Discrete Wavelet Transform—Based Metal Material Analysis Model by Constant Phase Angle Pulse Eddy Current Method
Abstract
1. Introduction
2. Principle and Methods
3. Experiment and Results
3.1. Experimental Setup
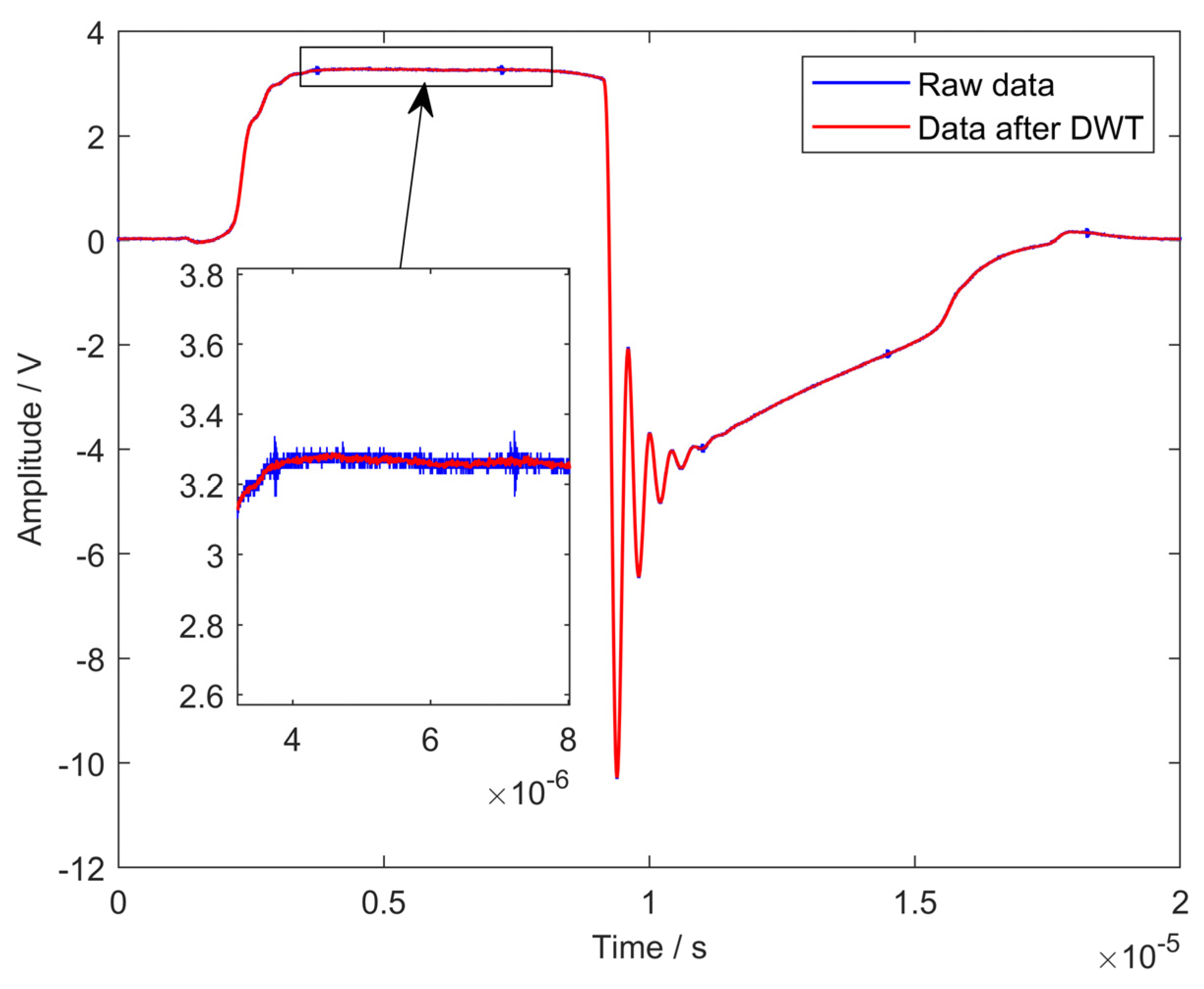
3.2. Discrete Wavelet Transform—Based Metal Material Analysis Model
4. Conclusions
Author Contributions
Funding
Institutional Review Board Statement
Informed Consent Statement
Data Availability Statement
Conflicts of Interest
References
- Ďuriš, S.; Ďurišová, Z.; Wimmer, G.; Dovica, M. Stability Check of Certified Reference Materials of Carbon and Sulphur Content in Steel Used for Analysis of Low-Alloyed Steels. In Proceedings of the 2019 12th International Conference on Measurement, Smolenice, Slovakia, 27–29 May 2019; pp. 331–334. [Google Scholar] [CrossRef]
- Liu, L.; Huan, H.; Zhang, M.; Shao, X.; Zhao, B.; Cui, X.; Zhu, L. Photoacoustic Spectrometric Evaluation of Soil Heavy Metal Contaminants. IEEE Photonics J. 2019, 11, 1–7. [Google Scholar] [CrossRef]
- Ye, C.; Laureti, S.; Malekmohammadi, H.; Wang, Y.; Ricci, M. Swept-Frequency eddy current excitation for TMR array sensor and Pulse-Compression: Feasibility study and quantitative comparison of time and frequency domains processing. Measurement 2022, 187, 110249. [Google Scholar] [CrossRef]
- Wang, Y.; Niu, Y.; Wei, Y.; Ye, C. Multi-frequency imaging with non-linear calibration of magnetoresistance sensors for surface and buried defects inspection. NDT E Int. 2022, 132, 102706. [Google Scholar] [CrossRef]
- Avila, J.R.S.; How, K.Y.; Lu, M.; Yin, W. A Novel Dual Modality Sensor With Sensitivities to Permittivity, Conductivity, and Permeability. IEEE Sens. J. 2018, 18, 356–362. [Google Scholar] [CrossRef]
- Yuan, F.; Yu, Y.; Wang, W.; Xue, K.; Tian, G. Pulsed eddy current array design and electromagnetic imaging for defects detection in metallic materials. Nondestruct. Test. Eval. 2021, 37, 81–99. [Google Scholar] [CrossRef]
- Yuan, F.; Yu, Y.; Wang, W.; Tian, G. A Novel Probe of DC Electromagnetic NDT Based on Drag Effect: Design and Application in Crack Characterization of High-Speed Moving Ferromagnetic Material. IEEE Trans. Instrum. Meas. 2021, 70, 1. [Google Scholar] [CrossRef]
- Yuan, F.; Yu, Y.; Li, L.; Tian, G. Investigation of DC Electromagnetic-Based Motion Induced Eddy Current on NDT for Crack Detection. IEEE Sens. J. 2021, 21, 1. [Google Scholar] [CrossRef]
- Wang, D.; Zhang, Z.; Yin, W.; Chen, H.; Ma, H.; Zhou, G.; Zhang, Y. Linear Characteristics of the Differences in Phase Tangents of Triple-Coil Electromagnetic Sensors and Their Application in Nonmagnetic Metal Classification. Sensors 2022, 22, 7511. [Google Scholar] [CrossRef]
- Yu, Y.; Li, X.; Simm, A.; Tian, G. Theoretical model-based quantitative optimisation of numerical modelling for eddy current NDT. Nondestruct. Test. Eval. 2011, 26, 129–140. [Google Scholar] [CrossRef]
- Yu, Y.; Li, Y.; Qin, H.; Cheng, X. Microwave measurement and imaging for multiple corrosion cracks in planar metals. Mater. Des. 2020, 196, 109151. [Google Scholar] [CrossRef]
- Yu, Y.; Gao, K.; Theodoulidis, T.; Yuan, F. Analytical solution for magnetic field of cylindrical defect in eddy current nondestructive testing. Phys. Scr. 2020, 95, 015501. [Google Scholar] [CrossRef]
- Yu, Y.; Gao, K.; Liu, B.; Li, L. Semi-analytical method for characterization slit defects in conducting metal by Eddy current nondestructive technique. Sens. Actuators Phys. 2020, 301, 111739. [Google Scholar] [CrossRef]
- Chen, X.; Liu, X. Pulsed Eddy Current-Based Method for Electromagnetic Parameters of Ferromagnetic Materials. IEEE Sens. J. 2021, 21, 6376–6383. [Google Scholar] [CrossRef]
- XChen, X.; Lei, Y. Electrical conductivity measurement of ferromagnetic metallic materials using pulsed eddy current method. NDT E Int. 2015, 75, 33–38. [Google Scholar] [CrossRef]
- Wang, C.; Fan, M.; Cao, B.; Ye, B.; Li, W. Novel Noncontact Eddy Current Measurement of Electrical Conductivity. IEEE Sens. J. 2018, 18, 9352–9359. [Google Scholar] [CrossRef]
- Lu, M.; Xie, Y.; Zhu, W.; Peyton, A.J.; Yin, W. Determination of the Magnetic Permeability, Electrical Conductivity, and Thickness of Ferrite Metallic Plates Using a Multifrequency Electromagnetic Sensing System. IEEE Trans. Ind. Inform. 2019, 15, 4111–4119. [Google Scholar] [CrossRef]
- Sreevatsan, S.; George, B. Simultaneous Detection of Defect and Lift-off Using a Modified Pulsed Eddy Current Probe. IEEE Sens. J. 2020, 20, 2156–2163. [Google Scholar] [CrossRef]
- Meng, X.; Lu, M.; Yin, W.; Bennecer, A.; Kirk, K.J. Inversion of Lift-Off Distance and Thickness for Nonmagnetic Metal Using Eddy Current Testing. IEEE Trans. Instrum. Meas. 2021, 70, 1–8. [Google Scholar] [CrossRef]
- Long, Y.; Huang, S.; Peng, L.; Wang, S.; Zhao, W. A New Dual Magnetic Sensor Probe for Lift-off Compensation in Magnetic Flux Leakage Detection. In Proceedings of the 2020 IEEE International Instrumentation and Measurement Technology Conference (I2MTC), Dubrovnik, Croatia, 25–28 May 2020; pp. 1–6. [Google Scholar] [CrossRef]
- Jin, Z.; Meng, Y.; Yu, R.; Huang, R.; Lu, M.; Xu, H.; Meng, X.; Zhao, Q.; Zhang, Z.; Peyton, A.; et al. Methods of Controlling Lift-Off in Conductivity Invariance Phenomenon for Eddy Current Testing. IEEE Access 2020, 8, 122413–122421. [Google Scholar] [CrossRef]
- Rep, I.; Spikic, D.; Vasic, D. Eddy Current Inversion of Lift-off, Conductivity and Permeability Relaxation. In Proceedings of the 2021 44th International Convention on Information, Communication and Electronic Technology (MIPRO), Opatija, Croatia, 27 September–1 October 2021; pp. 136–140. [Google Scholar] [CrossRef]
- Lu, M.; Meng, X.; Huang, R.; Chen, L.; Peyton, A.; Yin, W. Measuring Lift-Off Distance and Electromagnetic Property of Metal Using Dual-Frequency Linearity Feature. IEEE Trans. Instrum. Meas. 2021, 70, 1–9. [Google Scholar] [CrossRef]
- Wang, Y.; Nie, Y.; Qi, P.; Zhang, N.; Ye, C. Inspection of Defect Under Thick Insulation Based on Magnetic Imaging With TMR Array Sensors. IEEE Trans. Magn. 2022, 58, 1–10. [Google Scholar] [CrossRef]
- Bolós, V.J.; Benítez, R.; Ferrer, R. A New Wavelet Tool to Quantify Non-Periodicity of Non-Stationary Economic Time Series. Mathematics 2020, 8, 844. [Google Scholar] [CrossRef]
- Łępicka, M.; Górski, G.; Grądzka-Dahlke, M.; Litak, G.; Ambrożkiewicz, B. Analysis of tribological behaviour of titanium nitride-coated stainless steel with the use of wavelet-based methods. Arch. Appl. Mech. 2021, 91, 4475–4483. [Google Scholar] [CrossRef]
- Silipigni, G.; Burrascano, P.; Hutchins, D.A.; Laureti, S.; Petrucci, R.; Senni, L.; Torre, L.; Ricci, M. Optimization of the pulse-compression technique applied to the infrared thermography nondestructive evaluation. NDT E Int. 2017, 87, 100–110. [Google Scholar] [CrossRef]
- Tamhane, D.; Patil, J.; Banerjee, S.; Tallur, S. Feature Engineering of Time-Domain Signals Based on Principal Component Analysis for Rebar Corrosion Assessment Using Pulse Eddy Current. IEEE Sens. J. 2021, 21, 22086–22093. [Google Scholar] [CrossRef]
- Liu, X.; Shi, G.; Liu, W. An Improved Empirical Mode Decomposition Method for Vibration Signal. Wirel. Commun. Mob. Comput. 2021, 2021, 5525270. [Google Scholar] [CrossRef]
- Wang, S.; Xiao, S.; Huang, Z.; Xu, Z.; Chen, W. Improved One-Dimensional Convolutional Neural Networks for Human Motion Recognition. In Proceedings of the 2020 IEEE International Conference on Bioinformatics and Biomedicine (BIBM), Seoul, Korea, 16–19 December 2020; pp. 2544–2547. [Google Scholar] [CrossRef]
- Huang, W.; Oh, S.-K.; Pedrycz, W. Hybrid Fuzzy Wavelet Neural Networks Architecture Based on Polynomial Neural Networks and Fuzzy Set/Relation Inference-Based Wavelet Neurons. IEEE Trans. Neural Netw. Learn. Syst. 2018, 29, 3452–3462. [Google Scholar] [CrossRef]
- Subbotin, A.N.; Zhukova, N.A.; Anaam, F. Application of Recurrent Neural Networks with Controlled Elements for Accuracy Enhancement in Recognition of Sound Events in a Fog Computing Environment. In Proceedings of the 2022 III International Conference on Neural Networks and Neurotechnologies (NeuroNT), Saint Petersburg, Russian Federation, 16 June 2022; pp. 47–50. [Google Scholar] [CrossRef]
- Yu, Y.; Cheng, X.; Wang, L.; Wang, C. Convolutional Neural Network-Based Quantitative Evaluation for Corrosion Cracks in Oil/Gas Pipeline by Millimeter-Wave Imaging. IEEE Trans. Instrum. Meas. 2022, 71, 1–9. [Google Scholar] [CrossRef]
- Shah, M.; Vakharia, V.; Chaudhari, R.; Vora, J.; Pimenov, D.Y.; Giasin, K. Tool wear prediction in face milling of stainless steel using singular generative adversarial network and LSTM deep learning models. Int. J. Adv. Manuf. Technol. 2022, 121, 723–736. [Google Scholar] [CrossRef]







| Constant Parameter | Value |
|---|---|
| k1 (A/us) | ~0.09 |
| μ0 (N/A2) | 4π × 10−7 |
| N1 | 36 |
| N2 | 360 |
| e | ~2.718 |
| Fe-K162 | Fe-K163 | Fe-K240 | |
|---|---|---|---|
| Fe | 93.97% | 93.994% | 94.326% |
| C | 3.21% | 3.30% | 3.81% |
| Si | 1.28% | 1.25% | 1.23% |
| Mn | 1.05% | 1.16% | 0.319% |
| P | 0.075% | 0.065% | 0.044% |
| S | 0.045% | 0.055% | 0.026% |
| Cr | 0.24% | 0.1% | 0.037% |
| Ni | 0.09% | 0.036% | 0.009% |
| Mo | 0.001% | 0.002% | 0.026% |
| V | 0.012% | 0.011% | 0.017% |
| Cu | 0.014% | 0.012% | 0.142% |
| Ti | 0.013% | 0.015% | 0.014% |
| Repeat 1 | Repeat 2 | Repeat 3 | Repeat 4 | Repeat 5 | |
|---|---|---|---|---|---|
| K162 | 2966 | 2966 | 2965 | 2965 | 2966 |
| K163 | 2956 | 2956 | 2955 | 2956 | 2955 |
| K240 | 2946 | 2946 | 2945 | 2945 | 2946 |
| Fe | 2951 | 2951 | 2951 | 2951 | 2951 |
| Air | 3080 | 3090 | 3090 | 3090 | 3090 |
| Cu | 3210 | 3210 | 3211 | 3211 | 3210 |
| Al | 3221 | 3221 | 3221 | 3225 | 3221 |
| St | 3125 | 3125 | 3125 | 3126 | 3125 |
| Identification Rate * | Stability * | Relative Error * | |
|---|---|---|---|
| K162 | 100% | 98.80% | 0.03% |
| K163 | 100% | 98.90% | 0.03% |
| K240 | 100% | 99.12% | 0.03% |
| Fe | 100% | 97.10% | 0.31% |
| Air | 100% | 97.45% | 0.32% |
| Cu | 100% | 98.11% | 0.03% |
| Al | 100% | 98.10% | 0.12% |
| St | 100% | 97.45% | 0.03% |
Disclaimer/Publisher’s Note: The statements, opinions and data contained in all publications are solely those of the individual author(s) and contributor(s) and not of MDPI and/or the editor(s). MDPI and/or the editor(s) disclaim responsibility for any injury to people or property resulting from any ideas, methods, instructions or products referred to in the content. |
© 2023 by the authors. Licensee MDPI, Basel, Switzerland. This article is an open access article distributed under the terms and conditions of the Creative Commons Attribution (CC BY) license (https://creativecommons.org/licenses/by/4.0/).
Share and Cite
Xie, Y.; Yu, Y.; Li, L. Discrete Wavelet Transform—Based Metal Material Analysis Model by Constant Phase Angle Pulse Eddy Current Method. Appl. Sci. 2023, 13, 3207. https://doi.org/10.3390/app13053207
Xie Y, Yu Y, Li L. Discrete Wavelet Transform—Based Metal Material Analysis Model by Constant Phase Angle Pulse Eddy Current Method. Applied Sciences. 2023; 13(5):3207. https://doi.org/10.3390/app13053207
Chicago/Turabian StyleXie, Yong, Yating Yu, and Liangting Li. 2023. "Discrete Wavelet Transform—Based Metal Material Analysis Model by Constant Phase Angle Pulse Eddy Current Method" Applied Sciences 13, no. 5: 3207. https://doi.org/10.3390/app13053207
APA StyleXie, Y., Yu, Y., & Li, L. (2023). Discrete Wavelet Transform—Based Metal Material Analysis Model by Constant Phase Angle Pulse Eddy Current Method. Applied Sciences, 13(5), 3207. https://doi.org/10.3390/app13053207

