow cylinder with finite length. Heat Mass Transf. 2009, 45, 1383–1392. [Google Scholar] [CrossRef]
- Yuan, Y. Study on the Freezing Pattern of Different Strata in Xinzhuang Coal Mine’s Substandard Shaft. Master’s Thesis, Xi’an University of Science and Technology, Xi’an, China, 2016. [Google Scholar]
- Li, K.; Miao, Z.; Li, D.; Liu, Y. Effect of mesoscale internal structure on effective thermal conductivity of anisotropic geomaterials. Acta Geotech 2022, 17, 3553–3566. [Google Scholar] [CrossRef]
- Li, K.; Li, D.; Liu, Y. Meso-scale investigations on the effective thermal conductivity of multi-phase materials using the finite element method. Int. J. Heat Mass Transf. 2020, 151, 119383. [Google Scholar] [CrossRef]
- Ding, H.; Li, F.; Cui, B. Study on formation law and influencing factors of freezing reinforcement project plastic pipe frozen wall in soft soil stratum. Urban Mass Transit 2021, 24, 187–191+201. [Google Scholar]
- Zhang, T.; Yang, P. Study of horizontal freezing temperature field and the effect of different factors on the freezing wall thickness at the bottom of short pipes. In Proceedings of the 3rd National Academic Conference on Engineering Safety and Protection, Wuhan, China, 16 November 2012. [Google Scholar]
- Wang, P. Study on the Formation Process And Influencing Factors of Freezing Temperature Field in Deep Thick Clay Layer. Master’s Thesis, Anhui University of Science and Technology, Anhui, China, 2019. [Google Scholar]
- Bi, Q.; Cheng, X.; Shi, L.; Ma, X. Analysis of influencing parameters of temperature field within freezing wall of subway tunnel construction with horizontal ground freezing. J. Lanzhou Univ. Technol. 2009, 35, 121–126. [Google Scholar]
- Li, X.; Xiao, G. Application of freezing method in shaft lining repair during operation of return air shaft. J. Henan Sci. Technol. 2020, 39, 29–32. [Google Scholar]
- Wu, Z.; Ding, D.; Zhang, C.; Zhang, J.; Tao, Z. Engineering Behaviour of Frozen Wall in Artificial Freezing Sinking, 1st ed.; Lanzhou University Press: Lanzhou, China, 1988; pp. 84–85. [Google Scholar]
- Zhang, S.; Yang, J. Construction Handbook for Ground Freezing Method; Emergency Management Press: Beijing, China, 2021.
- Xu, X.; Wang, J.; Zhang, L. Thermal Physics of Permafrost; Science Press: Beijing, China, 2010. [Google Scholar]
- Hong, Z.; Zhang, J.; Han, L.; Wu, Y. Numerical Study on Water Sealing Effect of Freeze-Sealing Pipe-Roof Method Applied in Underwater Shallow-Buried Tunnel. Front. Phys. 2021, 9, 794374. [Google Scholar] [CrossRef]
- Niu, Y.; Hong, Z.; Zhang, J.; Han, L. Frozen curtain characteristics during excavation of submerged shallow tunnel using Freeze-Sealing Pipe-Roof method. Res. Cold Arid Reg. 2022, 14, 267–273. [Google Scholar] [CrossRef]





























| Accumulative Thickness/m | Layer Thickness /m | Lithologic Classification | Accumulative Thickness/m | Layer Thickness/m | Lithologic Classification |
|---|---|---|---|---|---|
| 8.7 | 8.7 | Clays | 240.1 | 3 | Fine sands |
| 14.2 | 5.5 | Clays | 247.5 | 7.4 | Bauxite clay |
| 21.5 | 7.3 | Silty sands | 252.5 | 5 | Fine sands |
| 53.9 | 32.4 | Clays | 257.6 | 5.1 | Clays |
| 57.5 | 3.6 | Clays and silty sands | 260.1 | 2.5 | Fine sands |
| 74.5 | 17 | Clays | 262.6 | 2.5 | Silty clays |
| 77.5 | 3 | Fine sands | 272 | 9.4 | Clays |
| 83.6 | 6.1 | Clays | 277.5 | 5.5 | Fine sands |
| 85.8 | 2.2 | Silty sands | 285 | 7.5 | Clays |
| 98.3 | 12.5 | Clays | 298 | 13 | Clays |
| 118.5 | 20.2 | Sandy clays | 302 | 4 | Bauxite clay |
| 121 | 2.5 | Silty clays | 307.5 | 5.5 | Fine sands |
| 129.5 | 8.5 | Clays | 312.5 | 5 | Clays |
| 133.4 | 3.9 | Silty clays | 319.8 | 7.3 | Bauxite clay |
| 152 | 18.6 | Bauxite clay | 332.6 | 12.8 | Clays |
| 161 | 9 | Clays | 358.2 | 25.6 | Kaolinite |
| 191.2 | 30.2 | Fine sands | 361.6 | 3.4 | Mudstone |
| 202.5 | 11.3 | Silty clays | 366.5 | 4.9 | Fine sandstone |
| 215.4 | 12.9 | Silty clays | 379.7 | 13.2 | Mudstone |
| 220.4 | 5 | Clays | 404.5 | 24.8 | Sandy mudstone |
| 235.5 | 15.1 | Fine sands | 414.7 | 10.2 | Fine sandstone |
| 237.1 | 1.6 | Clays |
| Parameter | Value Ranges | Number of Values | Value in the East Ventilation Shaft |
|---|---|---|---|
| Convective heat transfer coefficient (α)/W·m−2·°C−1 | 5, 10, 20, 30, 40, 100 | 6 | 25 |
| Layout radius of freezing tube (Rd)/m | 5.5, 5.7, 5.9, 6.1, 6.3 | 5 | 6.5 |
| Tube pitch (Ld)/m | 1.3, 1.4, 1.5, 1.6, 1.7, 1.8, 1.9, 2.0, 2.1, 2.2, 2.3, 2.4, 2.5 | 13 | 1.45 |
| Diameter of freezing tube (D)/mm | 140, 159 | 2 | 140 |
| Thermal conductivity of unfrozen soil (λ1)/W·m−1·°C−1 | 1.2, 1.3, 1.4, 1.5 | 4 | 1.4 |
| Thermal conductivity of frozen soil (λ2)/W·m−1·°C−1 | 1.44, 1.56, 1.68, 1.8 | 4 | 1.68 |
| Moisture content (ω)/% | 10, 15, 20, 25, 30 | 5 | 20 |
| The thickness of the wall (δ)/m | 1.1, 1.5 | 2 | 1.5 |
| Parameter | Value | Parameter | Value |
|---|---|---|---|
| Layout radius of freezing tube (Rd)/m | 5.5 | Tube pitch (Ld)/m | 1.45 |
| Thermal conductivity of unfrozen soil (λ1)/W·m−1·°C−1 | 1.4 | Number of freezing tubes | 24 |
| Thermal conductivity of frozen soil (λ2)/W·m−1·°C−1 | 1.68 | Moisture content (ω)/% | 20 |
| Diameter of freezing tube (D)/mm | 140 | Initial ground temperature /°C | 25 |
| The thickness of the wall (δ)/m | 1.5 | Annual average temperature of wind flow in the shaft/°C | 25 |
| Wet density of soil /kg·m−3 | 2000 | Brine temperature/°C | −35 |
| Density of concrete /kg·m−3 | 2500 | Outside temperature of the freezing tube/°C | −30 |
| Thermal conductivity of concrete /W·m−1·°C−1 | 2.8 | Inside temperature of the shaft wall/°C | 25 |
| Specific heat of unfrozen soil /kJ·kg−1·°C−1 | 0.8 | Outside temperature of the shaft wall/°C | 25 |
| Specific heat of frozen soil /kJ·kg−1·°C−1 | 0.9 | Specific heat of concrete /kJ·kg−1·°C−1 | 1.1 |
| Parameter | Value Ranges | Number of Values | Step Size |
|---|---|---|---|
| Layout radius of freezing tube (Rd)/m | 6.25, 6.5, 6.75, 7.0 | 4 | 0.25 |
| Tube pitch (Ld)/m | 1.2, 1.4, 1.6, 1.8, 2.0, 2.2 | 6 | 0.2 |
| Thermal conductivity of unfrozen soil (λ1)/W·m−1·°C−1 | 1.2, 1.4, 1.6, 1.8 | 4 | 0.2 |
| Moisture content (ω)/% | 15, 20, 25, 30 | 4 | 5 |
| Parameter | Value | Parameter | Value |
|---|---|---|---|
| Layout radius of freezing tube (Rd)/m | 6.5 | Tube pitch (Ld)/m | 1.2 |
| Thermal conductivity of unfrozen soil (λ1)/W·m−1·°C−1 | 1.4 | Number of freezing tubes | 34 |
| Thermal conductivity of frozen soil (λ2)/W·m−1·°C−1 | 1.68 | Moisture content (ω)/% | 20 |
| Diameter of freezing tube (D)/mm | 140 | Initial ground temperature/°C | 25 |
| The thickness of the wall (δ)/m | 1.5 | Annual average temperature of wind flow in the shaft/°C | 25 |
| Wet density of soil /kg·m−3 | 2000 | Brine temperature/°C | −35 |
| Density of concrete/kg·m−3 | 2500 | Outside temperature of the freezing tube/°C | −30 |
| Thermal conductivity of concrete/W·m−1·°C−1 | 2.8 | Inside temperature of the shaft wall/°C | 25 |
| Specific heat of unfrozen soil/kJ·kg−1·°C−1 | 0.8 | Outside temperature of the shaft wall/°C | 25 |
| Specific heat of frozen soil/kJ·kg−1·°C−1 | 0.9 | Specific heat of concrete /kJ·kg−1·°C−1 | 1.1 |
Disclaimer/Publisher’s Note: The statements, opinions and data contained in all publications are solely those of the individual author(s) and contributor(s) and not of MDPI and/or the editor(s). MDPI and/or the editor(s) disclaim responsibility for any injury to people or property resulting from any ideas, methods, instructions or products referred to in the content. |
© 2023 by the authors. Licensee MDPI, Basel, Switzerland. This article is an open access article distributed under the terms and conditions of the Creative Commons Attribution (CC BY) license (https://creativecommons.org/licenses/by/4.0/).
Share and Cite
Han, T.; Xue, Y.; Luo, T.; Zhang, T. Prediction and Analysis of Formation and Development Characteristics of Frozen Soil Wall: A Case Study on the Chengjiao East Ventilation Shaft Repair. Appl. Sci. 2023, 13, 3209. https://doi.org/10.3390/app13053209
Han T, Xue Y, Luo T, Zhang T. Prediction and Analysis of Formation and Development Characteristics of Frozen Soil Wall: A Case Study on the Chengjiao East Ventilation Shaft Repair. Applied Sciences. 2023; 13(5):3209. https://doi.org/10.3390/app13053209
Chicago/Turabian StyleHan, Tao, Yong Xue, Tingting Luo, and Tao Zhang. 2023. "Prediction and Analysis of Formation and Development Characteristics of Frozen Soil Wall: A Case Study on the Chengjiao East Ventilation Shaft Repair" Applied Sciences 13, no. 5: 3209. https://doi.org/10.3390/app13053209
APA StyleHan, T., Xue, Y., Luo, T., & Zhang, T. (2023). Prediction and Analysis of Formation and Development Characteristics of Frozen Soil Wall: A Case Study on the Chengjiao East Ventilation Shaft Repair. Applied Sciences, 13(5), 3209. https://doi.org/10.3390/app13053209
